Articles
Received: 02 May 2020
Accepted: 29 March 2022
DOI: https://doi.org/10.15446/acag.v71n3.86955
Abstract: Jambu (Acmella oleracea [(L.) RK Jansen]) is a vegetable of great importance in the Amazonian region; it can be found in the daily life of the citizens of the State of Pará (Brazil), since it is part of traditional dishes such as duck in tucupi and tacacá sauce. Although jambu is widely cultivated, agronomic information about its management remains scarce. The aim of the current study was to analyze the physiological potential of jambu seeds stored in different packages and environments. The investigated packages comprised glass, Eppendorf tubes, plastic bags and paper bags conditioned in refrigerator and under natural conditions in Castanhal, Pará, for 360 days. Seed germination, first germination count, emergence seedlings, germination and emergence speed index, and seedling dry weight and length were the variables evaluated at 40-day intervals. The experimental design was completely randomized, with four replicates of 50 seeds per treatment. Jambu seeds were only influenced by the environment where they were stored; the ones stored under natural conditions recorded decreasing behavior for the investigated variables until they reached zero, after 280 storage days. It was possible to conclude that the physiological potential of jambu seeds stored in refrigerator was better conserved.
Keywords: Amazonian region, longevity, unconventional plant, vegetable, vigor.
Resumen: El jambú (Acmella oleracea [(L.) RK Jansen]) es una hortaliza de gran importancia para la región amazónica; se puede encontrar en la vida cotidiana de los ciudadanos del Estado de Pará (Brasil), ya que forma parte de platos tradicionales como pato en salsa de tucupi y salsa tacacá. Aunque el jambú es ampliamente cultivado, la información agronómica sobre su manejo sigue siendo escasa. El objetivo del presente estudio fue analizar el potencial fisiológico de las semillas de jambú almacenadas en diferentes envases y entornos. Los envases investigados comprendieron vidrio, tubos Eppendorf, bolsas de plástico y bolsas de papel acondicionados en frigorífico y en condiciones naturales en Castanhal, Pará, durante 360 días. La germinación de semillas, el primer conteo de germinación, las plántulas de emergencia, el índice de velocidad de germinación y emergencia, y el peso seco y la longitud de las plántulas fueron las variables evaluadas en intervalos de 40 días. El diseño experimental fue completamente al azar, con cuatro repeticiones de 50 semillas por tratamiento. Las semillas de jambú solo fueron influenciadas por factores del ambiente de almacenamiento; las semillas almacenadas en condiciones naturales registraron un comportamiento decreciente para las variables investigadas hasta llegar a cero, luego de 280 días de almacenamiento. Se pudo concluir que se conservó mejor el potencial fisiológico de las semillas de jambú almacenadas en refrigeración.
Palabras clave: Región amazónica, longevidad, plantas no convencionales, verdura, vigor.
Introduction
Jambu (Acmella oleraceae [(L.) R. K. Jasen]) is an unconventional vegetable of large sociocultural importance for the Amazonian region in Brazil (Homma et al., 2011). It is found in the daily life of the citizens of the State of Pará, since it is used in traditional meals of the local cuisine such as duck in tucupi and tacacá sauce (Santos and Pascoal, 2013; Almeida et al., 2014). Some agronomic aspects of jambu cultivation have been investigated (Borges et al., 2013); however, it is necessary to conduct further studies focused on crop management, as well as on jambu seed production and conservation processes. Jambu is widely grown by family farmers, who always store part of the seed production to use it in the next crop (Silva et al., 2010; Batista et al., 2019).
Thus, it is necessary to store jambu seeds in a proper way to assure that producers will be able to use high-quality lots in the next crop. According to Dode et al. (2012), it is essential to use quality seeds capable of establishing in the field in a proper manner. Therefore, studies focused on seed storage, taking into consideration the features of each region, are relevant to help improve seed conservation processes. According to Neto et al. (2012), the selection of appropriate packages is an essential factor to help maintain seed viability for some time. Seed quality, initial water content in seeds, temperature and interaction among packages, time, and environment are the factors acting in the physiological quality of stored seeds (Carvalho and Nakagawa, 2012).
Based on these aspects, the use of adequate packaging helps to mitigate the effects of deterioration, preserving seeds for significant periods of time and adapting storage conditions to the reality of producers. However, environmental conditions, such as temperature and relative humidity, can affect seed aging processes (Popinigis, 1985). Although jambu is an unconventional vegetable widely cultivated in Northern Brazil, the literature in the area lacks specific information about the conservation of its seeds. Therefore, the aim of the present study was to evaluate the physiological quality of jambu seeds stored in different packages under different environmental conditions.
Materials and methods
The study was developed under humid megathermal equatorial climate of the Ami type and Af subtype (which, based on the Köppen-Geiger classification, correspond to rainy (humid) tropical climate); the annual precipitation in the region is 2.432 mm and the average temperature reaches 26.5° C (Climate Data, n.d.). Data about temperature and relative humidity in Castanhal, PA, were collected in the database of the A202 station of the National Institute of Meteorology (Instituto Nacional de Metereologia - INMET) from February 2016 to February 2017. According to climatic data collected during the storage period, the highest average temperature and lowest relative humidity (RH) were recorded in February 2016, while the lowest temperature and the highest RH were observed in February 2017. However, RH recorded an average variation of 16.89 %, although it remained higher than 71 %; temperature registered a mean variation of 2.28° C.
Jambu seeds were initially seeded in Styrofoam seedling trays filled with earthworm humus and kept in greenhouse under natural conditions. Plants were transplanted to seedbeds (1.0 x 3.0 m), spaced 0.25 x 0.25 m from each other, at 38 days after seeding (DAS). Sprinkler irrigation and manual weeding for weed control purposes were performed daily or as needed.
Seeds were harvested manually at 80 days after emergence (DAE). Then, they were submitted to beneficiation, which consisted in removing the apical part of floral chapters that presented immature seeds; it was done to allow better padronization, since they present irregular maturation. Subsequently, floral buds were submitted to preliminary drying protected from direct sunlight for five days. Then, they were transferred to a drying oven equipped with air circulation at 60° C for 30 minutes to reduce seed water content to values below 10 %. Seeds were manually removed from floral buds and subjected to a drying oven at 105 ± 3° C for 24 hours (Brasil, 2009) to determine their water content. The experiment comprised two repetitions and the seed water content was set at 7 %.
Given the lack of padronization in the Rules for Seed Analysis (Regras para Análises de Sementes - RAS), a preliminary germination test was conducted at different temperature conditions to determine the most appropriate temperature for the tests (Brasil, 2009). Thus, four replications comprising 50 seeds seeded in Petri dishes covered with two germitest paper sheets moistened with distilled water were performed. Next, seeds were placed in biochemical oxygen demand (BOD) germinators regulated at 20° C, 25° C, 30° C, and 35° C, under photoperiods of 12 h for 10 days. The best results were recorded at 25° C with 95 % germination; this temperature was adopted in germination tests conducted during storage.
Seeds were stored in four packaging types: white monolucid paper bag or “popcorn bag”, which represented permeable packaging; plastic bag, which represented semi-permeable packaging; and Eppendorf microtube and glass, which represented waterproof packaging. Next, seeds were stored in two different environments, namely domestic refrigerator (7° C ± 1° C), and natural environment (25° C ± 2° C; -RH = 71 % ± 12 %). Evaluations were performed every 40 days, as follows: zero (start day), 40, 80, 120, 160, 200, 240, 280, 320 and 360 days.
The experiment followed a completely randomized design, with four repetitions containing 50 seeds; the treatments were analyzed based on two factorial arrangements: 2 x 4 (environment x packaging) and 2 x 9 (environment x storage period). Data were subjected to analysis of variance; means were compared through Tukey’s test (p < 0.05). The quantitative data were subjected to polynomial regression analysis at R2 ≥ 60 %. The variables analyzed were germination, first germination count, germination speed index, seedling length, seedling dry mass, emergence, and emergence speed index.
For the variable germination (%), four repetitions comprising 50 seeds were sown in Petri dishes covered with two germitest paper sheets moistened with distilled water. They were placed in BOD germinator regulated at 25° C, under a 12 h photoperiod, and analyzed at 10 DAS after stabilization, for the first germination count (%), which was performed together with the germination test in order to determine the normal seedling rate in the four DAS analyzed. For the germination speed index, which was performed together with the germination test, daily counts were done for 10 days and calculations were based on the formula proposed by Maguire (1962).For the seedling length (cm/seedling), 15 seedlings were measured per repetition using a ruler. For the seedling dry mass (g/seedling), 20 seedlings were packed in white monolucid paper bags, placed in drying oven equipped with air circulation at 65° C for 72 hours and weighed in analytical scale (0.0001). For the emergence (%), four repetitions comprising 50 seeds sown in plastic trays filled with sterilized sand and placed in drying oven at 105° C for 24 hours were performed (Brasil, 2009). The emergence rate was evaluated at 10 DAS and the emergence speed index was based on counts taken daily for 10 days (Maguire, 1962).
Results
Jambu seeds stored in refrigerator recorded the highest means for all evaluated variables, regardless of the packaging type (Table 1). Only the variable emergence of seeds stored in refrigerator presented adjustments to quadratic effect (R2 = 40 %) after samples were stored in each environment for all evaluated periods. However, all evaluated variables of seeds stored under natural conditions presented adjustments to the regression model.

Newly harvested seeds recorded a first germination mean count of 75 %. However, the highest means recorded for seeds stored in refrigerator were above 80 % over the evaluated periods (Figure 1A), whereas means recorded for seeds stored under natural conditions significantly decreased after 120 DAE until they dropped to zero after 240 days (Figure 1B).

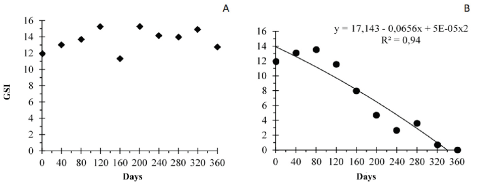
The germination of jambu seeds stored in refrigerator remained higher than 90 %, even in the last evaluated period (Figure 2A). Seeds stored under natural conditions presented adjustments to the quadratic regression model, with an increasing emergence time, while germination during storage decreased until it presented a significant reduction after 120 DAE (Figure 2B). Seeds stored in refrigerator did not show a significant correlation between storage time and germination speed index (GSI), based on the regression model (p < 0.01) (Figure 3A). On the other hand, seeds stored under natural conditions (Figure 3B) recorded significantly decreased GSI after 120 DAE until it reached zero at 360 days.


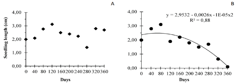
The length of jambu seedlings from edes stored at low edes atura (refrigerator) did not show adjustments to any regression model (Figure 4A). By contrast, the length of jambu seedlings from edes stored under natural conditions presented adjustments to the quadratic model (p < 0.01), which tended to reduce during storage (Figure 4B).

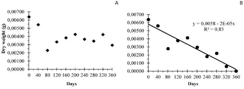
Based on the evaluation of dry mass accumulation, it was observed that the quality of seeds stored in refrigerator remained unchanged and did not require adjustments to any quadratic model (p < 0.01) (Figure 5A). On the other hand, seeds stored under natural conditions presented adjustments to the quadratic model (Figure 5B), which assured dry mass accumulation between 120 and 160 DAE; dry mass accumulation values decreased until the end of the storage period.

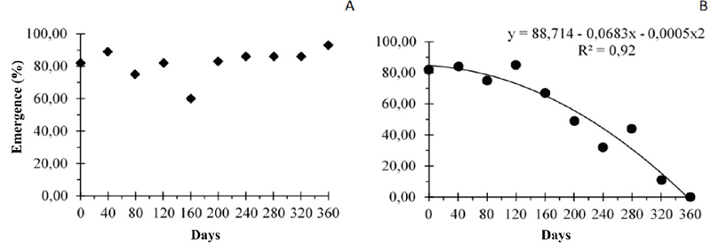
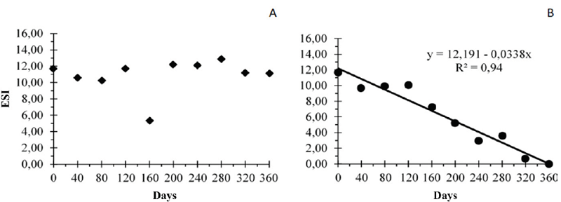
The emergence rate of jambu seedlings stored in refrigerator remained higher than 80 % in most of the evaluated periods until the end of the tests (Figure 6A). This outcome indicates the conservation of the physiological potential of these seeds since the pre-storage rate was 82 %. The emergence of jambu seedlings stored under natural conditions was significantly affected by storage time and conditions (Figure 6B), since only 50 % of the seedlings had emerged at 200 storage days. Seeds stored in refrigerator (Figure 7A) did not show significant correlations between the emergence speed index (ESI) and storage time, since there was no significant increase or decrease in ESI - the pre-storage index was 11.68 and the post-storage index was 11.12. However, seedlings stored under natural conditions presented significantly decreased ESI over storage time until it reached zero at 360 days (Figure 7B).


Discussion
Seeds stored in refrigerator showed better conservation of their physiological potential. Seeds stored at uncontrolled temperature conditions presented loss of vigor. These results indicate that the storage temperature is strictly linked to seed conservation (Amaro et al., 2015). For producers who seek for high quality seeds and successful harvests, the environments where the seeds will be stored must have lower temperatures to ensure viable seeds for a longer period and to reduce the costs of purchasing new seeds (Silva et al., 2010). Seeds stored in refrigerator consumed less reserve substances due to the maintenance of their metabolic rates.
Since seeds have the capacity to absorb water from the environment, when submitted to high RH conditions they can keep very high metabolic rates, which increases the deterioration of orthodox seeds and reduces their germinative potential and vigor (Marcos-Filho, 2005). Therefore, the deterioration of jambu seeds stored in a natural environment may be linked to oscillations in relative humidity, which ranged from 85 % to 88 %, and in temperature, which ranged from 25.81° C to 28.09° C over the evaluated periods. In refrigerator, the relative humidity ranged from 53 % to 69 %. It was possible to observe an orthodox behavior in jambu seeds due to their conservation at lower temperatures and water levels (below 10 %), which facilitated the handling of these seeds in post-harvest operations, in addition to ensuring better conservation (Oliveira- Bento et al., 2015). This behavior is associated with the consumption of seed reserves to maintain high metabolic rates. Such consumption is triggered by temperature and RH oscillations, which result in smaller seedlings due to the decrease in reserve substances that should be allocated to embryo growth regions (Neto et al., 2012).
When performing the first seedling count, an indirect assessment of the germination speed was performed, as a higher percentage in the first count means that the seeds germinated faster, as described by Vieira and Carvalho (1994), and Honório et al. (2011). This factor can also be used as an indicator of vigor (Gama et al., 2019). It was verified that the average in the first count of jambu seeds varied in relation to the environment in which they were conditioned. Gama et al. (2019) found that the germination time varies depending on the substrate in which the seed will grow.
Lima et al. (2014) conducted a study with soybean (Glycine max (L.) Merrill) seeds stored in PET (polyethylene terephthalate) bottles, raffia bags and multiwall paper sacks for 360 days. They observed that seed germination presented loss of physiological quality throughout the storage period. This quality loss can be explained by the use of permeable and semi-permeable packaging that leads to water exchange between the environment and the seeds, which, in its turn, leads to loss of germination capacity due to acceleration in seed deterioration (Neto et al., 2012). However, Gama et al. (2019), while working with Carthamus tinctorius, found that there was a high rate of germination speed, where a large percentage of germination was on substrates between paper. Corroborating the results of this study, jambu seeds have a high storage potential, with the germination of newly harvested seeds reaching 97 %. Since it can be considered the main characteristic for seed quality, germination and the results of this test are used to compare the physiological quality of the lots, determine the seeding rate, and serve as approval criteria for seed marketing (Carvalho and Nakagawa, 2012).
Kuhn et al. (2012), when evaluating the influence of the type of packaging on tomato seeds (Lycopersicon esculentum L.), found that the data referring to the length of the radicle and aerial part of seeds sold in hermetically sealed packages and in bulk did not present a significant difference in the seed vigor.
Seeds stored under environmental conditions present oscillations due to gains and losses in relative humidity and temperature (Neto et al., 2012). Thus, seeds must be stored for over eight months at low water contents (below 10 % of wet basis) to avoid water exchange (Silva et al., 2010). According to Silva et al. (2010), most seeds subjected to non-controlled environmental conditions show humidity variations during storage; these variations can damage seed conservation, germination, and vigor. Thus, low levels of relative humidity and temperature are the best environmental conditions to help maintain the quality of stored seeds, as they keep the embryos at the lowest possible level of metabolic activity (Carvalho and Nakagawa, 2012). Relative humidity can restart the embryonic activity, while high temperatures can increase the respiration process of the plant. Consequently, this process reduces seed vigor and consumes its reserves, which are accumulated during maturation (Marcos-Filho, 2005; Souza et al., 2011).
According to Strelec et al. (2010), seeds of a hygroscopic nature, such as jambu, can keep humidity in balance, regardless of the relative humidity in the storage environment. Therefore, the association between low seed water content, low temperature and RH in the storage environment is an important factor to help maintaining seed quality for prolonged periods of time (Nobre et al., 2013). Thus, storage in refrigerator is likely capable of maintaining seed viability for a significant period. This is an important factor, since most jambu producers store their seeds from one year to the next to conserve seeds with high germinative potential at seeding time (Nascimento et al., 2008).
Conclusion
Storing jambu seeds in refrigerator made it possible to maintain their germination potential and vigor for 360 days. Therefore, it is possible to store jambu seeds in refrigerator (7-8° C) without significant physiological losses in their quality
References
Almeida, M. E. F.; Junqueira, A. M. B.; Simão, A. A. and Corrêa, A.D. (2014). Caracterização química das hortaliças não- convencionais conhecidas como ora-pro-nobis. Bioscience Journal, 30, 431-439. https://seer.ufu.br/index.php/biosciencejournal/article/view/17555
Amaro, H. T. R.; David, A. M. S. de S.; Assis, M. de O.; Rodrigues, B. R. A.; Cangussú, L. V. de S. and Oliveira, M. B. (2015). Qualidade fisiológica de sementes de crambe (Crambe abssynica Hoechst) durante o armazenamento, em função de embalagens. Magistra, 27(1), 138-144. https://www3.ufrb.edu.br/magistra/index.php/magistra/article/view/375
Carvalho, N. M. and Nakagawa, J. (2012). Sementes - ciência, tecnologia e produção. (5ª ed.). FUNEP.
Batista, M. G.; Souto, G. C. and Cavalcante, A. E. C. (2019). Série caminhos na agroecologia: Sistematização de práticas para a produção orgânica de jambu (1a ed.). Castanhal, pp. 26. https://iieb.org.br/wp-content/uploads/2020/08/3.Cartilha_jambu_Final_2020.pdf
Borges, L. S.; Goto, R. and Lima, G. P. P. (2013). Exportação de nutrientes em plantas de jambu, sob diferentes adubações. Semina: Ciências Agrárias, 34(1), 107-116. http://dx.doi.org/10.5433/1679-0359.2013v34n1p107
Brasil, Ministério da Agricultura, Pecuária e Abastecimento (2009). Regras para análise de sementes (1a ed.). Ministério da Agricultura, Pecuária e Abastecimento. https://www.gov.br/agricultura/pt-br/assuntos/insumos-agropecuarios/arquivos-publicacoes-insumos/2946_regras_analise sementes.pdf
Climate Data. (n.d.) . Clima Castanhal (Brazil). https://pt.climate-data.org/america-do-sul/brasil/para/castanhal-26632/
Dode, J. S.; Meneghello, G. E.; Moraes, D. M. and Peske, S. T. (2012). Teste de respiração para avaliar a qualidade fisiológica de sementes de girassol. Revista Brasileira de Sementes, 34(4), 686- 691. http://dx.doi.org/10.1590/S0101-31222012000400021
Gama, G. F.; Machado, C. G.; Silva, G. Z.; Moraes, A. L. C.; Silva, A. A. S. and Silva, I. M. H. de L. (2019). Substrates and duration for conducting the safflower seed germination test. Científica, 47(4), 426-433. https://doi.org/10.15361/1984-5529.2019v47n4p426-433
Gusmão, M. T. A. and Gusmão, S. A. L. (2013). Jambu da amazônia (Acmella oleracea): características gerais, cultivo convencional, orgânico e hidropônico (1a ed.). Edufra.
Homma, A. K. O.; Sanches, R. S.; Menezes, A. J. E. A. and Gusmão, S. A. L. (2011). Etnocultivo do jambu para abastecimento da cidade de Belém, Estado do Pará. Amazônia: Ciência & Desenvolvimento, 6(12), 125-141. https://ainfo.cnptia.embrapa.br/digital/bitstream/item/56524/1/n12-etnocultivo-do-jambu-p.pdf
Honório, I. C. G.; Pinto, V. B.; Gomes, J. A. O. and Martins, E. R. (2011). Influência de diferentes substratos na germinação de jambu (Spilanthes oleracea L. - Asteraceae). Biotemas, 24(2), 21-25. https://doi.org/10.5007/2175-7925.2011v24n2p21
Kuhn, P. R.; Kulczynski, S. M.; Rosa, L. G.; Frozza, R. A. and Zanchet, B. M. (2012). Influência do tipo de embalagem na qualidade fisiológica de sementes de tomateiro, durante a comercialização. Enciclopédia Biosfera, 8(14), 692-698. https://conhecer.org.br/ojs/index.php/biosfera/article/view/3896
Lima, J. M. E.; Oliva, L. S. C.; Smiderle, O. J. and Pereira, D. S. (2014). Qualidade fisiológica de sementes de soja-hortaliça armazenadas em diferentes embalagens. Horticultura Brasileira, 31(2), 601-608. https://core.ac.uk/download/pdf/45528742.pdf
Maguire, J. D. (1962). Speed of germination-aid in selection and evaluation for seedling emergence and vigor. Crop Science, 2(2), 176-177. http://dx.doi.org/10.2135/cropsci1962.0011183X000200020033x
Marcos-Filho, J. (2005). Fisiologia de sementes de plantas cultivadas (2a ed). FEALQ.
Nakagawa, J. (1999). Testes de vigor baseados na avaliação de plântulas. In: Krzyzanowski, F.C.; Vieira, R. D. and França-Neto, J. B. (Ed.), Vigor de sementes: conceitos e testes. FUNEP, pp. 49-85.
Nascimento, W. M.; Freitas, R. A. and Croda, M. D. (2008). Conservação de sementes de hortaliças na agricultura familiar (1a ed.). Comunicado técnico Embrapa, 54, 1-6. https://www.infoteca.cnptia.embrapa.br/bitstream/doc/780879/1/cot54.pdf
Neto, F. A.; Lima, M. S.; Silva, M. F.; Dantas, B. F. and Teixeira, R. A. (2012). Armazenamento e qualidade fisiológica de sementes de abóbora. Revista Brasileira de Agropecuária Sustentável, 2(2), 44-50. https://periodicos.ufv.br/rbas/article/view/2756
Nobre, D. A. C.; David, A. M. S. S.; Souza, V. N. R.; Neto, D. A. O.; Gomes, A. A. M.; Aguiar, P. M. and Mota, W. F. (2013). Influência do ambiente de armazenamento na qualidade fisiológica de sementes de amaranto. Comunicata Scientiae, 4(2), 216-219. https://dialnet.unirioja.es/servlet/articulo?codigo=4407829
Oliveira, M. A. S. and Innecco, R. (2012). Germinação de sementes de jambu (Acmella oleracea - Asteraceae) sob influência de fotoperíodo e temperatura. Revista Eletrônica de Biologia, 5(3), 105-118. https://www.ppmac.org/sites/default/files/germinacao_sementes_jambu.pdf
Oliveira-Bento, S. R. S.; Torres, S. B.; Bento, D. A. V.; Silva, B. K. de A.; Dantas, F. J. C. and Melo, V. da C. (2015). Armazenamento de sementes de flor-de-seda [Calotropis procera (Aiton) W.T.Aiton]. Revista Caatinga, 28(1), 39-47. http://www.redalyc.org/articulo.oa?id=237138297005
Popinigis, F. (1985). Fisiologia da semente. Agiplan, pp. 289.
Rodrigues, D. S.; Camargo, M. S.; Nomura, E. S.; Garcia, V. A.; Correa, J. N. and Vidal, T. C. M. (2014). Influence of the fertilization with nitrogen and phosphorus in the production of jambu (Acmella oleracea [L] R.K. Jansen). Revista Brasileira de Plantas Medicinais, 16(1), 71-76. https://doi.org/10.1590/S1516-05722014000100010
Santos, V. F. N. and Pascoal, G. B. (2013). Aspectos gerais da cultura alimentar paraense. Revista da Associação Brasileira de Nutrição, 5(1), 73-80. https://www.rasbran.com.br/rasbran/article/view/10
Silva, F. S.; Porto, A. G.; Pascuali, L. C. and Silva, F. T. C. (2010). Viabilidade do armazenamento de sementes em diferentes embalagens para pequenas propriedades rurais. Revista de Ciências Agro-Ambientais, 8(1), 45-56. http://www.unemat.br/revistas/rcaa/docs/vol8/5_artigo_v8.pdf
Souza, V. C.; Andrade, L. A.; Cruz, F. R. S.; Fabricante, J. R. and Oliveira, L. S. B. (2011). Conservação de sementes de marizeiro Geoffroea spinosa Jacq. utilizando diferentes embalagens e ambientes. Ciência Florestal, 21(1), 93-102. https://doi.org/10.5902/198050982751
Strelec, I.; Popović, R.; Ivanišić, I.; Jurković, V.; Jurković, Z.; Ugarčić-Hardi, Ž. and Sabo, M. (2010). Influence of temperature and relative humidity on grain moisture, germination and vigour of three wheat cultivars during one year storage. Poljoprivreda, 16(2), 20-24. https://www.researchgate.net/publication/49591026_Influence_of_temperature_and_relative_humidity_on_grain_moisture_germination_and_vigour_of_three_wheat_cultivars_during_one_year_storage
Vieira, R. D. and Carvalho, N. M. (1994). Testes de vigor em sementes. FUNEP.