Artículos Originales
Obtención y caracterización de harinas compuestas de Cucúrbita moschata D. y Cajanus cajan L. como fuentes alternativas de proteína y vitamina A
Obtaining and characterizing composite flours from Cucúrbita moschata D. and Cajanus cajan L as an alternative protein and vitamin A source
Obtención y caracterización de harinas compuestas de Cucúrbita moschata D. y Cajanus cajan L. como fuentes alternativas de proteína y vitamina A
Acta Agronómica, vol. 69, núm. 2, pp. 89-96, 2021
Universidad Nacional de Colombia
Recepción: 13 Junio 2019
Aprobación: 17 Febrero 2020
Resumen: Se estudió la utilización de guandul (Cajanus cajan L.) y ahuyama (Cucurbita moschata D.) como alternativas nutricionales y tecnológicamente viables para la elaboración de harinas compuestas con destino a la preparación de productos alimenticios ricos en proteína y vitamina A de consumo tradicional por la población colombiana. Para el efecto se evaluaron las principales etapas del procesamiento de las matrices vegetales durante la conversión en harinas. La composición nutricional fue determinada incluyendo el contenido de carotenoides totales de la harina de ahuyama y el perfil de aminoácidos de la proteína de la harina de guandul. Las harinas fueron caracterizadas por la distribución del tamaño de partículas y sus propiedades funcionales. Se encontró que a partir de ambas matrices es posible obtener productos tipo harina, con propiedades aptas para su aprovechamiento a escala comercial como fuentes concentradas de nutrientes. Para confirmar los resultados, las harinas fueron empleadas en mezclas proporcionadas para elaborar productos (bebida, arepa y pan) en formulaciones que cumplen con los descriptores: ‘alto’ en vitamina A y ‘alto’ o ‘bueno’ en proteína, además de buenas características de aceptabilidad sensorial. En el estudio se evidenció que las harinas compuestas son fuentes excelentes de proteína y vitamina A en productos tipo colada. Los porcentajes de aporte de harina de guandul se establecieron entre 81.78% y 74.95% y los de harina de ahuyama entre 18.22% y 25.05%, para alcanzar los valores establecidos en dietas de nutrientes tanto para niños mayores de 4 años como para adultos. La harina compuesta correspondiente a la formulación alta en proteína y vitamina A es una alternativa para la elaboración de bebidas ricas en estos nutrientes para la población colombiana, ya que cumple con todos los requerimientos de la legislación colombiana.
Palabras clave: Alimento funcional, Aminoácidos esenciales, Carotenoides, Nutrición, Proteína.
Abstract: Use of pigeon pea (Cajanus cajan L.) and ahuyama (Cucurbita moschata D.) was studied as a nutritional and technologically viable alternative for the elaboration of composite flour for food products preparation rich in protein and vitamin A for traditional consumption by the Colombian population. For this purpose, the main stages of the processing of the vegetable matrices during the conversion into flours were evaluated. The nutritional composition was determined including the total carotenoid content of the squash flour and the amino acid profile of the protein of the pigeon pea flour. Flours were characterized by particle size distribution and functional properties. It was found that from both matrices it is possible to obtain flour-type products, with properties suitable for their use on a commercial scale as concentrated sources of nutrients. To confirm the results, the flours were used in mixtures provided to produce food products (drink, arepa and bread) in formulations that meet the descriptors: ‘high’ in vitamin A and ‘high’ or ‘good’ in protein, as well as good sensory acceptability characteristics. The study showed that composite flours are excellent sources of protein and vitamin A for beverages. The percentages of contribution of pigeon pea flour were established between 81.78% and 74.95% and those of ahuyama flour between 18.22% and 25.05%, to reach the values established in nutrient diets both for children over 4 years of age and for adults. The composite flour corresponding to the formulation high in protein and vitamin A is an alternative for the elaboration of beverages rich in these nutrients for the Colombian population, since it complies with all the requirements of Colombian legislation.
Key word: Carotenoids, Essential amino acids, Functional food, Nutrition, Protein.
Introducción
La situación nutricional de la población es un indicador de su nivel de bienestar, una medida que permite identificar los niveles de inequidad que afectan su productividad (FAO, 2017). Las deficiencias nutricionales que se presentan en la alimentación diaria de la población se manifiestan por retraso en el crecimiento de los niños, lo cual se relaciona con un menor desempeño escolar, menor productividad y menor ingreso laboral en la edad adulta (Rodríguez et al., 2016).
Colombia enfrenta problemas de desnutrición, a pesar de que los indicadores negativos de seguridad alimentaria han disminuido con respecto a otros países del continente. Aún hoy, 13% de los colombianos se encuentra por debajo de los niveles recomendadas de nutrición, el 13.5% de los menores de 5 años presenta desnutrición crónica y la tasa de muertes por esta razón es de 5 por cada cien mil habitantes (Ministerio de Salud y Protección Social, 2016). Una de las causas principales de la desnutrición crónica en la población colombiana la constituye el consumo deficiente de alimentos con una adecuada densidad de nutrientes durante la etapa de crecimiento y desarrollo (Guzmán, 2017). En este contexto factores como el bajo poder adquisitivo para acceder a alimentos de buena calidad y el desconocimiento de los valores nutritivos que algunos alimentos aportan, contribuyen al aumento en el nivel de desnutrición (Osorio et al., 2018).
La dieta de la población colombiana se caracteriza por sus bajos niveles de proteína, minerales (calcio, hierro) y vitaminas (riboflavina, vitamina A, tiamina) (Ministerio de Salud y Protección Social, 2015). Las leguminosas constituyen una fuente importante de proteína (18 - 32%) (Navarro et al., 2014), péptidos bioactivos y fibra, frecuentemente utilizadas como materias primas en la industria alimentaria (Navarro et al., 2014).
Teniendo en cuenta lo anterior, el presente trabajo tuvo como objetivo evaluar la utilización de las especies vegetales guandul (Cajanus cajan L.), una leguminosa utilizada en la culinaria tradicional del Caribe colombiano, y ahuyama (Cucúrbita moschata D.), una hortaliza con alto potencial agroindustrial, como alternativas viables para elaborar productos alimenticios en forma de harinas como ingredientes de consumo masivo.
Materiales y métodos
Obtención de harinas
La harina de ahuyama fue obtenida mediante secado por convección de muestras en bandejas Binder modelo FD115, a una velocidad de entrada de aire fija (10 m/s), temperatura de 68 °C, curva calibrada utilizando el modelo de Page y posterior molienda en un molino rotatorio KSW 3306 Clatronic (García-Pacheco et al., 2016). Para la obtención de la harina de guandul los granos fueron procesados en un molino de disco Victoria® Gearbox VH3, con motor RATIO 1.75 a 1650 r.p.m.; las harinas fueron tamizadas y la caracterización de la granulometría se realizó utilizando una columna de ocho tamices de acero inoxidable marca Endecotts® (Inglaterra), Modelo ASTM E-11:95.
Caracterización fisicoquímica
Para esta caracterización se tomaron muestras de 250 g de harina para posterior análisis los Laboratorios de Química y Farmacia de la Universidad del Atlántico, Colombia, siguiendo la metodología AOAC (AOAC International, 2012) para pH (método 981.12), humedad (método 925.09), cenizas (método 923.03), fibra total método (991.43), grasa cruda (método 920.39), proteína (método 960.52) y carbohidratos (método 939.03). Para la determinación de carotenoides totales se utilizó espectrofotometría de absorbancia a una longitud de onda de 450 nm, utilizando equipo modelo Life Science Genesys 10S UV-Vis BI (Jaeger et al., 2012).
Propiedades funcionales
La evaluación de las propiedades funcionales de las harinas se realizó siguiendo la metodología descrita por García-Pacheco et al. 2019. Para medir la capacidad de absorción de agua (CAA) se preparó una mezcla de 1 g de harina en 10 ml de agua destilada, la cual permaneció en reposo antes de someterla a centrifugación por 30 min a 3000 r.p.m.; se eliminó el sobrenadante y la diferencia de masas fue equivalente a la cantidad de agua absorbida. Para determinar la capacidad de absorción de aceite (CAG) se siguió un procedimiento similar al anterior utilizando 10 ml de aceite vegetal; finalmente, la capacidad de formación de espuma (CFE) se determinó colocando 2 g de muestra en suspensión en 100 ml de agua destilada, posteriormente, después de un licuado durante 2 min, se midió la diferencia de volúmenes (García-Pacheco et al., 2019).
Perfil de aminoácidos de proteína de guandul
Para cuantificar el contenido de aminoácidos en la harina de guandul se utilizó el método HPLC con detección UV-Vis. Como estándares se emplearon L-aminoácidos. Se utilizó un equipo de HPLC Shimadzu con bombas LC-10 AD VP117 y autoinyector SIL 10 AD VP con un sistema controlador SCL- 10 AD VP y un detector UV SPD10A, de acuerdo con el método propuesto por Castillo et al. (2011).
Formulación de harinas compuestas
Las formulaciones de los productos con base en las harinas resultantes fueron establecidas de acuerdo con el valor de referencia para productos con contenidos de nutrientes ‘alto’ y ‘buena fuente’, para el efecto se utilizaron porciones de 5 - 10 g para proteína y de 500 - 1000 UI para vitamina A como niveles adecuados para niños mayores de 4 años y para adultos, según lo establecido por la Resolución 333 de 2011 (Ministerio de la Protección Social, 2011). El aporte de harina de ahuyama se ajustó con base en la pérdida estimada y corregida según un factor de pérdida definido y establecido por De Moura F. (2015). El aporte de las harinas se calculó según la Ecuación 1, 2 y 3, de la siguiente manera:
[**]
(Ec. 2)
(Ec. 3)donde, V.D. = valor de referencia (Ministerio de Salud y Protección Social, 2015); %Nutriente = cantidad de nutriente aportado por 100 g; P. = porción: peso de la porción en gramos; F.Ret. = factor de retención de vitamina A 30%
Elaboración de productos y evaluación sensorial
Para cumplir con los requisitos ‘alto’ y ‘buena fuente’, se elaboraron tres distintos productos con formulaciones de las harinas compuestas y una bebida tipo colada con características de alto contenido de proteína y vitamina A: (1) una preparación con la harina agregada en agua y sometida a cocción durante 30 min a temperatura de ebullición, adicionando azúcar (120 g/litro de bebida), canela y clavos de olor; (2) un producto tipo pan alto en proteína y vitamina A con la adición de harina compuesta, agua, levadura, sal, azúcar y aceite vegetal, que fue amasado y horneado a 250 °C por 30 minutos y, (3) un producto tipo arepa buena fuente de proteína y alto en vitamina A, el cual se preparó adicionando agua (40 °C) y sal, antes de ser amasado y asado.
La evaluación sensorial de los productos se realizó utilizando 50 panelistas entrenados, empleando la escala hedónica Peryamm y Pilgrim de cinco niveles, descrita por Lim (2011) que fue aplicada a cuatro de las características de los productos (apariencia, aroma, sabor y textura) (Tabla 1).

Análisis estadístico
La curva de secado de muestras de ahuyama se modeló utilizando el software Python 3.5.1 (Python Software Foundation); los datos resultantes de las pruebas de aceptabilidad sensorial fueron graficados utilizando el software Boxplot Multiple para los diagramas de caja y bigotes; y para la composición nutricional de las formulaciones se realizó un análisis de varianza usando el programa estadístico Stargrafics® Centurión XVI.
Resultados
Secado de materiales
En la Figura 1 se observa que las láminas de ahuyama alcanzaron la humedad en equilibrio (12%) después de 6 h y temperatura de 68 °C. El contenido de carotenoides en la pulpa deshidratada en estas condiciones presentó una pérdida de humedad de 75.8%, con un contenido de carotenoides de 151.2 ± 2.2 pg/g (83.9 ± 1.2 UI/g de vitamina A).

Tamizado de harinas
La granulometría de las harinas permitió determinar el porcentaje de acumulación de granos retenidos por las mallas de los tamices empleados. En este proceso, en la harina de ahuyama fueron identificados tamaños de partículas que variaron desde 75 hasta 150 μm, y en la harina de guandul se identificó una concentración de partículas de 59.6% distribuidas en tamaños de malla desde 106 hasta 75 μm y menores (Fondo); la mayor retención se encontró en la malla 75 μm, con un 34.5% para guandul (Tabla 2.).

Propiedades fisicoquímicas y funcionales de las harinas
El pH y la humedad presentaron valores adecuados para la estabilidad de las harinas durante el almacenamiento. En la harina de guandul se destacaron la proteína (17.9 g/100g) y la fibra (6.9 g/100g) y en la harina de ahuyama el contenido de vitamina A (16068.8 μg/100g) (Tabla 3).

Perfil de aminoácidos de la harina de guandul
El perfil de aminoácidos presentes en la proteína de la harina de guandul se incluye en la Tabla 4. En total fueron identificados 15 aminoácidos de los cuales 10 son esenciales, con contenido total de aminoácidos de 49.19 g/100 g de proteína; entre ellos sobresale el contenido de Lisina (8.48 g/100 g),

Formulación de harinas compuestas
Las proporciones de harina para formulaciones compuestas necesarias para cubrir los requerimientos por porción de 10 g de proteína, 500 UI de vitamina A, y 10 g de proteína y 1000UI de vitamina A se incluyen en la Tabla 5. Los porcentajes de aporte de harina de guandul se establecieron entre 81.78 y 74.95 y los de harina de ahuyama entre 18.22 y 25.05, para alcanzar los valores establecidos en dietas de nutrientes tanto para niños mayores de 4 años como para adultos (Ministerio de la protección social, 2011).

Caracterización del valor nutritivo
La caracterización nutritiva de los productos elaborados con estas harinas mostró que el contenido de proteína (13 g) en arepa fue diferente (P < 0.05) cuando se comparó con los valores encontrados en la bebida y en el pan.
Los contenidos de vitamina A fueron igualmente diferentes entre los tres productos evaluados (P < 0.05) alcanzando su mayor valor en el producto arepa (1054.4 UI) (Tabla 6).

Evaluación sensorial
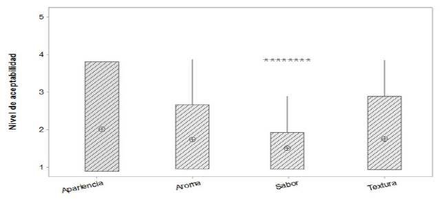
La prueba sensorial de los productos mostró que el producto bebida rica en proteína y vitamina A presentó los mejores resultados de aceptabilidad (Figuras 2, 3 y 4).



Discusión
La ahuyama (C. moschata) presentó mejores características de secado cuando se utilizó geometría de láminas. Estas matrices una vez deshidratadas se caracterizan por ser medianamente higroscópicas, por tanto es necesario almacenarlas en condiciones de humedad menores que 65% a temperatura ambiente (Medina et al., 2016). De acuerdo con estudios previos (García-Pacheco et al., 2016), el proceso de secado a 68 °C empleando láminas de bajo espesor (Figura 1.) vs. procesos de mayor intensidad térmica o con geometrías distintas, disminuye el tiempo de secado y mejora la retención de atributos de calidad y compuestos funcionales, en este caso, provitamina A.
El 65.6% de las harinas se encuentra en tamaños de partículas entre 75 μm y 150 μm, presentando 30.5% de retención en 75 μm para la harina de ahuyama y 34.5% para la harina de guandul (Tabla 2). Estos porcentajes son similares a los encontrados por Castillo-Gómez et al. (2016) quienes obtuvieron valores de 30.97% con malla 63 μm y 38.56% con malla 71 μm, para harinas de ahuyama y guandul, respectivamente. Tamaños de partícula como los encontrados en el presente estudio (75 - 150 μm) pueden ser empleados para la elaboración de productos instantáneos, donde el comportamiento de la capacidad de absorción de agua (CAA) es mayor; tamaños de partícula > 355 μm pueden ser utilizados para la elaboración de productos de panificación (Mabel y Brayand, 2019).
La harina de ahuyama sobresalió por su alto contenido de ceniza (10.92 g/100 g) (Tabla 3), que se considera elevado cuando se compara con los resultados de García et al. (2012) (6.52 g/100 g) y Umaña et al. (2012) (3.67 g/100 g). La harina de guandul presentó un alto contenido de proteína (17.9 g/100 g), un valor similar al encontrado por Miquilena e Higuera (2012) (18.22%) para este producto, aunque menor que el encontrado por estos mismos autores para harinas de frijol blanco (22.50 g/100 g) y frijol negro (21.21 g/100 g). El contenido de fibra de la harina de guandul (6.9 g/100 g) fue alto en comparación con otras leguminosas como el P. lunatus (4.3 g/100 g) y similar al de P. vulgaris (8.3 g/100 g) encontrados por García-Pacheco et al. (2019).
Por sus características funcionales (Tabla 3) ambos tipos de harinas presentaron buenos parámetros para CAA y CAG (capacidad de absorción de aceite), principalmente la harina de ahuyama con CAA de 4.13 vs. CAG con 1.24 (g/g de muestra). Estos valores indican un buen parámetro del producto deshidratado, especialmente una elevada capacidad de rehidratación, útil para la elaboración de productos instantáneos (García-Pacheco et al., 2016). La harina de guandul presenta buenas características para formar emulsiones en fase liquida, lo que favorece las características de estabilidad de la bebida (Aguilera et al., 2011). Las harinas con estas características son muy utilizadas para la elaboración de productos de panificación y repostería (García-Pacheco et al., 2016) debido a los valores de CFE (25.5%) (Tabla 3) que fueron similares a los obtenidos por Miquilena et al. (2016) y mayores a los encontrados por García et al. (2012) (18.44%). Las características funcionales de CAA en harina de ahuyama y CFE en la harina de guandul favorecieron la aceptabilidad de la bebida alta en proteína y vitamina A (Figura 2.).
La proteína en ambos casos es de alto valor nutritivo, gracias a los 10 aminoácidos esenciales identificados (Tabla 4), con un contenido total de 49.19 g/100 g, valor superior al encontrado por Miquelina (41.02 g/100 g) y a los encontrados en harina de soya y frijol (Miquilena e Higuera, 2012). Es necesario señalar los contenidos de fenilalanina (9.96 g/100 g), lisina (8.48 g/100 g) y leucina (7.15 g/100 g) con valores suficientes para cubrir 10% de los requerimientos diarios de aminoácidos para niños entre 6 meses y 3 años de edad, y de 12.7% para adolescentes y adultos, según los requerimientos establecidos por la FAO (2013). El contenido de lisina es de particular interés, debido a su importancia nutritiva y sus funciones en los procesos de crecimiento y desarrollo en infantes y al hecho ser un aminoácido limitante en las proteínas de origen vegetal (Martínez y Martínez, 2006). El contenido de lisina por cada 100 g de proteína superó el requerimiento diario (30 mg/kg peso corporal) (Miquilena y Higuera, 2012).
El aporte nutricional de los productos (Tabla 6.) suple los requerimientos para proteína y vitamina A, establecidos en la Resolución 333 de 2011. Los productos bebida y arepa presentaron contenidos superiores a 10 g de proteína y 500 UI de vitamina A por poción (20% del requerimiento), con lo cual ambos alcanzaron la calificación ‘alta’. Por su parte, el producto pan con 10 g de proteína y 302 UI de vitamina A (10% del requerimiento) fue calificado como ‘buena fuente’.
Los tratamientos térmicos durante la elaboración de los productos afectaron de forma negativa el contenido de vitamina A, pasando de 8390 UI/100 g a 1054.4 UI/100 g en arepa, 500 UI/100 g en la bebida y 302 UI/100 g en pan (Tabla 6.), equivalentes a una pérdida de 73.8% y 80%, respectivamente. Los carotenoides contenidos en la harina de ahuyama son susceptibles a degradaciones por la severidad y la prolongación del tratamiento térmico al que fueron sometidos (García-Pacheco et al., 2016); en este caso, el pan fue elaborado a 250 °C por 30 min, condiciones en las que alcanzó la mayor pérdida de vitamina A.
Las pruebas sensoriales mostraron que el producto bebida rica en proteína y vitamina A presentó los mejores resultados de aceptabilidad (sabor y aroma), con rangos entre 3.5 y 5 (Figura 2), similares a los encontrados por Pérez y Granito (2015) para una bebida con sabor a chocolate de C. cajan y por Valencia et al. (2015) para una bebida a base de harina de ahuyama y lactosuero. La aceptabilidad de los productos arepa rica en proteína y vitamina A, y pan buena fuente de proteína y rico en vitamina A, obtuvieron calificaciones inferiores a 3 puntos, lo cual se asoció con el grado de cocción y horneado de la mezcla de la harina compuesta con el resto de ingredientes, en el cual los atributos de sabor y aroma presentaron mayor nivel de concentración, generando un grado de insatisfacción al momento de consumir el producto.
Con estos resultados la harina compuesta correspondiente a la formulación alta en proteína y vitamina A (Tabla 5) es una alternativa para la elaboración de bebidas ricas en estos nutrientes para la población colombiana, ya que cumple con todos los requerimientos de la legislación.
Conclusiones
Es posible la obtención y formulación de harinas compuestas a partir de C. moschata y C. cajan, que cubran los requerimientos diarios de proteína y vitamina A, tanto en niños mayores de 4 años como en adultos. Estas harinas pueden ser utilizadas para la elaboración de bebidas tipo coladas o refrescos, a diferencia de los productos de panadería y bollería que presentaron menor aceptabilidad. Con estos resultados, la harina compuesta correspondiente a la formulación alta en proteína y vitamina A es una alternativa para la elaboración de bebidas ricas en estos nutrientes con destino a la población, ya que cumple con todos los requerimientos de la legislación colombiana.
Referencias
Aguilera, Y.; Estrella, I.; Benitez, V.; Esteban, R. M.; Martín-Cabrejas, M. A. 2011. Bioactive phenolic compounds and functional properties of dehydrated bean flours. Food Research International, 44(3), 774-780. https://doi.org/10.1016/j.foodres.2011.01.004
AOAC. 2012. Official Methods of Analysis. Association of Official Analytical Chemists. https://www.aoac.org/official-methods-of-analysis-21st-edition-2019/
Castillo, G.; Villar, J.; Montano, R.; Martínez, C.; Pérez, F.; Albacete, A.; Sánchez, J. 2011. Cuantificación por HPLC del contenido de aminoácidos presentes en el FITOMAS -E. Rev. ICIDCA, 45(1), 64-67. https://www.redalyc.org/articulo.oa?id=223122251008
Castillo-Gómez, C.; Narváez-Solarte, W.; Hahn-Von- Hessberg, C. M. 2016. Agromorfología y usos del Cajanus cajanL. Millsp. (Fabaceae). Bol. Cient. Mus. Hist. Nat. Univ. Caldas, 20 (1), 52-62. http://dx.doi.org/10.17151/bccm.2016.20.1.5
De Moura, F.; Miloff, A.; Boy, E. 2015. Retention of Provitamin A Carotenoids in Staple Crops Targeted for Biofortification in Africa: Cassava, Maize, and Sweet Potato. Crit Rev Food Sci Nutr., 55(9),1246- 1269. https://doi.org/10.1080/10408398.2012.724477
FAO. 2005. Organización de las Naciones Unidas para la agricultura y la alimentación 2005. Políticas de seguridad alimentaria en los países de la comunidad Andina. Santiago, Chile. 197 p. http://www.comunidadandina.org/staticfiles/201161185212seguridad_alimentaria.pdf
FAO. 2013 . Food and agriculture organization of the United Nations. 2013. Dietary protein quality evaluation in human nutrition. FAO Food and nutrition paper. Report of an FAO Expert Consultation. Rome. 76 p. http://www.fao.org/3Za-i3124e.pdf
FAO; FIDA; OMS; PMA; UNICEF. 2017. El estado de la seguridad alimentaria y la nutrición en el mundo. Fomentando la resiliencia en aras de la paz y la seguridad alimentaria. Roma. FAO.144 p. http://www.fao.org/3/a-I7695s.pdf
García, O.; Aiello-Mazzarri, C.; Peña-Chirino, M. C.; Rúiz-Ramírez, J. L.; Acevedo-Pons, I del C. 2012. Caracterización físico-química y propiedades funcionales de la harina obtenida de granos de quinchoncho (Cajanus cajan (L.) Millsp.) sometidos a diferentes procesamientos. Revista Científica UDO Agrícola, 12(4), 919-928. http://www.bioline.org.br/pdf?cg12105
García-Pacheco, Y. E.; Prieto, M.; Fuenmayor, C. 2016. Cinética, modelación y pérdidas de carotenoides para el secado de ahuyama (Cucurbita moschata) en cubos. Agronomía Colombiana. 32 (1Supl.), S57-S576. https://www.researchgate.net/publication/313988330_Cinetica_modelacion_y_perdidas_de_carotenoides_para_el_secado_de_ahuyama_Cucurbita_moschata_en_cubos
García-Pacheco, Y.; Cabrera Mercado, D.; Ballestas Santos, J.; Campo Arrieta, M. 2019. Efecto de diferentes tratamientos térmicos sobre las propiedades tecfuncionales de la harina de fríjol blanco (Phaseolus lunatus L.) y la determinación de su potencial uso agroalimentario. INGE CUC.15(2),132-142. https://doi.org/10.17981/ingecuc.15.2.2019.13
Guzmán, N. M. J. 2017. Causas que Conllevan a una Inseguridad Alimentaria. Memorias de Congresos UTP, 186-193. http://revistas.utp.ac.pa/index.php/memoutp/article/view/1492/
Jaeger, L. M. J.; Barros, P.; de Oliveira, R. L.; Pacheco, S.; Fernandes, P. H.; Viana, J. L.; Ramalho, S. R. 2012. Total carotenoid content, a-carotene and p-carotene, of landrace pumpkins (Cucurbita moschata Duch); A preliminary study. Food Research International , 47(2), 337-340. https://doi.org/10.1016/J.FOODRES.2011.07.040
Lim, J. 2011. Hedonic scaling: A review of methods and theory. Food Quality and Preference, 22(8), 733-747. https://doi.org/10.1016/j.foodqual.2011.05.008
Mabel, L. M. S.; Brayand, Z. O. K. 2019. Influencia de la madurez y tamaño de partícula de harina de la cascara de plátano dominico hartón (Musa AAB SimmonsJ en la calidad de pan integral. Tesis de pregrado. Universidad Nacional del Santa. http://repositorio.uns.edu.pe/bitstream/handle/UNs/3301/49002.pdf?sequence=1yisAllowed=y
Martínez, O.; Martínez, E. 2006. Proteínas y péptidos en nutrición enteral. Nutrición Hospitalaria, 21(Supl. 2), 1-14. http://scielo.isciii.es/pdf/nh/v21s2/original1.pdf
Medina, S.; Martínez, O. y Hernández, M. Efecto del aireado en láminas de mango (Mangifera indiana L) y ahuyama (Cucubita moschata Duch). Rev. Agron Col. 2016, vol 34(1), 553-556. https://doi.org/10.15446/agron.colomb.v34n1supl.58354
Miquilena, E.; Higuera, A. 2012. Evaluación del contenido de proteína, minerales y perfil de aminoácidos en harinas de Cajanus cajan, Vigna unguiculata y Vigna radiata para su uso en la alimentación humana. Rev. Científica UDO Agrícola. 12(3), 730-740. https://dialnet.unirioja.es/servlet/articulo?codigo=4690191
Miquilena, E.; Higuera, A. y Rodríguez, B. 2016. Evaluación de propiedades funcionales de cuatro harinas de semillas de leguminosas comestibles cultivadas en Venezuela. Rev. Fac. Agron. (LUZ), 33, 58-75. http://produccioncientificaluz.org/index.php/agronomia/article/view/27193/27815
Ministerio de la protección social. 2011. Resolución 333 de 2011. Diario Oficial No. 47.984 de 15 de febrero de 2011. http://normograma.invima.gov.co/docs/resolucion_minproteccion_0333_2011.htm
Ministerio de Salud y Protección Social. 2015. Encuesta Nacional de Situación Nutricional (ENSIN). https://www.minsalud.gov.co/salud/publica/epidemiologia/Paginas/encuesta-nacional-de-situacion-nutricional-ensin.aspx.
Ministerio de Salud. 2016. Desnutrición infantil en Colombia: Marco de referencia. 50p. https://www.minsalud.gov.co/sites/rid/Lists/BibliotecaDigital/RIDE/DE/AS/papeles-salud-n3.pdf
Navarro, C.; Restrepo, D.; Pérez, J. 2014. El guandul (Cajanus cajan) una alternativa en la industria de los alimentos. Biotecnología en el Sector Agropecuario y Agroindustrial, 12(2), 197-206. http://www.scielo.org.co/pdf/bsaa/v12n2/v12n2a22.pdf
Osorio, A. M.; Romero, G. A.; Bonilla, H.; Aguado, L. F. 2018. Socioeconomic context of the community and chronic child malnutrition in Colombia. Revista de Saúde Pública, 52,73, 1-12. https://doi.org/10.11606/S1518-8787.2018052000394
Pérez, S.; Granito, M. 2015. Bebida achocolatada alta en proteínas con base en Cajanus cajan fermentado y avena. Anales Venezolanos de Nutrición 28(1), 1-20. https://www.analesdenutricion.org.ve/ediciones/2015/1/art-3/
Rodríguez, A. Y.; Camacho, J. M.; Baracaldo, C. M. 2016. Estado nutricional, parasitismo intestinal y sus factores de riesgo en una población vulnerable del municipio de Iza (Boyacá), Colombia año 2013. Revista chilena de nutrición, 43 (1), 45-53. http://dx.doi.org/10.4067/S0717-75182016000100007
Umaña, J.; Álvarez, C.; Lopera, S. M.; Gallardo, C. 2012. Caracterización de harinas alternativas de origen vegetal con potencial aplicación en la formulación de alimentos libres de gluten. Revista Alimentos Hoy. 22(29), 33-46. www.alimentoshoy.acta.org.co/index.php/hoy/article/download/230/223
Valencia, A.; Acurio, L.; Pérez, L.; Salazar, D.; Tamayo, V. 2015. Formulación y caracterización de bebidas nutricionales con base a zapallo y lactosuero, enriquecidas con avena y maracuyá. Enfoque UTE, 6(4):55-66. https://doi.org/10.29019/enfoqueute.v6n4.78