Artículos
Synthesis, chemical hydrolysis and biological evaluation of doxorubicin carbamate derivatives for targeting cancer cell
Síntesis, hidrólisis química y evaluación biológica de derivados del carbamato de doxorrubicina para atacar células cancerosas
Synthesis, chemical hydrolysis and biological evaluation of doxorubicin carbamate derivatives for targeting cancer cell
Revista Latinoamericana de Hipertensión, vol. 16, núm. 4, pp. 287-293, 2021
Sociedad Latinoamericana de Hipertensión

Recepción: 21 Junio 2021
Aprobación: 15 Agosto 2021
Publicación: 12 Septiembre 2021
Abstract: Doxorubicin structure has been attached to (urea or thiourea) of 4-amino benzene sulfonamide via carbamate bond for minimizing doxorubicin side effects and reducing tumor resistance. The structures of compounds were characterized by melting point, .H-NMR spectra, 13C-NMR spectra and UV spectra. Chemical hydrolysis study of compound (IV) in different phosphate buffer (pH 5, 6.5 & 7.4) shows high stability at pH (7.4), and require more acidic condition to hydrolyze. In vitro cytotoxicity assay on MCF-7 has been studied, for compounds II & IV (IC50= 9.57 µg/ml & IC50= 10.28 µg/ml respectively) show significant cytotoxicity compared to free doxorubicin (IC50= 11.14 µg/ml) this may be attributed to the action of conjugated molecule.
Keywords: Doxorubicin, prodrugs, Carbamate, chemical hydrolysis.
Resumen: La estructura de la doxorrubicina se ha unido a (urea o tiourea) de 4-aminobencenosulfonamida mediante enlace carbamato para minimizar los efectos secundarios de la doxorrubicina y reducir la resistencia tumoral. Las estructuras de los compuestos se caracterizaron por el punto de fusión, los espectros de 1H-NMR, los espectros de 13C-NMR y los espectros de UV. El estudio de hidrólisis química del compuesto (IV) en diferentes tampones de fosfato (pH 5, 6,5 y 7,4) muestra una alta estabilidad a pH (7,4) y requiere una condición más ácida para hidrolizar. Se ha estudiado un ensayo de citotoxicidad in vitro en MCF-7, para los compuestos II y IV (IC50 = 9,57 µg / ml e IC50 = 10,28 µg / ml respectivamente) muestran una citotoxicidad significativa en comparación con la doxorrubicina libre (IC50 = 11,14 µg / ml) esto puede atribuirse a la acción de la molécula conjugada.
Palabras clave: Doxorrubicina, profármacos, Carbamato, hidrólisis química.
Introduction
The side effects of doxorubicin limit its use in treatment of numerous types of cancer1. Carbonic anhydrase enzymes IX & XII are described as being a predictive marker of doxorubicin resistance. The acidic extracellular environment can decrease the uptake of anthracyclins by cells, because these drugs are weak bases, which ionize at low pH2. CA IX is inhibited by several main classes of inhibitors: inorganic anions, sulfonamides and their isosteres (sulfamates and sulfamides), phenols3, coumarins4 and antibodies5. Primary sulfonamides are the most important and largely used zinc binding group for the design of new CA inhibitors (CAIs) that have been shown to reverse the effect of tumor acidification and to inhibit the growth of cancer cells in low concentration6. Many reports recently confirmed the antitumor activity of Ureido-/ thioureido-substituted benezensulfonamides. These compounds were shown to be good human CAIs and to possess a good selectivity profile for inhibiting human (CA IX & XII) over human (CA I & II)7,8. As shown in figure 1, some novel molecules such as fluorescent thioureido-sulfonamide (CAI17) and ureido-sulfonamide (U-104) are reported to be selective CA IX inhibitors and more potent in the inhibition the growth of both primary tumors and metastases in a mice model of breast cancer9-11. Indisulam (IND) with powerful anticancer activity was shown to act as a nanomolar inhibitor of CA IX, which reached the clinical evaluation trials (phase II in Europe and the United States) as potential drug for the treatment of several types of cancers12.
Prodrug is inactive bioreversible structure derived from active drug molecule, which undergoes enzymatic or chemical biotransformation before eliciting its pharmacological effect13. Carbamate prodrug shows high stability with minimal drug release at neutral pH, and faster hydrolysis at acidic pH14.
The presence of acid-labile linkages between drugs and conjugated molecules allows drug release in the mild acidic environment of a tumor15,16.
Thus, we synthesize compounds in which the anticancer drug (doxorubicin) has been conjugated with ureido-sulfanilamide and thio-ureido sulfanilamide via carbamate for minimizing the dose-related toxic side effects of doxorubicin and targeting to the tumor cell.

Experimental Procedure
Synthesis of 4-((phenoxycarbonyl) amino) phenylacetate (Intermediate 1a)17:
A suspension of 4-aminophenylacetate (9.5mmole, 1.43g) in (20 ml) of dry tetrahydrofuran was cooled to 00C then pyridine (12mmole, 1ml) and phenylchloroformate (9.5mmole, 1.2ml) were added. The resulting mixture was stirred at 00C for 5 min, and warmed to room temperature for 1hr. Ethyl acetate (60ml) was added and the suspension was washed with 1M HCL (10ml), H2O (10ml), saturated aqueous NaHCO3 (20ml), brine (10ml), and dried MgSO4 respectively. The solvent was evaporated to dryness under vacuum and triturated with diethyl ether/ hexane (hot) to get the crude solid product.
As white powder (92% yield), m.p. 1850C, 1H-NMR (500MHZ, DMSO-d6):10.19 (1H, s, NH* of NHCOO-), 7.52 – 6.49(9H, m, Ar-H*), 3.5 (3H, s, COCH3), 13C-NMR (125 MHZ, DMSO-d6): 173.47, 152.39, 144, 136.29, 130.9, 129.84, 127.69, 122.41, 119.26,115.7, 112.9,43.43.
Synthesis of 4-((phenoxycarbonothioyl) amino) phenyl acetate (Intermediate 1b)18
4- aminophenylacetate (4.0mmol, 0.605g), phenylchlorothionoformate (2.0mmol, 0.276 ml), and water (15 ml) were added respectively. The reaction mixture was stirred at room temperature for 1 hr. After the reaction was ended; the solid was filtered off, washed twice with 10% HCl (20 ml) and deionised water (20 ml), and dried under vacuum to give the product.
As white powder (85% yield), m.p. 1770C, 1H-NMR (500MHZ, DMSO-d6):7.68 (1H, s, NH* of NHCSO-), 7.42 – 7.17 (9H, m, Ar-H*), 3.56 (3H, s, COCH3), 13C-NMR (125 MHZ, DMSO-d6): 173.08, 153.11, 144.76, 132.73, 130.43, 129.85, 129.74, 128.29, 123.67, 123.49, 123.12,122.98, 122.67, 43.74.
Synthesis of 4-(3-(4-sulfamoylphenyl) ureido) phenyl acetate (Intermediate 2a)17:
Intermediate (1a) (1.0mmole, 0.271g) was dissolved in pyridine (3ml) Then 4-aminobenzenesulfonamide (1.05mmole, 0.181g) in pyridine (3ml) was added slowly to the mixture. The resulting mixture was stirred at room temperature for 2.5hr. Ethyl acetate (30ml) was added and the suspension was washed with H2O (2 x 10ml), 1M HCL (10ml), H2O (10ml), 1M NaOH (10ml), brine (10ml), and dried (MgSO4) respectively. The solvent was evaporated to dryness under vacuum and triturated with diethyl ether/ hexane to get the solid product
As white powder (70% yield), m.p. 1400C, 1H-NMR (500MHZ, DMSO-d6): 7.52 – 6.86 (8H, m, Ar-H*), 6.56 (1H, s, NH* of NHCONH), 6.47 (1H, s, NH* of NHCONH),5.8 (2H,s, SO2NH2), 3.48 (3H, s, COCH3), 13C-NMR (125 MHZ, DMSO-d6): 173.08, 153.13, 137.37, 136.58, 135.2, 132.73, 130,129.74, 126.47, 126.29, 123.67, 123.23, ,122.99, 122.42, ,43.8.
Synthesis of 4-(3-(4-sulfamoylphenyl) thioureido) phenyl acetate (Intermediate 2b)18:
Intermediate (1b) (1.0mmol, 0.287g) and 4-aminobenzenesulfonamide (1.0mmol, 0.172g) were added to water (15 ml) respectively. The reaction mixture was stirred at 100 °C for 1hr. The reaction mixture was allowed to cool to room temperature. The solid was filtered off, washed twice with 10% HCl (20 ml) and deionised water (20 ml), and dried under vacuum to give the pure product. As white powder (72% yield), m.p. 1920C, 1H-NMR (500MHZ, DMSO-d6): 7.96(1H, s, NH* of NHCSNH), 7.83(1H, s, NH* of NHCSNH), 7.68-7.15 (10H, m Ar-H*and SO2NH2), 3.56 (3H, s, COCH3),13C-NMR (125 MHZ, DMSO-d6): 173.25, 169.58, 152.19, 151.01, 147.46, 138.25, 130.18, 129.88, 125.87, 122.42, 122.42, 119.53, 118.96, 115.69, 114.39, 43.08.
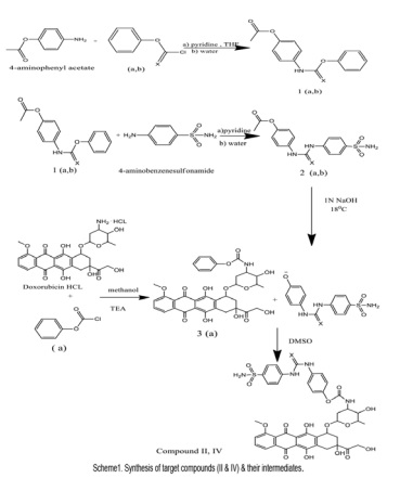
Synthesis of intermediate (3a)17
A suspension of doxorubicin HCl (1mmole, 0.58g) in (20 ml) of dry methanol was cooled to 0 0C then triethylamine (2mmole, 0.28ml) and phenylchloroformate (1mmole, 0.125ml) were added. Then complete the procedure as mentioned in the synthesis of (intermediate 1a). As red powder (88% yield), m.p. 150oC, 1H-NMR (500MHZ, DMSO-d6): 7.84 (2H, s, the aromatic protons of DOX), 7.57 (1H, s, NHCOO-), 7.45 (1H, m, the aromatic proton of DOX), 7.3-7.07 (5H,m, Ar-H*) and peaks at (13.89ppm, 13.19ppm) due to H-bond occur when the sample run at room temperature in addition to doxorubicin peaks.
Synthesis of compound (II)19
Intermediate (2a) (0.05mmole, 0.018g) was added in 1N NaOH 180 C for 1 hr. Then intermediate (3a) (0.05mmole, 0.033g) in DMSO was added slowly to the mixture. The resulting mixture was stirred at room temperature for 2 hr. Ethyl acetate (20ml) was added and the suspension was washed with H2O (10ml),1M HCL (10ml), H2O (10ml), 1M NaOH (10ml), brine (10ml), and dried (MgSO4) respectively.
As reddish black powder (65% yields), m.p.125oC.1H-NMR (500MHZ, DMSO-d6):8.58 (1H, s, NHCOO-), 7.9 (2H, s, the aromatic protons of DOX), 7.79-7.64 (4H, d, Ar-H*), 7.45 (1H, m, the aromatic proton of DOX), 7.31-6.75 (6H,m, Ar-H*and SO2NH2), 6.58 (2H, s, NH* of NHCSNH), and peaks at (14.04ppm , 13.26ppm) due to H-bond occur when the sample run at room temperature in addition to doxorubicin peaks as shown in table 1 and figure 2.

Synthesis of compound (IV)19
Intermediate (2b) (0.05mmole, 0.0198g) was added in 1N NaOH 180 C for 1 hr. Then intermediate (3a) (0.05mmole, 0.033g) in DMSO was added to the mixture. Then complete the procedure as mentioned in the synthesis of (compound (II)).
As reddish black powder (58% yields), m.p.130oC.1H-NMR (500MHZ, DMSO-d6):8.58 (1H, s, NHCOO-), 7.91 (2H, s, the aromatic protons of DOX), 7.79-7.64 (4H, d, Ar-H*), 7.45 (1H, m, the aromatic proton of DOX), 7.31-6.75 (6H,m, Ar-H*and SO2NH2), 6.58 (2H, s, NH* of NHCSNH), and peaks at (14.04ppm , 13.26ppm) due to H-bond occur when the sample run at room temperature in addition to doxorubicin peaks as shown in table 1 and figure(2as shown in figure 3.
Chemical Hydrolysis20
The hydrolysis of doxorubicin derivative (IV) was studied in aqueous phosphate buffer (pH 5, pH 6.5 & pH 7.4) incubated at 37°C. The total buffer concentration was 0.1 M and the ionic strength (μ) 1.0 was maintained for each buffer by addition of calculated amount of NaCl. The rate of hydrolysis was followed spectrophotometrically (UV method) by recording the decreases in the absorbance of doxorubicin derivative accompanying the hydrolysis at the lmax of . (480nm). The reaction was initiated by adding 1 mL of stock solution (1mg mL) of the derivative in methanol to preheated buffer solution at 37°C to give final concentration of derivative (0.02mg mL). The solution was kept in a water bath at 37°C and samples (3mL) were withdrawn at appropriate time interval (15, 30, 60,120, and 240 min.) and the absorbencies were recorded. The observed first rate constants were determined from the slopes of the linear plots of log concentration remaining versus time.
In vitro cytotoxicity study21-23
To determine the cytotoxic effect of compounds (II & IV) and doxorubicin on MCF-7, the MTT assay was done using 96-well plates. Cell lines were seeded at 1 × 104 cells/well. After 24 hrs, cells were treated with tested compounds at different concentration. Cell viability was measured after 72 hrs of treatment by removing the medium, adding 28 µL of 2 mg/mL solution of MTT and incubating the cells for 2.5 h at 37 °C. After removing the MTT solution, the crystals remaining in the wells were solubilized by the addition of 130 µL of DMSO followed by 37 °C incubation for 15 min with shaking. The absorbency was determined on a microplate reader at 492 nm.
Results and Discussion
The synthetic pathways for the designed target compounds (II & IV) are illustrated in (scheme 1)





Hydrolysis study of doxorubicin derivatives in aqueous buffer solution24.
The lmax of compounds IV at (480 nm) was differs from lmax of doxorubicin (477nm) and shows disappearance of (288nm) from the UV spectrum in addition to preserved peaks at (233nm & 252nm) as shown in figure 4 & figure 5. Thus making UV method applicable for studying the hydrolysis of these compounds.
Under experimental conditions used the hydrolysis of the doxorubicin derivatives followed first order kinetics, since plots of log. Concentration of compounds vs. time resulted in straight lines, from their slopes; the observed rate constants of hydrolysis were calculated.
Figure 6 is represented graph for pH-stability profile of the compound IV; while table 2 shows the pH values, the corresponding Kobs and half-life of the hydrolysis of doxorubicin conjugate. The half-life was calculated using equation (2), which derives from the first order kinetic law [equation (1)].
log. C = log. Co – k t /2.303 -------- equation (1)
t 1/2 = 0.693 / Kobs -------- equation (2)
| Compound | pH | Kobs(min-1) | t½(min) |
| IV | 5 6.5 7.4 | 1.73´10-3 3.37´10-4 9.98´10-5 | 400.57 min 2056.37 min 6943.88 min |
From the data above, compound IV shows a good stability at pH 7.4 and require more acidic conditions to hydrolyze.



In Vitro Cytotoxicity Study
The cytotoxic effect of compounds (II & IV) and doxorubicin against cancer cells was studied. The antitumor activity of these compounds was tested by studying their ability to inhibit the proliferation of cancer cells.
The results of this study showed highly significant cytotoxic activity of compounds (II & IV) compared to doxorubicin against the human cancer cell lines as showed in Figures below [(7) – (12)].
The results suggest the ability of compounds (II & IV) to suppress the growth of cell lines and this effect is concentration dependent manner.
The IC50 values for compound II & IV were measured to be 9.57 and 10.28 respectively as shown in (Table 3). However, free doxorubicin shows 11.14.
The data was compatible with high stability of carbamates and required more acidic conditions to hydrolyze to (urea or thiourea) of 4-aminobenzene sulfonamide and free doxorubicin, thus compound II & IV shows significant cytotoxicity differ from free doxorubicin alone against MCF-7.
| COMP. | Cpd. II | Cpd. IV | Doxorubicin |
| IC50 | 9.57 | 10.28 | 11.14 |






Conclusion
In this work, the synthetic procedure for the designed target compound was successfully achieved and the structural formula for the synthetic compound was characterized using 1H-NMR, 13C-NMR, UV and melting points. Chemical hydrolysis study has been done & In vitro cytotoxicity study against MCF-7, for compounds II & IV show highly significant cytotoxicity.
References
1. Vigevani A, Williamson MJ. Doxorubicin. Analytical Profiles of Drug Substances, Volume 9, 1981, Pages 245-274
2. 2-- Winer, E.; Morrow, M.; Osborne, C. Cancer: Principles and Practice of Oncology, 2001, 1651
3. Supuran CT. Carbonic anhydrase inhibition with natural products: novel chemotypes and inhibition mechanisms. Mol Divers. 2011; 15(2):305–16.
4. Wagner J, Avvaru BS, Robbins AH, Scozzafava A, Supuran CT, McKenna R. Coumarinyl-substituted sulfonamides strongly inhibit several human carbonic anhydrase isoforms: solution and crystallographic investigations. Bioorg Med Chem. 2010;18 (14):4873–8.
5. Ahlskog JKJ, Schliemann C, Mårlind J, Qureshi U, Ammar A, Pedley RB, et al. Human monoclonal antibodies targeting carbonic anhydrase IX for the molecular imaging of hypoxic regions in solid tumours. Br J Cancer. 2009; 101(4):645–57
6. A. Cecchi, A. Hulikova, J. Pastorek, S. Pastorekova, A. Scozzafava, J.-Y. Winum, J.-L. Montero, C.T. Supuran, Carbonic anhydrase inhibitors. Design of fluorescent sulfonamides as probes of tumor-associated carbonic anhydrase IX that inhibit isozyme IX-mediated acidification of hypoxic tumors, J. Med. Chem. 48. 2005; 4834-4841
7. M.S. Al-Said, M.M. Ghorab, S.I. Al-qasoumi, E.M. El-Hossary, E. Noaman, Synthesis and in vitro anticancer screening of some novel 4-[2-amino-3-cyano-4-substituted-5,6,7,8-tetrahydroquinolin-1-(4H)-yl] benzenesulfonamides, Eur.J. Med. Chem. 45. 2010; 3011-3018.
8. F. Pacchiano, F. Carta, P.C. McDonald, Y. Lou, D. Vullo, A. Scozzafava, S. Debhar, C.T. Supuran, Ureido-substituted benzenesulfonamides potently inhibit carbonic anhydrase IX and show antimetastatic activity in a model of breast cancer metastasis, J. Med. Chem. 54. 2011; 1896-1902.
9. F. Pacchiano, F. Carta, P.C. McDonald, Y. Lou, D. Vullo, A. Scozzafava, S. Debhar, C.T. Supuran, Ureido-substituted benzenesulfonamides potently inhibit carbonic anhydrase IX and show antimetastatic activity in a model of breast cancer metastasis, J. Med. Chem. 54. 2011; 1896-1902.
10. Z. Brzozowski, J. S1awi_nski, F. Sa˛czewski, A. Innocenti, C.T. Supuran, Carbonic anhydrase inhibitors: synthesis and inhibition of the human cytosolic isozymes I and II and transmembrane isozymes IX, XII (cancer-associated) and XIV with 4-substituted 3-pyridinesulfonamides, Eur. J. Med. Chem. 45. 2010; 2396-2404.
11. Y. Lou, P.C. McDonald, A. Oloumi, S. Chia, C. Ostland, A. Ahmadi, A. Kyle, U. Keller, S. Leung, D. Huntsman, B. Clarke, B.W. Sutherland, D. Waterhouse, M. Bally, C. Roskelley, C.M. Overall, A. Minchinton, F. Pacchiano, F. Carta, A. Scozzafava, N. Touisni, J.-Y. Winum, C.T. Supuran, S. Dedhar, Targeting tumor hypoxia: suppression of breast tumor growth and metastasis by novel carbonic anhydrase IX inhibitors, Cancer Res. 71. 2011; 3364-3376
12. F. Abbate, A. Casini, T. Owa, A. Scozzafava, C.T. Supuran, Carbonic anhydrase inhibitors: E7070, a sulfonamide anticancer agent, potently inhibits cytosolic isozymes I and II, and transmembrane, tumor-associated isozyme IX, Bioorg. Med. Chem. Lett. 14. 2004; 217-223
13. Rautio, J.; Kumpulainen, H.; Heimbach, T.; Oliyai, R.; Oh, D.; Järvinen, T.; Savolainen, J. Prodrugs: design and clinical applications. Nat. Rev. Drug Discov., 2008, 7, 255-270
14. D’Souza AJM, Topp EM. Release from polymeric prodrugs: linkages and their degradation. J Pharm Sci. 2004; 93(8):1962–79.
15. Liu, Y.; Wang, W.; Yang, J.; Zhou, C.; Sun, J. pH-sensitive polymeric micelles triggered drug release for extracellular and intracellular drug targeting delivery. Asian J. Pharm. Sci. 2013, 8, 159−167.
16. Hu, X.; Liu, S.; Huang, Y.; Chen, X.; Jing, X. Biodegradable block copolymer-doxorubicin conjugates via different linkages: Preparation, characterization, and in vitro evaluation. Biomacromolecules, 2010, 11, 2094−2102
17. Thavonekham B. Practical synthesis of urea derivatives. US Patent. 5925762, 1999.
18. Li Z, Chen Y, Yin Y, Wang Z, Sun X. Convenient synthesis of unsymmetrical N,N′-disubstituted thioureas in water. J Chem Res. 2016; 40(11):670–3.
19. Norman G. Gaylord. Carbamates. IV. The Reactions of Disubstituted Carbamates with Alcohols. Org. Chem, 1960
20. Ali Basim Talib, Monther F Mahdi and Mohammed H Mohammed, Design, Synthesis, and hydrolysis study of mutual prodrugs of NSAIDS with different antioxidants via glycolic acid spacer, Pharmacie Globale (IJCP); 2010; 12 (07).
21. Al-Ziaydi, A. G., Al-Shammari, A. M., Hamzah, M. I., Kadhim, H. S., & Jabir, M. S. Newcastle disease virus suppress glycolysis pathway and induce breast cancer cells death. Virus Disease, 2020; 1-8.
22. Khashan, K. S., Jabir, M. S., & Abdulameer, F. A. Carbon Nanoparticles prepared by laser ablation in liquid environment. Surface Review and Letters, 2019; 26(10), 1950078.
23. Kareem, S. H., Naji, A. M., Taqi, Z. J., & Jabir, M. S. PolyvinylpyrrolidoneLoaded-MnZnFe2O4 Magnetic Nanocomposites Induce Apoptosis in Cancer Cells Through Mitochondrial Damage and P 53 Pathway. Journal of Inorganic and Organometallic Polymers and Materials, 2020; 1-15.
24. Norberto FP, Santos SP, Iley J, Silva DB, Corte Real M. Kinetics and mechanism of hydrolysis of benzimidazolylcarbamates. J Braz Chem Soc. 2007; 18(1):171–8.
Notas de autor
hasanainaltaweel@gmail.com