Artículos
Diseño y aplicación en SIG de un indicador de obstrucción al escurrimiento superficial en planicies aluviales reguladas: el caso del Río Neuquén (Argentina)
Design and implementation in GIS of an indicator of surface runoff obstruction in regulated floodplains: the Neuquén River case (Argentina)
Diseño y aplicación en SIG de un indicador de obstrucción al escurrimiento superficial en planicies aluviales reguladas: el caso del Río Neuquén (Argentina)
Investigaciones Geográficas (Esp), núm. 67, pp. 155-171, 2017
Universidad de Alicante
Recepción: 10 Octubre 2016
Aprobación: 30 Mayo 2017
Resumen: La construcción de presas y embalses en una planicie de inundación fluvial ocasiona modificaciones al funcionamiento natural de este sistema, regulando la erogación de caudales. Uno de los principales efectos inmediatos de esta situación es la ocupación antrópica no planificada, con la consiguiente alteración positiva o negativa, de las variables ambientales, y específicamente de los usos del suelo dentro de la planicie. La evaluación de estos cambios resulta entonces una prioridad para lograr un conocimiento más objetivo de sus consecuencias. En esta aportación se aborda la construcción de un indicador del grado de obstrucción al escurrimiento superficial, aplicándolo en un tramo del río Neuquén (Argentina), el cual se ubica aguas abajo de la presa Portezuelo Grande hasta el embalse San Patricio del Chañar; como resultado relevante se ha producido una cartografía final que destaca las zonas problemáticas. Con ello se busca analizar implicancias y avanzar hacia una herramienta idónea de diagnóstico de posibles cambios ambientales que deriven en situaciones de vulnerabilidad hídrica, y que deban ser considerados en futuros planes de manejo del tramo en cuestión.
Palabras clave: SIG, análisis espacial, manejo del medio ambiente.
Abstract: The construction of dams and reservoirs in floodplains modifies how this system works naturally, regulating downstream water discharges. One of the main immediate effects of this is the unplanned an- thropic occupation, with the subsequent, positive or negative, alteration of the environmental variables, and more specifically the use of land within the plain. The evaluation of these changes is therefore a priority in order to acquire more objective knowledge of its consequences. This paper deals with the construction of an indicator of the degree of obstruction to surface runoff, and it is applied to a section of the Neuquén river (Argentina), which is located downs- tream of the Portezuelo Grande dam to the San Patricio del Chañar reservoir; one relevant result there has been the production of cartography that highlights the problematic areas. The objective is to analyze the implications and make progress towards obtaining a suitable tool that can diagnose possible envi- ronmental changes that result in situations of flood vulnerability, which should be considered in future management plans of the section in question.
Keywords: GIS, spatial analysis, environmental management.
1. Introducción
Factores diversos, desde netamente económico-productivos hasta jurídico-sociales, hacen que el hombre ocupe áreas sin haber tomado precauciones necesarias de resguardo del propio funcionamiento de los sistemas naturales y originando perjuicios en el sistema en el que se insertó (Olcina Cantos, 2008). Esto se evidencia claramente en los sistemas fluviales regulados por obras de ingeniería (Jaime y Tinoco-López, 2006) en los cuales la modificación de los caudales y de las condiciones ambientales, sobre todo de las situaciones extremas (atenuación o eliminación de crecidas) (Latrubesse y Brea, 2010), propician una rápida y casi siempre desordenada intromisión humana (Moreno Jiménez, 1995). El vacío jurídico en la República Argentina en torno a planicies de inundación reguladas artificialmente, vuelve más irregular la situación (Valls, 1999).
Existen numerosos antecedentes, tanto nacionales como internacionales, donde se establece el análisis espacial y la cartografía como herramientas de peso para evaluar los procesos naturales que, de una u otra forma, pueden llegar a influir en el uso y ocupación de los terrenos, más aún si es con fines urbanos (Belmonte y Núñez, 2006; López Martínez, 2015).
Los autores citados previamente, plantean la gran necesidad del ordenamiento de las llanuras de inundación, así como la disponibilidad de información y su integración en un sistema de información geográfica (SIG), que permita manejar grandes cantidades de datos para realizar diagnósticos y análisis espaciales (Moreno Jiménez, Buzai y Fuenzalida Díaz, 2012).
Sobre la base de las anteriores consideraciones se plantea la hipótesis de que cualquier cambio en la regulación de caudales y carga de sedimentos aguas abajo de una presa, provocará un ajuste del cauce y de la planicie aluvial facilitando la ocupación antrópica; ello ocasionará alteraciones en la escorrentía superficial potencial que pueda tener lugar en tales zonas y por ende, en las eventuales inundaciones. Tratándose de un aspecto frecuentemente mencionado por la literatura ingenieril (Rice, 1982; Petts y Gurnell, 2005), en este trabajo se establecen como objetivos: 1. determinar un conjunto de variables ambientales importantes (naturales y antrópicas), cuya influencia en la obstrucción al flujo de inundación, singularmente ante crecidas extraordinarias, resulta significativo; 2. diseñar e implementar en un SIG una base de datos de tales variables con el fin de evaluar y jerarquizar su efecto potencial en las diversas partes de la planicie aluvial; 3. formular un indicador que, integrando dicha información, establezca y cartografíe el grado de obstaculización que se puede ocasionar. A tal fin se experimentará con un caso ilustrativo, una parte del río Neuquén (Argentina).
Seguidamente a la presentación del área de estudio, se describe la metodología y fuentes de datos utilizados, los resultados obtenidos, para finalizar con la discusión y una breve conclusión.
1.1. Área de estudio
Comprende el Río Neuquén, específicamente el tramo que se encuentra ubicado entre la presa Portezuelo Grande y el embalse San Patricio de El Chañar (Provincia de Neuquén, Argentina) (Fig. 1); con una longitud de 61 km y una superficie de 191 km2. La cuenca del río Neuquén se extiende entre los paralelos de latitud 36º 10’ S y 39º 05’ S, y entre los meridianos de longitud 68º 00’ W y 71º 10’ W, con una superficie aproximada de 32.500 km2, y cotas máximas de 4700 y mínimas menores a 300 m.s.n.m. Su caudal módulo en Paso de los Indios es 310 m3/s (Autoridad Interjurisdiccional de Cuencas de los Ríos Limay, Neuquén y Negro [AIC], 2007), presenta un régimen de alimentación nivo-pluvial con una etapa de aguas bajas en marzo-abril (otoño austral) y dos etapas de creciente: una de invierno, en mayo-agosto, y una de verano en noviembre-diciembre.
Geomorfológicamente, el área de estudio se encuentra comprendida dentro de la región de “Mesetas Patagónicas Neuquinas” (Holmberg, 1978), o de las también denominadas “Planicies de la Patagonia Central” (Méndez, Zanettini y Zappettini, 1995).
La Formación Portezuelo y la Formación Bajo la Carpa, constituyen los laterales del valle del río Neuquén en el tramo de interés, estando en contacto con la planicie aluvial mediante taludes pronunciados que en el lenguaje regional son denominados “bardas”, cuyas cotas máximas en la zona alcanzan los 1100 m.s.n.m. Ambas formaciones representan un ambiente vinculado a sistemas fluviales de alta sinuosidad, de depósitos sedimentarios y carga de finos dominante, con meandros, y condiciones climáticas cálidas y semiáridas (Garrido, 2010).

En el tramo estudiado, el río Neuquén posee un patrón de cauce mixto entrelazado-meandriforme, con cauce principal sinuoso (> 1.26). El carácter de la sinuosidad puede describirse como de cauce de fase única más ancho en las curvas y con rectificaciones raras predominando cauces laterales sinuosos. Aunque cabe mencionar que en algunos sectores el ancho de las curvas es homogéneo y predominan curvas rectificadas (Brice, 1984). El ancho promedio del cauce principal activo es de 98 metros, en una planicie aluvial de poco más de 2 km de anchura. Esta está compuesta por la acreción lateral de bancos de arena y grava, y contiene cauces secundarios también sinuosos con diferentes grados de anastomosamiento a lo largo del tramo. La sedimentación induce la oclusión de dichos cauces, propiciando la formación compacta de poblaciones de plantas palustres, principalmente pertenecientes a los géneros Scirpus y Typha.
La pendiente promedio de la planicie en el tramo, es relativamente suave con algunas variaciones importantes. La variabilidad topográfica o amplitud media del relieve local es irregular, siendo mayor en zonas donde se registran la presencia de distintos niveles de terraza que forman ondulaciones con desniveles bien marcados en el terreno; y la existencia de morfologías de médanos sobre impuestas a la planicie aluvial. La amplitud del relieve es menor en zonas en las cuales solamente hay un nivel de terraza, seguido por el nivel de planicie aluvial.
El área de estudio presenta en su extensión suelos del orden edáfico de los Aridisoles. Son suelos que durante largos períodos de tiempo no disponen de agua suficiente para el crecimiento de cultivos o pasturas. En general se caracterizan por un horizonte superficial claro y pobre en materia orgánica. Cuando no se encuentran bajo riego, los Aridisoles se asocian con vegetación xerófila escasa que no cubre completamente la superficie del suelo.
La zona está incluida dentro de la provincia fitogeográfica de Monte, Dominio Chaqueño, Región Neotropical (Cabrera y Willink, 1980), caracterizada por una estepa arbustiva en donde son muy frecuentes las especies de Zigofiláceas, particularmente el género Larrea, comúnmente conocido como Jarilla. El área de análisis pertenece al Monte Austral, con menor complejidad estructural y florística y la ausencia de formas arbóreas.
Aguas abajo de Portezuelo Grande, se ubica la localidad de Añelo cabecera del Departamento homónimo, con una población de más de 2400 habitantes, registrándose también comunidades aborígenes mapuches y pobladores rurales diseminados en la planicie de inundación.
La región se destaca por una diversidad productiva e importancia económica relevante. El entorno del río Neuquén posee características especiales para la generación de energía hidroeléctrica, lo que ha dado lugar a la construcción de las obras del complejo Cerros Colorados (Fig. 1), construido en 1972. La presa de Portezuelo Grande constituye la obra de cierre de la planicie con una capacidad de descarga de 3600m3/s, mientras que la obra de derivación de caudales tiene una capacidad de 7900 m3/s, respondiendo a los cálculos realizados para la crecida máxima probable a partir de los datos del hidrograma natural del río (Fig. 2)

Desde el comienzo de las operaciones del Complejo Cerros Colorados, el tramo de estudio posee un caudal regulado de sólo 12 m3/s, lo cual provocó una reducción de ancho del cauce principal y propició una rápida intervención antrópica de la planicie con formas diversas de ocupación, destacándose las actividades petroleras y la producción frutihortícola. En el área existen gasoductos regionales y cabeceras de gasoductos troncales. El yacimiento de Loma de La Lata es el más importante en producción de Sudamérica, es cabecera de tres gasoductos troncales, cada uno de los cuales atraviesa el río Neuquén (AIC, 2007).
En este contexto regional, en el mes de julio de 2006 ocurrió una crecida extraordinaria sin precedentes en el sistema (Fig. 3). El caudal máximo instantáneo superó los 9800 m3/s, por lo cual la presa Portezuelo Grande debió derivar al tramo de estudio un caudal de 2000 m3/s, de los mismos solamente 600 m3/s pasaron a El Chañar, quedando el volumen restante retenido en la planicie aluvial. Estos valores, si bien eran menores que los caudales pasantes por el tramo antes de la regulación, resultaron extraordinarios para un sistema fluvial disminuido en tamaño por la regulación de descargas desde el año 1972 (AIC, 2007).

Con los datos de una simulación matemática encargada por la AIC luego de la crecida, se obtuvieron los límites que habría alcanzado la misma, con los supuestos de la modelación. Los valores de caudal utilizados en la modelación de referencia fueron aproximadamente iguales a los de la crecida de 2006, con un tiempo de recurrencia de 100 años. Uno de los objetivos de la elaboración de ese modelo fue estudiar la posibilidad de un mayor pasaje de caudales, de los actuales 12 m3/s a 230 m3/s (AIC, 2007).
A continuación se especifican detalladamente los diferentes pasos de la metodología implementada.
2. Metodología
2.1. Fuentes de datos
Todas las variables ambientales incluidas en el presente análisis están en íntima relación con la rugosidad de la planicie aluvial así como también con la escorrentía superficial. Se las clasificó en variables ambientales naturales: cubierta vegetal, drenaje (cauce principal y secundarios), relieve; y variables ambientales antrópicas: uso del suelo, elementos lineales (caminos, canales de riego, corta vientos), y elementos puntuales (puentes) (Bosisio, Ramonell y Graciani, 2015).
Para poder especificar el grado de obstaculización de cada variable en el escurrimiento y definir la organización territorial del área a partir del análisis de las relaciones espaciales, se realizó una recopilación de datos a escala regional con los cuales se generó una base de datos en ArcGIS de modelo raster, adoptando píxeles de 30 metros de resolución como unidades analíticas. La base de geodatos construida incluyó las siguientes fuentes de información: vuelos fotogramétricos del año 1962 (escala 1:50.000), y de Diciembre/Marzo de 1993/1994 (escala 1:20.000); imágenes Landsat TM de abril de 2006; imágenes Quick Bird de alta resolución de diciembre de 2006; relevamiento de usos de suelo y 38 perfiles transversales realizados por la AIC (2007), en el tramo Portezuelo Grande-El Chañar en febrero de 1998.
2.2. Métodos y técnicas
Usualmente la recomendación general, cuando se comienza un estudio en un sistema fluvial, es que se realice una diferenciación zonal de sus partes, mediante el reconocimiento de caracteres geomorfológicos sucesivos del sistema cauce/planicie aluvial (Sear, Newson and Thorne, 2003; Thorne, 1998; Federal Interagency Stream Restoration Working Group [FISRWG], 1998, 2001). Estos autores han establecido un marco de procedimientos centrados en el valor de conservación geomorfológica de la red de drenaje, analizando básicamente la distribución espacial de segmentos de cauce que mantengan los mismos atributos morfológicos, y la densidad de los cauces secundarios en la planicie.
Teniendo como base estos conceptos, con la información recopilada y el trabajo de campo se planteó una segmentación del área de estudio, basada en la diferenciación de atributos geomorfológicos en seis tramos sucesivos, considerándose fundamentalmente tres: patrón y dimensiones del cauce, conectividad y densidad de cauces secundarios, y pendiente.
Intrínseca de este análisis, es la evaluación de un cambio geomorfológico que responde a la modificación de una variable determinada. Este problema hace referencia al concepto de “estado de equilibrio” caracterizado por la predisposición al ajuste durante un alteración hidrológica o de carga de sedimentos, es decir la “sensibilidad”; y por la “resiliencia” que establece la capacidad para modificar su umbral de ajuste
Cada una de las características de una crecida puede explicarse mediante factores que presentan relaciones estrechas entre sí, los cuales pueden agruparse en 3 clases principales: 1) fenómenos transitorios (tormentas, evaporación y humedad del suelo); 2) características permanentes, que incluyen especialmente rasgos básicos (forma, área), propiedades de la red de drenaje (conectividad y densidad de cauces), y naturaleza de los canales de drenaje (por ejemplo pendiente, rugosidad, ancho y profundidad), y 3) el uso de la tierra dentro de la planicie, que puede ser transitorio o permanente (Cooke y Doornkamp, 1974). Si se desea entender y manejar exitosamente este fenómeno, se debe hacer énfasis en la importancia del estudio de los atributos de un gran número de variables ambientales, resaltando el rol que juegan los mismos en el manejo ambiental. Considerando lo anteriormente expuesto, los valores de cada atributo fueron clasificados en tres valores ordinales (de 1 a 3) representando desde la condición más favorable a la escorrentía (1) a la peor (3).
Como indica Barredo, “los distintos métodos o técnicas de Evaluación Multicriterio se diferencian básicamente en los procedimientos aritméticos-estadísticos que realizan sobre las matrices de evaluación y de prioridades, con lo cual se obtiene una evaluación final de las alternativas” (Gómez Delgado y Barredo Cano, 2005).
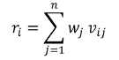
Con el propósito de simplificar el análisis, y que de esta manera resulte aplicable fácilmente a la gestión territorial y extrapolable a otros casos similares, para determinar los pesos de las variables se utilizó una técnica de Evaluación Multicriterio compensatoria y aditiva: la Sumatoria Lineal Ponderada (SLP) con la cual se le asignó a cada variable un peso, en porcentaje, que refleja su grado de influencia en la obstaculización de la escorrentía dentro de la planicie aluvial. Se calculó de la siguiente manera:

donde: r1es el nivel de adecuación a la escorrentía de la alternativa (pixel) i; wj es el peso del criterio j, y vij es el valor de la alternativa (pixel) i en el criterio j.
En consecuencia, el modelo final de análisis espacial se realizó con el módulo de Superposición Ponderada (Weighted Overlay) de ArcGIS, e incluyó tres submodelos, cada uno de los cuales resultó compuesto por dos variables ambientales (Tabla 1).

El Submodelo Vegetación y Usos evalúa la obstrucción a la escorrentía determinada por la rugosidad en cada celda, incluyendo dos variables: los tipos de vegetación natural y los distintos usos del suelo. Dado que las plantaciones frutihortícolas y forestales poseen un índice de rugosidad sobre el terreno más eleva- do que la cubierta vegetal propia del área en cuestión, sus influencias se estimaron en un 60 % y 40 % de importancia respectivamente (Dufour, Rinaldi, Piégay y Michalon, 2015).
El Submodelo Drenaje evalúa para cada celda la obstrucción a la escorrentía determinada por los valores de reducción del ancho del cauce principal (medido entre los años 1994 y 2006), y por la densidad de cauces secundarios. Los porcentajes de ponderación fueron estimados teniendo en cuenta que la red de cauces secundarios, su conectividad con el cauce principal y su densidad areal son más importantes en cuanto al flujo de las crecidas que el ancho del cauce principal, el cual es homogéneo a lo largo del tramo; así se establecieron un 70 % y un 30 % de importancia respectivamente para estas variables (González del Tánago, Gurnell, Belletti y García de Jalón, 2016).
El Submodelo Relieve analiza las variables de pendiente y amplitud del relieve local. Los porcentajes estimados fueron 40 % y 60 % de importancia relativa respectivamente. Esa diferencia obedece a que la amplitud máxima de los desniveles internos del sistema, favorece la concentración y circulación del flujo de inundación, en mayor grado que la pendiente, dado que esta es homogénea mientras que la amplitud del relieve posee mayor variabilidad en el tramo (García Martínez, Gil, Carbone y Posada Simeón, 2016).
Para obtener el mapa final del modelo se ponderaron los distintos submodelos, respondiendo a la necesidad de evaluar las características territoriales, y su interacción con las actividades antrópicas y el sistema hidrológico.
En el modelo final, se ha privilegiado al Submodelo Vegetación y Usos con un 50 % de importancia, dado que es el atributo con mayor incidencia en la obstrucción del flujo de inundación dentro del tramo.
En segundo lugar se consideró el Submodelo Drenaje (30 %), teniendo en cuenta la importancia en la amortiguación de las crecidas que posee la conectividad de los cauces secundarios con el cauce principal. Finalmente, se consideró el Submodelo Relieve con un 20 %, debido a que por su característica de homo- geneidad de pendiente no representa en mayor medida un obstáculo a la escorrentía, y la amplitud del relieve local propicia que el flujo de desborde tienda a concentrarse en una serie de canales ligeramente más profundos (Gurnell, Rinaldi, Belletti, et al., 2016).
3. Resultados: reclasificación de cada variable según obstrucción a la escorrentía.
3.1. Vegetación natural
La velocidad del agua que se desliza en una corriente o en un canal abierto está determinada por varios factores. Según Chezy (Rice, 1982) la velocidad del flujo (V) es proporcional a la raíz cuadrada del producto de la pendiente (S) por el radio hidráulico (R). La velocidad real dependería de un coeficiente, conocido como coeficiente de Chezy, que incluía un valor para la rugosidad del canal. El estudio de las relaciones de la ecuación de Chezy condujo a la formulación de la ecuación de Manning (Rice, 1982):

En esta ecuación n es un coeficiente que indica la rugosidad del canal. El término rugosidad en este contexto se refiere no solo al tamaño del material del cauce, sino también a la sinuosidad del canal y a la presencia de obstáculos tales como juncos y árboles (Rice, 1982). En consecuencia, el atributo que se considerará para evaluar la resistencia a la escorrentía de la cubierta vegetal será su rugosidad; teniendo en cuenta los valores estipulados por Ven Te Chow en 1959 para este parámetro (Dackombe y Gardiner, 1983).
En el ámbito de estudio la Vegetación Ribereña es el factor de rugosidad más elevado para la obstrucción al escurrimiento por presentar hileras densas de árboles (álamos y sauces) y brotes constantes dearbustos en las márgenes del río; el valor de rugosidad para el Arbustal Patagónico es un valor medio, por estar constituido principalmente por arbustos aislados (jarilla) y gran cantidad de maleza; mientras que el valor de rugosidad más bajo se estableció para el Pastizal (con ausencia de elementos leñosos).
El mapa resultante de esta variable (Fig. 4), muestra que el final del tramo (SE), que constituye la zona del delta en el embalse El Chañar, presenta la zona con mayor rugosidad por vegetación, y en consecuencia mayor resistencia al flujo de inundación por esta variable. Coincidentemente, esa área ostenta el mayor porcentaje de actividad antrópica.

3.2. Drenaje: Cauce principal y cauces secundarios
La obstaculización al escurrimiento de inundación puede vincularse con la reducción del área del cauce principal, de la cual el ancho es un atributo fácilmente medible en imágenes satelitales y fotos aéreas históricas. Para varios años (1962, 1994 y 2006) se digitalizó y midió el cauce principal activo respetando la condición hidrológica al momento de la toma de la imagen. En el caso del año 1962, no se contó con fotos aéreas del último segmento del tramo, por lo tanto no se registraron datos de la variación del ancho del cauce en esa área.
Así, la reclasificación de esta variable asumió, para la condición 3, el rango que abarca los porcentajes entre 51-78 % de reducción de ancho, que afectará más desfavorablemente a la escorrentía de inundación. La condición 2 (intermedia) incluye los valores de 36-50 % y la condición más favorable los valores entre 29-35%.
Con estos resultados se pudo observar que entre los años 1962 y 2006 la reducción más alta de cauce (condición 3) se presenta principalmente en los primeros segmentos del tramo, al igual que entre los años 1994 y 2006, lugar donde se encuentran ubicados puentes metálicos de gran porte, uno de los cuales fue derrumbado por la crecida del 2006. También es de destacar que la reducción de cauce entre estas dos últimas fechas presenta valores intermedios hacia el final del tramo donde se encuentran puentes de servicio, y donde la fruticultura presenta un amplio desarrollo (Fig. 5).

A través de la conectividad de la red fluvial, las repercusiones de los cambios inducidos por el hombre en cualquier ubicación del sistema se transmiten especialmente aguas abajo del disturbio provocado (Brookes, 1985). Por lo tanto, para reclasificar la variabilidad de los cauces secundarios, se consideró el cambio de densidad y conectividad de los mismos como atributos determinantes. En el caso de la densidad se registró el número de cauces y se determinaron tres rangos de valores, correspondiendo la condición desfavorable al escurrimiento la menor densidad de los mismos
Para la conectividad se tuvo en cuenta tres situaciones: de cauces secundarios no conectados al cauce principal, los conectados en un solo punto, y los conectados aguas arriba y aguas abajo. Estos últimos representan la condición más favorable para el flujo de inundación. La mayor densidad y conectividad entre los cauces secundarios se registra en la parte media del tramo de estudio (Fig. 6), área que en su conjunto brinda al sistema una gran conducción de caudales durante las crecidas.

3.3. Relieve: pendiente y amplitud del relieve local
Los valores de amplitud del relieve local obtenidos con los datos de los perfiles, permitieron estimar la amplitud media y establecer tres rangos para su ponderación cualitativa. Los valores más elevados, de mayor relieve local, se tomaron como más favorables en el sentido de canalizar (o conducir) de manera más efectiva el flujo de desborde (Fig. 7).

Así, se registraron tres zonas con una amplitud marcadamente favorable, en el inicio del tramo (sector coincidente con el registro de pozos erosivos provocados por la inundación de 2006), y hacia el área central. En el final del tramo los valores de amplitud corresponden a la condición más desfavorable; en contraposición con las pendientes.
Si bien todo el tramo tiene pendientes del metro/km (típicas de planicie de pie de monte), en el final del mismo las pendientes son más elevadas, mientras que la situación opuesta ocurre al principio y donde se encuentra ubicada la localidad de Añelo.
3.4. Agricultura y usos
Con el mismo fundamento que el utilizado para la variable vegetación natural, el atributo considerado para la escorrentía de desborde asociada a zonas de agricultura y usos fue su rugosidad, considerando los n de Manning.
La categoría Fruticultura es la de rugosidad más elevada por la presencia de árboles frutales con elevada densidad, para la Forestación el grado es medio por ser menos densa la presencia de árboles; el nivel de aptitud óptimo correspondió a la categoría de Uso Mixto ya que está compuesto por huertas y agricultura y ganadería de uso familiar (Fig. 8).

De esta manera, el principal obstáculo a la escorrentía derivado de esta variable se observa en el final del tramo, cuya superficie está casi totalmente dedicada a la fruticultura y forestación (Fig. 12 derecha); en otras áreas estas actividades se registran en un menor porcentaje y ocupando preferentemente zona de terrazas, estableciéndose los parcelarios prácticamente fuera de la planicie aluvial. Así, la categoría de actividad dominante es el uso mixto con un bajo nivel de rugosidad y por consiguiente baja afectación al escurrimiento.
3.5. Elementos antrópicos lineales: caminos, canales y corta vientos
La influencia sobre la escorrentía de los elementos lineales (Fig. 10) fue diferenciada según su orientación como elementos paralelos, oblicuos o transversales al sentido del flujo en la planicie de inundación, representando estos últimos la peor condición.
Es de destacar que gran cantidad de los caminos transversales del tramo no están sobre elevados, sino que se encuentran a nivel de la planicie, por lo cual no provocarán mayores afectaciones al escurrimiento de inundación; por este motivo estos elementos no fueron incluidos en el modelo de jerarquización de variables. La mayor densidad de estos caminos se observa en torno de los sectores en los cuales la actividad antrópica es mayor, como es evidente donde se ubica la localidad de Añelo, y en el final del tramo que presenta mayor producción frutihortícola (Fig. 9). Coincidentemente, también se registra en esta zona la mayor densidad de canales de riego transversales, con sus correspondientes terraplenes que obstaculizan el flujo, y corta vientos asociados, todos ellos relacionados a los parcelarios ocupados por esta actividad.

3.6. Puentes
Las características propias de la construcción de cada tipo de puente diferencian la influencia que los mismos tienen en la modificación de la dirección del escurrimiento, motivo por el cual se eligió el tipo de estructura como atributo de peso en la reclasificación de esta variable.
Los terraplenes con alcantarillado construidos en el cauce principal son los que presentan mayor grado de afectación al escurrimiento; los puentes metálicos tienen una incidencia intermedia, mientras que el único puente peatonal del tramo no posee ningún valor de obstrucción al escurrimiento dado que comúnmente es superado y destruido por las inundaciones como consecuencia de su construcción precaria.

Elementos lineales: caminos (izquierda) y canales (derecha) en sentido transversal respecto a la planicie de inundación
Fotografías de la autora.

La mayor densidad de puentes se registra en la zona media del área de estudio (Fig. 11). Es de destacar que el puente metálico de mayor porte en el área, fue derribado por la crecida de 2006 y en su reemplazo se construyó un puente con terraplén alcantarillado de 120 metros de largo, siendo un gran obstáculo para el flujo de inundación (Fig. 12 izq.).

3.7. Gasoductos y pozos
Dispersas en el área de estudio se encuentran instalaciones de pozos extractores de gas y petróleo, ductos de conexión, gasoductos y oleoductos troncales (AIC, 2007).
La mayoría de los pozos de extracción de hidrocarburos se encuentran en zona de terrazas, mientras que los poliductos están soterrados dentro de la planicie aluvial sin ser obstáculos para el escurrimiento de inundación, motivo por el cual no se los incluyó como variables en el modelo final de análisis espacial. No obstante se realizó un mapa de densidad de los pozos ubicados dentro de la planicie, donde se visualiza su escasa influencia dentro de la misma (Fig. 13).

3.8. Indicador sintético de obstrucción a la escorrentía.
Con la información precedente, se logró diferenciar la importancia de las distintas variables, la capacidad de amortiguación del sistema durante las crecidas, retardando y almacenando caudales, y la relevancia de la rugosidad como factor determinante en la obstrucción del escurrimiento.
En síntesis, en el mapa final del indicador sintético, obtenido a partir del modelo de análisis espacial (Fig. 14), puede observarse que la zona inicial del tramo de estudio posee en su mayor parte un grado medio de afectación basada en el escaso número de cauces secundarios; los pocos parcelarios destinados al uso forestal en dichas zonas se encuentran a nivel de terraza, fuera de la planicie aluvial y las pendientes favorecen el flujo de inundación.

Comparativamente, en el centro del tramo, si bien las intervenciones y ocupaciones antrópicas dentro de la planicie son aisladas y poco numerosas, la conectividad y densidad de cauces secundarios es más elevada, motivo por el cual el grado de afectación a la escorrentía sería bajo. Asimismo, se registran graves obstrucciones puntuales que corresponden a las instalaciones del gasoducto y a ocupaciones no planificadas dentro de la planicie aluvial.
Por último, la parte final del tramo ostenta la mayor rugosidad, debido a que casi el total de su área se encuentra destinada a la fruticultura, y por lo tanto, posee la mayor densidad de canales de riego y caminos asociados, con predominio de orientación transversal respecto a la dirección general del escurrimiento, lo cual redundaría en una mayor resistencia a la escorrentía de inundación.
4. Discusión de resultados
En las últimas décadas, se han realizado numerosos avances en la comprensión de los procesos que rigen los cambios de la morfología de los cauces aguas abajo de las presas (Turner y Karpiscak, 1980; Williams y Wolman, 1984; Osío Yépez, Valencia Ventura, Guevara y Cartaya, 2000; Carling, 1988; Gregory, Benito y Downs, 2008), asimismo surgieron estudios interdisciplinarios que unen la geomorfología fluvial y la ecología con la gran ventaja de la utilización de los SIG (Keisler y Sundell, 1997; Winterbottom y Gilvear, 2000; Weiers, Bock, Wissen y Rossner, 2004) que proporcionan un marco para la integración de fuentes de datos dispares, tanto ambientales como socioeconómicos; con el propósito de definir unidades territoriales que faciliten y optimicen la toma de decisiones (Olcina Cantos, 2012; Paoli, Dondeynaz y Carmona-Moreno, 2015).
La disminución de caudal, en la carga de sedimentos y en la capacidad de transporte produce cambios en el cauce principal y cauces secundarios de la planicie, que, según Petts y Gurnell (2005) pueden clasificarse en tres órdenes. Los cambios de primer orden se producen en la carga de sedimentos, en la descarga de agua y calidad del agua. En segundo lugar hay cambios en la forma, la composición del sustrato y la población de macrófitas. Estos cambios son físicos, mientras que las modificaciones de tercer orden obedecen a respuestas biológicas. No obstante, los cambios producidos en el sistema dentro de un tramo fluvial como el aquí estudiado están principalmente influenciados y condicionados por la presencia y práctica antrópicas, la cual se constituye como un cuarto orden dada su importancia relevante y creciente magnitud (Gurnell et al., 2016).
Los estudios realizados con anterioridad en el sistema fluvial tratado en este estudio (AIC, 2007) se han orientado a la consideración de aspectos parciales (mapas de usos de suelo), y a la generación de información relativa a daños económicos ocasionados por inundaciones en el tramo de estudio, todo lo cual resulta de limitada utilidad para sustentar propuestas de ordenación territorial.
La vocación integral del análisis planteado se alinea con las recomendaciones de varios autores (Olcina Cantos, 2008; Serrano Notivoli, Mora Mur, Ollero Ojeda, Sánchez Fabre y Saz Sánchez, 2014), cuando postulan que las acciones de ocupación del territorio deben ser precedidas por una evaluación que abarque los impactos del ambiente, con el objeto de identificar la “región de riesgo” como unidad de análisis territorial, y que incluya cartografía asociada al fenómeno bajo estudio, la cual servirá como herramienta de planificación y control.
Ello, junto con la idea de facilitar la aplicación de este tipo de análisis a ambientes bien diversos, involucró soslayar métodos comunes de la práctica ingenieril, como es la estimación de funciones del coeficiente de rugosidad por la función de Cowan (Dackombe y Gardiner, 1983), convenientemente adaptadas a planicies de inundación (Arcement, George y Schneider, 1989). El motivo radica en que, prioritariamente, este trabajo está orientado a la gestión ambiental de estos espacios, obviando por tanto una sofisticada modelación matemática.
5. Conclusiones
El modelo de jerarquización propuesto en este análisis, es posible adaptarlo a cualquier variación en las condiciones del tramo en cuestión, teniendo como objetivo primordial no fomentar el establecimiento de emprendimientos que obstruyan el flujo de desborde dentro de la planicie aluvial. Este modelo de análisis pretende brindar una herramienta para mejorar la gestión territorial en planicies aluviales ya ocupadas por el hombre, que visualice y evalúe procesos de cambio y uso, sin limitarse en ser un meroestudio de caso.
Esta propuesta puede resultar de gran utilidad, dada su simplicidad, para realizar el monitoreo periódico de los parámetros establecidos para las diferentes variables involucradas, e incluso estimar la vulnerabilidad del tramo frente a posibles mayores erogaciones de caudales.
El indicador propuesto posibilitó la organización, cuantificación, estandarización y comunicación de la información inherente a las principales variables involucradas en la obstaculización del escurrimiento superficial. Delimitándose las zonas donde dicho problema es crítico como consecuencia de la elevada presión antrópica, contribuyendo a un diagnóstico territorial del tramo.
Los resultados señalan la necesidad de implementar un monitoreo continuo de las condiciones ambientales dado el carácter dinámico del sistema. De ello se podrían derivar medidas de ordenación territorial orientadas a controlar y revertir esos factores obstructivos que minimizasen las condiciones desfavorables, con vistas de prevenir, en último término, los efectos desastrosos de las crecidas.
Agradecimientos
A las Direcciones de Recursos Hídricos y de Catastro e Información Territorial de la Provincia de Neuquén, por brindar gentilmente la información utilizada en el análisis. Al Dr. Antonio Moreno Jiménez por sus amables y acertadas sugerencias en la redacción del manuscrito.
Referencias
Arcement, Jr., George, J. y Schneider, V. R. (1989). Guide for Selecting Manning’s Roughness Coefficients for Natural Channels and Flood Plains. USGS Water-supply Paper 2339. Department of Interior, U. S. Geological Survey, Denver, CO.
Autoridad Interjurisdiccional de Cuencas de los Ríos Limay, Neuquén y Negro [AIC]. (2007). Río Neuquén: tramo Portezuelo Grande – El Chañar: Estudio de inundación de riveras. Secretaría de Planificación y Desarrollo de la Provincia de Neuquén, Argentina.
Belmonte, S. y Núñez, V. (2006). Desarrollo de modelos hidrológicos con herramientas SIG. GeoFocus (Informes y comentarios), Nº 6, 15 -27.
Bosisio, A., Ramonell, C. y Graciani, S. (2015). Análisis de variables ambientales con técnicas SIG aplicadas a la ordenación y gestión de planicies de inundación de sistemas fluviales regulados. En: de la Riva, J., Ibarra, P., Montorio, R., Rodrigues, M. (Eds.) (2015). Análisis espacial y representación geográfica: innovación y aplicación. pp. 1553-1562. Universidad de Zaragoza-AGE. España. Recuperado de: http://congresoage.unizar.es/eBook/trabajos/164_Bosisio.pdf
Brice, J. C. (1984). Planform properties of meandering rivers. En: River Meandering, Proc. Conf. Rivers 1983, Am. Soc. Civil Engs.: 1-15. New York.
Brookes, A. (1985). Downstream morphological consequences of river channelization in England and Wales. The Geographical Journal, Vol. 151 (1),: 57-62.
Cabrera, A. L. y Willink, A. (1980). Biogeografía de América Latina. Departamento de Asuntos Científicos y Tecnológicos de la Secretaría General de la Organización de Estados Americanos (OEA). Serie de Biología: Monografía 13, 1-122. Washington, EUA.
Carling, P.A. (1988). Channel change and sediment transport in regulated U.K. rivers. Regul. Rivers: Res. Mgmt. 2, 369-388. http://dx.doi.org/10.1002/rrr.3450020313
Cooke, R. V. y Doornkamp, J. C. (1974). Geomorphology in environmental management: An introduction. Clarendon Press, Oxford.
Dackombe, R. V. y Gardiner, V. (1983). Geomorphological field manual. George Allen and Unwin, London.
Dufour, S., Rinaldi, M., Piégay, H. and Michalon, A. (2015) How do river dynamics and human influences affect the landscape pattern of fluvial corridors? Lessons from the Magra River, Central-Northern Italy. Landscape and Urban Planning 134, 107-118. http://dx.doi.org/10.1016/j.landurbplan.2014.10.007
Federal Interagency Stream Restoration Working Group [FISRWG]. 1998, 2001. Stream corridor restoration: principles, processes, and practices. National Engineering Handbook, Part 653, USDA- Natural Resources Conservation Service.
García Martínez, B., Gil, V., Carbone, M. E. y Posada Simeón, C. (2016). Caracterización del patrón hidromorfológico del Arroyo de la Ventana en su tramo medio alto (Buenos Aires, Argentina). Estudios Geográficos, Vol. LXXVII, 281, 521-541. http://dx.doi.org/10.3989/estgeogr.201617
Garrido,A (2010).Estratigrafía del Grupo Neuquén, Cretácico Superior de la Cuenca Neuquina (Argentina): nueva propuesta de ordenamiento litoestratigráfico. Rev. Mus. Argent. Cienc. Nat. vol.12 no. 2. Recuperado de: http://www.scielo.org.ar/scielo.php?script=sci_arttext&pid=S1853-04002010000200003
Gómez Delgado, M. y Barredo Cano, J. (2005). Sistemas de Información Geográfica y evaluación multicriterio en la ordenación del territorio. 2ª Edición actualizada. Madrid: RA-MA
González del Tánago, M., Gurnell, A.M., Belletti, B. and García de Jalón, D. (2016). Indicators of river system hydromorphological character and dynamics: understanding current conditions and guiding sustainable river management Aquatic Sciences 78(1), 35-55. http://dx.doi.org/10.1007/s00027-015-0429-0
Gregory, K.J., Benito, G. and Downs, P.W. (2008). Applying fluvial geomorphology to river channel management: Background for progress towards a palaeohydrology protocol. Geomorphology 98, 153-172. http://dx.doi.org/10.1016/j.geomorph.2007.02.031
Gurnell, A.M., Rinaldi, M., Belletti, B. et al. (2016). A multi-scale hierarchical framework for developing understanding of river behaviour to support river management. Aquatic Sciences 78(1), 1-16. http://dx.doi.org/10.1007/s00027-015-0424-5
Holmberg, E. (1978). Rasgos Geomorfológicos. En: Geología y Recursos Naturales del Neuquén. 7º Congreso Geológico Argentino. Relatorio: 119-128. Neuquén.
Jaime P., A. y Tinoco-López, R.O. (2006). Métodos de valuación de externalidades ambientales provocadas por obras de ingeniería. Ing. invest. y tecnol. 7(2), 105-119. Recuperado de: http://www.scielo.org.mx/pdf/iit/v7n2/v7n2a04.pdf
Keisler, J.M. and Sundell, R.C. (1997). Combining Multi-Attribute Utility and Geographic Information for Boundary Decisions: An Application to Park Planning. Journal of Geographic Information and Decision Analysis, 1(2), 101-118. Recuperado de: http://publish.uwo.ca/~jmalczew/gida_2/Keisler/Keisler.htm
Latrubesse, E. y Brea, D. (2010). Floods in Argentina. Developments in Earth Surface Processes, Volume 13, 333-349. http://dx.doi.org/10.1016/S0928-2025(08)10016-5
López Martínez, F. (2015). Análisis de la eficacia institucional ante inundaciones en el municipio de Totana (Murcia). Investigaciones Geográficas (Esp), 63, 85-97. http://dx.doi.org/10.14198/INGEO2015.63.06
Méndez, V., Zanettini, J. C. y Zappettini, E. O. (1995). Geología y Metalogénesis del Orógeno Andino Central. Dirección Nacional del Servicio Geológico. Anales 23. Buenos Aires.
Moreno Jiménez, A. (1995). La medición de las externalidades ambientales: un enfoque espacio-temporal. Anales de Geografía de la Universidad Complutense, 15, 485-496. Recuperado de: http://revistas.ucm.es/index.php/AGUC/article/view/AGUC9595220485A
Moreno Jiménez, A., Buzai, G. D. y Fuenzalida Díaz, M. (Coords.). (2012). Sistemas de Información Geográfica: aplicaciones en diagnósticos territoriales y decisiones geoambientales. Madrid: Ra-Ma.
Olcina Cantos, J. (2008). Cambios en la consideración territorial, conceptual y de método de los riesgos naturales. Scripta Nova. Revista Electrónica de Geografía y Ciencias Sociales. vol. XII, núm. 270 (24). Recuperado de: http://www.ub.es/geocrit/sn/sn-270/sn-270-24.htm
Olcina Cantos, J. (2012). De los mapas de zonas afectadas a las cartografías de riesgo de inundación en España. Anales de Geografía, 32 (1), 91-131. http://dx.doi.org/10.5209/rev_AGUC.2012.v32.n1.39310
Osío Yépez, M., Valencia Ventura, F., Guevara, E. y Cartaya, H. (2000). Cálculo del coeficiente de rugosidad “n” de Manning en los grandes ríos de Venezuela. Revista INGENIERÍA UC, 7(2), 0. Recuperado de: http://www.redalyc.org/articulo.oa?id=70770202
Paoli, U., Dondeynaz, C. y Carmona-Moreno, C. (2015). Gestión integrada de crecidas: guía y caso de estudio. European Commission, Joint Research Centre. Luxembourg: Publications Office of the European Union. http://dx.doi.org/10.2788/997460
Petts, G. E. y Gurnell, A. M. (2005). Dams and geomorphology: Research progress and future directions. Geomorphology Vol. 71 (1-2), 27-47. http://dx.doi.org/10.1016/j.geomorph.2004.02.015
Rice, R. J. (1982). Fundamentos de geomorfología. Ed. Paraninfo, Madrid.
Sear, D. A., Newson, M. D. and Thorne, C. R. 2003. Guidebook of applied fluvial geomorphology. R&D Technical Report FD1914. Defra, Flood Management Division. London.
Serrano Notivoli, R., Mora Mur, D., Ollero Ojeda, A., Sánchez Fabre, M. y Saz Sánchez, M. (2014). Respuesta hidrológica al evento de precipitación de junio de 2013 en el Pirineo Central. Investigaciones Geográficas (Esp), 62, 05-21. http://dx.doi.org/10.14198/INGEO2014.62.01
Thorne, C. R. (1998). Stream reconnaissance handbook: Geomorphological investigation and analysis of river channels. John Wiley & Sons.
Turner, R.M. and Karpiscak, M.M. (1980). Recent vegetation changes along the Colorado river between Glen Canyon Dam and Lake Mead, Arizona. USGS Prof. Pap. 1132. Recuperado de: https://pubs.usgs.gov/pp/1132/report.pdf
Valls, M. (1999). Derecho Ambiental. Los grandes problemas ambientales que enfrenta la Argentina a fin de siglo: Legislación y propuestas de solución. Ed. Ciudad Argentina, Buenos Aires.
Weiers, S., Bock, M., Wissen, M. and Rossner, G. (2004). Mapping and indicator approaches for the assessment of habitats at different scales using remote sensing and GIS methods. Landscape and Urban Planning, 67(1): 43-65. https://doi.org/10.1016/S0169-2046(03)00028-8
Williams, G.P. y Wolman, M.G. (1984). Downstream effects of dams on alluvial rivers. US Geological Survey Professional Paper, vol. 1286. USGSPP, Washington D.C. Recuperado de: https://pubs.usgs.gov/pp/1286/report.pdf
Winterbottom, S.J. y Gilvear, D.J. (2000). A GIS-based approach to mapping probabilities of river bankerosion: regulated River Tummel, Scotland. Regul. Rivers: Res. Mgmt. 16, 127-140. http://dx.doi.org/10.1002/(SICI)1099-1646(200003/04)16:2<127::AID-RRR573>3.0.CO;2-Q