Artículos
Síndrome metabólico, estado nutricional y su relación con diferentes profesiones
Metabolic syndrome, nutritional status and its relationship with different work activity occupations professions
Síndrome metabólico, estado nutricional y su relación con diferentes profesiones
Revista Latinoamericana de Hipertensión, vol. 14, núm. 2, pp. 219-223, 2019
Sociedad Latinoamericana de Hipertensión

Resumen:
Introducción: El síndrome metabólico (SM) es un conjunto de anormalidades metabólicas consideradas como un factor de riesgo para desarrollar enfermedad cardiovascular y diabetes. El SM y la obesidad constituyen un problema de salud pública que afecta a la población con diferentes ocupaciones de la actividad laboral.
Objetivo: Determinar si existe relación entre el síndrome metabólico, el estado nutricional y la ocupación de la actividad laboral (taxistas, albañiles, docentes).
Material y métodos: Estudio de tipo cuantitativo, nivel relacional, prospectivo de corte transversal. La muestra es de 100 individuos con diferente ocupación de la actividad laboral (docentes, albañiles y taxistas). Se consideró presencia de (SM) a quienes poseían 3 o más de los criterios según parámetros de Adult Treatment Panel III (ATP-III), identificados estos a través de exámenes hematológicos, el índice de masa corporal y la media de presión arterial. Para el análisis estadístico se aplicó la estadística descriptiva de acuerdo con las variables estudiadas y para buscar asociación entre variables chi cuadrado (x2).
Resultados: En la población evaluada el valor promedio de la edad fue de 42,02 años con intervalos de confianza de 39,39 y 44,79. Se demostró que el síndrome metabólico, la hipertensión arterial y el estado nutricional guardan una correlación significativa con la ocupación laboral (p<0,05), mientras que no existe asociación con la hipertrigliceridemia, hipergliceridemia e hipercolesterolemia (p>0,05).
Conclusiones: Se concluyó que los taxistas constituyen la ocupación más vulnerable a presentar síndrome metabólico y factores predisponentes.
Palabras clave: Síndrome metabólico, obesidad, ocupación, estado nutricional.
Abstract:
Introduction: The metabolic syndrome (MS) is a cluster of metabolic abnormalities considered risk factors for developing cardiovascular disease and diabetes. Metabolic syndrome and obesity is a health problem that dramatically affects the population with different work activity occupations.
Objective: To determine if there is a relationship between metabolic syndrome, nutritional status and different work activity occupations (taxi drivers, bricklayers and teachers).
Material and methods: Study of quantitative type, relational level, prospective of transversal cut. The sample is 100 people with different work activity occupations (teachers, bricklayers and taxi drivers). The presence of (SM) was considered to be those who had 3 or more of the criteria according to parameters of Adult Treatment Panel III (ATP-III), identified through hematological examinations, body mass index and mean arterial blood pressure. For the statistical analysis, descriptive statistics were applied according to the variables studied and to find an association between chi-squared variables (X2).
Results: In the evaluated population, the average age value was 42.02 years with confidence intervals of 39.39 and 44.79. It was demonstrated a significant correlation between metabolic syndrome, arterial hypertension, nutritional status and occupational activity (p<0.05), while there was no association with hypertriglyceridemia, hyperglyceridemia and hypercholesterolemia.
Conclusions: We concluded that taxi driver is the occupation most vulnerable to presenting metabolic syndrome and predisposing factors.
Keywords: Metabolic syndrome, obesity, occupation, nutritional status.
Introducción
El Síndrome Metabólico (SM) es uno de los principales problemas de salud pública del siglo XXI, el 25% de adultos presenta esta condición a nivel mundial; la prevalencia en los Estados Unidos se incrementó del 23 al 34% entre los años 1994 y el 2010; en América Central el predomino oscilo entre el 23 y 35% de acuerdo a los criterios de la National Cholesterol Education Program – Adult Treatment Panel IIl (NCEP – ATPIII)2. Actualmente existen diferentes criterios diagnósticos de SM, tomando como referencia a los establecidos por: el National Cholesterol Education Program (NCEP), el Adult Treatment Panel III (ATP III), la American Heart Association (AHA), el National Heart, Lung and Blood Institute (NHLBI), la Internacional Diabetes Foundation (IDF) y el consenso Armonizado, los cuales tienen la misma base conceptual, pero con variaciones entre sí3, que conllevan diferencias en una misma comunidad la asociación de múltiples factores que pueden aparecer de forma simultánea o secuencial en un mismo paciente, al ser un fenómeno adaptativo puede depender de condiciones medioambientales4.
Según, el concepto clínico existe una combinación de alteraciones metabólicas, como acumulación de grasa intraabdominal, resistencia a la insulina, la génesis de la diabetes mellitus tipo 2 (DM2) y de la artereoesclesois son asociaciones cuyo vínculo común es la insulinorresistencia5. En condiciones normales, la función de la insulina en el organismo es el mantenimiento, homeostasis de los vasos sanguíneos y la activación del óxido nítrico que se deriva del endotelio; en pacientes con SM existe una alteración en este funcionamiento ocasionando el aumento del tono vascular e hipertensión, aumento de la interacción entre las células endoteliales y leucocitos dando como consecuencia un estado protrombótico6. Esta alteración en el funcionamiento se manifiesta en los tejidos principalmente en los que guardan relación con el metabolismo de los hidratos de carbono y ácidos grasos; la resistencia a la insulina se relaciona con factores como estilos de vida sedentarios, alimentación de elevado contenido calórico que conducen al desequilibrio metabólico e hiperglicemia7.
En la actualidad poco se sabe acerca del impacto de las condiciones de trabajo en el desarrollo del SM. Por lo tanto es de gran interés médico y socio-económico evaluar diferentes grupos ocupacionales en cuanto a su riesgo metabólico y comparar los resultados en el contexto internacional. Es por ello que en el presente estudio se pretende establecer la posible relación entre el síndrome metabólico, el estado nutricional y las actividades que adultos desarrollan en diferentes ocupaciones en el campo laboral.
Materiales y Métodos
Diseño
Estudio prospectivo de nivel relacional y transversal.
Población y muestra
La población de estudio corresponde a un muestreo probabilístico simple estuvo constituida por 100 personas entre 25 y 60 años con diferentes ocupaciones como: Docentes, albañiles y taxistas de la ciudad de Azogues, Ecuador.
Variables e instrumentos
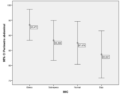
La información de todas las variables fue obtenida y registrada según los criterios de la guía de tratamiento de Adult Treatment Panel III (ATP-III)8, por la presencia de 3 o más de los siguientes criterios: triglicéridos (>1,7 mmol/l=148 mg/dl); disminución del colesterol HDL (<1,29mmol/l=<49 mg/dl); aumento de glicemia en ayunas (>5,6 mmol/l =100 ml/dl); presión arterial sistólica ≥130 mm/Hg y diastólica ≥85 mg/Hg 85; perímetro abdominal: mujeres (≥88 cms) y en hombres (≥102 cms). Para la clasificación de los pacientes según su peso corporal, se utilizó el índice de masa corporal (IMC) según los criterios de la Organización Mundial de la Salud (OMS) de 1998: Normo-peso: (IMC 18,5-24,9), Sobrepeso (IMC 25-29,9) y Obeso (IMC)≥30). El estudio guardo en todo su proceso la confidencialidad de los datos, en la base de datos no se incluyeron nombres de participantes, ni datos que faciliten la identificación por lo que la información fue anónima.
Análisis estadístico
El análisis estadístico se realizó un nivel de significancia de p<0,05, para buscar asociación con variables categóricas se utilizó chi cuadrado de Pearson (x2), para las variables numéricas se utilizó correlación de Pearson (r) y la relación numérica y categórica se utilizó la prueba de t de Student.
Resultados
| Estadístico | Media | Error estándar | Intervalos de confianza |
| Edad | 42,02 | 1,37 | 39,39 ; 44,79 |
| Perímetro abdominal | 89,28 | 1,58 | 86,18; 92,38 |
| Triglicéridos | 151,07 | 1,76 | 147,5; 154,6 |
| Glucosa | 109,08 | ES | 107,2; 114,5 |
| Colesterol | 50,96 | 1,03 | 48,9;53,0 |
| Presión arterial sistólica (mm Hg) | 132 | 1,67 | 128;134 |
| Presión arterial diastólica (mm Hg) | 87 | 1,61 | 83;89 |



| Profesión Ocupación | |||||||||||||
| Docentes | Albañiles | Taxistas | |||||||||||
| N | % | N | % | N | % | X | p | ||||||
| Síndrome metabólico | |||||||||||||
| Si | 13 | 48,0 | 11 | 36,7 | 26 | 64,5 | 14,87 | 0,000 | |||||
| No | 15 | 52.0 | 19 | 63,3 | 14 | 35,5 | |||||||
| Estado nutricional | |||||||||||||
| Bajo | 20 | 50,0 | 11 | 36,7 | 5 | 16,7 | |||||||
| Normal | 11 | 27,5 | 6 | 20,0 | 8 | 26,7 | |||||||
| Sobrepeso | 6 | 15,0 | 8 | 26,7 | 9 | 30,0 | 12,93 | 0,0011 | |||||
| Obesidad | 3 | 7,5 | 5 | 16,7 | 7 | 23,3 | |||||||
| Hipertrigliceridemia | |||||||||||||
| Si | 25 | 62,5 | 19 | 63,3 | 15 | 50,0 | 1,439 | 0,4867 | |||||
| No | 15 | 37,5 | 11 | 36,7 | 15 | 50,0 | |||||||
| Hipergliceridemia | |||||||||||||
| Si | 20 | 50,0 | 16 | 53,3 | 10 | 33,3 | 2,845 | 0,2411 | |||||
| No | 20 | 50,0 | 14 | 46,7 | 20 | 66,7 | |||||||
| Hipercolesterolemia | |||||||||||||
| Aumentado | 25 | 62,5 | 19 | 63,3 | 14 | 50,0 | 1,440 | 0,4967 | |||||
| Disminuido | 15 | 37,5 | 11 | 36,7 | 14 | 50,0 | |||||||
| Hipertensión | |||||||||||||
| Si | 9 | 29,9 | 16 | 46,7 | 21 | 64,3 | 12,845 | 0,0419 | |||||
| No | 21 | 70,1 | 14 | 53,3 | 19 | 35,7 | |||||||
____________________________________________________________________
Nota: La frecuencia de personas con (SM) en el grupo de taxistas, es mayor que en las otras profesiones. Según el análisis x2=14,82 p=0,000 =0%. Con una probabilidad de error del 0,00% la frecuencia de personas con (SM) en el grupo de los taxistas es mayor que en el grupo de docentes y albañiles. El tipo de profesión está asociada al (SM) en relación a la frecuencia de personas con sobrepeso en el grupo de taxistas, es mayor que en las otras profesiones (.2=12,93 p=0,0011 =0,001%). Con una probabilidad de error del 0,001% la frecuencia de personas con obesidad en el grupo de los taxistas es mayor que el grupo de docentes y albañiles. El tipo de profesión está asociada al sobrepeso. La repetición de personas con triglicéridos altos en el grupo de los albañiles y docentes es similar (x2=1,439; p=0,4869); la profesión no es un factor de riesgo para la hipertrigliceridemia.
El porcentaje de personas con glucosa alta en el grupo de los albañiles y docentes es mayor (x2=2,845; p=0,24,11). La profesión no es un factor de riesgo para la hipergliceridemia La frecuencia de personas con glucosa alta en el grupo de los albañiles y docentes es similar (x2=2,845; p=0,24,11). La profesión no es un factor de riesgo para la hiperglicidemia. El porcentaje de personas con colesterol alto en el grupo de los albañiles y docentes es similar (x2=1,440; p=0,4960). La ocupación no es un factor de riesgo para la tener colesterol alto. El porcentaje de personas con hipertensión arterial en el grupo de los taxistas es mayor que los grupos estudiados (x2=12,845; p=0,0419). Con una probabilidad de error del 4,19% la frecuencia de hipertensión arterial es mayor en el grupo de taxista en relación a las otras profesiones. La profesión es un factor de riesgo para la hipertensión. El síndrome metabólico, la hipertensión arterial y estado nutricional están asociados a la ocupación (p<0,05), mientras que no existe asociación con la hipertrigliceridemia, hipergliceridemia e hipercolesterolemia. (p>0,05)
DISCUSIÓN
Este estudio proporciona una referencia sobre la relación de síndrome metabólico y el estado nutricional de los adultos de acuerdo a las diferentes ocupaciones en las que se desarrollan en la ciudad de Azogues, Ecuador.
El promedio de la población estudiada, los datos obtenidos en relación a la edad fueron un promedio de (39,39 y 44,79); la PA (86,18 y 92,38); los triglicéridos (147,5 y 154,6); la glucosa (107,2 y 114,5) y el colesterol HDL (107,2 y 114,5). en relación al estudio realizado en el 2019. en el Hospital, Sungkyunkwan University School of Medicine, Seoul, South Korea en entre los 115.223 participantes, la edad media fue de 39,1 años. (SD=6.9, rango=19–63). La distribución por edades fue: 20–29 años: 5,6%; 30–39 años: 48.9%; 40–49 años: 37,3%; 50–59 años: 7,7%; y 60–69 años: 0,5%, de las características de los participantes considerados por el MEts el, IMC, circunferencia de la cintura, TG, BP, glucosa en ayunas, hsCRP y un historial de ECV y CDB, y negativamente asociado con alto nivel educativo y colesterol HDL. No hubo diferencia significativa en el total. Puntuación CES-D entre grupos.
Otro hallazgo en el estudio es que el tipo de profesión está asociada al estado nutricional. La repetición de personas con triglicéridos altos en el grupo de los albañiles y docentes es similar (X2= 1,439 p= 0,4869); la profesión no es un factor de riesgo para la hipertrigliceridemia, las medias del porcentaje grasa corporal (GC) fueron estadísticamente superiores en las personas con SM, tanto para el total como distinguiendo por sexos. En un estudio realizado en la ciudad de Barranquilla Colombia 201710, en el cual los resultaron indicaron que los promedios de GC fueron significativamente mayores en los sujetos con SM, independientemente de las ecuaciones empleadas en el presente artículo y a los consensos utilizados para definir SM.
La frecuencia de personas con glucosa alta en el grupo de los albañiles y docentes es mayor. x2=2,845 p-valor=0,24,11. La profesión no es un factor de riesgo para la hiperglicidemia La frecuencia de personas con glucosa alta en el grupo de los albañiles y docentes es similar. x2=2,845 p-valor=0,24,11, no existe evidencia que relacione a la ocupación de manera directa pero existen factores que pueden predisponer este padecimiento como indica los resultados de un en un estudio realizado en 201811, en personas con diabetes tipo 1 se puede comparar que los datos en relación a los factores es Se determinó que la concentración de glucemia 72,3% la glucosa mayor a 130, el mal control metabólico supera el 70% el LDL fluctuó entre 5,4 y 244 mg/dl con una mediana de 106±36,2 DS, con concentraciones óptimas y casi óptimas. La concentración de triglicéridos varió entre 72,0 mg/dL y 1190 como La ocupación no es un factor de riesgo para la tener colesterol alto.
La frecuencia de personas con hipertensión arterial en el grupo de los taxistas es mayor que los grupos estudiados. x2=12,845 p-valor=0,0419. Con una probabilidad de error del 4,19% la frecuencia de hipertensión arterial es mayor en el grupo de taxista en relación a las otras profesiones. La profesión es un factor de riesgo para la hipertensión El tipo de ocupación está asociado al síndrome metabólico, hipertensión arterial, estado nutricional (p<0,05). En un estudio realizado en Rosario Argentina 201612, no existe asociación con la hipertrigliceridemia, hipergliceridemia e hipercolesterolemia (p>0,05) los datos obtenidos en el trabajo, el 15,4% tenía sobrepeso, un 84,6% obesidad y el 57,7% (202/350) poseían altos valores de PA o tratamiento antihipertensivo.
Importancia y limitaciones
Estos datos que se obtuvieron en la investigación representan un aporte significativo en los pacientes que presentan SM y alteración en el estado nutricional de esta manera se pueden ampliar las estrategias de prevención de este padecimiento y así disminuir los factores de riesgo. Las limitaciones del estudio fueron algunos casos falta de colaboración de los pacientes sobre todo los de la zona rural, las faltas de estudios sobre este tema en esta población.
Conclusiones
Los resultados del presente estudio indican una concordancia considerable de la guía de tratamiento de Adult Treatment Panel III (ATP-III)., además de una similar frecuencia de sujetos con SM en relación al resto de las definiciones. En resumen, el SM es muy común en los sujetos con sobrepeso y obesidad (frecuencia de personas con obesidad en el grupo de los taxistas es mayor que el grupo de docentes y albañiles). El tipo de profesión está asociada al sobrepeso. La repetición de personas con triglicéridos altos en el grupo de los albañiles y docentes es similar x2=1,439 p=0,4869; la profesión no es un factor de riesgo para la hipertrigliceridemia. Se necesitan más estudios para dar respuesta a este escenario clínico.
Referencias Bibliográficas
1. César J, Fernández-Travieso JC. Síndrome Metabólico y Riesgo Cardiovascular . 2016.
2. Cabrera-Rode E, Stusser B, Cálix W, Orlandi N, Rodríguez J, Cubas-Dueñas I, et al. Concordancia diagnóstica entre siete criterios de síndrome metabólico en adultos con sobrepeso y obesidad. Rev Peru Med Exp Salud Publica [Internet]. 2017 Mar 23 [cited 2019 Feb 18];34(1):19. Available from: https://rpmesp.ins.gob.pe/index.php/rpmesp/article/view/2763
3. Third Report of the National Cholesterol Education Program (NCEP) Expert Panel on Detection, Evaluation, and Treatment of High Blood Cholesterol in Adults (Adult Treatment Panel III) Final Report. Circulation [Internet]. 2002 Dec 17 [cited 2019 Feb 19];106(25):3143–3143. Available from: https://www.ahajournals.org/doi/10.1161/circ.106.25.3143
4. Landi Masquio DC, Piano Ganen A de, Campos RM da S, Lima Sanches P de, Campos Corgosinho F, Caranti D, et al. Cut-off values of waist circumference to predict metabolic syndrome in obese adolescents. Nutr Hosp [Internet]. 2015 [cited 2019 Feb 19];31(4):1540–50. Available from: http://scielo.isciii.es/scielo.php?script=sci_abstract&pid=S0212-16112015000400012
5. Torre MP, Ii ISC. Diabetes tipo 2 y síndrome metabólico , utilidad del índice triglicéridos / HDL colesterol en Pediatría Type 2 diabetes mellitus and the metabolic syndrome , usefulness of the triglyceride / HDL cholesterol indexes in pediatrics. 2016;88(3):335–47.
6. Centro Nacional de Investigaciones Científicas (Cuba) JC. Revista CENIC. Ciencias biológicas. [Internet]. Vol. 47, Revista CENIC. Ciencias Biológicas. Centro Nacional de Investigaciones Científicas; 1986 [cited 2019 Feb 19]. Available from: https://www.redalyc.org/html/1812/181245821006/
7. Escober Torres J, Valeriano Sabillón K, Osorto Lagos E, Argueta Cabrera EG, Carmenate Milián L. Síndrome metabólico: primer estudio de prevalencia en atención primaria, Honduras. Endocrinol Diabetes y Nutr [Internet]. 2017 May 1 [cited 2019 Feb 18];64(5):273–6. Available from: https://www.sciencedirect.com/science/article/pii/S2530016417300526
8. Ortiz-panozo E, Yunes-díaz E, Lajous M, Romieu I, Monge A, López-ridaura R. Validity of self-reported anthropometry in adult Mexican women. 2017;59(3).
9. Jeon SW, Lim SW, Shin DW, Ryu S, Chang Y, Kim SY, et al. Metabolic syndrome and incident depressive symptoms in young and middle-aged adults: A cohort study. J Affect Disord [Internet]. 2019;246(November 2018):643–51. Available from: https://doi.org/10.1016/j.jad.2018.12.073
10. Alcocer Olaciregui AE, Vargas Moranth RF, Navarro Lechuga E, Lechuga EN. Área bajo curva ROC de Porcentaje de grasa corporal como estimativo de Síndrome metabólico en adultos de Barranquilla, Colombia. Rev Española Nutr Humana y Dietética [Internet]. 2017 Dec 31 [cited 2019 Feb 18];21(4):351. Available from: http://renhyd.org/index.php/renhyd/article/view/398
11. del Cañizo-Gomez FJ, Fernandez-Perez F. Factores de riesgo cardiovascular en pacientes con diabetes mellitus tipo 2 y sindrome metabólico. 50 Congr Nac la Soc Española Endocrinol y Nutr. :1–5.
12. Zapata ME, Bibiloni MDM, Tur JA. Prevalence of overweihgt, obesity, abdominal-obesity and short stature of adult population of Rosario, Argentina. Nutr Hosp [Internet]. 2016 Sep 20 [cited 2019 Feb 22];33(5):580. Available from: http://www.ncbi.nlm.nih.gov/pubmed/27759984
Notas de autor
carlos455@hotmail.com