Investigaciones
Recepción: Diciembre 2017
Aprobación: Abril 2018
Financiamiento
Fuente: CONICYT
Nº de contrato: TE10I010
Financiamiento
Fuente: CONICYT
Nº de contrato: PAI80160102
Financiamiento
Fuente: CONICYT
Nº de contrato: 21151503
Descripción del financiamiento: Este estudio ha sido financiado por el Fondo de Fomento al Desarrollo Científico y Tecnológico FONDEF, TIC-EDU (CONICYT, TE10I010), Programa de Atracción de Capital Humano Avanzado Extranjero, Modalidad Estancias Cortas (CONICYT, folio: PAI80160102). Beca de Doctorado Nacional 2015 del Programa de Formación de Capital Humano Avanzado (CONICYT, Folio: 21151503).
RESUMEN: El proyecto PicaLab propone el diseño, elaboración y evaluación de recursos informáticos modulares para la enseñanza y el aprendizaje de contenidos matemáticos a través del sonido y la música, para los niveles de tercero, cuarto y quinto año del sistema educacional primario de Chile. Si bien éstos fueron diseñados como recursos para la sala de clases, pueden ser usados por las y los estudiantes fuera de ese contexto. El proceso siguió una metodología en diferentes etapas con el fin de diseñar prototipos funcionales de naturaleza multimodal en conjunto con sus guías didácticas. Estos prototipos fueron sometidos a un proceso iterativo de evaluación hasta alcanzar su versión final. Los resultados de valoración de la presente propuesta por parte del alumnado muestran una excelente recepción, con puntuaciones muy altas en todas las dimensiones: global, técnica, afectiva-emocional y valoración para el aprendizaje matemático y musical.
Palabras claves: aprendizaje matemático, música, software didáctico, multimodalidad.
ABSTRACT: The PicaLab project proposes the design, development, and assessment of an integrated modular software solution involving sound and music, with the aim of improving mathematical learning in the third, fourth, and fifth levels of primary education in Chile. While these modular solutions were designed as resources for the classroom, students outside of that context can use them too. The process followed a methodology in several stages in order to generate multi-modal functional prototypes, together with their respective didactic guides, that link music and mathematics. These prototypes have been put through an iterative evaluation process leading up their final version. Results indicate an excellent reception of the proposal by students. All evaluated dimensions of the software -math learning, music learning, global, technical, and affective-emotional- have received excellent scores.
Keywords: mathematical learning, music, educational software, multimodality.
1. INTRODUCCIÓN
El PicaLab se fundamenta principalmente en la premisa de que es posible fortalecer el proceso de enseñanza y aprendizaje de conceptos matemáticos al tener un contexto común entre profesor y estudiantes. Este contexto permite el desarrollo de un medio por el que transita la información de los contenidos que facilita a su vez la construcción de conocimiento. En este caso, se plantea que dicho contexto debe tener un nivel alto de significación para la y el estudiante. Desde esa perspectiva, el arte y la música son de gusto e interés universal; por tanto, es un buen candidato para este desarrollo. Además, la música y el sonido entregan una forma de representación adicional de los conceptos matemáticos abordados. Se propone la utilización de representaciones mentales, o metáforas, las responden a la naturaleza multimodal de la cognición humana (Radford y André 2009), o desde otra perspectiva, al uso intercambiable de representaciones o códigos (Schön, Anton, Roth y Besson 2002). Las metáforas ofrecen a las alumnas y los alumnos un medio más para introducirse en conceptos abstractos de las matemáticas y a su vez, ofertan al docente otro contexto con el cual abordar el proceso de enseñanza (Araya 2000; Ministerio de Educación de Chile 2012).
Como se verá más adelante, esto fue concretado en los módulos MMSI (Música Matemáticas Sonora Inetractiva). En estos módulos, fracciones numéricas son asociadas a las alturas de notas musicales, la práctica de la adición y sustracción de números naturales es apoyada por sonidos y melodías, variaciones de un sonido son representadas a través de un gráfico de línea y sucesiones de múltiplos permiten genera secuencias rítmicas. En general, números enteros, números racionales, operaciones numéricas y representaciones gráficas han podido ser tratados interdisciplinarmente mediante el uso de los parámetros y ordenamientos del sonido, actuando como una metáfora de proximidad semántica (Flauvel, Flood & Wilson 2003). En este artículo se presenta el proceso de diseño, elaboración y evaluación de los cuatro módulos MMSI de PicaLab.
2. REVISIÓN DE LITERATURA
2.1. SOBRE LAS AULAS DE MATEMÁTICAS EN CHILE
El proceso de Evaluación del Desempeño Profesional Docente, dirigido a la evaluación de los profesores en Chile, alcanzó por primera vez envergadura nacional en el año 2005. Uno de los requisitos de este proceso es que cada profesor debe filmar una sesión de aula con una duración de 40 minutos. Equipos de investigadores analizaron los videos de ese año 2005 realizados por profesores de matemáticas; algunos analizaron la totalidad de ellos (Araya y Dartnell 2009) y otros seleccionaron una muestra aleatoria de aulas del segundo ciclo básico (Radovic y Preiss 2010; Preiss, Larraín y Valenzuela 2011).
La investigación de Araya y Dartnell analizó los videos mencionados con el fin de caracterizar patrones de enseñanza de las matemáticas. Los resultados sugieren una baja autonomía en el trabajo de las y los estudiantes, quienes prácticamente no formulan preguntas asociadas al contenido matemático en estudio. Además, no se detectó un uso intencionado de metáforas matemáticas y no se registró apoyo de TIC en ninguna sesión filmada (Araya y Dartnell 2009).
Asimismo, Radovic y Preiss, analizaron 89 filmaciones de aulas de matemáticas seleccionadas aleatoriamente de este conjunto, todas correspondientes al segundo ciclo básico (Radovic y Preiss 2010). En ellas se observó un “patrón de interacción relativamente compartido, caracterizado por preguntas cerradas dirigidas al monitoreo del recuerdo de conceptos y su uso en situaciones sencillas, escasa participación de los estudiantes y seguimientos de bajo potencial metacognitivo” (Radovic y Preiss 2010) con predominancia a preguntas dirigidas al control del flujo de la clase. Por otra parte, los profesores y profesoras mejor evaluados en el proceso presentaron más preguntas abiertas, además de preguntas sobre experiencias personales de sus estudiantes. Otra muestra aleatoria de vídeo del segundo ciclo, cuyo análisis se centró en la resolución de problemas (Preiss, Larraín y Valenzuela 2011), llegó a conclusiones similares a las experiencias anteriores, donde las actividades del profesor dominan el aula y la resolución de problemas es trabajada de manera mecánica.
En todos estos análisis, los autores son conscientes de que estos videos fueron realizados como parte de los requisitos de un proceso de evaluación de las prácticas docentes, lo que claramente influyó sobre sus decisiones en la planificación de la clase. La duración de la clase debía ser de 40 minutos y es probable que la profesora o el profesor buscara un escenario seguro de práctica, evitando imprevistos, recurriendo a clases altamente estudiadas y estructuradas, y en general, sustentándose en sus modos habituales de enseñanza. Sin embargo, esto hace que los resultados sean igualmente preocupantes, puesto que no deben alejarse de lo que ocurre regularmente en las clases de matemáticas.
Por otra parte, Espinoza, Barbé y Gálvez consideran que existen factores de naturaleza curricular (articulación de contenidos), fáctica (prácticas docentes) e institucional (organización general del sistema educativo) que afectan negativamente el nivel de logro de aprendizaje de niñas y niños en la enseñanza básica en Chile. A través de un estudio clínico didáctico y en conjunto con técnicas etnográficas, los autores realizaron un análisis de estas tres dimensiones, considerando como marco teórico la Teoría Antropológica de lo Didáctico y la Teoría de Situaciones Didácticas (Espinoza, Barbé y Gálvez 2011). Entre las conclusiones del estudio, se señala que en el sistema educativo se observa “una concepción de las matemáticas como un conjunto de conocimientos encerrados en sí mismos” (Espinoza, Barbé y Gálvez 2011), lo que afecta en cómo es relacionada con otras áreas del conocimiento y con las experiencias de las y los estudiantes, al momento de diseñar actividades de aula. Así también, las niñas y niños se enfrentan a ejercicios rutinarios que deben resolver siguiendo los procedimientos dados por el profesor, donde presentan una actitud más bien pasiva, sin espacio para la realización de preguntas o para la interacción entre ellos en torno al estudio matemático que se esté llevando a cabo. De esa forma, no tienen participación en la validación de las soluciones ni en la selección de los conocimientos para su resolución.
En el contexto del Tercer Estudio Internacional de Matemáticas y Ciencias (TIMSS) de 1999, se realizaron registros en vídeo de aulas de siete países del mundo. El análisis de estos videos, concluye en que existe un patrón de aula a nivel nacional que se caracteriza como un guion cultural que las profesoras y profesores tienen internalizado como partícipes del sistema educacional de su país (Givvin, Hiebert, Jacobs, Hollingsworth y Gallimore 2005). Si bien es posible reconocer la individualidad entre una clase y otra, ya sea por el objetivo de la clase o el contexto en que se desarrolla, este guion cultural parece sustentar las decisiones del profesor, manteniéndose en el tiempo y siendo ampliamente compartido. Una posible explicación de esto es que profesores y profesoras aprenden a enseñar a partir de su propia experiencia como estudiantes, manteniéndose así el patrón de una generación a otra (Stigler y Hiebert 1999).
De acuerdo a lo descrito, Chile no es la excepción y parece que existe una forma de percibir el proceso de enseñanza y aprendizaje de las matemáticas, donde el papel y el lápiz constituyen el principal recurso y, en caso de considerar otros, estos parecen cumplir con un rol secundario sólo de apoyo. Sin embargo, nuevas tendencias en educación apelan por la cognición corporizada y la multimodalidad de los conceptos (Gallese y Lakoff 2005; Radford y André 2009; Radford 2014), donde las experiencias sensoriales y motoras son tanto o más relevantes que el lenguaje y los signos en la actividad matemática. Es por ello, que el interés por el sonido y la música no se trata únicamente por encontrar contextos próximos o de interés para los estudiantes, sino de diversificar las experiencias sensoriales en la sala de clases, incorporando aquellas sensoriales-auditivas, que han sido poco exploradas en el ámbito del aprendizaje y la enseñanza de las matemáticas.
2.2. MATEMÁTICAS Y MÚSICA EN LAS SALAS DE CLASES
Considerando la relación matemática-música, las experiencias y actividades para las clases han ido aumentando significativamente en los últimos años. Es posible encontrar sitios web en los que profesores e investigadores publican y comparten diferentes experiencias. Entre estos, cabe señalar un proyecto de gran envergadura, el European Music Portafolio (Mall, Spychiger, Vogel y Zerlik 2016), donde participan instituciones educativas de siete países de Europa. El objetivo de este proyecto es reunir experiencias de sala de clases exitosas en las cuales se integren conocimientos matemáticos y musicales para ponerlos a disposición de todos los profesores y profesoras en el mundo, sean de matemática o de música, a través de los materiales y orientaciones para su aplicación en sala de clases.
A estos esfuerzos colectivos por compartir experiencias, se suman propuestas teóricas. Es el caso de Liern, quien presenta ejemplos de actividades en las que relaciona elementos rítmicos y métricos musicales con el concepto de fracción y la suma de fracciones (Liern 2011). An y Capraro ofrecen un currículum músico-matemático dividido en dos grandes temas: instrumentos musicales y composición musical. En ambos temas, se presentan antecedentes históricos, el desarrollo de los contenidos matemáticos y musicales, la relación entre ambos contenidos y una serie de preguntas de reflexión ante las situaciones propuestas (An y Capraro 2011).
Las investigaciones más numerosas en este campo son las de An y su equipo, realizadas con profesores y estudiantes de educación primaria, realizando experiencias en escuelas de Estados Unidos y China. Sus resultados son concluyentes sobre los efectos positivos de este tipo de actividades en el desarrollo de habilidades matemáticas, así como en la actitud y creencias sobre las matemáticas y su aprendizaje, lo que influye directamente en el compromiso de las y los estudiantes con su propio aprendizaje (An, Kulm y Ma 2008; An, Ma y Capraro 2011; An, Capraro y Tillman 2013; An y Tillman 2015). Entre las habilidades mencionadas, se destaca el uso efectivo en la resolución de problemas de diferentes representaciones visuales, como dibujos, tablas y gráficos, en conjunto con representaciones simbólicas matemáticas para describir los pasos de la resolución. Además, los estudiantes fueron capaces de crear sus propios problemas aplicando matemáticas a situaciones reales (An, Ma y Capraro 2011; An, Capraro y Tillman 2013; An y Tillman 2014, 2015).
Según estos trabajos, uno de los factores del éxito en estas actividades fue la forma en que la música estuvo involucrada en las actividades. Ésta tuvo un rol importante en el inicio de las actividades: los estudiantes experimentaron con la música y el sonido, por lo que no fue reducida a sólo una manipulación simbólica o a un contexto desvinculado del estudio matemático. Para ello, hubo una valoración hacia las propias producciones musicales de los estudiantes, que fueron compartidas con sus compañeros y se convirtieron en el insumo para continuar el estudio de contenidos matemáticos.
Además del currículo músico-matemático mencionado (An y Capraro 2011), se llevaron a cabo experiencias donde los mismos profesores, con orientaciones de los investigadores, planificaron sus propias actividades en diferentes áreas de contenido: números y operatoria, geometría, medida, álgebra, análisis de datos y probabilidades (An, Capraro y Tillman 2013; An y Tillman 2014). Para el diseño de estas actividades, An propone un modelo de enseñanza organizado en cinco fases, diferenciadas por sus niveles de focalización entre ambas áreas y el tiempo de duración relativa de cada una respecto al tiempo total de la actividad integrativa. Partiendo de una actividad exclusivamente musical, poco a poco emergen cuestionamientos sobre matemáticas, hasta que en la última fase el foco está en los contenidos matemáticos, preocupándose de incorporar elementos propios de la notación y formalidad matemática (An 2012).
Otras investigaciones llegaron a resultados similares. Algunos de ellos asociados al estudio de fracciones, donde las figuras musicales (redonda, blanca, negra, corchea, etc.) y la exploración de secuencias rítmicas, ofrece un contexto para el estudio de fracciones asociados a la noción de unidad relativa. Una misma fracción puede representar partes de tamaños diferentes, según cuál sea la unidad asociada, así como una misma figura musical puede representar duraciones diferentes, dependiendo de cuánto dura la unidad entera de tiempo (Conde, Figueras, Pluvinage y Liern 2011; Courey, Balogh, Siker y Paik 2012; Kalinec-Craig 2015).
Otro punto de interés sobre este tipo de actividades es la posibilidad de trabajar conjuntamente arte y ciencias, abriéndose un espacio para que profesores de diferentes asignaturas desarrolles propuestas de enseñanza de forma conjuntas. Kalinec-Craig reporta una experiencia para la enseñanza de fracciones en tercer año de educación primaria al suroeste de Estados Unidos, utilizando música mariachi y contando con el apoyo de un músico especialista en este género para el diseño de una propuesta basada en la experiencia y conocimiento cultural de sus estudiantes (Kalinec-Craig 2015). En México, Conde et al. desarrollaron una propuesta didáctica interdisciplinaria para el estudio de las fracciones, las figuraciones rítmicas y del sonido como fenómeno físico, creando un entorno informático para la integración de estas áreas disciplinares (Conde et al. 2011). Por otra parte, un proyecto de desarrollo curricular de Carolina del Norte - aunque no asociado a matemáticas pero que apunta hacia la integración de asignaturas del currículo escolar -, se sustenta en la Biomúsica. Se trata de un campo interdisciplinario que explora las relaciones existentes entre los sonidos musicales encontrados en diferentes especies de animales, como en el canto de las aves y de las ballenas. Este proyecto curricular invita a profesor y profesoras de ciencia y música al diseño de actividades de aula combinando la física y biología del sonido, la comunicación animal y algunos conceptos y principios fundamentales de la música (Carrier, Wiebe, Gray y Teachut 2011).
2.3. CORPORALIDAD EN EL APRENDIZAJE DE LAS MATEMÁTICAS
Además del interés y motivación que despierta en los estudiantes esta relación música-matemática, el diseño de los módulos MMSI, se fundamenta en las investigaciones que apelan por una cognición corporizada. Sustentados en evidencia neurocientífica y en estudios de lingüística cognitiva referidos a la naturaleza de conceptos, Gallese y Lakoff argumentan que el conocimiento conceptual es corporizado (Gallese y Lakoff 2005). En otras palabras, el sistema sensorio-motor del cerebro -aquel encargado de integrar la información del sistema motor con la información de las modalidades sensoriales, tales como luz, sonido, olores, entre otros- tiene la estructura necesaria para caracterizar el contenido semántico de los conceptos y lo hace a partir de la forma en que el cuerpo del individuo interactúa con el mundo. En términos de actividad cerebral, la imaginación y el hacer algo utilizan el mismo sustrato neuronal. Por ejemplo, si un individuo imagina que toma un objeto sin en realidad hacerlo, utiliza los mismos sectores del sistema sensorio-motor que cuando efectivamente lo hace. Así, el sujeto puede realizar una serie de razonamientos e imaginar situaciones asociadas a tomar el objeto, aunque no las haga, pero su imaginación estará basada en sus experiencias sensoriales sobre dicha acción. De esa forma, los autores declaran que entender es imaginar, o bien, que ambas acciones cognitivas utilizan el mismo sustrato neuronal. La habilidad de imaginar, y por tanto de entender, es corporizada, es decir, es constantemente restructurada a partir de cada encuentro o interacción con el mundo a través del cuerpo y el cerebro (Gallese y Lakoff 2005).
En concordancia con estas conclusiones, Radford y André desarrollan la noción de la naturaleza multimodal de la cognición (Radford y André 2009). Los autores defienden la necesidad de una enseñanza de las matemáticas que no dependa principalmente del lenguaje y los signos, sino donde se reconozca la mutua colaboración entre los diferentes sentidos, ya que esto permite una caracterización profunda del contenido semántico de los conceptos y de procesos de abstracción. De esa forma, los autores recomiendan el desarrollo de “actividades escolares que soliciten modalidades sensoriales variadas y permitan, a su vez, integrar estas actividades en otras de carácter más y más abstracto” (Radford y André 2009).
En general, la cognición humana solo puede entenderse como una forma sensorial multimodal constituida cultural e históricamente, que responde, actúa, siente, transforma y da sentido al mundo creativamente (Radford 2014). La concepción de cognición no puede apelar únicamente a lo "mental", alejada de las acciones y experiencias con el medio. Por el contrario, pensar, reflexionar, imaginar, conjeturar, argumentar y cualquier habilidad cognitiva superior, se encuentra interconectada con los aspectos materiales y conceptuales presentes en el mundo y, por ende, por las capacidades sensoriales del cuerpo humano (Radford 2014).
3. DISEÑO METODOLÓGICO
Esta investigación consistió en un trabajo interdisciplinario entre especialistas en didáctica de las matemáticas, didáctica de la música, músicos, ingenieros en sonido y programadores computacionales. La primera meta fue definir y describir lo que entenderíamos por esta articulación entre música y matemáticas, para luego comenzar el diseño de los módulos y su posterior proceso de validación.
Diversas investigaciones en el área de innovaciones en el aula, presentan un método de investigación que transita desde lo teórico a la puesta en práctica y su posterior evaluación. Sin embargo, no son muchas las que ponen atención a un punto trascendental ante propuestas interdisciplinarias y es la reflexión sobre el rol que cada área cumple en la propuesta de innovación. Posiblemente, porque el equipo de esta investigación es multidisciplinario, este punto fue fundamental para continuar y tomar decisiones durante el proceso. Así, la investigación fue organizada en cinco fases: (1) Revisión bibliográfica y estado del arte; (2) Definición de la articulación música-matemática; (3) Diseño e implementación de los módulos MMSI; (4) Experimentación y recolección de datos; (5) Análisis de los datos y validación. Cada una de estas fases se expone a continuación.
3.1. FASE 1: REVISIÓN BIBLIOGRÁFICA Y ESTADO DEL ARTE
Esta fase fue una instancia de enriquecimiento interdisciplinario, donde las y los especialistas hicieron aportaciones desde sus áreas de conocimiento, al mismo tiempo que cada uno debió realizar estudios fuera de su ámbito. Este tránsito de información, se centró en la búsqueda de diferentes implementaciones de música y matemáticas, además, de un sustento teórico en la cognición corporizada y las metáforas. Parte de ese estudio ha quedado plasmado en la sección anterior de este artículo.
3.2. FASE 2: DEFINICIÓN Y ARTICULACIÓN MÚSICO-MATEMÁTICA
En esta fase se procedió a describir el papel de las tres componentes del proyecto: música, matemáticas y tecnología. El primer acuerdo alcanzado fue considerar a la música como eje motivacional de la enseñanza y el aprendizaje de las matemáticas, reconociendo la importancia de una efectiva exploración musical, que incluyera variaciones sonoras en tiempo real y que pudieran ser controladas por las y los usuarios. Además, se debía tener en consideración dos aspectos: la posible, e incluso nula, formación musical de profesores y estudiantes, y los recursos tecnológicos básicos disponibles en las escuelas municipales (laboratorio de computación o equipos portátiles para las salas de clases). Sobre los contenidos matemáticos, estos fueron definidos a partir de las Bases Curriculares de la Educación Básica de Chile (Ministerio de Educación de Chile 2012) así como las habilidades asociadas al pensamiento matemático ahí descritas.
De esto, se logró una primera definición de un módulo MMSI como recurso educativo, consistente en una aplicación computacional acompañada de un guion didáctico, de acceso libre y descargables desde la web del proyecto2. Los módulos apuntan a la exploración y la reflexión hacia los contenidos matemáticos abordados, haciendo uso práctico y experimental de los recursos musicales y sonoros involucrados. En cuanto al contenido musical, su presencia es variable entre un módulo y otro, pero todos ofrecen cierto grado de libertad, tanto al estudiante como al profesor, para modificar algunos parámetros sonoros y rítmicos, lo que permite ampliar la gama de exploraciones a través de los módulos MMSI. En cuanto a la programación de las aplicaciones, estas fueron realizadas en PureData. Se trata de un lenguaje de programación dirigido a la creación de obras musicales y multimediales interactivas mediadas por computador (Puckette 2013). Siendo de código libre, se trata del programa idóneo para llevar a cabo la propuesta.
3.3. FASE 3: DISEÑO E IMPLEMENTACIÓN DE LOS MÓDULOS MMSI
El proceso de diseño está dividido en dos partes: (1) Lluvia de ideas sobre módulos músico-matemáticos; (2) diseño y programación de cuatro prototipos seleccionaos de las propuestas de la primera parte. Durante la lluvia de ideas, cada participante del proyecto propuso por lo menos un módulo músico-matemático siguiendo un formato básico de datos (nombre, objetivos, contenidos matemáticos y musicales y descripción detallada del recurso). Así también, todos ofrecieron observaciones y contribuciones provenientes del ámbito musical, matemático y tecnológico. De este trabajo surgieron más de 40 propuestas. La selección de cuatro de ellas para ser implementadas no fue fácil y dependió principalmente de qué tan completa estuviera su descripción y la viabilidad de programación dentro de los plazos del proyecto. Los cuatro prototipos finalmente desarrollados fueron: Módulo AudioFracciones (fracciones menores o iguales a un entero e igualdad de fracciones), Módulo AudioEnteros (adición y sustracción de números enteros), Módulo AudioGráficos (gráficos de línea) y Módulo MultiPulso (múltiplos, sucesiones numéricas y mínimo común múltiplo).
La programación de estos cuatro prototipos se llevó a cabo adoptando una metodología de prototipado iterativo del software (Cataldi 2000) mediante la plataforma de programación Pure Data (Puckette 2013). El modelo de prototipos es una metodología de ingeniería de software enfocada en los problemas del usuario, no del sistema. El diseño rápido o modelado (fase 1) permitió conseguir una representación de las características de los módulos MMSI, lo que condujo a la construcción de los prototipos (fase 2). Los prototipos permitieron al equipo entender mejor el proceso de desarrollo y llegar más rápidamente al resultado final. En el proceso, los prototipos fueron sometidos a una prueba que permitió obtener un feedback de los usuarios potenciales (fase 3). La prueba se realizó con 22 alumnos y alumnas de la audiencia prevista (9 a 11 años) en un centro educativo de la Región Metropolitana de Santiago de Chile. Para la prueba, se utilizaron computadores portátiles MacBook-Pro, donde las niñas y niños trabajaron en parejas. Durante la sesión, se grabó en audio el diálogo entre las y los participantes y, mediante un grabador de vídeo de pantalla, se registraron las acciones realizadas en el computador. Por último, los observadores de la experiencia recogieron notas relativas a la interacción y las actitudes de los participantes hacia el programa. Toda esta información fue utilizada para verificar los modos de interacción educativa con el programa, lo que llevó a rediseñar los prototipos, en particular la interfaz y algunos aspectos relativos a su funcionalidad, produciendo el desarrollo final de los módulos MMSI (fase 4).
Por último, se estructuró el guion didáctico de cada módulo, proponiendo actividades para sala de clases y laboratorio de computación. En cada actividad está explicitado su objetivo, los contenidos matemáticos y musicales involucrados, y se incluyen preguntas dirigidas a la compresión de las nociones matemáticas involucradas y a las exploraciones netamente musicales.
3.3.1 Módulo MMSI: AudioFracciones
En este módulo se propone el estudio interactivo de fracciones positivas y menores a un entero a través de una representación audiovisual que asocia las fracciones y los sonidos musicales. Así, se introduce la concepción parte-todo de las fracciones a partir de una exploración sonora, en donde un sonido está representado por una barra entera y se convierte en otro sonido más agudo, según la longitud seleccionada de la barra. Se trata de una simulación digital de la acción de pulsar una cuerda, donde según la posición del dedo, sonará una nota diferente.
El elemento base del recurso es una barra vertical que representa un entero o unidad, que puede dividirse en 1 hasta 16 partes iguales, para luego seleccionar un número determinado de esas partes. Esto significa que la construcción de una nota musical está dada, primero por el número de partes que el denominador divide la barra y, segundo por la cantidad de partes seleccionadas al momento de definir el numerador de la fracción. El módulo AudioFracciones incluye actividades en tres niveles distintos (Figura 1), trabajando separadamente los contenidos de ritmo y altura.
El nivel 1 incluye actividades de exploración, presentando un bucle simple (una repetición de una secuencia de sonidos) en el que se han de determinar fracciones en una barra vertical cuya altura total representa el sonido fundamental (unidad). Cuando se selecciona una fracción para la barra, suena un sonido que es proporcional al sonido fundamental representado por la barra completa.

En el nivel 2, se ha de buscar el sonido equivalente a uno dado. Matemáticamente, se trata de encontrar una fracción equivalente a otra fracción dada, ya sea a través de procesos de multiplicación o a través de procesos de división. En una barra, se representa la fracción dada y su correspondiente sonido, en la otra barra se debe expresar el sonido utilizando una fracción equivalente a la dada. De esa forma, el estímulo no sólo es una fracción sino también un sonido, por lo que el proceso de búsqueda es heurístico y se realiza por dos vías: la cognitiva y la sensorial.
El nivel 3 consiste en un ambiente para la creación de secuencias melódicas. Utilizando 16 barras musicales, los niños y niñas pueden explorar los sonidos a partir de la selección de determinadas fracciones con denominadores entre 1 y 16. Para incluir un silencio en la secuencia rítmica de los sonidos, la o el usuario debe considerar una fracción que represente el cero, es decir, una barra donde no se ha seleccionado ninguna de sus partes, lo que corresponde a que el numerador sea igual a cero. De este modo, la barra no activa ningún sonido, convirtiéndose en un silencio cuya duración será igual al de las restantes notas. Además, puede ir encadenando silencios para hacerlos de mayor duración, haciendo así posible cualquier tipo de combinación rítmica entre sonidos y silencios.
3.3.2. Módulo MMSI: AudioEnteros
Se trata de un espacio interactivo para la práctica de la adición y sustracción con números naturales, haciendo énfasis en el desarrollo de técnicas de cálculo mental. Las operaciones son asociadas a un desplazamiento hacia la derecha, en el caso de la adición, y hacia la izquierda para la sustracción, sobre una secuencia ordenada de números, cuyo rango numérico es de 0 a 25.
En el nivel 1, los estudiantes deben descubrir una melodía “oculta” realizando una serie de operaciones matemáticas que ahí son propuestas (Figura 2). Apelando a la curiosidad de las y los estudiantes, esta aplicación va liberando pequeños fragmentos de la melodía, cada vez que una operación es correctamente respondida. De esa forma, deben llegar hasta el final de los ejercicios para escucharla en su totalidad. Las melodías seleccionadas para el módulo varían desde música clásica hasta la icónica melodía del juego Mario Bros.
En el nivel 2, se deben aplicar estrategias de cálculo mental para llegar a un número final dado desde un número inicial también dado, ambos marcados sobre una secuencia numérica. Con ese fin, los niños y niñas deben construir una combinación de adiciones y sustracciones a partir de cuatro valores numéricos específicamente señalados en el programa (Figura 2). De esa forma, se entiende que el signo que acompaña a cada número corresponde a una operación de adición o sustracción y no a un signo de positivo o negativo.

3.3.3. Módulo MMSI: AudioGráficos
El objetivo del módulo AudioGráficos es explorar representaciones de sonidos continuos (barridos sonoros) a través de gráficos de línea. Incluye actividades de interpretación y construcción de gráficos de línea que describen las alteraciones en la frecuencia sonora (altura) de un sonido en un lapso temporal de 6 segundos.
El módulo consta de dos modos de trabajo. En el primer modo, los niños y niñas descubren las posibilidades y relaciones que ofrece la aplicación. En ella, se presenta un gráfico de línea que puede ser modificado moviendo los puntos de control que se encuentran sobre el gráfico. De esta manera, el sonido se modifica a través de su representación. Este modo es útil para que tanto profesores como estudiantes creen sus propios desafíos sonoros y los propongan al curso.
El segundo modo está dividido en tres niveles. En cada uno de ellos, se debe determinar cuál es el gráfico que mejor representa el sonido dado. En el nivel 1, los niños y niñas exploran variaciones sonoras estrictamente crecientes o decrecientes, moviendo sólo un punto de control al final del intervalo de tiempo. En el nivel 2, el punto de control se encuentra en medio del gráfico, y en el nivel 3, el patrón sonoro es más complejo, considerando dos puntos de control. En la Figura 3, se presenta la interfaz de los niveles 1 y 3 de este modo.

3.3.4. Módulo MMSI: MultiPulso
El módulo MultiPulso tiene como objetivo identificar regularidades numéricas asociadas a múltiplos de números naturales entre 2 y 6 y en el guion didáctico se proponen actividades para la exploración del Mínimo Común Múltiplo y Máximo Común Divisor. En la interfaz principal, una serie de números enteros positivos van avanzando por las líneas hasta pasar por la meta que se encuentra en la parte inferior de la pantalla, como se aprecia en la Figura 4. El o la estudiante debe hacer clic en la tecla correspondiente cuando el número que pasa por la meta es múltiplo del número en color que ahí se señala. Si el estudiante consigue hacerlo correctamente, se escucha un sonido en la escala seleccionada previamente. Si lo realiza de forma incorrecta, el sistema devuelve un sonido no armónico como retroalimentación de error.

3.4. FASE 4: EVALUACIÓN DE LOS MÓDULOS
La cuarta fase consistió en la evaluación del software por alumnas, alumnos, profesoras y profesores. En este artículo se muestra sólo la evaluación de alumnos y alumnas. Asimismo, Por cuestiones ajenas a la propia investigación, se evaluaron 3 de los 4 módulos: Módulo AudioFracciones, AudioEnteros y AudioGráficos.
3.4.1. Prueba piloto
Previamente a la evaluación, se realizó una prueba piloto con 40 estudiantes de educación básica en un centro educativo de la Región Metropolitana de Santiago con el fin de refinar el protocolo de evaluación y el instrumento de recolección de datos.
3.4.2. Muestra
La muestra está conformada por 221 estudiantes de 3º, 4º y 5º año de enseñanza básica de tres centros educativos prioritarios situados en la Región Metropolitana de Santiago de Chile. Para la obtención de los datos de este estudio, se administró una encuesta de modo presencial inmediatamente después del trabajo individual de las y los estudiantes por cada módulo en el laboratorio de computación. En función del tiempo dispuesto por los establecimientos para este proceso, se evaluaron sólo tres de los cuatro módulos: módulo AudioFracciones, módulo AudioEnteros y módulo AudioGráficos. En total, fueron cumplimentadas 342 encuestas de evaluación.
3.4.3. Instrumento
Para la recogida de datos, el equipo de investigación diseñó un cuestionario que incluyó diferentes ítems para medir ex postfacto diferentes variables intervinientes que potencialmente podrían haber sesgado las opiniones de los estudiantes, tal como se expone más adelante en la sección Control de Variables. El cuestionario fue validado por expertos en los campos de educación matemática y educación musical y fue posteriormente refinado a partir de la prueba de usabilidad del software realizada en la fase de implementación y de la prueba piloto mencionada anteriormente. El nivel de fiabilidad de este instrumento fue alto (Alpha Cronbach =.924, para 17 ítems).
El cuestionario incluyó varias dimensiones de evaluación, cada una de ellas constituida por diferentes ítems: (1) valoración del aprendizaje matemático (ítems 15 a 22); (2) valoración del aprendizaje de música (ítems 23 a 26); (3) valoración global (ítems 27 a 35); (4) valoración técnica (ítems 37 a 41). Cada ítem fue redactado en forma de una expresión categórica afirmativa con la que los estudiantes tuvieron que manifestar su grado de desacuerdo-acuerdo en una escala de 5 puntos.
Además de estas dimensiones, se incluyó la autopercepción de las emociones (ítem 36), una lista de control de emociones para el alumnado (a partir de aquí, balance emocional) que tiene la funcionalidad de evaluar las emociones auto-percibidas durante el trabajo con software (Espigares, García-Pérez, Tejada y Rebollo 2014). Este balance estuvo constituido por un conjunto de 7 emociones positivas y 7 negativas (no pareadas). Los estudiantes tuvieron que marcar aquellas que creyeron haber sentido durante el trabajo con los módulos. Este balance emocional sirvió para determinar las emociones positivas y negativas sentidas por el alumnado mientras trabajó con el programa y así correlacionarlas con las puntuaciones del resto de dimensiones de evaluación. Por último, se incluyeron 3 ítems abiertos que pretendían averiguar los elementos matemáticos nuevos aprendidos por los estudiantes con el programa (ítem 33), los elementos que más gustaban del software (ítem 34) y los elementos que menos gustaban (ítem 35).
3.4.4. Variables intervinientes
Con el fin de detectar y verificar a posteriori la influencia de variables intervinientes no consideradas en el estudio y que podrían variar sistemáticamente la valoración otorgada por el alumnado, se incluyó en el cuestionario de evaluación una serie de ítems para recoger información sobre ciertas variables reportadas en otros trabajos sobre uso de programas informáticos (Galera, Tejada y Trigo 2013): 1) sexo, 2) experiencia musical previa (determinada por la participación en clases de música), 3) conocimientos matemáticos extra-académicos (medidos por la realización de actividades extraescolares relacionadas con las matemáticas), 4) autopercepción de habilidades matemáticas, 5) autopercepción de habilidades musicales, 6) rendimiento en la asignatura Matemáticas (medido por la calificación obtenida el año anterior), 7) rendimiento en la materia Ed. Artística (Música; medido por la calificación obtenida el año anterior), 8) autopercepción de habilidades de manejo del computador, 9) frecuencia de uso del computador, 10) usos del computador. Estas variables fueron computadas como co-variables en el análisis de datos para verificar su influencia real en los resultados.
3.4.5. Materiales
Computadores PC con sistema operativo Windows 7 y XP
Audífonos.
Software: AudioFracciones, AudioEnteros y Audiográficos.
Cuestionario de evaluación.
3.4.6. Procedimiento
La evaluación se realizó en dos sesiones de trabajo de 90 minutos. Para realizar la evaluación, fueron contratados relatores entre estudiantes de último curso de la licenciatura de Didáctica de las Matemáticas, a los que se formó para llevar a cabo esta evaluación mediante un curso realizado en su universidad de adscripción. Los relatores tuvieron preparado el laboratorio de computación antes de que entraran los niños y niñas que evaluarían los módulos (computadores prendidos, programas ejecutados, ausencia de problemas de audio o de funcionamiento, etc.).
Los alumnos fueron conducidos al laboratorio de computación por el profesor de informática o el profesor de matemáticas y fueron ubicados individualmente ante cada computador. Antes de comenzar las actividades, el relator les proporcionó de forma concisa instrucciones referidas a los contenidos matemáticos (guion didáctico) y a cada módulo MMSI. Después, los estudiantes se colocaron los audífonos y comenzaron con la primera actividad. Cuando acabaron la actividad o pregunta, continuaron con la siguiente. Los relatores también se encargaron de resolver los problemas que tuvieron los estudiantes mientras estaban trabajando con los programas -contenido matemático, manejo del programa o con preguntas del cuestionario). A falta de 10 minutos para el final de cada sesión, se repartió entre los estudiantes el cuestionario de evaluación para su cumplimentación.
Durante las dos sesiones de evaluación, los controladores reportaron al equipo de investigación todas estas incidencias en una ficha ad hoc.
3.5. FASE 5: ANÁLISIS DE DATOS Y EVALUACIÓN DE LOS PROTOTIPOS
Los datos obtenidos fueron procesados con el programa IBM PSSS, determinando para ello un nivel de confianza del 95%, valor habitual en estudios similares dentro del campo de las ciencias sociales y educativas.
Las correlaciones entre las variables intervinientes o extrañas -mencionadas en la sección Variables- y la puntuación global de los módulos no fueron significativas, por lo que se deduce que no hubo efectos de dichas variables en las valoraciones de los estudiantes de las dimensiones de evaluación del software. A continuación, se muestran los resultados de cada una de las dimensiones de evaluación.
3.5.1. Valoración global
La valoración global del software (3 módulos evaluados) la conformaron los ítems 27 a 32 del cuestionario. En el Gráfico 1, el análisis estadístico arroja una media alta, con puntuaciones sesgadas positivas y baja dispersión.

Además de estos ítems, la valoración global incluyó tres ítems abiertos (33 a 35) que recogieron las percepciones de los niños y niñas respecto a los descubrimientos matemáticos realizados con el software (ítem 33), lo que más les gustó del software (ítem 34) y lo que menos les gustó (ítem 35).
3.5.2. Valoración del aprendizaje matemático
La dimensión de evaluación del aprendizaje matemático estuvo compuesta por los ítems 15 a 22 del cuestionario. Como se observa en el Gráfico 2, el análisis estadístico arroja una media alta, con puntuaciones sesgadas positivas y una baja dispersión.

3.5.3. Valoración del aprendizaje musical
Esta dimensión de evaluación estuvo compuesta por los ítems 23 a 26 del cuestionario. El análisis estadístico arroja medias muy altas, por encima de 4.15 en una escala de valoración 1-5, mostrando una varianza pequeña (<25%), como se puede observar en el Gráfico 3. El ítem 26 (“Me gustó usar el sonido y la música para realizar ejercicios de matemáticas”) fue el mejor valorado (media=4.40).

3.5.4. Valoración del dominio afectivo-emocional
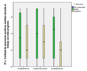
Como se mencionó anteriormente, el balance emocional del alumnado (ítem 36 del cuestionario) consistió en una lista de control de 7 emociones positivas y otras 7 negativas (no pareadas, sin escala semántica). De acuerdo a los Gráficos 4 hasta el 10, los resultados muestran que el alumnado sintió mayor número de emociones positivas que negativas, lo que indica una buena evaluación del ámbito afectivo-emocional.


De acuerdo a los resultados obtenidos en la correlación entre el resto de dimensiones de evaluación y las dos variables de escalamiento de las emociones (+/-) suscitadas por el software, se observa que hay correlación directa significativa entre las emociones positivas y las dimensiones de evaluación:
global (r = .204; grado medio de asociación)
aprendizaje matemático (r = .135)
aprendizaje musical (r = .132)
evaluación técnica (r = .308).
Simultáneamente, estos resultados de emociones positivas en el dominio cognitivo encuentran relación con la correlación inversasignificativa de las emociones negativas con:
la valoración del aprendizaje matemático (r = -.116) en particular con AudioFracciones (r = -.175).
2) la valoración del aprendizaje musical (r = -.150) en particular con AudioFracciones (r = -.237).





Por otra parte, las anotaciones de los controladores de la evaluación en sus diarios de campo permitieron conocer las actitudes del alumnado hacia los módulos MMSI. En líneas generales, fueron todas positivas, existiendo motivación por: 1) conocer cómo funcionaban; 2) resolver las preguntas sobre matemáticas formuladas por el controlador. Dichas anotaciones describen un contexto distendido en el que el alumnado preguntó fundamentalmente sobre cuestiones relacionadas con las matemáticas y con el sonido. Apenas hubo preguntas sobre el manejo del programa, por lo que se dedujo que el diseño de la interfaz fue lo suficientemente simple y funcional.
3.5.5. Evaluación técnica de usuario
Esta dimensión de evaluación estuvo compuesta por los ítems 37 a 41 del cuestionario. Como se observa en el Gráfico 11, el análisis estadístico arroja una media elevada para cada ítem individual, alrededor de 4 en una escala de 5 puntos, con puntuaciones sesgadas positivas y una dispersión media. Algo más del 10% del alumnado no respondió a estos ítems.

4. CONCLUSIONES
Las experiencias sensoriales auditivas han sido poco exploradas en el ámbito del aprendizaje y la enseñanza de las matemáticas, sin embargo, pueden contribuir al contenido semántico de nociones matemáticas, si se considera la naturaleza multimodal de la cognición humana. Es más, cada una de las exploraciones propuestas en los módulos MMSI son apoyadas por modalidades sensoriales tanto visuales como auditivas, junto con movimientos motores simples. Incluso, la o el profesor puede incorporar representaciones simbólicas propias de las matemáticas -y por qué no de la música- apoyando el paso hacia actividades con un nivel mayor de abstracción. Los resultados de Song An y su equipo, descritos en la revisión de literatura, destacan la aplicación de diferentes representaciones en la resolución de problemas con este tipo de aproximación interdisciplinaria. En general, se puede decir que el diseño e implementación de actividades músico-matemáticas tiene una riqueza multimodal. En otras palabras, el uso de la música y el sonido no consiste sólo en la incorporación de experiencias sonoras, sino que invitan a la integración de diferentes modalidades sensoriales.
El proceso de diseño de los módulos no difiere mayormente de otras investigaciones asociadas a innovaciones en sala de clases. Sin embargo, la definición de la articulación músico-matemática es una fase necesaria en este tipo de innovaciones interdisciplinarias. Los investigadores de las diferentes áreas y los programadores, debieron llegar a un común acuerdo sobre lo que entenderían por esta articulación. A medida que avanzaba el proyecto, emergieron detalles no considerados en un principio y que fueron necesarios de zanjar para alcanzar una propuesta coherente y viable, que habría sido difícil de solucionar de no haber ciertos elementos de consenso.
Así también, el momento de la lluvia de ideas, donde se generó una gran variedad de propuestas, es un momento característico de este proceso. El hecho de que diferentes especialistas contribuyeran en cada propuesta potenció todos los ámbitos del recurso. Algunos módulos MMSI son recursos para la enseñanza de las matemáticas y de la música, dependiendo del énfasis que la o el profesor ponga en la actividad de aula, más que en las características propias de la aplicación. Pero sin importar cuál sea el caso, ambas disciplinas estarán siempre presentes.
En las actividades de difusión y transferencia del proyecto, surgieron nuevos actores interesados en explorar los alcances del proyecto y de la aplicación de los módulos. Se constató que el software podía aplicarse a toda la enseñanza básica de 1º a 8º básico, razón por la que se ha elaborado un proyecto y postulado a financiamiento. Además, se han abierto oportunidades en educación media para abordar contenidos de música y acústica y para incursionar en la realización de talleres de programación con PureData, gracias al potencial de programación multimedia interactiva que ofrece la aplicación.
Asimismo, en relación a la educación media, se construyó una propuesta que aborda contenidos de percepción sonora y ritmo a través de actividades de creación y sincronización entre varios alumnos con sus computadoras, ejecutando secuencias de fracciones-sonoras, de forma sincronizada (Guzmán y Urrutia 2015). Por otra parte, PicaLab fue utilizado en la enseñanza y aprendizaje de las matemáticas en niños y niñas con ceguera por un grupo de profesoras y estudiantes de la carrera de Educación Diferencial, de la especialidad de Problemas de la Visión, de la Universidad Metropolitana de Ciencias de la Educación Chile. La intervención consistió en un completo registro de las actividades pedagógicas, perfilando la necesidad de una adaptación de la interfaz gráfica de los módulos. Las y los estudiantes con ceguera fueron mediados para trabajar con láminas táctiles y los módulos MMSI. Como conclusión principal de la experiencia, siendo una fortaleza su gran memoria auditiva y su capacidad de motivarse y disfrutar de la música, también se pudo observar que los módulos MMSI, utilizados conjuntamente con las láminas táctiles, son muy adecuados para fortalecer el aprendizaje de las matemáticas (Peña, Rodríguez y Donoso 2014). Este proyecto sugiere que PicaLab puede ser un aporte en el campo de los materiales didácticos disponibles para las Necesidades Educativas Especiales (NEE).
Finalmente, y en cuanto a la valoración emocional, los resultados permiten concluir que el software genera mayores niveles de satisfacción emocional que de insatisfacción, lo que se ve tanto en las distribuciones de las áreas de estas variables como en la correlación con otras dimensiones de evaluación, lo cual da una visión muy positiva de los procesos emocionales y de regulación desarrollados. Por ello, sería conveniente considerar la importancia de incorporar, con distintas posibilidades y variantes metodológicas, el análisis afectivo-emocional como criterio de valoración, complementario con otros, en la producción de material multimedia con funciones educativas en ámbitos formales y no formales de la educación.
REFERENCIAS BIBLIOGRÁFICAS
An, S. (2012). The effects of music-mathematics integrated curriculum and instruction on elementary students' mathematics achievement and dispositions. (Tesis doctoral no publicada), A&M University, Texas, TX, USA. Recuperado el 18 de diciembre de 2017 desde: Recuperado el 18 de diciembre de 2017 desde: http://hdl.handle.net/1969.1/ETD-TAMU-2012-05-10929
An, S. A., y Capraro, M. M. (2011) Music-math integrated activities for elementary and middle school students. Irvine, CA: Education for All.
An, S. A, Capraro, M. M., y Tillman, D. (2013). Elementary teachers integrate music activities into regular mathematics lessons: Effects on students’ mathematical abilities. Journal for Learning Through the Arts, 9(1), 1-20. Recuperado el 18 de diciembre de 2017 desde: Recuperado el 18 de diciembre de 2017 desde: https://escholarship.org/uc/item/0js732gf
An, S. A., Kulm, G. O., y Ma, T. (2008). The effects of a music composition activity on Chinese students’ attitudes and beliefs towards mathematics: An exploratory study. Journal of Mathematics Education, 1(1), 91-108. Recuperado el 18 de diciembre de 2017 desde: Recuperado el 18 de diciembre de 2017 desde: http://educationforatoz.com/images/_8_Song_An_-_music_and_math.pdf
An, S. A., Ma, T., y Capraro, M. M. (2011). Preservice teachers’ beliefs and attitude about teaching and learning mathematics through music: An intervention study. School Science and Mathematics Journal, 111(5), 236-248. Recuperado el 18 de diciembre de 2017 desde: Recuperado el 18 de diciembre de 2017 desde: https://files.eric.ed.gov/fulltext/EJ1065891.pdf
An, S., y Tillman, D.A. (2015). Music activities as a meaningful context for teaching elementary students mathematics: a quasi-experiment time series design with random assigned control group. European Journal of Science and Mathematics Education, 3(1), 45-60. Recuperado el 18 de diciembre de 2017 desde: Recuperado el 18 de diciembre de 2017 desde: https://eric.ed.gov/?id=EJ1107839
An, S., y Tillman, D.A. (2014). Elementary Teachers’ Design of Arts Based Teaching Investigating the Possibility of Developing Mathematics-Music Integrated Curriculum. Journal of Curriculum Theorizing, 30(2), 20-38. Recuperado el 18 de diciembre de 2017 desde: Recuperado el 18 de diciembre de 2017 desde: http://journal.jctonline.org/index.php/jct/article/view/511
Araya, R. (2000). Inteligencia Matemática. Santiago, Chile: Editorial Universitaria.
Araya, R. y Dartnell, P. (2009). Saberes pedagógicos y conocimiento de la disciplina matemática en docentes de educación general básica y media. En Ministerio de Educación de Chile (Ed.), Selección de investigaciones Primer Concurso FONIDE: evidencias para políticas públicas en educación (pp. 157-198). Santiago, Chile: Departamento de Estudios y Desarrollo, Ministerio de Educación de Chile. Recuperado el 18 de diciembre de 2017 desde: Recuperado el 18 de diciembre de 2017 desde: http://www.ciae.uchile.cl/download.php?file=publicaciones/S-1365016663.pdf
Carrier, S., Wiebe, E. N., Gray, P., y Teachout, D. (2011). BioMusic in the classroom: Interdisciplinary elementary science and music curriculum development. School Science and Mathematics, 111(8), 425-434. doi: 10.1111/j.1949-8594.2011.00116.x.
Cataldi, Z. (2000). Metodología de diseño, desarrollo y evaluación de software educativo (Tesis de Maestría no publicada). Universidad Nacional de La Plata. Recuperado el 18 de diciembre de 2017 desde: Recuperado el 18 de diciembre de 2017 desde: http://sedici.unlp.edu.ar/handle/10915/4055
Conde, L., Figueras O., Pluvinage, F., y Liern, V. (2011). El sonido de las fracciones: Una propuesta interdisciplinaria de enseñanza. Suma, 68, 107-113. Recuperado el 18 de diciembre de 2017 desde: Recuperado el 18 de diciembre de 2017 desde: https://www.uv.es/liern/2011e.pdf
Courey, S. J., Balogh, E., Siker, J. R., y Paik, J. (2012). Academic music: music instruction to engage third-grade students in learning basic fraction concepts. Educational studies in mathematics, 81(2), 251-278. https://doi.org/10.1007/s10649-012-9395-9
Espigares, M. J., García-Pérez, R., Tejada, J., y Rebollo, M. A. (2014). El discurso del profesorado de Educación Musical en la innovación educativa con TIC: posicionamientos en la evaluación del software Tactus. Revista Electrónica Complutense de Investigación en Educación Musical, 11. http://dx.doi.org/10.5209/rev_RECIEM.2014.v11.43054
Espinoza, L., Barbé, J., y Gálvez, G. (2011). Limitaciones en el desarrollo de la actividad matemática en la escuela básica: el caso de la aritmética escolar. Estudios Pedagógicos, 37(1), 105-125. http://dx.doi.org/10.4067/S0718-07052011000100006.
Flauvel, J. Flood, R. y Wilson, R. (eds) (2013). Music and Mathematics. From Pythagoras to fractals. New York: Oxford University Press.
Galera, M., Tejada, J. y Trigo, E. (2013) Music Notation Software as a Means to Facilitate the Study of Singing Musical Scores. Electronic Journal of Research in Educational Psychology, 11(1), 215-238. Recuperado el 18 de diciembre de 2017 desde: Recuperado el 18 de diciembre de 2017 desde: http://www.investigacion-psicopedagogica.org/revista/articulos/29/english/Art_29_761.pdf
Gallese, V., y Lakoff, G. (2005). The brain's concepts: The role of the sensory-motor system in conceptual knowledge. Cognitive Neuropsychology, 22(3/4), 455-479. https://doi.org/10.1080/02643290442000310
Givvin, K. B., Hiebert, J., Jacobs, J. K., Hollingsworth, H. y Gallimore, R. (2005). Are there national patterns of teaching? Evidence from the TIMSS 1999 video study. Comparative Education Review, 49(3), 311-343. Recuperado el 18 de diciembre de 2017 desde: Recuperado el 18 de diciembre de 2017 desde: https://www.timssvideo.com/sites/default/files/National%20Patterns%20of%20Teaching.pdf
Guzman, F., y Urrutia, V. (2015). Utilización de la aplicación AudioFracciones del proyecto PicaLab. Propuesta metodológica para primer y segundo ciclo básico (Tesis de grado no publicada). Universidad Metropolitana de Ciencias de la Educación, Santiago, Chile.
Kalinec-Craig, C. A. (2015). Uncovering the Mathematical Challenges and Connections When Using Mariachi Music as a Representation for Teaching Equivalent Fractions. Journal of Mathematics Education, 8(2), 3-20. Recuperado el 18 de diciembre de 2017 desde: Recuperado el 18 de diciembre de 2017 desde: http://educationforatoz.com/images/2015_Crystal_Kalinec-Craig.pdf
Liern, V. (2011). Música y Matemáticas en educación primaria. Suma, 66, 107-112. Recuperado el 18 de diciembre de 2017 desde: Recuperado el 18 de diciembre de 2017 desde: https://revistasuma.es/IMG/pdf/66/107-112.pdf
Mall, P., Spychiger, M., Vogel, R., y Zerlik, J. (2016). European Music Portfolio (EMP)-Maths:'Sounding Ways into Mathematics': Manual para el profesorado. Frankfurt am Main: Frankfurt University of Music and Performing Arts. Recuperado el 18 de diciembre de 2017 desde: Recuperado el 18 de diciembre de 2017 desde: http://maths.emportfolio.eu/images/deliverables/Teacher_Handbook_Spanish_Version.pdf
Ministerio de Educación de Chile. Unidad de Currículum y Evaluación (2012). Bases curriculares Matemática 2012. Santiago, Chile: Ministerio de Educación de Chile. Recuperado el 18 de diciembre de 2017 desde: Recuperado el 18 de diciembre de 2017 desde: http://www.curriculumenlineamineduc.cl/605/w3-article-14598.html
Peña R., Rodriguez C., Donoso O. (2014). Descripción de la aplicación y diseño de una propuesta metodológica para el uso del software educativo “Música Matemática Sonora Interactiva” en estudiantes con ceguera que cursan la Educación Básica y Media en Escuelas Especiales y Proyectos de Inclusión Educativa. Informe Final Proyecto de Fortalecimiento de la docencia y aprendizaje, Código C-14-8. Santiago, Chile: Dirección de Extensión y Vinculación con el Medio, Universidad Metropolitana de Ciencias de la Educación.
Preiss, D., Larraín, A., y Valenzuela, S. (2011). Discurso y pensamiento en el aula matemática chilena. PSYKHE, 20(2), 131-146. http://dx.doi.org/10.4067/S0718-22282011000200011
Puckette, M. (2013). Pure Data v. 0.43.4 (programa de computador).
Radford, L. (2014). Towards an embodied, cultural, and material conception of mathematics cognition. ZDM Mathematics Education, 46(3), 349-361. https://doi.org/10.1007/s11858-014-0591-1
Radford, L., y André, M. (2009). Cerebro, cognición y matemáticas. RELIME: Revista Latinoamericana de Investigación en Matemática Educativa, 12(2), 215-250. Recuperado el 18 de diciembre de 2017 desde: Recuperado el 18 de diciembre de 2017 desde: http://www.scielo.org.mx/scielo.php?script=sci_arttext&pid=S1665-24362009000200004
Radovic, D. y Preiss, D. (2010). Patrones de Discurso Observados en el Aula de Matemática de Segundo Ciclo Básico en Chile. PSYKHE, 19(2), 65-79. http://dx.doi.org/10.4067/S0718-22282010000200007
Schön, D., Anton, J.L., Roth, M. y Besson, M. (2002). An FMRI study of music sight-reading. Neuroreport, 13(17). 2285-9. Recuperado el 18 de diciembre de 2017 desde: Recuperado el 18 de diciembre de 2017 desde: https://pdfs.semanticscholar.org/4630/1079f118c50b18345715b50ed9e710251b96.pdf
Stigler, J.W., y Hiebert, J. (1999). The Teaching Gap: Best Ideas from the World’s Teachers for Improving Education in the Classroom. New York: The Free Press.
Notas
Notas de autor
*Correspondencia:tomas.thayer@umce.cl