Articles
Recepción: 10 Noviembre 2021
Aprobación: 20 Diciembre 2022
DOI: https://doi.org/10.15446/acag.v71n2.99435
Resumen: El estudio de las características involucradas en el crecimiento y los efectos ambientales que son responsables de su variación en ganado Blanco Orejinegro (BON) son de gran importancia para estimular la cría y evitar su extinción. Los objetivos de este trabajo fueron describir las características de crecimiento en ganado BON y determinar la influencia de algunos factores ambientales sobre estas variables. Se comprobó información de 3218, 2264, 496, 2287, 325 y 408 registros para peso al nacimiento (PN); peso al destete (PD); peso al año (PA); ganancia diaria de peso al destete (GDP); tiempo para alcanzar 120 kg (T120); y tiempo para alcanzar 60 % de peso adulto (T60 %), respectivamente. Se realizaron ANAVAs para determinar la influencia de los factores número de parto (NP), sexo, época, edad al pesaje y grupo contemporáneo (GC). Las medias fueron 31.8 kg, 201.9 kg, 230.5 kg, 0.645 kg/día y 136.4 y 541.1 días, para PN, PD, PA, GDP, T120 y T60 %, respectivamente. Los efectos de NP (excepto para T60 %), GC, sexo y edad al pesaje fueron significativos, pero no la época del año en que se hizo el pesaje. En media, se encontró que animales hijos de vacas con NP 1 o 7 fueron significativamente más livianos; el GC mostró ser una fuente de variación importante debido a la interacción entre sexo-año-hato o hato-año. Estos resultados muestran que algunos factores ambientales afectan el crecimiento en la población BON y que esta es una raza con buen potencial productivo.
Palabras clave: Factores ambientales, fenotipo, productividad, recurso zoogenético, variabilidad.
Abstract: The study of the traits involved in the growth and the environmental effects that are responsible for its variation in Blanco Orejinegro (BON) cattle is important to stimulate its breeding and prevent its extinction. The objectives of this work were to characterize the growth traits of BON cattle and to determine the influence of some environmental factors on these variables. Information from 3218, 2264, 496, 2287, 325 and 408 records was verified for birth weight (BW), weaning weight (WW), and yearling weight (YW), average daily gain at weaning (ADG), time to reach 120 kg (T120) and time to reach 60 % of the adult weight (T60 %), respectively. ANOVAs were performed to determine the influence of the factors calving number (CN), sex, season, age at weighing and contemporary group (CG). The mean values were 31.8 kg, 201.9 kg, 230.5 kg, 0.645 kg/day, and 136.4 and 541.1 days, for BW, WW, YW, ADG, T120 and T60 %, respectively. The effects CN (except for T60 %), CG, sex and age at weighing were significant, but not the season. On average, animals born from cows with CN 1 or 7 were significantly lighter; the CG showed to be a source of important variation due to the interaction between sex-year-herd or herd-year. These results show that some environmental factors affect growth in the BON population and that this is a breed with good productive potential.
Keywords: Environmental factors, phenotype, productivity, animal genetic resource, variability.
Introducción
Colombia se caracteriza por poseer una gran diversidad de especies animales adaptadas a las condiciones ambientales del trópico, con elevado potencial para la producción sostenible de carne, leche, lana, fibras y para el trabajo (Anzola, 2005; Bedoya et al., 2001; Martínez, 2010; Martínez et al., 2013). Uno de estos recursos es la raza bovina criolla Blanco Orejinegro (BON), la cual lleva un proceso de selección natural cercano a 500 años y pertenece a la subespecie Bos taurus (López et al. 2001). Se caracteriza por su pelaje de color blanco, orejas negras y piel y morro altamente pigmentados (López et al., 2001). Su importancia económica radica en su rusticidad, habilidad para reproducirse, su longevidad y por ser un animal triple propósito (López et al., 2001).
Sin embargo y durante mucho tiempo, la raza BON redujo su número, lo que pudo ponerla en riesgo de extinción. Para el año 2018, había 2003 animales puros (FAO, 2018) debido a la preferencia por el uso de razas foráneas que poseen características productivas superiores, especialmente las relacionadas con crecimiento, pero inferiores en cuanto a características reproductivas de rusticidad y resistencia a enfermedades, si se comparan con las razas criollas (Anzola, 2005).
Sumado a lo anterior, la disponibilidad de información sobre las bases genéticas y ambientales que controlan aspectos relacionados con el desempeño de la raza BON es escasa, si se compara con resultados publicados para razas foráneas. De hecho, existen pocos trabajos recientes que analicen características como el peso al nacimiento (Martínez et al., 2012), peso al destete (Martínez et al., 2015) y ganancia diaria de peso entre el nacimiento y el destete (Martínez et al., 2015). Para las características de peso al año de vida, tiempo para alcanzar 120 kg o tiempo para alcanzar el 60 % de peso adulto no se encuentra información disponible o no es reciente.
Por lo tanto, el estudio de características involucradas con el crecimiento del ganado BON de Colombia y de los efectos ambientales que son responsables de su variación es de gran importancia para la modelación, predicción y realización de futuras evaluaciones genéticas, además genera información de soporte para la conservación y el aumento de la población de la raza. Dentro de los factores ambientales más influyentes sobre el desempeño de los bovinos están el año, el mes y la época de nacimiento o el pesaje, el sexo, la edad de la madre y el hato, entre otros (Hernández-Hernández et al., 2015)
Consecuentemente, el objetivo de este trabajo fue evaluar las características de crecimiento del ganado criollo Blanco Orejinegro y los efectos ambientales responsables de su variación.
Materiales y métodos
Población de estudio
Este estudio contó con aval del comité de ética de la Universidad Nacional de Colombia - Sede Medellín: Comité Institucional para el Cuidado y Uso de los Animales. Se analizó información productiva de ganado BON proveniente de 8 hatos con información histórica de fenotipos y pedigrí. Estos hatos están localizados en los departamentos de Antioquia, Caldas, Meta y Risaralda (Colombia). Las condiciones específicas de manejo, alimentación, sanidad, topografía y ubicación geográfica fueron diversos en todos los sistemas de producción.
Bases de datos
Se obtuvo información a partir de los registros productivos de animales nacidos entre el año 2000 hasta el año 2018. Se consideraron las características de crecimiento: peso al nacimiento (PN), peso al destete (PD), peso al año (PA), ganancia diaria de peso entre el nacimiento y destete (GDP), tiempo para alcanzar los 120 kg de peso vivo (T120) y tiempo para alcanzar el 60 % del peso adulto (T60 %). Toda la información fue analizada usando el programa R (R Core Team, 2020), en el que se eliminó información que estuviera fuera de tres desviaciones estándar y se dejaron animales con información completa relacionada con la identificación del hato, del animal y su madre, número de parto, fecha y peso al nacimiento, sexo, fecha y peso al destete y fecha y peso al año, para las características PN, PD y PA. La característica de GDP se calculó con base en la información disponible de PN y PD.
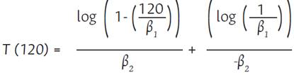
Las características de T120 y T60 % se calcularon a partir de los parámetros de la curva de crecimiento obtenidos por medio del modelo de Brody: / (Dominguez Viveros et al., 2017), haciendo uso de los pesos consecutivos en la vida de cada uno de los animales, con el peso al nacimiento como punto de partida, mínimo 4 pesajes y 800 días de edad por cada animal. La característica T120 se obtuvo despejando el tiempo de la ecuación de Brody, así:

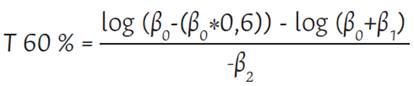
La ecuación para hallar el T60 % se obtuvo como en Ramírez et al. (2009) de la siguiente manera:

Los datos analizados incluyeron 3218, 2265, 496, 3387, 325 y 480 registros para PN, PD, PA, GDP, T120 y T60 %, respectivamente.
Análisis estadístico
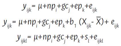
Se calculó la media, la desviación estándar y el coeficiente de variación para cada una de las características. Posteriormente, los datos fueron sometidos a un análisis de varianza para determinar la influencia de algunos efectos sobre estas características de crecimiento. Los modelos utilizados fueron los que se describen a continuación:

Donde es la característica evaluada en el animal (PN, PD, PA, GDP, T120, T60 %); es la media poblacional para la característica; es el efecto fijo del i-ésimo parto (i= 1, 2, ..., 7, con parto 7 = o > 7); es el efecto fijo del j-ésimo grupo contemporáneo, compuesto por hato, sexo y año de pesaje para las características PN, PD, PA y GDP. Para T120 y T 60% este efecto fijo estuvo compuesto por hato y año de nacimiento, (j = 1, 2, ..., n). Este GC se formó de acuerdo con el trabajo de Saldarriaga-Saldarriaga et al. (2020); es el efecto fijo de la k-ésima época de pesaje (k= Verano 1: enero, febrero, marzo; Verano 2: julio, agosto, septiembre; Invierno 1: abril, mayo, junio; e Invierno 2: octubre, noviembre, diciembre.); es el coeficiente de regresión fijo para la edad al destete o al año; es la edad del animal al destete o al año en días; es el promedio de los días de edad al destete o al año, estimado por medio del modelo lineal utilizado; es el efecto fijo del l-ésimo sexo (l=h y m); para las características T120 y T60 %, donde el sexo estaba por fuera del GC; es el error experimental. Todos los modelos cumplieron con los supuestos de homocedasticidad de varianzas y normalidad de los residuos; esto fue verificado por medio de las pruebas de Levene y Shapiro-Wilk, respectivamente. Para determinar las diferencias estadísticamente significativas, a factores con más de dos niveles se les aplicó la prueba de comparación de medias de Tukey con un nivel de significancia del 5 %, usando el paquete LSmeans del programa R (R Core Team, 2020).
Resultados
La Tabla 1 presenta medias, desviaciones estándar y coeficientes de variación (CV) de las características evaluadas. Las medias fueron: 31.8 ± 3.5 kg (PN), 201.9 ± 34.2 kg a una edad promedio de 265.6±30.6 días (PD), 230.5±37.3 kg a una edad media (edad del pesaje más próximo al año) de 360.9±15.7 días (PA) 0.645±0.14 kg/día (GDP), 136.4±27.4 (T120) y 541.1±262.5 días o 18±8. 7 meses (T60 %). Esto mostró un potencial productivo y una variabilidad fenotípica en la raza BON.

Los factores que afectaron significativamente (P<0.05) cada característica de crecimiento en el BON son presentados en la Tabla 2 y fueron el número de parto (NP) (excepto para T60 %), el grupo contemporáneo (GC - hato-año-sexo para PD, PA, PN, GDP y hato-año para T120 y T60 %), el sexo (T120 y T60 %) y la edad al pesaje (para PD y PA), mas no la época de pesaje.

Discusión
En el estudio de las diferentes características de crecimiento se encontró un potencial productivo y una variabilidad fenotípica apreciable en la raza BON, en comparación con otros trabajos realizados con uno o varios hatos de BON. Así, para PN los resultados son superiores a los reportados anteriormente en ganado BON de 30±4 kg (Correa et al., 2011), 27.5±3.7 kg(Gallego et al., 2006; Martínez et al., 2012) y 28.3±3.6 kg (Ramírez-Toro et al., 2019). La tendencia a generar animales con mayores PN podría llevar a ciertas dificultades al parto, a pesar de que las hembras de esta raza han demostrado facilidad al parto (Anzola, 2005). Esta es una característica económicamente importante, pues puede implicar una mayor probabilidad de concepción e intervalo más corto entre partos (Ossa et al., 2011).
Para PD, los resultados son superiores a los encontrados en ganado BON por autores como Cañas et al. (2008), Correa et al. (2011), Martínez et al. (2012), Martínez et al. (2015) y Ramírez-Toro et al. (2019), quienes reportan pesos entre 165±29.16 kg y 196.3±31.4 kg con edades desde 240 hasta los 271.8 días. El PD es importante ya que representa cerca del 50 % del peso adulto del animal, puede ser indicativo de su desempeño a edades futuras y además muestra la capacidad materna de la vaca, un factor que es responsable de cerca del 60 % del crecimiento del animal a esta edad (Amaral et al., 2014) em bovinos da variedade Nelore Mocho, nascidos a partir de 1980, pertencentes a rebanhos localizados na região Nordeste do Brasil. Foram utilizados registros genealógicos de 45.785 animais nascidos entre 1960 e 2009. Os parâmetros e os valores genéticos foram estimados com o método de máxima verossimilhança restrita livre de derivadas (REML.
En el caso de PA, este peso es superior a la única información disponible en la raza (Arboleda, 1979). Sin embargo, es similar al PA promedio en la raza Nelore del Nordeste de Brasil, que varía entre 217.67±32.84 kg y 241.75± 42.20 kg (Amaral et al., 2014; Moreira et al., 2015) y Brahman de México, que tiene pesos promedio de 225.8±4.6 kg (Dominguez Viveros et al., 2017); igualmente, es inferior a los encontrados en la raza Brahman de Brasil de 290.9±56.8 kg (Hernández-Hernández et al., 2015) y a los de la raza Angus en Australia de 370±54 kg (Donoghue et al., 2016)a byproduct of\\nenteric microbial fermentation primarily in the rumen. Hence, reducing\\nenteric methane production is essential in any GHG emissions reduction\\nstrategy in livestock. Data on 1,046 young bulls and heifers from 2\\nperformance-recording research herds of Angus cattle were analyzed to\\nprovide genetic and phenotypic variance and covariance estimates for\\nmethane emissions and production traits and to examine the\\ninterrelationships among these traits. The cattle were fed a roughage\\ ndiet at 1.2 times their estimated maintenance energy requirements and\\nmeasured for methane production rate (MPR. No obstante, estas son razas de producción especializada de carne, mientras que el BON se considera un animal de triple propósito con pocos trabajos recientes de selección, por lo que las similitudes encontradas para esta característica con las razas mencionadas sugieren que la raza BON, en condiciones de manejo especializadas de producción de carne, puede competir en términos de productividad en condiciones del trópico de Colombia, dada su adaptación a este medio.
En relación con estudios en animales de otras razas, la GDP del ganado BON es superior a la reportada en la raza criolla Costeño con Cuernos de 0.605 kg/día (Ossa et al., 2011) e inferior a la encontrada en ganado Brahman de Brasil de 0.8±0.13 kg/día (Manuel et al., 2019). Esta es una característica económicamente importante que contribuye a la eficiencia en la producción, ya que las altas ganancias de peso están relacionadas con mayor precocidad reproductiva de los animales (Zhang et al., 2016), y en la raza han sido relacionadas con su adaptación a diversas áreas agroecológicas de Colombia, que permiten su adecuado desempeño (Martínez et al., 2012).
El T120 de este trabajo es el primer reporte de este tipo de característica de velocidad de crecimiento en ganado BON de Colombia, y es un rasgo similar a otros usados para medir este carácter, que puede ser usado como criterio de selección de precocidad de los animales y de la habilidad materna para producir leche (Garnero et al., 2001; Marestone et al., 2019), además, estudios en Brasil han mostrado que la heredabilidad de este tipo de características es alta, por lo que la identificación y selección de animales de rápido crecimiento ha sido una herramienta para mejorar los sistemas de reproducción (Marestone et al., 2019). En el presente trabajo se puede apreciar que existe variabilidad al T120 (CV del 20.13 %); estos menores tiempos son más favorables, y ello está asociado en parte al manejo dado en cada región. En Nelore hay variación en los días para alcanzar 160 kg: entre 175.7±34.2 días (Marcondes et al., 2000) y 265.2±58.6 días con un CV del 22.1 % (Henrique et al., 2005).
Al igual que para T120, para T60 % no hay reportes en la raza sobre esta característica, sin embargo, es importante mencionar que los animales de la raza alcanzan el 60 % del peso vivo adulto (equivalente a madurez sexual) alrededor de los 18 meses, lo que hace la raza altamente eficiente para reproducción. Estos resultados son similares a los encontrados en hembras cruzadas en el trópico con una madurez entre 53 % y 60 % a los 18 meses de edad (Ramírez et al., 2009), e inferiores a los encontrados en la raza Romosinuano de 601±38.3 días y en ganado Cebú de 713±60.5 días (Grajales et al., 2019). Esta característica es un indicativo de la velocidad de crecimiento y de la madurez sexual del bovino, y está relacionada con mejores parámetros reproductivos y una mayor vida útil de los animales en el hato (Ramírez et al., 2009).
Con respecto a los factores que influencian las características de crecimiento en el BON, el efecto GC compuesto por los factores hato-año-sexo para PD, PA, PN, GDP y hato-año para T120 y T60 % indica que estas variables y su interacción tuvieron una influencia significativa sobre todas las características, lo que se puede atribuir a los cambios de disponibilidad de forraje, procesos de selección y de manejo en los diferentes hatos, así como las variaciones climáticas entre los años (Martins et al., 2000)os coeficientes de herdabilidade e as correlagoes genéticas, fenotípicas e de ambiente para os pesos ao nascer e á desmama e para o ganho de peso do nascimento á desmama. As análises estatísticas foram realizadas utilizando- se o método dos quadrados mínimos para dados com freqüencias desiguais nas subclasses. Os pesos médios observados ao nascer,o peso a desmama (aos 205 dias.
Estos resultados, junto con el efecto del sexo sobre T120 y T60 %, también reflejan que generalmente en los bovinos BON los machos son los más pesados, no solo al nacer sino también en todas las edades; esa diferencia se atribuye a la capacidad genética de los machos para presentar mejores índices de crecimiento, posiblemente por la influencia de factores hormonales y dimorfismo sexual (Cañas et al., 2008; Martins et al., 2000os coeficientes de herdabilidade e as correlagoes genéticas, fenotípicas e de ambiente para os pesos ao nascer e á desmama e para o ganho de peso do nascimento á desmama. As análises estatísticas foram realizadas utilizando- se o método dos quadrados mínimos para dados com freqüencias desiguais nas subclasses. Os pesos médios observados ao nascer,o peso a desmama (aos 205 dias)os coeficientes de herdabilidade e as correlagoes genéticas, fenotípicas e de ambiente para os pesos ao nascer e á desmama e para o ganho de peso do nascimento á desmama. As análises estatísticas foram realizadas utilizando-se o método dos quadrados mínimos para dados com freqüencias desiguais nas subclasses. Os pesos médios observados ao nascer,o peso a desmama (aos 205 dias, lo que les da superioridad sobre las hembras durante todas las fases de crecimiento. En estudios similares en ganado BON, Martínez et al. (2012) han encontrado que el hato, el año de nacimiento y el sexo son fuentes de variación importantes para todas las características. En el caso del efecto del año, se muestra una gran variabilidad desde 1979 a 2004. En el caso del efecto del sexo, en general los machos pesaron en media 1.5 y 8 kg más que las hembras BON para el PN y PD, respectivamente.
Estos datos son de gran importancia, puesto que, por ejemplo, animales que alcanzan el 60 % de su peso adulto en menor tiempo pueden comenzar su vida reproductiva más rápido, lo que llevará a mayor precocidad y a su vez a mejores parámetros reproductivos y a una mayor longevidad de los animales (Ramírez et al., 2009).
El efecto del NP fue significativo para todas las características, excepto T60 %, pues las crías hijas de vacas de primer parto (datos no mostrados) fueron las de menores pesos para PN (31.5±0.13 kg), PD (197±1.39 kg) y GDP (0.632±0.005 kg día), ya que estas generalmente paren terneros más livianos, tienen menor capacidad productiva de leche y presentan mayores dificultades de adaptación al manejo, lo que les impide expresar su potencial materno (Martínez et al., 2012), además, en ese momento no han llegado a la madurez y su organismo da prioridad a llenar sus propios requerimientos de crecimiento (Martins et al., 2000)os coeficientes de herdabilidade e as correlagoes genéticas, fenotípicas e de ambiente para os pesos ao nascer e á desmama e para o ganho de peso do nascimento á desmama. As análises estatísticas foram realizadas utilizando-se o método dos quadrados mínimos para dados com freqüencias desiguais nas subclasses. Os pesos médios observados ao nascer,o peso a desmama (aos 205 dias. Para PA, el efecto de NP también fue significativo, pero en este caso progenies de madres con partos iguales o superiores a 7 y las de primer parto representaron el menor promedio de peso (227±3.89 y 227±2.93 kg respectivamente). La existencia de efecto del NP sobre PA puede ser explicado porque en la cría se presenta un efecto materno residual tiempo después del destete (Gallego et al., 2006).
El NP no fue significativo para el T60 %, probablemente porque este efecto residual ya no está presente a esa edad, similar a lo encontrado en ganado BON por Martínez et al. (2012) a los 480 días de edad; y en ganado Nelore para peso a los 550 días por Ernandes et al. (2003) y por Rocha et al. (2003), donde la edad de la vaca al parto no fue una fuente de variación significativa, pues el animal es totalmente independiente en su alimentación y ya ha desarrollado su potencial genético para el crecimiento y la capacidad de ingerir y digerir los alimentos disponibles y convertirlos en tejidos.
La época de pesaje no fue significativa para ninguna característica, resultados similares a los encontrados en ganado BON por Cañas et al. (2008), quienes observaron que no había diferencia en el peso al destete entre épocas secas y lluviosas. Para pesos posteriores, Martínez et al. (2012) han reportado en ganado BON que la época no es un factor que influencie los parámetros de peso a edades posdestete (480 días). Estos resultados son similares a los encontrados por Montes et al. (2009) en la raza Brahman, donde los pesos de los terneros nacidos según las épocas de nacimiento fueron similares, debido al manejo nutricional al que eran sometidas las vacas.
El efecto de la covariable edad al destete (que osciló entre 180 y 329 días) y edad al año (entre 331 y 395 días) fue significativo sobre el peso al destete y año. Al realizar el análisis de regresión de estas covariables se encontraron unos coeficientes de regresión de 0.308±0.014 kg y 0.2141±0.08 kg respectivamente, ambos valores positivos y significativos (P<0.05), es decir, la edad de pesaje es una variable que influye alta y linealmente en el PD y en el PA de los animales. Este coeficiente se puede relacionar con la GDP, y significa que en media los animales aumentan 308 gramos en PD y 214 gramos en PA por cada día adicional para cada una de estas características. Estos resultados son similares a los encontrados Rocha et al. (2003) en ganado Nelore de 0.231±0.114 kg y 0.283±0.110 kg para GDP entre los de 205 a 365 días de edad y GDP entre los 365 a 550 días de edad, respectivamente; allí se evidencia también un comportamiento lineal de la edad como covariable.
Estos resultados muestran que algunos factores ambientales afectan el crecimiento en la población BON y que esta es una raza con buen potencial productivo. Además, mostraron que esta raza puede ser una alternativa para la producción sostenible de carne en Colombia, ya que es un recurso criollo adaptado a nuestras condiciones, lo que ayudará a incentivar su uso.
Conclusiones
Las características de crecimiento aquí estudiadas mostraron que la raza BON posee potencial productivo para carne, por lo que es una gran alternativa para producir proteína de origen animal en condiciones de trópico colombiano. Además, se encontró que dentro de la raza existe variabilidad fenotípica para las diferentes características de acuerdo con los factores ambientales estudiados.
Agradecimientos.
A Minciencias, a la Universidad Nacional de Colombia - Sede Medellín y a la Universidad Tecnológica de Pereira por la financiación de este trabajo [contrato P44842-015-2018].
Referencias
Amaral, R. dos S.; Carneiro, P. L. S.; Martins Filho, R.; Ambrosini, D. P. y Malhado, C. H. M. (2014). Tendências, parâmetros fenotípicos e genéticos de características de crescimento em bovinos Nelore mocho do Nordeste brasileiro. Revista Brasileira de Saúde e Produção Animal, 15(2), 261-271. https://doi.org/10.1590/S1519-99402014000200003
Anzola, H. J. (2005). Conservación y utilización de las razas bovinas criollas y colombianas para el desarrollo rural sostenible. Archivos de Zootecnia, 54(206-207), 141-144. http://www.redalyc.org/articulo.oa?id=49520704
Arboleda, O. (1979). Correlaciones entre pesos vivos y medidas corporales del ganado Blanco Orejinegro a diferentes edades. Revista Facultad Nacional de Agronomía, 32(2), 27-42. https://revistas.unal.edu.co/index.php/refame/article/view/28286
Bedoya, G.; Carvajal, L. G.; Moreno, F. L.; Davies, S.; Derr, J.; Ossa, J. y Ruiz, A. (2001). Estructura molecular y poblacional del ganado criollo Colombiano (GCC). Revista Colombiana de Ciencias Pecuarias, 14(2), 109-120. https://revistas.udea.edu.co/index.php/rccp/article/view/323757/20780944
Cañas, J. J.; Ramírez, J.; Arboleda, O.; Ochoa, J.; Vergara, O. y Cerón, M. (2008). Estimación de parámetros genéticos para peso al destete en ganado Blanco Orejinegro (BON) en el noroccidente colombiano. Revista MVZ Córdoba, 13(1), 1138-1145. https://doi.org/10.21897/RMVZ.405
Correa, E. D.; Martínez, R. y Echeverri, J. (2011). Caracterización productiva de una población de bovinos Blanco Orejinegro (BON) en siete hatos colombianos. Actas Iberoamericanas de Conservacion Animal, 1(2011), 434-436. http://www.uco.es/conbiand/aica/templatemo_110_lin_photo/articulos/2011/Correa2011_1_434_436.pdf
Domínguez-Viveros, J.; Urbina-Valenzuela, A. R.; Palacios-Espinoza, A.; Callejas-Juárez, N.; Ortega-Gutiérrez, J. Á.; Espinoza-Villavicencio, J. L.; Padrón-Quintero, Y. y Rodríguez-Castro, M. (2017). Caracterización del crecimiento de bovinos cebú en pruebas de comportamiento en pastoreo. Ecosistemas y Recursos Agropecuarios, 4(11), 341-348. https://doi.org/10.19136/era.a4n11.1149
Donoghue, K. A.; Bird-Gardiner, T.; Arthur, P. F.; Herd, R. M. y Hegarty, R. F. (2016). Genetic and phenotypic variance and covariance components for methane emission and postweaning traits in Angus cattle. American Society Of Animal Science, 94(4), 1438-1445. https://doi.org/10.2527/jas.2015-0065
Ernandes, J.; Sousa, R. De; Filho, R. M.; Maria, S.; y Oliveira, P. De. (2003). Influência dos fatores de ambiente no desempenho ponderal de bovinos da raça Nelore no Estado do Ceará. Influence of environment factors on ponderal performance of Nelore cattle in state of Ceará, Brazil. Revista Ciencia Agronomica, 34(2). http://webcache.googleusercontent.com/search?q=cache:kS3toyObAzcJ:www.ccarevista.ufc.br/site/down.php%3Farq%3D03rca34-2.pdf&cd=2&hl=es-419&ct=clnk&gl=ec
FAO - Organización de las Naciones Unidas para la Alimentación y la Agricultura. (2018). Sistema de información sobre la diversidad de los animales domésticos (DAD-IS): Blanco Orejinegro / Colombia (Cattle). Blanco Orejinegro / Colombia (Cattle). http://www.fao.org/dad-is/es/
Gallego, J. L.; Martínez, R. A. y Moreno, F. L. (2006). Índice de consanguinidad y caracterización fenotípica y genética de la raza bovina criolla Blanco Orejinegro. Corpoica Ciencia y Tecnología Agropecuaria, 7(1), 16-24. https://doi.org/10.21930/rcta.vol7_num1_art:55
Garnero, A. del V; Gunski, R. J. B.; Schwengber, E. B. y Lôbo, R, B. (2001). Comparación entre criterios de selección para características de crecimiento correlacionados con edad al primer parto en la raza Nelore. Livestock Research for Rural Development, 13(2). http://www.lrrd.org/lrrd13/2/garn132.htm
Grajales, H.; Hernández, A. y Prieto, E. (2019). Edad y peso a la pubertad y su relación con la eficiencia reproductiva de grupos raciales bovinos en el trópico colombiano. Livestock Research for Rural Development , 18(10). http://www.lrrd.org/lrrd18/10/graj18139.htm
Hernández-Hernández, N.; Martínez-González, J.; Parra-Racamonte, G.; Ibarra-Hinojosa, M.; Briones-Encinia, F.; Saldaña-Campos, P. y Ortega-Rivas, E. (2015). Non-genetic effects on growth characteristics of Brahman cattle. Revista MVZ Córdoba , 20(1), 4427-4435. https://doi.org/10.21897/rmvz.72
López, A.; Saldarriaga, O. A.; Arango, A. E.; Fabio, N.; Olivera, M.; Bedoya, G. y Ossa, J. E. (2001). Ganado Blanco Orejinegro (BON): una alternativa para la producción en Colombia. Revista Colombiana de Ciencias Pecuarias , 14(2), 121-128. https://doi.org/10.17533/udea.rccp.323758
Manuel, M.; Cavani, L.; Millen, D. D.; Andrighetto, C.; Lupatini, G. C. y Fonseca, R. Da. (2019). Estimation of genetic parameters for weight traits and Kleiber Index in a Brahman cattle population. Scientia Agricola, 76(6), 459-462. https://doi.org/10.1590/1678-992x-2018-0062
Marcondes, C. R.; Bergmann, J. A. G.; Eler, J. P.; Ferraz, J. B. S.; Pereira, J. C. C. y Penna, V. M. (2000). Análise de alguns critérios de seleção para características de crescimento na raça Nelore. Arquivo Brasileiro de Medicina Veterinária e Zootecnia, 52(1), 83-89. https://doi.org/10.1590/S0102-09352000000100018
Marestone, B. S.; De Souza Dantas Muniz, C. A.; De Azambuja Ribeiro, E. L. y Simonelli, S. M. (2019). Environmental effects on pre-weaning traits in Santa Gertrudis cattle. Semina: Ciencias Agrarias, 40(3), 1297-1306. https://doi.org/10.5433/1679-0359.2019v40n3p1297
Martínez Correal, G. (2010). Plan Nacional de acción para la conservación, mejoramiento y utilización sostenible de los recursos genéticos animales de Colombia: informe final/Recurso electrónico. (FAO); primera ed.: Procesos Digitales Ltda.
Martínez, G.; Torres, J.; Guio, P. y Ballesteros, H. (2015). Utilización de toros criollos y su efecto en rasgos de reproducción y crecimiento, en un sistema de cría en la Orinoquía colombiana. Actas Iberoamericanas de Conservación Animal, 5(2015), 44-50. https://aicarevista.jimdo.com/app/download/11698019825/AICA2014_Trabajo012.pdf?t=1610047402
Martínez, R, Llinás, A. P. y M.-Rocha, J. F. (2013). Genetic variability in Blanco Orejinegro breed cattle populations in Colombia. Genetics and Molecular Research, 12(2), 1083-1094. https://doi.org/10.4238/2013.April.10.4
Martínez, R.; Vásquez, R. y Gallego, J. L. (2012). Eficiencia productiva de la raza BON en el trópico colombiano. En Corpoica (primera ed., vol. 1): Corporación Colombiana de Investigación Agropecuaria, Corpoica.
Martins, G. A.; Martins Filho; R., Lima, F. de A. M.; y Lôbo, R. N. B. (2000). Influência de fatores genéticos e de meio sobre o crescimento de bovinos da raça Nelore no Estado do Maranhão. Revista Brasileira de Zootecnia, 29(1), 103-107. https://doi.org/10.1590/S1516-35982000000100014
Mendes, C.; Filho, R. M.; Nonato, R.; Lôbo, B.; Facó, O.; Machado, D.; Souza, J. C. De y Pinheiro, S. (2005). Tendências genéticas para características relacionadas à velocidade de crescimento em bovinos Nelore na região nordeste do Brasil. Revista Brasileira de Zootecnia , 34(1), 60-65. https://doi.org/10.1590/S1516-35982005000100008
Montes-V, D.; Vergara-G, O.; Prieto-M, E. y Barragán-H, W. (2009). Estimación de la repetibilidad y factores que afectan el peso al nacer y al destete en ganado bovino cebú Brahman. Revista Colombiana de Ciencia Animal - RECIA, 1(1), 19. https://doi.org/10.24188/recia.v1.n1.2009.405
Moreira, H. L.; Canova, E. B.; Munari, D. P.; Bezerra, L. A. F.; Lôbo, R. B. y Paz, C. C. P. (2015). Parâmetros genéticos para período de gestação e características de crescimento pré e pós desmame em bovinos Nelore. Boletim de Indústria Animal, 72(2), 130-135. https://repositorio.usp.br/item/002759904
Ossa, G.; Abuabara, Y.; Pérez García, J. E. y Martínez, G. (2011). El ganado criollo colombiano Costeño con Cuernos (CCC). Animal Genetic Resources, 48, 101-107. https://doi.org/10.1017/S2078633611000014
R Core Team. (2020). R: A language and environment for statistical computing (4.0.0). R Foundation for Statistical Computing. https://www.r-project.org
Ramírez-Toro, E. J.; Ocampo-Gallego, R. J., Burgos-Paz, W. O.; Elzo, M. A., Martínez-Sarmiento, R. A. y Cerón-Muñoz, M. F. (2019). Estimación poligénica y genómico-poligénica para características de crecimiento en ganado Blanco Orejinegro (BON). Livestock Research for Rural Development , 31(3). http://www.lrrd.org/lrrd31/3/ceron31030.html
Ramírez, E.; Cerón-Muñoz, M.; Herrera, A. C.; Vergara, O. D.; Arboleda, E. M. y Restrepo, L. F. (2009). Crecimiento de hembras cruzadas en el trópico colombiano. Revista Colombiana de Ciencias Pecuarias , 22(4), 642-647. http://www.scielo.org.co/scielo.php?script=sci_abstract&pid=S0120-06902009000400007&lng=es&nrm=iso&tlng=es
Rocha, J. L.; Pimenta Filho, E. C.; Ribeiro, M. N. y Martins Filho, R. (2003). Efeitos ambientais e genéticos sobre o ganho em peso diário de bovinos Nelore no Estado da Paraíba. Revista Brasileira de Zootecnia , 32(2), 325-330. https://doi.org/10.1590/S1516-35982003000200010
Saldarriaga-Saldarriaga, A.; González-Herrera, L. G.; Londoño-Gil, M.; Flórez, J. C. R. y López-Herrera, A. (2020). Best linear model to explain variability in the growth in Blanco Orejinegro cattle and effect of the serological status for bovine viral diarrhea and bovine leukosis. Semina: Ciências Agrárias, 41(4), 1385-1398. https://doi.org/10.5433/1679-0359.2020v41n4p1385
Zhang, W.; Li, J.; Guo, Y.; Zhang, L.; Xu, L.; Gao, X.; Zhu, B.; Gao, H.; Ni, H. y Chen, Y. (2016). Multi-strategy genome-wide association studies identify the DCAF16-NCAPG region as a susceptibility locus for average daily gain in cattle. Scientific Reports, 6(November), 1-11. https://doi.org/10.1038/srep38073