Articles
Development of yellow passion fruit seedlings grafted onto four rootstocks of Passiflora species
Desarrollo de plántulas de maracuyá injertadas en cuatro portainjertos de Passiflora
Development of yellow passion fruit seedlings grafted onto four rootstocks of Passiflora species
Acta Agronómica, vol. 72, no. 3, pp. 301-309, 2023
Universidad Nacional de Colombia
Received: 18 January 2024
Accepted: 13 June 2024
Abstract: Yellow passion fruit (Passiflora edulis f. flavicarpa) is one of the main fruit species in the Neotropical region and Colombia is one of its main producers with about 165 893 tons/year. Despite this, the crop is affected by multiple phytosanitary problems, such as fusariosis caused by Fusarium solani f. sp. passiflorae (passion fruit collar rot), which can cause considerable crop losses. The objective of this research was to estimate the effect of four Passiflora rootstocks (P. alata, P. maliformis, P. quadrangularis, and P. edulis f. edulis) tolerant to fusariosis, on the vegetative growth of the yellow passion fruit seedlings. The study was carried out at the Agrosavia experimental station in Palmira, Valle del Cauca (Colombia), under a completely randomized design consisting of six treatments and six repetitions. Data were subjected to multiple range tests and Dunnett’s multiple comparison test of means (p < 0.05). It was found that the evaluated rootstocks presented 100 % grafting and compatibility > 1 (except self-grafted yellow passion fruit, 0.85). Likewise, grafted seedlings reached field conditions at 15 cm height and five leaves between 30 to 60 days after grafting. Most of the rootstocks evaluated showed a reduction of approximately 35 % in plant height, number of internodes, and number of leaves, compared to non-grafted yellow passion fruit. Therefore, it is necessary to perform a comprehensive assessment to select which rootstocks are the best to mitigate this problem in yellow passion fruit orchards.
Keywords: Compatibility, genetic resources, grafting, tropical fruit, vegetative propagation.
Resumen: El maracuyá (Passiflora edulis f. flavicarpa) es una de las principales especies frutales de la región neotropical y Colombia es uno de sus principales productores con cerca de 165 893 toneladas al año. A pesar de esto, el cultivo es afectado por múltiples problemas fitosanitarios, como la secadera causada por Fusarium solani f. sp. passiflorae (fusariosis), la cual puede causar pérdidas de cosecha hasta del 70 %. El objetivo de esta investigación fue estimar el efecto de cuatro portainjertos de Passiflora (P. alata, P. maliformis, P. quadrangularis, y P. edulis f. edulis) tolerantes a la secadera, en el crecimiento vegetativo de plántulas de maracuyá. El estudio fue realizado en la estación experimental de Agrosavia en Palmira, Valle del Cauca (Colombia), bajo un diseño completamente al azar constituido por seis tratamientos y seis repeticiones. Los datos fueron sometidos a pruebas de rango múltiple y comparación de medias de Dunnett (p < 0.05). Se encontró que los portainjertos evaluados presentaron 100 % de prendimiento y una compatibilidad > 1 (excepto para el maracuyá autoinjertado, 0.85). Asimismo, las plántulas injertadas alcanzaron las condiciones de campo a 15 cm de altura y con cinco hojas entre los 30 a 60 días después de la injertación. La mayoría de los portainjertos evaluados mostraron un efecto en la reducción de la altura de la planta, número de entrenudos y hojas de aproximadamente 35 %, en comparación con el maracuyá amarillo no injertado. Por lo tanto, es necesaria una evaluación integral para establecer y seleccionar cuáles son los portainjertos más promisorios para mitigar esta problemática en el cultivo de maracuyá.
Palabras clave: Compatibilidad, fruta tropical, injertación, propagación vegetativa, recursos genéticos.
Introduction
Yellow passion fruit (Passiflora edulis f. flavicarpa Degener) is the main cultivated species of the genus Passiflora L. due to its high economic potential and distribution (Ocampo et al., 2021). Brazil is the center of origin of the species, and it is cultivated in tropical areas on four continents (Faleiro, 2020). Colombia, with 9592 cultivated hectares and a production of 165 893 tons per year (Agronet, 2022), is the third world producer after Brazil and Peru. The departments of Meta, Antioquia, Huila, and Valle del Cauca concentrate 63 % of the Colombian production. The plantations of yellow passion fruit in Colombia have grown significantly in recent years due to the demand for its fruits for fresh consumption or for industrial use in national and international markets (Ocampo et al., 2022). However, the yellow passion fruit industry is being affected by multiple problems, such as attacks from soil-borne fungal and viral diseases, and pest insects (thrips and flower bud fly), which are endangering the profitability of the plantations and imposing chemical treatments for their control (Ocampo et al., 2022). Among these, passion fruit collar rot (Fusarium solani f. sp. passiflorae) is one of the main diseases that most affects yellow passion fruit orchards and economically impacts production with losses of more than 70 % (Ocampo et al., 2022).
An alternative to minimize losses caused by soil diseases in Passiflora species is the use of genetic resistance found in some wild species (Hurtado et al., 2016; Ambrósio et al., 2018; Ocampo et al., 2021). Grafting techniques appear to be a good and more immediate solution than conventional breeding to reduce the heavy impact of soil-borne pathogens, increasing the useful life of orchards (Hurtado et al., 2021; Baron et al., 2019). However, the correct anatomical tissue positioning between the scion and the rootstock, the correct identification of plants involved in the grafting process, as well as grafting techniques and professional skills are necessary to avoid mistakes and provide both nurseries and fruit growers with valuable information regarding the risks of weak unions (Baron et al., 2019).
In the yellow passion fruit orchards and other passionflowers such as purple passion fruit (P. edulis Sims f. edulis), the grafting technique has been adopted as an alternative to solve problems generated mainly by biotic factors such as the attack of soil- borne fungal diseases like Fusarium spp. (Lima et al., 1999; Hurtado et al., 2021). The use of rootstocks resistant to soil-borne pathogens in Passiflora is recommended by several authors (Cavichioli et al., 2017; Hurtado et al., 2021) because it prolongs the useful life of the plants and preserves the quality of the genetic material. However, there are some limitations for grafting passion fruit with other Passiflora species, such as the diversity in transverse stem shapes (cylindrical and quadrangular), the genetic relationship, the taxonomic proximity (scion- rootstock), and the low degree of domestication that prevent high seed germination percentages, which makes the adoption of the technique difficult (Ceballos-Aguirre et al., 2021; Ocampo et al., 2021). Most research involving grafting technology in passion fruits has been carried out for more than 50 years in Australia (Teulon, 1971; Winks et al., 1988), Brazil (Filho et al., 2011; Morgado et al., 2015; Lima et al., 2018), and implemented in other countries such as Kenya, Uganda, Taiwan, Vietnam, South Africa and China with relative effectiveness (De Jesus et al., 2020), due to the low genetic diversity of the rootstocks used (Ocampo et al., 2021).
On the other hand, the most commonly used type of graft in Passiflora species is the central spike or “V” type, which has shown 76.3 % graft compatibility when P. edulis f. edulis was grafted onto P. alata, 98.8 % onto P. gibertii N.E.Br., and 100 % onto P. edulis f. flavicarpa or self-grafted (Corrêa et al., 2010). Likewise, when the purple passion fruit (P. edulis f. edulis) is grafted onto the yellow passion fruit (P. edulis f. flavicarpa) and onto a wild species (P. gibertii), they achieve over 80 % graft compatibility (Lima et al., 2018). The use of Passiflora species as rootstock is subject to the availability of information on the behavior of the plants in the nursery, as well as the compatibility between the scion and the rootstock.
In Colombia, studies on the etiology of species of the genus Fusarium spp. in passion fruit orchards have shown that the causal agent of passion fruit collar rot is F. solani f. sp. passiflorae (Henao-Henao et al., 2018; Osorio et al., 2020). In addition, evaluations of resistance to passion fruit collar rot showed that genotypes of the species P. edulis f. flavicarpa (yellow passion fruit), P. alata Curtis (sweet passion fruit), P. maliformis L. (stone granadilla), P. quadrangularis L. (giant granadilla), and P. edulis f. edulis (purple passion fruit) (pers. observ. on P. edulis f. edulis 23 June 2019) have showed tolerance to this soil-borne fungus (Campo-Arana and Vergara-Canedo, 2014; Patiño-Pacheco and Pérez-Cardona, 2021). These genetic resources have been little used in yellow passion fruit orchards in Colombia and in recent years the use of P. maliformis rootstocks in passion fruit (P. ligularis Juss) and purple passion fruit orchards has been established (pers. observ. 3 April 2022). However, these agronomic practices based on grafting have not been validated with studies of genetic variability that allow selecting rootstocks with resistance to passion fruit collar rot, which puts producers’ investments at risk. For this reason, the goal of this study was to assess the effect of four rootstocks (P. maliformis, P. quadrangularis, P. alata, and P. edulis f. edulis), known for their tolerance to F. solani f. sp. passiflorae, on the development and vegetative growth of yellow passion fruit seedlings. This evaluation aims to establish a research baseline, offering potential future alternatives for mitigating the impact of this disease in yellow passion fruit orchards.
Materials and methods
Study area
The experiment was conducted in a mesh-covered greenhouse during 2021-2022 at Agrosavia Colombian Agricultural Research Corporation (Palmira Research Center). The experimental area is located at an elevation of 1001 m.a.s.l. in the municipality of Palmira (3°30’2756” N; 76°19’272 W), department of Valle del Cauca (Colombia), with an average temperature of 24 °C, average annual total precipitation of 1050 mm, average relative humidity of 80 %, and average daily solar radiation of 10 hours.
Plant material
The genetic material “1506” of yellow passion fruit (P. edulis f. flavicarpa) was used as scion stem due to its high performance (high yielding ≥ 30 t/ha, STT ≥ 15.5 ºBrix, and pulp percentage ≥ 50 %) in previous genetic improvement work carried out by Agrosavia C.I. Palmira and the Universidad Nacional de Colombia. The rootstocks used of the species P. alata, P. quadrangularis, P. maliformis, P. edulis f. edulis, and P. edulis f. flavicarpa were selected based on tolerance and/or resistance to Fusarium solani (Cavichioli et al., 2011; Preisigke et al., 2017; Ocampo et al., 2021). The rootstock seeds were obtained from the Passiflora collection maintained at the Universidad Nacional de Colombia - Sede Palmira.
Grafting methodology
The seeds of each rootstock and scion were planted simultaneously in plastic trays, each containing 16 cells of 5 x 20 cm, to ensure suitable stem diameter at grafting time, with a substrate composed of soil, rice husks, sand, and organic matter in a ratio of 3:1:1:1. Seedlings were grafted between 20 to 30 days after germination (DAG) in plants with a stem diameter greater than or equal to 2 mm. The stem of the seedlings used as rootstocks was cut with a stainless-steel blade previously disinfected with alcohol (70 %) at a height of 8 cm from the base of the root collar with a longitudinal incision of 1 cm from the decapitated base towards the base of the stem (Espinal, 2021). The scions selected for grafting of yellow passion fruit (1506) were between 3 to 4 cm in length, 2 to 3 mm in diameter, and had 2 or 3 buds, which were cut through a 1 cm longitudinal incision with a double bezel or shape “V” (cleft graft). Subsequently, the rootstock and the scion stem were secured with a plastic clip of 1 x 0.5 cm wide and the grafts were immediately staked with plastic tubes of 0.5 cm diameter and 60 cm height and protected with transparent plastic bags of 3 x 7 cm to avoid dehydration. The plastic bag was removed 10 DAG to improve graft transpiration and prevent rotting. The grafted seedlings were irrigated every day directly to the soil at field capacity to avoid rot in the healing area.
Experimental design
A completely randomized design consisting of six treatments (Table 1) with six repetitions was adopted. The experimental unit was made up of four plants for each repetition, for a total of 144 plants evaluated during 90 DAG. Six variables were evaluated during the growth and development of the grafts every seven days and analyzed at 30, 60, and 90 DAG: scion-rootstock union (grafting percentage, %GP), rootstock stem diameter (RSD), scion stem diameter (SSD), plant height (PH), number of leaves (NL), and number of internodes (NI). The development and vigor of the plants was established through the RSD at 5 cm above the root collar, and the SSD at 2 cm above the graft union, using a 0.001 mm digital caliper. Graft compatibility was calculated as the relationship between the diameters of the rootstock and the scion (RSD/SSD), values greater than or equal to 1 indicate high plant vigor (Kokalis-Burelle et al., 2009).

Data analysis
The data obtained for each scion-rootstock combination were evaluated by analysis of variance with a Dunnett’s multiple comparison test of means following the criterion of Duncan’s multiple range test at a significance level of 5 %, and Pearson’s correlation tests, using the statistical program SAS version 9.4 (Institute Inc., Cary, NC, USA).
Results and discussion
Graft junction
The formation of a successful graft includes a series of biological steps involving immediate responses to the wound (Baron et al., 2019). The first research step in the grafting technique is the evaluation of the scion-rootstock union (grafting percentage, %GP), which determines the potential of the rootstock.
The results showed that the grafting percentage (%GP) in this study was 100 % for all treatments or combinations, which demonstrates that the evaluated rootstocks showed potential for use with yellow passion fruit. Similarly, other studies carried out by Morgado et al. (2015) report a %GP greater than 90 % for 30, 60, and 90 DAG using P. edulis f. edulis, and P. alata as rootstock. In contrast, when the rootstocks P. mucronata (Lima et al., 1999), P. alata (Cavichioli et al., 2011), P. gibertii (Hurtado et al., 2016), and P. setacea DC. and P. nitida Kunth (Hurtado et al., 2021) were used on passion fruit, the %GP did not exceed 85 %. Variations in the percentages of grafting junction are linked to several factors such as the anatomical compatibility between the scion- rootstock (cylindrical or quadrangular shape of the stem), genetic or taxonomic proximity, as well as the technique and skill of the grafter (Hurtado et al., 2021; Ocampo et al., 2021). These latter conditions allow the rapid union, healing, and reconnection of the vascular tissues between the scion and the rootstock (Hartmann et al., 2014).
Scion-rootstock stem relations
The average stem diameter development at 90 DAG for the scion and rootstock in all evaluated combinations (scion-rootstock) showed similar values, with 3.07 mm for the scion and 3.64 mm for the rootstock (Table 2). Passiflora alata (with quadrangular stem) presented the largest stem diameter at 90 DAG (4.66 mm), followed by P. edulis f. flavicarpa (non-grafted) with 4.24 mm. Regarding the rootstock diameter, Lenza et al. (2009) showed similar results for P. alata (3.6 mm), P. edulis f. edulis (3.5 mm), P. quadrangularis (3.8 mm), and P. edulis f. flavicarpa (3.6 mm) at 60 DAG. On the contrary, Cavichioli et al. (2011) reported superior values in P. alata (7.2 mm) and P. edulis f. edulis (7.7 mm) at 90 DAG. The differences between rootstock diameters (RSD) can be explained by the specific conditions where the plants were germinated (substrate, fertility, irrigation, and luminosity) and by intraspecific genetic variability (Hurtado et al., 2021).

In relation to the diameter of the yellow passion fruit graft (SSD), significant differences were found at 30, 60, and 90 DAG, except for self-grafted and non- grafted yellow passion fruit (Table 2). The smallest graft diameters (GSD) at 90 DAG were observed with the rootstocks P. maliformis (2.30 mm), P. quadrangularis (2.48 mm), and P. edulis f. edulis (2.84 mm), while self- grafted and non-grafted yellow passion fruit showed values of 3.97 and 4.24 mm, respectively. The results are consistent with those mentioned by Lenza et al. (2009) for P. alata (3.6 mm), P. edulis f. flavicarpa (3.7 mm), and P. quadrangularis (3.8 mm) rootstocks at 60 DAG. In addition, when yellow passion fruit was self-grafted, the scion diameter reached 3.8 mm at 60 DAG (Hurtado et al., 2021). Other studies reported different scion diameters for yellow passion fruit at 60 DAG when grafted with P. alata, with values of 1.21 mm (Filho et al., 2011) and 4.16 mm (Cavichioli et al., 2011).
The differences with these studies may be related to the grafting technique (hypocotyledonary vs. conventional) and the environmental conditions of each area that influence the vegetative growth of the graft. Likewise, the growth of the graft diameter is associated with high anatomical compatibility between the graft and the rootstock, which allows rapid healing and growth of the graft (Hurtado et al., 2021).
Graft compatibility
The relationship between the rootstock stem diameter and the scion is a signal of the scion- rootstock compatibility (RSD/SSD), due to the physiological changes in the cellular interaction of the vascular bundles between two genotypes (Pina and Errea, 2005). A value greater than or equal to 1 between the RSD/SSD diameter indicates high plant vigor or compatibility of the seedlings grafted (Kokalis-Burelle et al., 2009). Thus, the P. alata, P. edulis, f. edulis, P. maliformis, and P. quadrangularis rootstocks used in this study showed a compatibility greater than 1 across the three measurements over time (30, 60, and 90 DAG) with ranges between 1.01 to 1.52 (Table 3). The highest average compatibility values were shown for P. alata (1.24) and P. quadrangularis (1.42) rootstocks at 90 DAG, while in the self-grafted yellow passion fruit, the values did not exceed 0.85. This indicates that the plants grafted on any of the rootstocks had greater vigor compared to the self-grafted yellow passion fruit. In addition, the transverse stem shape did not have a negative effect on the re-establishment of vascular connections in this study, as two of the rootstocks with the greatest compatibility had quadrangular stems (P. alata and P. quadrangularis), compared to the scion that has a cylindrical shape. Similar results were reported in Brazil, when the species P. gibertii and P. mucronata were used as rootstocks for yellow passion fruit. They showed a compatibility greater than 1, indicating a high potential of these species due to their high vigor (Darikova et al., 2011).

Other species such as Cucumis sativus L., when grafted on Cucurbita ficifolia Bouché, showed a similar behavior, with greater vigor in the accumulation of dry matter in the stem and root, in relation to self-grafting (Hernández et al., 2014). Similarly, in Solanum lycopersicum L., the effect of grafting increased the accumulation of dry matter and greater plant vigor (Godoy et al., 2009). On the other hand, López et al. (2008) mention that Citrullus lanatus (thunb.) Matsum. and Nakai grafted onto other species of squash showed an intermediate vigor between the scion and the rootstock. In this study, the rootstocks evaluated showed a diameter greater than the scion, which favors the plant vigor so that it responds better to biotic and abiotic factors. This can be explained by fluid mechanics: when a solute flows from a larger diameter pipe to a smaller diameter pipe, the pressure increases and generates a rapid distribution of these solutes throughout the plant structure.
Effect of rootstock on growth
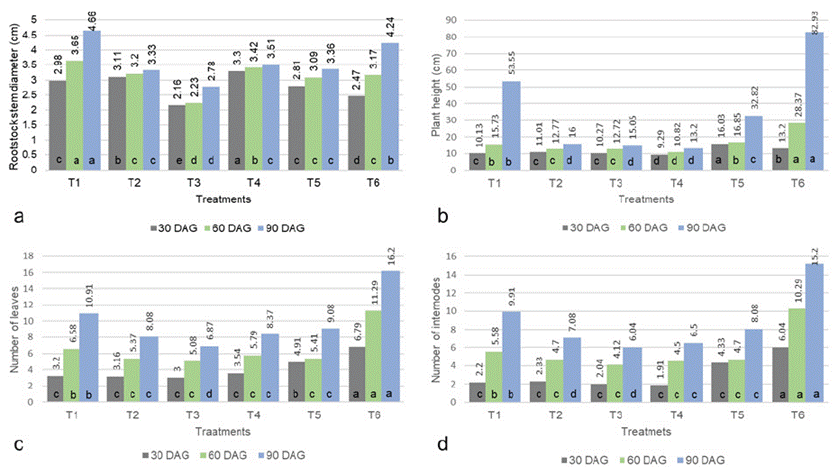
Plant height (PH), number of leaves (NL), and number of internodes (NI) showed significant differences in averages between treatments and across measurement times according to Dunnett’s test (Figure 1). The control treatment (non-grafted P. edulis f. flavicarpa) showed the highest values for the three variables at 90 DAG, followed by the combinations P. edulis f. flavicarpa/P. alata and self- grafted yellow passion fruit.
The effect of the rootstock on the plant height (PH) was considerable for the combination P. edulis f flavicarpa (self-grafted) and P. alata with values that reached 32.82 and 53.55 cm, respectively, at 90 DAG (Figure 1b). In general, most of the rootstocks evaluated showed a reduction of 35 % in PH compared to non-grafted yellow passion fruit (82.93 cm).
On the other hand, all scion-rootstock combinations reached a PH of 15 cm at 90 DAG, and in some combinations, it occurred at 60 DAG (P. alata and non-grafted yellow passion fruit). These results contrast with those obtained by Morgado et al. (2015), which mention that the P. alata rootstock reaches more than 12 cm in height at 45 DAG, and for P. edulis, f. flavicarpa, at 50 DAG. The effect of the rootstock on the scion growth depends on the formation or healing time of the parenchymal cells in the grafting area (Pina and Errea, 2005), which provides rapid reconnection of the vascular bundles, allowing the absorption of nutrients from the root to the graft, and of photoassimilates from the leaves to the entire plant (Hartmann et al., 2014).
In this study, it was observed that the total healing of the graft takes between 20 to 25 days. Thus, some researchers recommend that yellow passion fruit plants are ready for transplant to their definitive site in the field when they reach 15 cm in height (Lima et al., 1999) or when the plant emits its first root tendril (Ocampo et al., 2021). In this research, the non-grafted yellow passion fruit plants reached this height at 60 DAG, and when they were grafted, it took an average of 70 DAG. In contrast, Cavichioli et al. (2011); 2017) and Morgado et al. (2015) mention that grafted plants are appropriate for planting at approximately 105 DAG and more than 15 cm in height. The genetic and taxonomic proximity of the rootstock as well as the technical conditions in which the seeds and seedlings are maintained influence the plant height (Hurtado et al., 2021). However, grafted plants exhibit greater precocity in flowering and fruit production, resulting in an earlier first harvest compared to traditional crops.
The number of leaves (NL) assessed presented significant differences at 30, 60, and 90 DAG (Dunnett’s test at 5 %), with average values between 4.01 and 9.92 NL (Figure 1c). The control treatment (non-grafted P. edulis f. flavicarpa) presented the highest NL in the three measurements over time with 6.79, 11.29, and 16.20, respectively. Likewise, when yellow passion fruit was self-grafted, the values at 30 DAG were higher (4.91 NL) than those obtained with P. alata, P. maliformis, and P. quadrangularis (3.20, 3.0, and 3.54 NL, respectively). However, P. alata had a greater average number of leaves at 90 DAG (10.91 NL), surpassing the other rootstocks. In contrast, the P. maliformis rootstock had 48.3 % fewer leaves at 90 DAG (8.37 NL) compared to the control (non-grafted yellow passion fruit). Other studies carried out by Lima et al. (1999) report superior results of yellow passion fruit with the “BRS-RUBI” cultivar grafted onto P. edulis f. flavicarpa (7 leaves) at 30 DAG, and P. alata (8 leaves) at 90 DAG. However, Santos et al. (2016) found similar results at 90 DAG with the rootstocks P. alata (7.2 leaves) and P. edulis f. edulis (8.0 leaves).

In relation to the average number of internodes (NI), the results showed significant differences (Dunnett’s test at 5 %) between the different scion- rootstock combinations at 30, 60, and 90 DAG, with average values between 3.14 and 8.8 NI (Figure 1d). The control (non-grafted P. edulis f. flavicarpa) presented the highest number of internodes (6.0, 10.3, and 15.2 NI), followed by P. alata (2.2, 5.6, and 9.9 NI), at 30, 60, and 90 DAG, respectively. The other rootstocks presented significant differences compared to the control and did not exceed the average 7.1 NI at 90 DAG.
In general, the rootstock influenced graft growth in most treatments, with less than 20 % difference in the NI compared to the control (non-grafted yellow passion fruit). The number of leaves (NL) and number of internodes (NI) are dependent variables, and some studies suggest not using the NL as a descriptor of canopy growth, since it may be exposed to mechanical damage by pests and diseases (Staveley and Wolstenholme, 1990). For this reason, Vasconcellos et al. (2005) recommend using the number of internodes as a growth descriptor because it is subject to less variation.
The results obtained in this research serve as the basis for producing seedlings in nurseries grafted on rootstocks resistant to Fusarium spp., which must be further evaluated in the field to establish their agronomic performance. These agronomic evaluations must be focused on plant health, yield (kg/plant), and fruit quality so that these materials can be offered to producers with a clear validation of the grafting technology.
Conclusion
The scion-rootstock combinations evaluated in this study presented 100 % compatibility (≥ 1), indicating their potential as rootstocks in yellow passion fruit. Likewise, the grafted seedlings can be transplanted to field conditions once they reach a minimum height of 15 cm and exhibit the emergence of five leaves on the graft, typically occurring between 30 to 60 days after grafting (DAG).
Acknowlegments
To the Universidad Nacional de Colombia - Sede Palmira (UNAL) and the Corporación Colombiana de Investigación Agropecuaria - Agrosavia for the financing of this project (Hermes 50402/PlanView ID 1001657). Likewise, to the Research Group on Neotropical Plant Genetic Resources (GIRFIN - UNAL Palmira) through the project Strengthening of Research Groups UNAL (Hermes 60162).
References
Agronet. (2022). Red de información y comunicación del sector agropecuario colombiano. Agronet. https://www.agronet.gov.co/estadistica/Paginas/home.aspx?cod=1
Ambrósio, M.; Krause, W.; Silva, C. A.; Lage, L. A.; Cavalcante, N. R. and Silva, I. V. (2018). Histological analysis and performance of sour passion fruit populations under different rootstocks resistant to Fusarium spp. Revista Brasileira de Fruticultura, 40(1), e-274. https://doi.org/10.1590/0100-29452018274
Baron, D.; Amaro, A. C. E.; Pina, A. and Ferreira, G. (2019). An overview of grafting re-establishment in woody fruit species. Scientia Horticulturae, 243, 84-91. https://doi.org/10.1016/j.scienta.2018.08.012
Campo-Arana, R. O. and Vergara-Canedo, L. S. (2014). Evaluación de la resistencia de la población de maracuyá amarillo (Passiflora edulis f. flavicarpa. Degener), de San Isidro, Córdoba, a la marchitez vascular (Fusarium spp.). Fitopatología Colombiana, 38(2), 39-42. https://www.researchgate.net/publication/298811371
Cavichioli, J. C.; Corrêa, L. S.; Garcia, M. J. M. and Fischer, I. H. (2011). Growth, yield and survival of yellow passion fruit grafted and cultived in area with description of premature death of plants. Revista Brasileira de Fruticultura , 33(2), 567-574. https://doi.org/10.1590/S0100-29452011005000075
Cavichioli, J. C.; Narita, N.; Nasser, M. D. and Takata, W. H. S. (2017). Development and productivity of yellow passion fruit grafted in the region of Presidente Prudente, SP. Revista Cultura Agronômica, 26(1), 61-68. https://doi.org/10.32929/2446-8355.2017v26n1p61-68
Ceballos-Aguirre, N.; Hurtado, S. A. and García-Jaramillo, D. (2021). Chapter 2: Physiology of the grafted plant in Passiflora species. In Hurtado, A.; Ocampo, J.; Ceballos-Aguirre, N.; García, D. J. and López W. R. (Eds.). Passiflora: genetic, grafting and biotechnology approaches (pp. 77-100). Hauppauge: Nova Science Publisher.
Corrêa, L, S.; Cavichioli, J. C.; Oliveira, J. C. and Boliani, A. C. (2010). Use of humid chamber in conventional grafting of yellow passion fruit on three rootstocks. Revista Brasileira de Fruticultura , 32(2), 591-598. https://doi.org/10.1590/S0100-29452010000200033
Darikova, J. A.; Savva, Y. V.; Vaganov, E. A.; Grachev, A. M. and Kuznetsova, G. V. (2011). Grafts of woody plants and the problem of incompatibility between scion and rootstock (a review). Journal of Siberian Federal University, 1(4), 54-63. https://doi.org/10.17516/1997-1389-0185
Espinal, F. J. (2021). Agronomic evaluation of passion fruit (Passiflora edulis f. flavicarpa Degener) grafted on five Passiflora L. species. [Masters dissertation]. Facultad de Ciencias Agropecuarias. Universidad Nacional de Colombia. https://repositorio.unal.edu.co/bitstream/handle/unal/84677/E865348_2023.pdf?isAllowed=y&sequence=2
Faleiro, F. G.; Junqueira, N. T. V.; Jesus, O. N.; Cenci, S. A.; Machado, C. F.; Rosa, R. C. C.; Costa, A. M.; Junqueira, K. P. and Junghans, T. G. (2020). Maracuyá: Passiflora edulis Sims. In Carlosoma, A. R.; Faleiro, F. G.; Morera, M. P. and Costa, A. M. (Eds.). Pasifloras: especies cultivadas en el mundo (pp. 15-29). Brasilia: ProImpress.
Filho, G. C. N.; Roncatto, G.; Ruggiero, C.; Oliveira, J. C. and Malheiros, E. B. (2011). Seedling production of yellow passion fruit by hypocotyledonary grafting on seven species on passifloras. Revista Brasileira de Fruticultura , 33(1), 237-245. https://doi.org/10.1590/S0100-29452011005000027
Godoy, H.; Castellanos, J.; Alcántar. G.; Sandoval. M. and Muñoz, J. J. (2009). Greenhouse tomato yield, dry matter and nutrient accumulation, as affected by grafting and nutrient supply. Terra Latinoamericana, 27(1), 1-11. http://www.scielo.org.mx/scielo.php?script=sci_arttext&pid=S0187-57792009000100001&lng=es&tlng=es
Hartmann, H. T.; Dale, E. and Kester, D. E. (2002). Plant Propagation Principles and Practices. New Jersey: Prentice Hall.
Henao-Henao, E. D.; Hernández-Medina, C. A.; Salazar-González, C.; Velasco-Belalcazar, M. L. and Gómez-López, E. D. (2018). Molecular identification of Fusarium isolates associated with passion fruit in five locations from Valle del Cauca, Colombia. Agronomía Mesoamericana, 29(1), 53-61. https://doi.org/10.15517/ma.v29i1.27114
Hernández-González, Z.; Sahagún-Castellanos, J.; Espinosa- Robles, P.; Colinas-León, M. T. and Rodríguez-Pérez, J. E. (2014). Effect of rootstock on yield and fruit size in grafted cucumber. Revista Fitotecnia Mexicana, 37(1), 41-47. https://doi.org/10.35196/rfm.2014.1.41
Hurtado, A.; Silva, D. F. P. and Bruckner, C. H. (2016). Effect of two wild rootstocks of genus Passiflora L. on the content of antioxidants and fruit quality of yellow passion fruit. Bragantia, 75(2), 164-172. http://dx.doi.org/10.1590/1678-4499.396
Hurtado-Salazar, A.; Ceballos-Aguirre, N.; and Ocampo, J. (2021). Chapter 3: Ecophysiology and Grafted Fruit Quality. In Hurtado, A.; Ocampo, J.; Ceballos-Aguirre, N.; García, D.J. and López, W. R. (Eds.). Passiflora: genetic, grafting and biotechnology approaches (pp. 101-136). Hauppauge: Nova Science Publisher .
Kokalis-Burelle, N.; Bausher, M. G. and Rosskopf, E. N. (2009). Greenhouse evaluation of Capsicum rootstocks for management of Meloidogyne incognita on grafted bell pepper. Nematropica, 39(1), 121-132. https://www.researchgate.net/publication/43287754
Lenza, J. B.; Valente, J. P.; Roncatto, G. and Chig, L. A. (2009). Index of establishment and precosity in seedlings of ‘FB200’ grafted in different species of passion fruits trees. Revista Brasileira de Fruticultura , 31(3), 831-836. https://doi.org/10.1590/s0100-29452009000300029
Lima, A. A.; Caldas, R, C.; Cunha, M, A, P. and Filho, H. P. (1999). Avaliação de porta-enxertos e tipos de enxertia para o maracujazeiro-amarelo. Revista Brasileira de Fruticultura , 21(3), 318-321.
Lima, L. K. S.; Dos Santos, I. S.; Gonçalves, Z. S.; Soares, T. L.; Jesus, O. N. and Girardi, E. A. (2018). Grafting height does not affect Fusarium wilt control or horticultura performance of Passiflora gibertii N.E.Br. rootstock. Anais Da Academia Brasileira de Ciencias, 90(4), 3525-3539. https://doi.org/10.1590/0001-3765201820180072
López-Elías, J.; Romo, A. and Domínguez, J. (2008). Evaluation of grafting methods in watermelon (Citrullus lanatus [Thunb.] Matsum. & Nakai) onto different squash rootstocks. Idesia, 26(2), 13-18. http://dx.doi.org/10.4067/S0718-34292008000200003
Morgado, M. A. D.; Bruckner, C. H.; Rosado, L. D. S. and Dos Santos, C. E. M. (2015). Development of passion fruit grafted on Passiflora wild species. Revista Brasileira de Fruticultura , 37(2), 471-479. https://doi.org/10.1590/0100-2945-099/14
De Jesus, O. N.; Lima, L. K. S.; Giraldi, E. A.; Faleiro, F. G.; Carriello, R. C. C. and Soares, T. L. (2020). Capítulo 12. Especies de Passiflora L. para usar como portainjertos. In Rodríguez, C.; Faleiro, F. G.; Morera, M. P. and Costa, A, M. (Eds.). Passifloras: especies cultivadas en el mundo. Brasilia, DF: ProImpress.
Ocampo, J.; Morillo-Coronado, Y.; Espinal, F. and Moreno, I. (2022). Tecnología para el cultivo del maracuyá (Passiflora edulis f. flavicarpa Degener) en Colombia. Universidad Nacional de Colombia and Corporación Colombiana de Investigación Agropecuaria - Agrosavia Palmira. Palmira. https://repositorio.unal.edu.co/handle/unal/83650
Ocampo, J.; Hurtado-Salazar, A. and López, W. R. (2021). Chapter 1: Genetic resources and breeding prospects in Passiflora species. In Hurtado, A.; Ocampo, J.; Ceballos-Aguirre, N.; García, D. J. and López, W. R. (Eds.). Passiflora: genetic, grafting and biotechnology approaches (pp. 1-76). Hauppauge: Nova Science Publisher .
Osorio, J. A.; Martínez, E. P.; Hio, J. C.; Aguirre, J. E.; Vergara, J.A.; Luque, N. Y.; Rojas. E. D. and Cruz, G. N. (2020). Caracterización sanitaria de los cultivos de granadilla, gulupa y maracuyá en Colombia, con especial referencia a la secadera causada por Fusarium solani f. sp. passiflorae. Mosquera: Agrosavia. https://repository.agrosavia.co/handle/20.500.12324/35797
Patiño-Pacheco, M. J. and Pérez-Cardona, O. Y. (2021). Evaluation of the resistance of Passifloras genotypes to Fusarium solani f.sp. passiflorae in granadilla. Entramado. 17(2), 256-267. https://doi.org/10.18041/1900-3803/entramado.2.6820
Pina, A. and Errea, P. (2005). A review of new advances in mechanism of graft compatibility-incompatibility. Scientia Horticulturae , 106(1), 1-11. https://doi.org/10.1016/j.scienta.2005.04.003
Preisigke, S. C.; Silva, L, P.; Serafim, M. E.; Bruckner, C. H.; Araújo, K.L. and Neves, L. G. (2017). Early selection of Passiflora species resistant to fusariosis. Summa Phytopathologica, 43(4), 321-325. https://doi.org/10.1590/0100-5405/175390
Santos, C. H. B.; Oliveira, E. J.; Laranjeira, F. F.; Jesus, O. N. and Girardi, A. E. (2016). Growth, fruit set, and fusariosis reaction of yellow passion fruit grafted onto Passiflora spp. Revista Brasileira de Fruticultura , 38(3), e-711. https://doi.org/10.1590/0100-29452016
Staveley, G. W., and Wolstenholme, B. N. (1990). Effects of water stress on growth and flowering of Passiflora edulis (Sims) grafted to P. caerulea L. ISHS Acta Horticulturae, 275, 551-558. https://doi.org/10.17660/ActaHortic.1990.275.68
Teulon, J. (1971). Propagation of passion fruit (Passiflora edulis) on a Fusarium resistant rootstock. Plant Propagator, 17(3), 4-5. https://eurekamag.com/research/014/625/014625563.php
Vasconcellos, M. A. S.; Silva, A. C.; Silva, A. C. and Reis, F. O. (2005). Ecofisiologia do maracujazeiro e implicações na exploração diversificada. In Faleiro, F. G.; Junqueira, N, T, V. and Braga, M. F. (Eds.). Maracujá: germoplasma e melhoramento genético (pp. 295-313). Planaltina: Embrapa Cerrados. http://www.alice.cnptia.embrapa.br/alice/handle/doc/569573
Winks, C. W.; Menzel, C. M. and Simpson, D. R. (1988). Passionfruit in Queensland. 2. Botany and cultivars. Queensland Agricultural Journal, 114, 217-224. https://api.semanticscholar.org/CorpusID:81938387