Articles
Granulometría del suelo en zonas de pendiente. Comparación de métodos de determinación
Soil granulometry in slope areas. Comparison of determination methods
Granulometría del suelo en zonas de pendiente. Comparación de métodos de determinación
Acta Agronómica, vol. 72, núm. 1, pp. 38-46, 2023
Universidad Nacional de Colombia
Recepción: 17 Mayo 2023
Aprobación: 14 Agosto 2023
Resumen: La distribución del tamaño de partículas (DTP) es una propiedad física relevante de los suelos, ya que de ella depende el comportamiento físico, su relación con otras propiedades y su utilidad como parámetro en funciones de pedotransferencia (PTF). El objetivo de esta investigación fue comparar los métodos de Bouyoucos y Bouyoucos modificado (Bouyoucos-Day), para cuantificar la distribución de tamaño de partículas en suelos de una ladera ubicada en el municipio de la Plata, vereda Lusitania, departamento del Huila, Colombia. Para ello se estudiaron 6 zonas de una misma ladera; en cada una se tomaron al azar 4 muestras disturbadas de suelo (24 sitios de muestreo), las cuales fueron analizadas utilizando los métodos de Bouyoucos y Bouyoucos- Day, teniendo en cuenta que la principal diferencia radica en los tiempos de las lecturas con el hidrómetro seguido de la toma de temperatura de la suspensión, así como el uso de diferentes factores de corrección. El análisis de los datos se llevó a cabo considerando un diseño factorial, con dos niveles (métodos). Igualmente, el análisis se hizo según la posición que ocupa en la ladera, con 6 niveles (cultivo, alta degradada, media 1, media 2, media 3 y baja). Los resultados permitieron evidenciar diferencias significativas en los contenidos de arcilla y arenas; además se presentaron mayores contenidos de arcilla con el método de Bouyoucos en todas las muestras de suelo. Se presentó mayor contenido de limo por el método de Bouyoucos-Day en una gran cantidad de muestras de suelo, sin diferencias significativas, atribuible a la necesidad de un mayor tiempo para sedimentar los limos en suspensión, el cual fue limitado a 2 horas en el método de Bouyoucos. Tal diferencia causa cambios en la clase textural, lo que afecta la toma de decisiones en la estimación de las propiedades del suelo y de los procesos que incluye esta propiedad fundamental.
Palabras claves: Bouyoucos, Bouyoucos-Day, clase textural, granulometría.
Abstract: Particle size distribution (PSD) is a relevant property of soils since its physical behavior depends on it, and because of its relationship with other soil properties and its usefulness as a key parameter of pedotransfer functions (PTF). The objective of this research was to compare the Bouyoucos and modified Bouyoucos (Bouyoucos-Day) methods to quantify the particle size distribution in soils of a hillside located in the municipality of La Plata, district of Lusitania, department of Huila, Colombia. For this, disturbed soil samples were taken from 6 areas of the same hillside, where 4 samples were taken randomly in each area, for a total of 24 sampling sites. The samples were analyzed using the 2 methods, considering that the main difference laid in the times of the readings with the hydrometer followed by taking the temperature of the suspension, as well as the use of different correction factors. The data analysis was carried out considering a factorial design with two levels (methods). Likewise, the analysis was carried out considering the different zones of the hillside, with 6 levels (cultivation, high degraded, medium 1, medium 2, medium 3, and low). The results revealed significant differences in the clay and sand contents, showing higher clay contents with the Bouyoucos method in all the soil samples. The Bouyoucos- Day method presented a higher silt content was presented by the Bouyoucos-Day method in a large number of soil samples, without significant differences, which is attributable to the need for a longer time to settle the silt in suspension, being limited to 2 hours in Bouyoucos method. Such a difference causes changes in the textural class, which affects the decision making in the estimation of soil properties and the processes that include this fundamental property.
Keywords: Bouyoucos, modified Bouyoucos, textural class, granulometry.
Introducción
La distribución de tamaño de partículas (DTP) se refiere a la proporción relativa de las fracciones minerales del suelo (arcilla, limo, arena muy fina, arena fina, arena media, arena gruesa y arena muy gruesa), cuya combinación da origen a las clases texturales. Es una propiedad muy relevante, ya que de esta depende el comportamiento físico de los suelos. La permeabilidad, la consistencia, la capacidad de intercambio de iones, la retención de agua, la distribución de tamaño de poros, la infiltración y la estructura, son algunas de las características del suelo que en gran medida dependen de ella (Gabriels y Lobo, 2006).
Cabe destacar que la distribución de las fracciones de partículas del suelo se ha utilizado para la estimación de otras propiedades mecánicas e hidráulicas de los suelos (Arya et al., 1981; Hwang y Powers, 2003; Nemes y Rawls, 2004; Salarashayeri y Siosemarde, 2012).
Jensen et al. (2017) destacan la importancia de realizar estimaciones confiables de las fracciones de partículas de los suelos, debido a que el uso de funciones de pedotransferencia es cada vez más abundante, para lo cual se usan valores de referencia del análisis convencional de la textura del suelo para predecir las características del agua del suelo, transporte de solutos y densidad de partículas. La distribución del tamaño de partículas (DTP) no es solo un parámetro clave de las funciones de pedotransferencia (PTF), sino que además es la base de la clasificación petrológica de los sedimentos sueltos (limos, arenas, gravas, etc.) (Kovács et al., 2006).
Es importante tener en cuenta que los suelos pueden contener concentraciones importantes de agentes cementantes, los cuales llevan a la formación de microagregados que operan como partículas más gruesas (pseudolimos o pseudoarenas) que pudieran enmascarar la granulometría del suelo (La Manna et al., 2016). Sin embargo, la distribución de tamaño de partículas, eliminando completamente estos agentes, supone un comportamiento diferente al que ocurre en la naturaleza, razón por la cual en estudios de física de suelos se prefiere no realizar la eliminación de tales agentes (Gabriels y Lobo, 2006; Pla, 2010)
La cuantificación de las partículas minerales puede realizarse mediante métodos basados en la sedimentación de las partículas (para partículas con diámetro equivalente menor de 50 μm), así como por el método de los tamices (para partículas con diámetro equivalente mayor de 50 μm). El método de sedimentación de las partículas se fundamenta en la Ley de Stokes para partículas sólidas que caen dentro de un fluido viscoso, cuya fórmula para calcular la velocidad de sedimentación de las partículas es la siguiente:

Donde v es la velocidad de sedimentación (cm/ seg); d es el diámetro de las partículas (cm); g es la aceleración de gravedad (cm/seg2); ρp y ρa son las densidades de las partículas sólidas y del líquido o agua, respectivamente (g/cm3); y η es la viscosidad del fluido (poise).
Los métodos tradicionales más conocidos para determinar la distribución de tamaños de partículas son ampliamente utilizados en los diferentes campos de interés: ciencias agrícolas, geotecnia, hidrología, etc. (Forsythe, 1985; Pla, 1983; Kovács et al., 2006). Dentro de estos métodos se mencionan:
El método de la pipeta: Durante la prueba se toman varias veces, a una profundidad determinada, pequeñas cantidades de la suspensión de suelo (muestras) que se depositan en un cilindro con una pipeta especial (pipetas tipo Andreasen o Köhn). El contenido de sólidos de las muestras se mide después del secado. La distribución del tamaño de las partículas se calcula a partir del peso de las partículas en la serie de muestras tomadas (Day, 1965b; Gee y Bauder, 1986).
El método del hidrómetro: Mediante el cual se mide la densidad promedio de las partículas en suspensión frente al tiempo durante el proceso de sedimentación con base en la Ley de Stokes (Day, 1965a; Gee y Bauder, 1986).
Kovács et al. (2006) también hacen referencia a los siguientes métodos:
Medición con escala de sedimentación: La báscula de sedimentación es una báscula especial con un plato hundido en la suspensión, que mide el peso de las partículas recién asentadas en el plato. La curva de DTP se calcula a partir de la serie de datos de peso vs. tiempo registrados.
Métodos de contracorriente: Están basados en sistemas de contracorriente. Algunos de ellos usan aire, y otros usan diferentes líquidos con velocidad de flujo variable contra la sedimentación de partículas. La separación de las fracciones de partículas se realiza utilizando diferentes velocidades de flujo; las partículas que tienen una velocidad de sedimentación más alta que la contracorriente se recogen y miden.
El método Bouyoucos como protocolo para determinar la textura, cuya última versión es de 1962 (Bouyoucos, 1962), ha sido modificado desde su creación en 1927 por Bouyoucos en 1929, y también fue comparado en 1934, por el mismo autor, con el método de la pipeta (Bouyoucos, 1936).
El método de la pipeta involucra una serie de pretratamientos (Day, 1965b), tales como remoción de la materia orgánica (con peróxido de hidrógeno); remoción de carbonatos y sales solubles (con NaOAc 1M pH 5); remoción de óxidos de hierro (con ditionito de sodio [Na2S2O4] y solución amortiguadora de citrato bicarbonato). Este método es el recomendado en estudios de génesis, caracterización y clasificación de suelos en los que se requiere una estimación precisa del contenido de arcilla de los horizontes genéticos de un suelo (Buol et al., 1973; Pla, 2010). Incluso se recomienda la disolución del alófano con citrato y ditionito, de acuerdo con la metodología propuesta por Espinoza (1969).
Dada la poca información sobre las fracciones granulométricas que ofrece el método original de Bouyoucos, pero que es requerida para estudios que tienen que ver con el comportamiento físico del suelo y la vulnerabilidad a la degradación, entre otros, se planteó como objetivo de la presente investigación la determinación y comparación de las fracciones granulométricas aplicando dos métodos analíticos (Bouyoucos y Bouyoucos-Day) y siguiendo los protocolos estandarizados. Por otro lado, se escogieron esos métodos debido a la complejidad en la determinación de estas variables por el método de la pipeta, lo que además coincide con los planteamientos de Buol et al. (1973) y Pla (2010),
Materiales y métodos
Ubicación
Para la comparación de los métodos de determinación de la textura del suelo se utilizaron suelos de diferentes zonas de ladera ubicada en la vereda Lusitania del municipio de la Plata en el departamento del Huila, coordenadas 02° 24’ 9’’N, 75° 45’ 7’’W.
Se seleccionaron 6 zonas de una misma ladera, de las cuales 5 se encontraban expuestas a procesos de degradación del suelo, y se clasificaron de la siguiente manera:
Cultivo: ubicada en la parte alta de la ladera, que no fue afectada por los procesos de degradación de remoción en masa, con una pendiente de 16.6 %.
Alta: zona de mayor altura donde inician los procesos de degradación por remoción en masa con pendiente de 33.4 %.
Media 1: zona de mayor inclinación (132.2 %) en la margen izquierda con dirección al sureste.
Media 2: zona de mayor inclinación (100.9 %) en el centro de la ladera con dirección sureste.
Media 3: zona de mayor inclinación (87.7 %) en la margen derecha con dirección sureste.
Baja: pie de la ladera que fue sometido a procesos de degradación con pérdidas y ganancia de sedimentos con pendiente de 29.8 %.
En cada una de las zonas se tomaron 4 muestras disturbadas de suelo al azar, para un total de 24 muestras de suelo, obtenidas hasta los 20 cm de profundidad.
Análisis de las muestras de suelo por los métodos de Bouyoucos y Bouyoucos-Day
El análisis granulométrico se realizó en el Laboratorio de Suelos. Como primera medida, las muestras disturbadas de los 24 puntos de muestreo se pasaron por un tamiz de 2 mm para separar los fragmentos de roca.
Se utilizaron 2 métodos de determinación: el método de Bouyoucos original (Bouyoucos, 1962), siguiendo el procedimiento analítico propuesto por el IGAC (IGAC, 2006), mediante el cual se realiza una lectura con el hidrómetro y toma de temperatura a los 40 segundos de la densidad de la suspensión de suelo, y luego se hace otra lectura a las 2 horas. La lectura a los 40 segundos supone que luego ese tiempo se han sedimentado todas las partículas de arena y en la suspensión se estaría midiendo la concentración de partículas de limo y arcilla. Con la lectura a las 2 horas se asume que en la suspensión se estaría midiendo la concentración de las partículas de arcilla. La concentración de partículas de limo se obtiene por diferencia.
El método de Bouyoucos modificado (Day, 1965a; Pla, 1983; Forsythe, 1985; Gee y Bauder, 1986) involucró la realización de lecturas en la suspensión con el hidrómetro a los 0.5; 1; 3; 10; 30; 60; 90; 270; 720 minutos, así como mediciones de la temperatura. Luego las fracciones de arena se separaron por tamizado, utilizando tamices de 1; 0.5; 0.25; 0.10 y
mm.
Una diferencia importante entre ambos métodos radica en que el hidrómetro tipo ASTM D 422 utilizado, cuyas unidades se expresan en gramos de suelo por litro (g/l) está calibrado a una temperatura estándar de 20 °C, por lo que con el método de Bouyoucos se realizan correcciones por los cambios de temperatura durante el análisis, mientras que con el método de Bouyoucos-Day, se hacen correcciones por los cambios en la profundidad del hidrómetro y por los cambios de viscosidad del fluido en función de las variaciones en la temperatura durante la determinación (Day, 1965a; IGAC, 2006; Pla, 1983; Forsythe, 1985). Cabe destacar que ninguno de los protocolos utilizados involucró los pretratamientos previstos en el método de la pipeta.
Análisis estadístico
Se implementó un diseño factorial, en el cual se tomó como factor 1 el método de análisis, con 2 niveles de factor, correspondiente a Bouyoucos y Bouyoucos- Day. Para el factor 2 se tomó la zona de ladera con 6 niveles de factor (Cultivo; Alta; Media 1; Media 2; Media 3; y Baja), con 24 unidades experimentales distribuidas al azar en cada zona. Se realizaron los correspondientes análisis de varianza (ANOVA). Los datos fueron procesados mediante el software Design expert 11, y Excel.
Resultados
El procesamiento de 24 muestras por los 2 métodos arrojó los resultados que se representan en la Figura 1 para cada método. Por el método de Bouyoucos se lograron los resultados relativamente rápido, ya que a las 2 horas se hace la última lectura con el hidrómetro. Por otro lado, con el método de Bouyoucos-Day las lecturas culminan a las 12 horas de haber iniciado el proceso. Como puede observarse, con el método de Bouyoucos, 20 de las muestras fueron clasificadas como arcillosas, 2 con clase textural arcillo limosa, 1 con textura franco-arenosa y 1 con textura franca; mientras que con el método Bouyoucos-Day se obtuvieron 6 muestras con textura arcillosa, 7 con textura franco arcillosa, 6 con textura franca, 3 franco arcillo arenosa y 2 franco arenosa. Además, el método Bouyoucos-Day proporciona información sobre las diferentes fracciones de arena. Esto representa importantes diferencias entre los métodos.

Desde el punto de vista de las condiciones físicas de los suelos y las inferencias a partir de la composición textural del suelo, es muy útil conocer la proporción de las diferentes fracciones sin la eliminación de los agentes cementantes, tal como se realizó por el método Bouyoucos-Day. Por ejemplo, se puede destacar que algunas muestras de suelo que presentan texturas de media a gruesa muestran una alta proporción de partículas con diámetro equivalente entre 2 y 250 μm, las cuales requieren una menor energía para separarse de los agregados, lo que le confiere al suelo una baja estabilidad estructural (Poesen, 1986). Tales muestras se ubican especialmente en la parte ocupada por cultivos.
Otro ejemplo sería el cálculo del Índice de Separabilidad de Partículas (ISP), propuesto por Florentino (1998), el cual refleja la tendencia que tiene un suelo, con bajo contenido de materia orgánica, a la separación de sus partículas y como consecuencia a la formación de sello o costra superficial cuando el suelo se humedece o caen fuertes lluvias (Tabla 1). Para ello se tuvo ISP = % arcilla/partículas 2 - 250 μm. En este caso se puede observar que los suelos con menor afectación por la erosión hídrica (zona de cultivo y zona alta) son los que presentan mayor separabilidad de partículas, ya que los suelos de las otras zonas presentan mayor contenido de arcilla, lo cual les conferiría, en comparación, una mayor estabilidad estructural.

Cuando se analizaron por separado las fracciones de arena, limo y arcilla (Figura 2), se encontraron diferencias significativas en los contenidos de arcilla y arena, mientras que para el limo no se encontraron diferencias tan reveladoras. Como puede observarse, los contenidos de arcilla son notablemente mayores con el método de Bouyoucos, lo cual puede explicarse debido a que la lectura para medir la concentración de arcilla se realiza a las 2 horas, cuando teóricamente todavía hay partículas de limo en suspensión, ya que el total de partículas de limo, por su tamaño, conforme a la ley de Stokes, sedimentarían a las 7.72 horas (Weil y Brady, 2017).

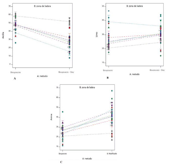
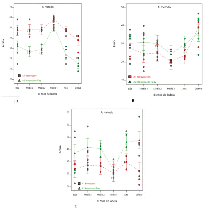
En la Figura 3 se muestran los contenidos de las fracciones de partículas en las diferentes zonas de la ladera. En ella se observa que los valores de arcilla son mayores con el método de Bouyoucos en todas las zonas de la ladera (Figura 3A). Solo tienden a parecerse a los determinados por el método Bouyoucos-Day en los puntos donde se presentan los mayores contenidos de arcilla (parte media 1 de la ladera). Los contenidos de limo son más variables, especialmente en la zona ocupada por cultivos, y tienden a ser mayores cuando se determinan con el método de Bouyoucos-Day (Figura 3B). Con respecto a los contenidos de arena (Figura 3C) se observa que son mayores en todas las zonas de la ladera cuando se determinaron con el método de Bouyoucos-Day.

Discusión
Debido a que la textura de un suelo es determinante de otras propiedades, como se mencionó, las diferencias en las medidas obtenidas por las metodologías utilizadas para su determinación probablemente afectarán la información sobre las propiedades del suelo que se infieren de estos datos (Beretta et al., 2014).
Nuestros resultados coinciden con los encontrados por Karkanis et al. (1991), quienes también observaron diferencias significativas en los contenidos de arcilla y arena. Los autores encontraron una sobreestimación significativa en el contenido de arcilla con el método de Bouyoucos (Bouyoucos, 1962; IGAC 2006) cuando lo compararon con los métodos de Bouyoucos-Day (Day 1965a). Igualmente ocurrió con el método USDI (USDI, 1982), en el cual el contenido de arena se estima a partir de una lectura de hidrómetro a los 40 s y el contenido de arcilla a partir de una lectura a las 8 h, y el método descrito por Gee y Bauder (1986), en el cual las lecturas del hidrómetro se obtienen a los 30 y 60 s para la determinación del contenido de arena y a las 1.5 y 24 h para el cálculo del contenido de arcilla.
Resultados similares encontraron Williams-Caudle et al. (2003) al comparar 2 métodos: el propuesto por Day (1956), en el cual se inserta el hidrómetro en la suspensión y se registra la densidad a los 4, 5, 6 y 90 min, y a las 6 y 12 h después de que cesó la inmersión; y el método de Arshad et al. (1996), en el cual las lecturas del hidrómetro se registran a los 40 s y 2 h. En ambos métodos las lecturas del hidrómetro son corregidas con base en las lecturas de un blanco sin suelo. Este experimento demostró que, con el método abreviado, en las lecturas a los 40 s y 2 h se obtuvo menos del 50 % de precisión para identificar la clase de textura del suelo.
Mwendwa (2022) también encontró que el contenido medio de limo determinado por los métodos de Bouyoucos fue del 6.89 % (p <0.001), lo que es menor que el determinado por el método de la Pipeta. Otros investigadores observaron diferencias en la determinación en los contenidos de arena, tales como una sobreestimación por el método Bouyoucos en comparación con el método de la pipeta, lo cual podría atribuirse a la variación en los procedimientos analíticos, especialmente la eliminación de agentes cementantes, fundamentalmente la materia orgánica (Norambuena et al., 2002; Gee y Or, 2002; Mwendwa, 2022). Por su parte, Beretta et al. (2014), al comparar diferentes protocolos, señalan que el método Bouyoucos-Day (con determinación de las fracciones de arena por tamizado) es adecuado para determinar la textura del suelo e inferir las propiedades de este, pero no es aceptable para evaluar la clase de textura para la clasificación taxonómica del suelo, lo cual coincide con lo planteado por Boul et al. (1973), Gabriels y Lobo (2006) y Pla (2010).
Las diferencias encontradas de los contenidos de arcillas y arenas por los dos métodos pueden atribuirse a que, por el método de Bouyoucos, las lecturas para estimar el contenido de arcilla usando el hidrómetro se realizan a las 2 horas, tiempo en el cual persisten partículas de limo en suspensión; mientras que por Bouyoucos-Day la última lectura se toma a las 12 horas y las fracciones de arena se obtienen por tamizado. Esta observación está de acuerdo con lo expuesto por Karkanis et al. (1991) quienes señalan que la lectura a las 2 horas en el método de Bouyoucos (1962) proporciona una estimación media de partículas de alrededor de 0.0044 mm de diámetro, y no arroja una estimación correcta de la fracción de arcilla de menos de 0.002 mm, de acuerdo con la ley de Stokes. Observación similar presenta León (2001) al comparar estos métodos.
Ello indica que se pueden cometer errores en el momento de determinar la clase textural si el método no ofrece el suficiente grado de confiabilidad, lo que ocasiona estudios de calidad dudosa, teniendo en cuenta que son muchas las propiedades y procesos que se estiman con base en la clase textural del suelo. El método de Bouyoucos-Day, además de la obtención de las fracciones para determinar la clase textural, permite la recolección de datos de los diferentes tamaños de las partículas de arena, que son claves para la estimación del factor K de erosionabilidad del suelo (Wischmeier et al. 1971) en la aplicación de la ecuación universal de pérdidas de suelo RUSLE, así como para estimar el índice de riesgo a la erosión (IRE) y el índice de productividad (IP) propuestos por Delgado y López (1998), y algunos índices de estabilidad estructural como los propuestos por Lobo y Pulido (2006), entre otros.
En Colombia es común el uso del método de Bouyoucos en los laboratorios de suelos para determinar la granulometría del suelo, por lo cual es de importancia significativa que se tengan en cuenta este y otros estudios relacionados en los que se demuestra que Bouyoucos-Day mejora la precisión de los datos y, por lo tanto, la confiabilidad en la información, teniendo en cuenta que la granulometría es un factor decisivo para tomar decisiones en campo y son muchos los profesionales que la utilizan para determinar de manera empírica diferentes parámetros del suelo.
Conclusiones
La comparación de métodos para la determinación de las fracciones granulométricas de los suelos, utilizando el hidrómetro como instrumento de medición, reveló diferencias estadísticamente significativas en las estimaciones del contenido de arena y arcilla entre métodos de Bouyoucos y Bouyoucos-Day. Estas diferencias fueron menos pronunciadas en suelos con alto contenido de arcilla. Las especificaciones analíticas de los métodos utilizados para las mediciones de la distribución de tamaño de partículas son esenciales para explicar las diferencias estadísticamente significativas encontradas.
Referencias
Arshad, M. A.; Lowery, B. y Grossman, B. (1996). Physical tests for monitoring soil quality. En Doran, J. W. y Jones, A. J. (eds)., Methods for assessing soil quality (pp. 123-142). Soil Science Society of America Special Publication 49. https://doi.org/10.2136/sssaspecpub49.c7
Arya, L. M. y Paris, J. F. (1981). A physicoempirical model to predict the soil moisture characteristic from particle-size distribution and bulk density data. Soil Science Society of America Journal, 45, 1023-1030. https://doi.org/10.2136/ss1.03615995004500060004x
Beretta, A. N.; Silbermann, A. V.; Paladino, L.; Torres, D.; Bassahun, D.; Musselli, R. y García-Lamohte, A. (2014). Análisis de textura del suelo con hidrómetro: modificaciones al método de Bouyoucos. Ciencia e Investigación Agraria, 41(2), 263-271. http://dx.doi.org/10.4067/S0718-16202014000200013
Bouyoucos, G. J. (1936). Directions for making mechanical analyses of soils by the hydrometer method. Soil Science, 42(3), 225-230. https://ui.adsabs.harvard.edu/link_ gateway/1936SoilS..42..225B/doi:10.1097/00010694-193609000-00007
Bouyoucos, G. J. (1962). Hydrometer method improved for making particle size analyses of soils. Agronomy Journal, 54, 464-465. https://doi.org/10.2134/agronj1962.00021962005400050028x
Buol, S. W.; Hole, F. D. y McCracken, R. J. (1973). Soil genesis and classification. Ames, IA: The Iowa State University Press. https://doi.org/10.2136/ss3.03615995003700050012x
Day, P. R. (1956). Report of the committee on physical analyses, 1954-55. Soil Science Society of America Journal , 20, 167-169. https://doi.org/10.2136/ss6.03615995002000020007x
Day, R. P. (1965a). Hydrometer method of particle size analysis. En Methods of soil analysis. Agronomy 9 (pp. 545-552). Madison, USA: American Society of Agronomy.
Day, R. P. (1965b). Pipette method of particle size analysis. En Methods of soil analysis. Agronomy 9 (pp. 553-562). Madison, USA: American Society of Agronomy.
Delgado, F. y López, R. (1998). Evaluation of soil development impact on the productivity of venezuelan soils. Advances in Geo-Ecology, 31, 133-142.
Espinoza, W. (1969). Caracterización química de los suelos volcánicos de la provincia de Ñube: Arrayan y Santa Bárbara. I. Método de dispersión de suelos de origen volcánico de la Provincia de Ñube. Agricultura Técnica, 29, 34-39. https://hdl.handle.net/20.500.14001/34716
Florentino, A. (1998). Guía para la evaluación de la degradación del suelo y de la sostenibilidad del uso de la tierra: selección de indicadores físicos. Valores críticos. En Manejo sostenible de los suelos, manual de prácticas (pp. 68-77). Maracay, Venezuela: Facultad de Agronomía UCV.
Forsythe, W. (1985). Física de suelos. Manual de laboratorio. San José, Costa Rica: Instituto Interamericano de Cooperación para la Agricultura (IICA). http://repositorio.iica.int/bitstream/handle/11324/7841/BVE19040149e.pdf?sequence=1&isAllowed=y
Gabriels, D. y Lobo, D. (2006). Métodos para determinar granulometría y densidad aparente del suelo. Venesuelos, 14, 37-48. http://saber.ucv.ve/ojs/index.php/rev_venes/article/view/982
Gee, G. W. y Bauder, J. W. (1986). Particle size analysis. Methods of soil analysis, part 1. Physical and mineralogical methods (pp. 383-411), agronomy monograph n.° 9, 2° edición. Madison, WI: American Society of Agronomy/Soil Science Society of America.
Gee, G.W. y Or, D. (2002). Particle size analysis. En Dane, J.H. y Topp, G.C. (eds) Methods of Soil Analysis, part 4, Physical Methods (pp. 255-293). Madison. Soils Science Society of America
Hwang, S. I. y Powers, S. E. (2003). Using particle-size distribution models to estimate soil hydraulic properties. Soil Science Society of America Journal , 67(4), 1103-1112. https://doi.org/10.2136/sssaj2003.1103
Instituto Geográfico Agustín Codazzi - (IGAC). (2006). Métodos analíticos del laboratorio de suelos, 6° edición. Bogotá: IGAC. https://www.igac.gov.co/es/catalogo/metodos-analiticos-del- laboratorio-de-suelos
Jensen, J. L; Schjønning, P.; Watts, C. W.; Christensen, B. T. y Munkholm, L. J. (2017). Soil texture analysis revisited: Removal of organic matter matters more than ever. PLoS ONE, 12(5), e0178039. https://doi.org/10.1371/journal.pone.0178039
Karkanis, P. G.; Au, K. C. y Schaalje, G. B. (1991). Comparison of four measurement schedules for determination of soil particle-size distribution by the hydrometer method. Canadian Agricultural Engineering, 33, 211-215. https://library.csbe-scgab.ca/docs/journal/33/33_2_211_ocr.pdf
Kovács, B.; Czinkota, I.; Tolner, L. y Czinkota, G. Y. (2006). FIT method for calculating soil particle size distribution from particle density and settling time data. Agrokémia és Talajtan, 55(1), 295-304. https://doi.org/10.1556/agrokem.55.2006.1.32
La Manna, L.; Rostagno C. M.; Buduba, C. G.; Irisarri J. y Navas A. (2016). Determinaciones de granulometría en suelos volcánicos: comparación entre distintos métodos analíticos. Ciencia del Suelo, 34(2), 355-364. http://www.scielo.org.ar/scielo.php?script=sci_arttexd=S1850-20672016000200016
León, A. R (2001). Comparación de métodos de análisis mecánico de suelos. Terra Latinoamericana, 19(3), 219-225. https://www.redalyc.org/articulo.oa?id=57319303
Lobo, D. y Pulido, M. (2006). Métodos e índices para evaluar la estabilidad estructural de los suelos. Venesuelos , 14, 22-37. http://saber.ucv.ve/ojs/index.php/rev_venes/article/view/981
Mwendwa, S. (2022). Revisiting soil texture analysis: Practices towards a more accurate Bouyoucos method. Heliyon, 8(5), E09395. https://doi.org/10.1016/j.heliyon.2022.e09395
Nemes, A. y Rawls, W. J. (2004). Soil texture and particle-size distribution as input to estimate soil hydraulic properties. Developments in Soil Science , 30, 47-70. https://doi.org/10.1016/S0166-2481(04)30004-8
Norambuena, V. P.; Luzio, L. W. y Vera, E. W. 2002. Comparación entre la pipeta y métodos Bouyoucos y su relación con la retención de agua en ocho suelos de la zona del altiplano de la provincia de Parinacota, Chile. Tecnología Agrícola, 62, 150- 157. http://dx.doi.org/10.4067/S0365-28072002000100015
Pla, S.I. (1983). Metodología para la caracterización física con fines de diagnóstico de problemas de manejo y conservación de suelos en condiciones tropicales. Curso de Postgrado en Ciencia del Suelo . Universidad Central de Venezuela, Facultad de Agronomía, Comisión de Estudios para Graduados, Maracay Revista de la Facultad de Agronomía, 32.
Pla, S. I. (2010). Medición y evaluación de propiedades físicas de los suelos: dificultades y errores más frecuentes. I. Propiedades mecánicas. Suelos Ecuatoriales, 40(2), 75-93. https://sccsuelos.org/revista/
Poesen, J. (1986). Surface sealing on loose sediments: the role of texture, slope and position of stones in the top layer. En Callebaut, F.; Gabriels, D. y De Boodt, M. (eds), Assessment of soil surface sealing and crusting (pp: 354-362). Proc. of Symposium, Gent, Belgium. http://hdl.handle.net/1854/LU-8768201
Salarashayeri, A. F. y Siosemarde, M. (2012). Prediction of soil hydraulic conductivity from particle-size distribution. International Journal of Geological and Environmental Engineering, 6(1), 16-20. https://zenodo.org/record/1055779/files/1747.pdf
USDA. (2017). Soil survey manual. Soil Survey Division Staff; Soil Conservation Service Volume Handbook 18, Chapter 3. U.S. Department of Agriculture. https://www.nrcs.usda.gov/sites/default/files/2022-09/The-Soil-Survey-Manual.pdf
USDI. (1982). Particle-size analyses. Chapter 4 of land classification techniques and standards. Series 510. Washington D.C. United States Department of the Interior.
Weil, R. R. y Brady, N. C. (2017). The nature and properties of soils. 15° edición. England: Pearson Education Limited. https://www.researchgate.net/publication/301200878_The_Nature_and_Properties_of_Soils_15th_edition
Williams-Caudle, L.; Brye, K. y Rutledge, E. M. (2003). Soil particle-size analysis: A comparison of two methods. The Student Journal of Dale Bumpers College of Agricultural, Food and Life Sciences, 4(1), 89-94. https://scholarworks.uark.edu/cgi/viewcontent.cgi?article=1240&context=discoverymag
Wischmeier, W. H.; Johnson, C. B. y Cross, B. V. (1971). A soil erodibility nomograph for farmland and construction sites. Journal of Soil and Water Conservation, 26, 189-191.