Artículos
Variabilidad climática y patrones termopluviométricos en Murcia (1863-2017). Técnicas de análisis climático en un contexto de cambio global
Climatic variability and temperature and rainfall patterns in Murcia (1863-2017). Climate analysis techniques in the context of global change
Variabilidad climática y patrones termopluviométricos en Murcia (1863-2017). Técnicas de análisis climático en un contexto de cambio global
Investigaciones Geográficas (Esp), núm. 71, pp. 27-54, 2019
Universidad de Alicante

Recepción: 05/03/2019
Aprobación: 06/05/2019
Publicación: 17/06/2019
Resumen: La caracterización y contextualización climática de alta resolución espacio temporal, es clave para analizar la variabilidad observada, dentro del debate acerca del cambio climático antropogénico. Para esto es necesario disponer series temporales largas y realizar un tratamiento estadístico robusto. La ciudad de Murcia dispone de una las series termopluviométricas más extensas y mejor conservadas de España (1863-2017), lo que supone un valor añadido para conocer la variabilidad climática en una región de especial sensibilidad climática. En este trabajo se aplican técnicas de completado de datos faltantes y detección de datos extremos, para posteriormente proceder a un extenso estudio estadístico de tendencias, puntos de ruptura y análisis de ciclos. Los resultados muestran un significativo proceso de calentamiento en Murcia, iniciado en los años sesenta del pasado siglo. Las precipitaciones presentan un comportamiento más variable y menos definido, aun así, se aprecia una significativa tendencia a la reducción de las lluvias. La caracterización climática por periodos sucesivos de 30 años, confirma estos patrones y muestra como el clima de Murcia ha cambiado taxonómicamente desde el último tercio del siglo XIX hasta el periodo reciente. Si a finales de la centuria decimonónica el clima murciano era típicamente mediterráneo con verano seco y caluroso, en la actualidad, el clima murciano presenta los típicos rasgos de los climas semiáridos mediterráneos. Este cambio en la caracterización climática nos informa de un rápido proceso de alteración climática, y de forma paradójica invita a reconsiderar la cantidad de años necesarios para realizar una correcta caracterización climática.
Palabras clave: tendencias climáticas, puntos de ruptura, análisis espectral, análisis climático, Sureste de la Península Ibérica.
Abstract: Climate studies with a high space and time resolution are a key factor for analysing climate change projections. It is important to have a long time series and perform a robust statistical treatment of the data. The city of Murcia has one of the longest and best-preserved temperature and rainfall data series in Spain (1863-2017). It represents a very valuable item for understanding climatic variability in a region of special climatic sensitivity. In this work, we apply techniques of completion and detection of extreme data, and then make an extensive statistical study of trends, breaking points, and cycles. Results show a significant warming process in Murcia that started in the 1960s. Rainfall trends are more variable and less defined; even so, there is a significant tendency towards less rain. The climatic characterisation of successive periods in the last 30 years confirms these patterns and shows how the climate in Murcia has changed since the last third of the 19th century (when the Murcia climate was typically Mediterranean with hot dry summers). The local climate now presents the typical features of a Mediterranean semi-arid climate. This climatic change reveals a rapid process of climatic alteration, and paradoxically invites us to reconsider the number of years necessary to make a correct climate characterisation.
Keywords: climatic trends, breakpoints, spectral analysis, climate analysis, south-eastern Iberian Peninsula.
1. Introducción
La correcta caracterización climática es fundamental para una óptima contextualización de los patrones climáticos actuales dentro de una perspectiva de cambio global (Spinoni, Vogt, Naumann, Carrao y Barbosa, 2015). Sin embargo, a pesar de que una gran cantidad de trabajos científicos se centran en la reconstrucción de la variabilidad climática a escala regional, en la actualidad han perdido interés los trabajos centrados en caracterizar de forma adecuada el clima de un determinado lugar (Chen y Chen, 2013). Esta situación dificulta validar las tendencias y enmarcar la variabilidad observada a escala local, dentro de un contexto regional. Por otro lado, los estudios de cambio climático presentan a veces problemas relacionados con la escala de análisis. Los estudios regionales, pueden presentar una pérdida de matices en la medida en que se homogenizan las condiciones locales. Además, los estudios regionales suelen presentar menor nivel de detalle en los análisis realizados. Conviene tener en cuenta que la escala local en el análisis climático ofrece unos resultados que tienen una mayor asimilación por la población local (Magaña, 2012), y por lo tanto, pueden conducir a entender mejor como la percepción climática puede estar modulada por las condiciones climáticas en un momento determinado.
A este respecto, uno de los aspectos menos discutidos en la literatura científica, hace referencia a como las variables climáticas han podido cambiar a lo largo del tiempo, hasta dar lugar a una situación climática diferente en la escala de percepción humana (Chen y Chen, 2013). Para indagar en esta cuestión, es necesario discutir los términos de cambio climático dentro de una perspectiva de clasificación climática. La Organización Meteorológica Mundial (OMM) establece que una correcta caracterización climática se debe realizar con registros instrumentales de al menos 30 años de duración (Baddour y Kontongomde, 2007). Esta afirmación supone que con 30 años es posible definir de forma correcta el clima de un determinado lugar. Sin embargo, cuando se dispone de datos instrumentales extensos, es posible realizar esta caracterización climática por periodos de 30 años y discutir desde el punto de vista formal, si el clima ha cambiado, no ya solamente en cuestión de magnitudes, sino también en cuestión de términos taxonómicos o clasificatorios.
A efectos de análisis, un correcto estudio climático debe considerar la tendencia en los datos, su homogeneidad y la posible existencia de ciclos. Estos análisis deben realizarse sobre unos datos que presenten fiabilidad. Para esto último es necesario proceder a corregir los posibles errores o lagunas contenidas en los datos. Finalmente, los datos temporales deben presentar una extensión que posibilite analizar la variabilidad de manera estadísticamente robusta, al tiempo que sea posible contextualizar esta variabilidad en el contexto regional y global. Con estos precedentes, en este trabajo se pretende realizar un análisis estadístico exhaustivo de la serie climática de la ciudad Murcia, así como una correcta caracterización climática. De esta manera, será posible enmarcar las tendencias, puntos de ruptura de datos y ciclos detectados dentro de un contexto climático regional. El observatorio de Murcia dispone de una de las series temopluviométricas más extensas (1863-2017) y mejor conservadas a nivel nacional. Con los datos disponibles se puede afirmar que desde finales del siglo XIX hasta la actualidad Murcia ha sufrido un proceso de aridificación y calentamiento que deja un difícil escenario para la disponibilidad hídrica presente y futura. Los cambios detectados son tan evidentes que permiten afirmar que Murcia presenta un clima taxonómicamente diferente del que tenía durante el último tercio siglo XIX. Finalmente, los cambios termopluviométricos detectados en Murcia invitan a replantearse la extensión del periodo normal de análisis recomendado por la OMM para la caracterización climática en zonas de especial sensibilidad climática como el Sureste de España.
1.1. Área de estudio: el predominio de la “condición surestina” en Murcia
La región climática en la que se enmarca la ciudad de Murcia (Figura 1 Panel a) difiere del resto de climas españoles. Esta región se identifica como el Sureste de España, el cual está definido por la aridez, la torrencialidad de las precipitaciones, la pronunciada sequía estival y las altas cifras de evapotranspiración e insolación. En términos generales, estos aspectos hacen del Sureste español la región de mayor aridez climática a nivel europeo. Sin duda, la alta variabilidad de las lluvias es la característica más definitoria del clima de la ciudad (Gil-Guirado, 2017).
Aunque, el uso del concepto Sureste para enmarcar el clima murciano comenzó a generalizarse a partir de los años sesenta del pasado siglo. Esta justificación estuvo fundamentalmente ligada con la elaboración y puesta en funcionamiento del Trasvase Tajo-Segura. Vila Valentí (1961) y Neuman (1960) consideraron el Sureste como un área climática englobada por los sectores menos lluviosos de las provincias de Almería, Murcia y Alicante. Geiger (1973) limitó este espacio a los sectores costeros de dichas provincias y a los valles a sotavento de los relieves béticos. La regihonalización propuesta por este autor sigue una línea diagonal desde Villajoyosa (Alicante) hasta Adra (Almería), hasta adentrarse hacia las tierras interiores con una altitud inferior a los 500 m.s.n.m. Por su parte, Font Tullot (1983) definió al Sureste como una zona climática dentro de los climas mediterráneos. De manera más reciente Martín-Vide y Olcina Cantos (2001) regionalizaron el Sureste como los territorios de las provincias de Alicante, Murcia y Almería donde las precipitaciones son inferiores a 350 mm, la temperatura media anual está comprendida entre los 15 y los 18,5 ºC y la amplitud térmica muestra algunos rasgos de continentalidad (entre 13,5 y 17,5 ºC). Machado, Benito, Barriendos y Sanchez-Rodrigo (2011) coinciden en la regionalización propuesta por Geiger y remarcan el papel de la irregularidad pluviométrica como un factor definitorio del Sureste climático. De esta manera, parece que no hay consenso sobre los límites espaciales del clima surestino, pero hay coincidencia en señalar que la escasez de lluvias no es el único factor a tener en cuenta. La síntesis de todas estas discrepancias espaciales converge hacia una región donde las precipitaciones son inferiores a los 400 mm anuales, la evapotranspiración potencial es sensiblemente superior a 1.000 mm anuales y no hay presencia de meses con temperatura media inferior a los 8 ºC (Gil Olcina, 1995).
Entre los factores que explican este tipo de clima es necesario destacar la posición latitudinal, que imprime el carácter de transición entre los climas mediterráneos y los climas semiáridos norteafricanos. No obstante, el efecto föhn es el principal factor que modela el clima, al jugar un papel fundamental a la hora de explicar la aridez general (García de Pedraza, 1990). La presencia del Mar Mediterráneo al este, supone dos peculiaridades principales en el clima murciano. En primer lugar, como motor de atemperamiento térmico y fuente de calor específico por las relativas altas temperaturas del agua durante una parte importante del año. Este factor da lugar a unos inviernos suaves y unas elevadas temperaturas medias anuales. En segundo lugar, el factor de mediterraneidad se expresa a través de la inercia térmica adquirida por las aguas del mar Mediterráneo durante los meses estivales. Un factor capaz de modificar los patrones sinópticos en la mesoescala para dar lugar a potentes Sistemas Convectivos de Mesoescala, que son el principal desencadenante de las intensas lluvias torrenciales que afectan al área (Quereda Sala, Montón Chiva y Escrig Barberá, 2002). Estos sistemas necesitan de la conjunción de un embolsamiento de aire frio en las capas medias y altas de la troposfera, junto con la presencia del agua del mar Mediterráneo a altas temperaturas (>26ºC) (Martín, Santos-Muñoz, Morata, Luna y Valero, 2006). Esta situación se suele producir a finales del verano y durante el otoño, aunque el calentamiento global está influyendo en que su calendario potencial se alargue hasta bien entrado el invierno (Trigo & Palutikof, 2001).
La proximidad del desierto de Sahara con Murcia (separados por menos de 500 km), condiciona la frecuente irrupción de masas de aire cálidas y secas, que producen intensas olas de calor que elevan la temperatura por encima de los 40ºC. Ya en el siglo XIX Echegaray (1851) señaló la importancia del desierto del Sahara en el clima surestino como principal factor explicativo del calor y sequedad estival. Además de olas de calor y tiempo seco, el desierto del Sahara aporta grandes cantidades de polvo en suspensión, que durante algunos episodios de lluvia configuran los núcleos higroscópicos que dan lugar a las llamadas lluvias de barro o “sangre”. Este tipo de situaciones parece que está aumentando en los últimos años debido al aumento de la insolación y convectividad en el Sahara (Quereda Sala y Olcina Cantos, 1994).
1.2. Clasificación climática del Sureste y elementos generales del clima
Climáticamente el sur del Sureste ibérico se incluye dentro de la variante seca de los climas mediterráneos semiáridos con verano seco (Bs clasificación climática de Köppen). Con una gradación de las precipitaciones desde los 300 mm en sector litoral norte, a menos de 150 mm en la zona sur de dicho litoral. Si la temperatura media anual es superior a los 18ºC se le añade la notación “h” (Bsh). Si se centra el análisis en la Región de Murcia (Figura 1, Panel b), las zonas con clima Bsh se localizan en los valles y vegas interiores y en el Campo de Cartagena. La ciudad de Murcia se incluye dentro de este tipo de clima. Por debajo de 150 mm de precipitación anual el clima se considera desértico (BW o BWh cuando la media térmica supera los 18ºC). Este último sector se enmarca en la zona costera sur de la Región de Murcia. A medida que se avanza hacia el interior de la región, aumenta la continentalidad y las precipitaciones ascienden aunque sin superar los 400 mm anuales. Las temperaturas medias anuales en esta zona descienden por debajo de los 18ºC, dando lugar a inviernos frescos, aunque los veranos siguen siendo muy calurosos. En esta zona, la clasificación climática de Köppen muestra un clima mediterráneo semiárido (Bs) estepárico (k). Este tipo de clima engloba a la mayor parte de la Región de Murcia. En el sector noroeste, por encima de los 1.000 m.s.n.m., las temperaturas son inferiores a los 15ºC de media anual y las precipitaciones aumentan para superar los 400 mm. En estas zonas el clima se considera mediterráneo (C) con verano seco (s) y caluroso (a). En este mismo sector, por encima de los 1.500 m.s.n.m., las lluvias superan los 500 mm anuales y la temperatura media anual es inferior a 13ºC, dando lugar a unos veranos suaves y a unos inviernos fríos. Sin embargo, esta zona sigue presentando una fuerte sequía estival. Según la clasificación climática de Köppen aquí estaría presente un clima mediterráneo con verano suave (de 1.500 a 2.500 m.s.n.m.) (Csb).
La clasificación climática propuesta por Capel Molina (2000) diferencia en Sureste español entre los siguientes tipos climáticos:
Si se considera la clasificación climática de Capel Molina (2000), en la Región de Murcia se detecta un gradiente altitudinal de aridez. A medida que aumenta la altitud y la proximidad a los principales relieves de la zona, la aridez disminuye.

*La estrella roja señala la ubicación de la ciudad de Murcia
Fuente: Chazarra et al. (2018). Elaboración propia2. Metodología
2.1. Relleno de lagunas
Con los datos termopluviométricos mensuales de Murcia (1863-2017), se ha procedido a rellenar las lagunas de información siguiendo el método univariado del “Criterio de las Diferencias” (Gil-Guirado y López Bermúdez, 2011). Este método consiste en sustituir el registro mensual faltante por el valor del mes anterior, tras añadir la diferencia media entre el mes faltante y el mes anterior. A modo de ejemplo, si la laguna se produce en la temperatura del mes de junio de un año concreto, el dato se rellena con el valor del mes de mayo de ese mismo año, añadiendo la diferencia media entre estos dos meses (la temperatura media de mayo es de 19,7ºC y la de junio es de 23,6ºC, por lo tanto habría que añadir 3,9ºC al valor de la laguna). Este método es válido para series autocorrelacionadas, por lo que es idóneo para la temperatura, pero arroja más incertidumbre en el caso de las precipitaciones (Barrera Escoda, 2002):

Donde CD es el valor mensual obtenido por el Criterio de las diferencias, x es el valor mensual anterior a la laguna y xi es el valor medio mensual del mes con laguna de datos.
Para las lagunas entre 1940 y 2017, ha sido posible usar un método multivariado de relleno de lagunas. Este método se fundamenta en la correlación entre las lluvias y temperaturas entre Murcia y otra estación meteorológica cercana. La serie altamente correlacionada (Coeficiente de correlación de Pearson superior a 0,8) que ofrece más garantía a este respecto es la serie de Alcantarilla (a 9,4 kms de distancia de la ciudad de Murcia). No obstante, el empleo de esta técnica solo ha sido necesario para 16 valores mensuales de temperatura (las precipitaciones no presentan lagunas durante el periodo de solapamiento). Este método es similar al criterio de las diferencias, pero en vez de usar el dato de la estación de Murcia, se usa el dato de la estación de Alcantarilla y se resta/suma la diferencia media del mes en cuestión entre estas dos estaciones. Es digno de destacar la gran continuidad de los datos climáticos en Murcia, puesto que no hay lagunas pluviométricas y de los 1.860 valores de temperatura mensual solo existen 34 meses con lagunas (el 1,8% del total)3.
2.2. Control de calidad de series
El control de calidad de series climáticas es necesario con el fin de hacer una aproximación a los posibles sesgos introducidos por errores de medición instrumentales o humanos. También hay que tener en cuenta los cambios de ubicación en los observatorios climáticos. En este caso, el Observatorio de Murcia ha modificado su localización en dos ocasiones durante el periodo analizado. Aunque, estas reubicaciones han sido de escasa magnitud. De esta manera, entre el año 1863 y el año 1953 el observatorio se ubicaba a 66 m.s.n.m. (Murcia Instituto), entre 1954 y el año 1975 (Murcia Universidad) el observatorio se trasladó a unos 600 metros de distancia de la ubicación primigenia, con una diferencia altimétrica de tan solo 3 metros. Por último, desde 1976 la ubicación está emplazada a 670 metros de distancia de la localización original y a una altitud de 57 m.s.n.m. Entre estas tres localizaciones no hay barreras geográficas ni cambios de pendiente de consideración, por lo que es de esperar que las modificaciones introducidas por estos cambios de ubicación sean mínimas. Aunque es necesario aproximarse a la posible detección de anomalías en este sentido.
Otra cuestión que suscita un intenso debate alude al hecho de considerar si las tendencias térmicas observadas están influidas o no por un hipotético fenómeno de isla de calor urbano (Quereda Sala et al., 2000; Quereda Sala y Montón Chiva, 1999). Aunque el análisis de esta cuestión escapa a los objetivos de este trabajo.
A la hora de proceder a realizar un análisis de control de calidad de series temporales, es necesario tener en consideración una serie de cuestiones, especialmente en el Sureste de España, porque la variabilidad climática natural en esta región, escapa de los valores considerados normales por algunas de las metodologías de control de calidad.
González-Rouco, Jiménez, Quesada y Valero (2001), evidencian que las técnicas de control de calidad, válidas en el norte y centro de Europa, no son válidas en el suroeste de Europa, puesto que la mayor parte de las veces que estas metodologías detectan valores anómalos (outliers) de precipitación, los cambios son consistentes con variabilidad natural del clima surestino. Por este motivo, no es conveniente aplicar técnicas excesivamente sensibles a los valores extremos. Esto es especialmente importante en el caso de la precipitación, puesto que en el sur de Europa son frecuentes valores extremos y el suavizado de estos valores puede enmascarar tendencias y detraer de los datos una parte valiosa de la información.
Las temperaturas por su parte, presentan un comportamiento más estable al agregar y promediar valores a nivel mensual. De manera natural, los valores extremos de temperatura, referidos como anomalías excesivas de temperatura respecto a los valores medios mensuales, son poco frecuentes. Por lo tanto, cuando se detectan estas variaciones extremas en los datos térmicos conviene que sean corregidas. En definitiva, cuando en los datos térmicos de Murcia se han detectado valores fuera de rango, se ha procedido a su corrección puesto que tienen una alta probabilidad de ser datos erróneos. En cuanto a las precipitaciones, la variabilidad natural es mucho mayor y por tanto cuando se han detectado valores fuera de rango en los datos de lluvia de Murcia, estos han sido considerados como datos sospechosos.
En el caso de la precipitación, se considera que en un mes la precipitación está fuera de rango (PS) cuando es la precipitación mayor que el tercer cuartil (Q3) más tres veces el recorrido intercuartílico (distancia entre el tercer y primer cuartil; Q3-Q1) (Trenberth y Paolino, 1980). Según la siguiente formulación:

En todos los casos en que se ha detectado un valor sospechoso de precipitación, se ha podido comprobar una desviación similar en la cercana estación meteorológica de Alcantarilla (para el periodo de 1940 a 2017), motivo por el cual se ha descartado la existencia de valores de precipitación erróneos en Murcia.
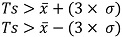
En el caso de los posibles valores erróneos de temperatura, se ha procedido a comparar la magnitud de la anomalía con la estación de Alcantarilla cuando ha sido posible. En este caso la formulación para detectar un posible valor de temperatura fuera de rango (Ts), consiste en señalar los datos por encima de la media del mes en cuestión, más tres veces la desviación típica o por debajo de la media menos tres veces la desviación típica (Guttman y Quayle, 1990; Easterling et al., 1997):

Todos los valores sospechosos de temperatura detectados (en todos los casos valores por encima de la media) ocurren durante el periodo con datos solapados entre la estación de Alcantarilla (1940-2017). Cuando la anomalía térmica detectada ha sido de magnitud similar entre Murcia y Alcantarilla, se ha descartado que el dato fuera erróneo y cuando la anomalía era únicamente en Murcia se ha procedido a sustituir el dato sospechoso por el método multivariado de las diferencias. Los datos de temperatura sospechosa detectados han sido solamente 5.

*Todos los valores de la tabla están calculados con los datos de todo el periodo disponible (1863-2017)
**Para expresarlo en términos porcentuales, el coeficiente de variación está calculado como: (Desviación típica × 100) ÷ Media.
Fuente: AEMET. Elaboración propiaLos datos resultantes tras el relleno de lagunas y el control de calidad se pueden ver en la Figura 2. En esta figura se aprecia la alta variabilidad de las precipitaciones y la escasez de las mismas. Al mismo tiempo se aprecia que los datos de temperatura por encima de la media comienzan a ser más frecuentes desde los pasados años setenta. Por otro lado, la media de las temperaturas mínimas diarias tiene una variabilidad mucho más elevada que la media de las temperaturas máximas diarias.
2.3. Análisis de series temporales
Tras el relleno de lagunas y control de calidad de la serie termopluviométrica de Murcia, se procede a realizar los análisis estadísticos siguientes.
En primer lugar, se procede a analizar la variabilidad de las anomalías de temperatura y precipitación. En este trabajo se han calculado las anomalías a nivel mensual para las precipitaciones mensuales, para la temperatura media mensual y para la media de las temperaturas máximas y mínimas diarias de cada mes. Las anomalías de precipitación están calculadas como la desviación, expresada en porcentaje, entre la precipitación de un determinado mes y la media de precipitación de ese mismo mes. En el caso de las temperaturas las anomalías están calculadas como la diferencia en ºC entre la temperatura de un determinado mes y la media de temperatura de ese mismo mes. Las medias mensuales están calculadas con los datos de todo el periodo disponible (1863 a 2017). Hansen y Lebedeff (1987) señalan que, para detectar tendencias en las temperaturas a escala regional, es más apropiado el uso de anomalías, frente a valores absolutos, puesto que las anomalías presentan menor variabilidad regional que otro tipo de mediciones.
En segundo lugar, se ha analizado si en Murcia existen tendencias termopluviométricas desde el punto de vista estadístico. Para esto se ha usado el test no paramétrico de Mann Kendall modificado por Hirsch y Slack (1984) para considerar la posible estacionalidad de las series. Este método está ampliamente difundido en estudios hidrológicos y climáticos (Kisi y Ay, 2014). Adicionalmente, se ha calculado la pendiente de Sen (Pend-Sen) (Sen, 1968), que determina la pendiente y, por lo tanto, permite conocer la magnitud de la tendencia detectada por unidad de tiempo. Es decir, con los datos usados en este trabajo, la pendiente de Sen informa de la pérdida o ganancia de temperatura (en ºC/año) o precipitación (en mm/año) que se ha producido a lo largo del periodo de estudio (1863-2017). El cálculo de este test se ha realizado con la versión de prueba del software XLSTAT (Addinsoft, 2019) y se ha considerado que los datos presentan tendencia desde el punto de vista estadístico cuando el p-valor del test de Mann-Kendall es inferior a 0,05.
Otro aspecto clave dentro del análisis de series temporales, alude a la medición de los posibles puntos de ruptura de datos existentes en la serie. Los puntos de ruptura ponderan la existencia de un momento temporal, a partir del cual los datos se comportan de otra manera en términos de magnitud, intensidad y variabilidad. Este tipo de análisis es de incuestionable valor a la luz de recientes investigaciones que confirman que el clima muestra su variabilidad de forma no lineal, a través de “saltos” que suponen un antes y un después en el comportamiento del clima (Trenberth, 1990). El origen de las técnicas de análisis a este respecto son las pruebas de homogeneidad, que nacieron con la intención de identificar alteraciones de origen humano (cambios en la ubicación, en el sistema de medición, modificación de las rutinas de observación, etc.) producidos en los datos climáticos (Wijngaard, Klein Tank y Können, 2003). En este trabajo y tras el control de calidad de la series, se aplican los test de homogeneidad bajo el supuesto de que los posibles puntos de ruptura detectados son atribuibles a cuestiones climáticas (Abahous, Ronchail, Sifeddine, Kenny y Bouchaou, 2018). El criterio que usan las pruebas de homogeneidad para decidir si existe un punto de ruptura, se fundamenta en el costo de segmentación, entendido como la suma de las desviaciones cuadradas de los datos respecto a las medias de sus respectivos segmentos (Muñoz Marín, 2008). En este trabajo se usan test de homogeneización absoluta que muestran un posible único punto de ruptura a lo largo de toda la serie disponible. A pesar de que hay consenso en aceptar la superioridad de los métodos de homogeneidad relativa (basados en las similitudes entre dos estaciones próximas y ubicadas en condiciones topográficas parecidas) a la hora de detectar saltos abruptos en las series climáticas (Guijarro, Domonkos, López, Aguilar, y Brunet, 2016), la ausencia de estaciones climáticas que cumplan este criterio para todo el periodo de estudio imposibilita su aplicación en Murcia.
Los test de homogeneidad absoluta confirman alguna de las siguientes hipótesis: la hipótesis nula (H0) cuando los valores de la serie son están idénticamente distribuidos y son independientes entre sí. La hipótesis alternativa (Ha) cuando los valores están desigualmente distribuidos desde el punto de vista estadístico. Los test de homogenización usados en este trabajo son el test de Pettitt (Pettitt, 1979), la prueba de homogeneidad normal estándar (SNHT) de Alexandersson (Alexandersson, 1986) y el test de rango de Buishand (Buishand, 1982). Los tres test tienen similitudes, aunque, el test de Pettitt es el de más amplia difusión, mientras que el SNHT tiende a detectar los puntos de ruptura en los extremos de la serie temporal. Finalmente el test de Buishand es sensible a detectar puntos de ruptura en la parte media de la serie (Renom Molina, 2009). El cálculo de estos test se ha realizado con la versión de prueba del software XLSTAT (Addinsoft, 2019).
Por último, los análisis de series climáticas temporales deben prestar atención a la medición de los posibles ciclos que presenten los datos. Esto se realiza a través del análisis espectral. El análisis de ciclicidades es de espacial importancia para enmarcar los resultados obtenidos dentro del debate acerca del cambio climático antropogénico (Petit et al., 1999), en la medida en que permite contextualizar los eventuales cambios observados por los métodos anteriores (tendencia y puntos de ruptura), en función de si responden a un comportamiento cíclico o si por el contrario suponen un comportamiento anómalo. El análisis espectral consiste en estimar la amplitud y fase de cada onda en que se descompone una serie temporal para analizar si existen ciclos en los datos temporales (Luque Espinar, Pardo Igúzquiza y Chica Olmo, 2005). Para esto es necesario descomponer una serie temporal en su dominio de frecuencia, lo cual se hace a través una transformación matemática. La función de transformación matemática más usada a este respecto es la transformada de Fourier (Anderson, 1971). Con los valores de la transformada de Fourier se pueden construir gráficos de densidad espectral, donde se reflejan los cambios de densidad para el periodo temporal de la serie. La interpretación de la densidad espectral se basa en la identificación de puntos de inflexión a lo largo del gráfico de densidad espectral. Cada punto de inflexión representa una señal periódica que corresponde a una frecuencia específica y a un periodo de tiempo específico. En este trabajo se ha realizado un análisis espectral basado en la transformación de Fourier con la versión de prueba del software XLSTAT (Addinsoft, 2019). Este programa calcula el gráfico de densidad espectral a través del suavizado de los valores de la transformada de Fourier. Siguiendo a Howell, Fryar, Benaabidate, Bouchaou y Farhaoui (2019), en este trabajo se ha aplicado el suavizado de Tukie-Haning. Adicionalmente el programa realiza ensayos de ruido blanco, mostrando los p-values a un nivel de significación del 0,05 con las técnicas Kappa de Fisher y Kolmogorov-Smirnov de Bartlett (Bartlett, 1966). Si el valor de estos test es superior a 0,05, se debe asumir que las diferencias en la densidad espectral correspondan a ruido blanco, por lo que habría que asumir que los puntos de inflexión son aleatorios. Howell, et al. (2019) señalan que hay cierta subjetividad en la elección de los puntos de inflexión como ciclos significativos. Estos mismos autores señalan que la elección de los puntos de inflexión debe detenerse cuando los puntos de inflexión están muy próximos en el tiempo o cuando los puntos de inflexión tienen una densidad espectral baja en comparación con el resto de momentos de cambio. Por otro lado, conviene analizar con ciertas reservas los ciclos detectados, por cuanto en series con tendencia o cambios abruptos como las series climáticas, los ciclos detectados pueden variar con el tiempo ganando o perdiendo amplitud (Ndah, Dagar y Becek, 2017). No obstante, queda para posteriores trabajos analizar estos posibles cambios en los ciclos en la serie climática de Murcia.
A este respecto, con el fin de evitar esta subjetividad, en este trabajo se ha señalado únicamente el punto de inflexión de mayor densidad espectral y siempre y cuando los p-valores de los test de ruido blanco fueran inferiores a 0,05.
2.4. Cálculo del Índice Estandarizado de Sequía (SPI)
Para analizar la duración, extensión y variabilidad de los periodos secos y húmedos en Murcia, se ha procedido al cálculo del Índice Estandarizado de Sequía con los valores de precipitación de Murcia. El SPI desarrollado por McKee, Doesken y Kleist (1993) es uno de los índices de sequía más extendidos por su facilidad de cálculo y por la posibilidad de realizar estudios comparables en el tiempo y en el espacio. Por este motivo la OMM recomendó en 2009 que los países adoptaran este índice para vigilar y seguir las condiciones de sequía (OMM y Asociación Mundial para el Agua, 2016). El SPI se calcula a partir del registro histórico de precipitación en una estación meteorológica, donde la curva de distribución acumulativa de precipitación (PDF) durante un período de tiempo concreto se compara con el mismo período de tiempo a lo largo del registro histórico, en este caso, con los valores de precipitación de 1863 a 2017. El método requiere ajustar la serie de precipitaciones de referencia a una distribución de probabilidades, y a continuación esta se transforma en una distribución normal. De modo que los valores de SPI tienen una media de 0 y desviación típica de 1 (Edwards y McKee, 1997).
Los valores SPI positivos representan condiciones húmedas, cuanto más alto es el SPI, más inusualmente húmedo es un período de tiempo. Los valores negativos de SPI representan condiciones secas, cuanto más bajo es el SPI, más inusualmente seco es un período (National Drought Mitigation Center, 2019). En cuanto a la sequía, los extremos de la distribución de la precipitación presentan una información fiel de la excepcionalidad de una sequía, especialmente los episodios de sequía extrema, puesto que los valores por debajo de -1 informan de episodios que se consideran infrecuentemente secos para la región analizada. Del mismo modo, los valores de SPI superiores a 1 informan de episodios excepcionalmente húmedos para el clima del lugar analizado (OMM y Asociación Mundial para el Agua, 2016). Por este motivo, se hace un especial hincapié en las secuencias de meses secos (valores negativos) donde hay al menos un valor igual o inferior a -1, y rachas de meses con valores positivos (periodos húmedos) con al menos un valor igual o superior a +1.
El SPI se puede calcular a partir de valores de precipitación semanal o diarios, aunque preferentemente este índice se calcula a partir de valores de precipitación mensual. En este trabajo se analiza la variabilidad del SPI para periodos móviles de 12 meses (1 año) de precipitación acumulada. Donde cada valor mensual, representa la precipitación acumulada de ese mes y los 11 meses anteriores. De esta manera, el SPI informa de la diferencia entre la precipitación acumulada de 12 meses consecutivos con los mismos 12 meses consecutivos de todos los años con datos disponibles (National Drought Mitigation Center, 2019). Para el cálculo del SPI se ha usado el software de acceso libre SPI Program del National Drought Mitigation (2019).
3. Resultados
3.1. Análisis de los elementos del clima actual en Murcia
Las temperaturas y precipitaciones medias actuales en Murcia presentan los valores característicos del clima Mediterráneo subdesértico señalado anteriormente (Figura 3).

La proximidad a un mar cálido como el Mediterráneo y la proximidad del desierto del Sahara, dan un marcado carácter cálido a las temperaturas murcianas, que se aproxima a los 20º C de temperatura media anual. La ubicación latitudinal de la ciudad de Murcia, explica que las estaciones están diferenciadas de forma evidente. No obstante, las altas temperaturas pueden presentarse en cualquier época del año. Los veranos son tórridos, especialmente durante las fechas centrales del verano, cuando la temperatura máxima absoluta supera casi todos los años los 42ºC e incluso los 45. Térmicamente agosto es el mes más caluroso, con una media de temperaturas superior a los 28º C y con una media de las temperaturas máximas absolutas que supera los 40ºC. En cambio, los inviernos son muy suaves y las heladas casi inexistentes, con una muy baja probabilidad de heladas entre finales del otoño y el inicio de la primavera. No hay ningún mes donde las heladas estén aseguradas, siendo frecuente que pasen varios años sin que lleguen a producirse. Durante el mes más frío (enero), la media de las mínimas supera los 1,5º C y la media anual de las mínimas supera los 14ºC.
La oscilación térmica (diferencia entre la media de las temperaturas máximas diarias del mes más cálido y la media de las temperaturas mínimas diarias del mes más frío) evidencia rasgos de continentalidad dentro de los climas mediterráneos españoles, ya que se superan los 27ºC. Sin embargo, la amplitud térmica (calculada como la diferencia entre la temperatura media del mes cálido y la temperatura media del mes más frío) no supera los 17ºC.
De los doce meses del año, nueve se consideran secos (las precipitaciones mensuales son inferiores al doble de la temperatura media de ese mismo mes). Es el descenso de las temperaturas invernales y no el aumento de las precipitaciones, el que determina que los meses no se consideren secos. Resulta esclarecedor que durante la estación de máximas lluvias (el otoño), en todos los meses las precipitaciones son inferiores al doble de la temperatura media mensual. La estacionalidad de las precipitaciones es bimodal y evidencia las referidas condiciones del clima surestino. Se produce un intenso mínimo pluviométrico estival acentuado en el mes de julio y dos máximos, uno invernal (a la par con el primaveral), y otro, más acentuado durante el otoño. Sin embargo, el patrón clásico de lluvias surestinas se presenta desdibujado con estos datos, puesto que el otoño no presenta claras diferencias con las lluvias invernales y primaverales. En parte, esto se debe a que entre 1988 y 2017 no hubo grandes episodios de lluvia torrencial durante el mes de octubre, mientras que en algunos meses invernales, si se produjo este fenómeno (en diciembre de 2016 la lluvia en Murcia superó los 230 mm, frente a una media en diciembre para el periodo 1988-2017 de 32,9 mm). Con las limitaciones que implica el hecho de estudiar una única estación meteorológica, esta situación implica reconsiderar el periodo de años necesario para caracterizar las lluvias en el Sureste de la Península Ibérica. Especialmente en el contexto actual, donde el cambio climático parece estar influyendo en que el periodo de actuación de los sistemas convectivos de mesoescala otoñales se amplié hasta el invierno (Trigo y Palutikof, 2001).
Por este motivo se ha procedido a diferenciar los climogramas de Murcia por periodos correlativos de 30 años y para el total de datos disponibles (1863-2017) (Figuras 4 y 5). De esta manera, es posible observar cómo se han producido cambios en la caracterización del tipo de clima en Murcia detectados a través del análisis de los valores termopluviométricos de periodos confiables de tiempo (30 años) y correlativos. Si se consideran todos los datos disponibles en Murcia (1863-2017), la estacionalidad de las precipitaciones y los valores medios de temperatura se aproximan a la caracterización climática de la región, con unas precipitaciones próximas a los 300 mm, una temperatura media anual superior a los 18ºC y una marcado máximo pluviométrico otoñal, seguido de lejos por un segundo máximo primaveral. Estos patrones estacionales son constantes al considerar periodos sucesivos de 30 años. Sin embargo, cuando se considera el último periodo (1991-2017) se detecta una destacable pérdida de importancia de las lluvias otoñales a favor de las precipitaciones invernales, junto con un marcado ascenso térmico. El hecho más destacable es que si se consideran las diferencias entre los climogramas de 1871-1900 y de 1991-2017, la clasificación climática de la ciudad de Murcia sería totalmente diferente. En el primer caso se trataría de un clima continental mediterráneo similar al actual clima de la Comarca del Noroeste Murciano, mientras que en la actualidad el clima de Murcia se enmarca dentro del dominio mediterráneo estepárico o subdesértico. De acuerdo a la clasificación climática de Köppen la ciudad de Murcia ha pasado de un clima mediterráneo con verano seco y caluroso (Csa) de finales del siglo XIX, a un clima mediterráneo semiárido con verano seco y temperatura superior a 18ºC (Bsh). Incluso, si se tiene en cuenta que la regionalización climática propuesta por Martín-Vide y Olcina Cantos (2001) considera que el Sureste climático se enmarca en los territorios con precipitaciones inferiores a 350 mm anuales y una temperatura media anual entre los 15 y los 18,5ºC, la ciudad de Murcia de finales del siglo XIX estaría climáticamente fuera de esta región.

El mencionado ascenso térmico se maximiza para el último periodo de estudio, aunque comenzó a detectarse a partir del periodo 1961-1990. Este ascenso térmico se aprecia en todas las estaciones, pero es especialmente elevado durante el verano (Figura 5 Panel a). En cuanto al cambio en los patrones estacionales de las precipitaciones, hasta el último periodo de estudio no se detecta la pérdida de importancia del otoño respecto al resto de estaciones (Figura 5 Panel b). A este respecto, se detecta un aumento porcentual de las lluvias estivales e invernales. Sin embargo, el aumento de las lluvias estivales es relativo, puesto que se produce en un contexto general de reducción de las lluvias en el resto de estaciones del año (Figura 5 Panel c). La reducción de las precipitaciones detectada es constante en el caso del otoño que ha visto reducidas las precipitaciones de forma paulatina a lo largo de los periodos de análisis considerados. De manera general, las precipitaciones también han visto reducidas sus cantidades, especialmente desde el periodo 1931-1960. El invierno por su parte, presenta precipitaciones crecientes desde principios del siglo pasado.

El Panel a) muestra las temperaturas medias estacionales para cada periodo; el panel b) muestra que porcentaje del total de lluvia anual se produce en cada estación en cada periodo de 30 años; el Panel c) muestra la precipitación media estacional para cada periodo.
Fuente: AEMET. Elaboración propia3.2. Variabilidad de las anomalías termopluviométricas en Murcia
Las anomalías de temperatura en la ciudad de Murcia muestran una alta variabilidad y periodicidad, pero el rasgo más destacable es el fuerte aumento de las anomalías térmicas positivas desde el año 1955. En un primer momento este aumento térmico se concentra en los meses invernales y desde finales de la década de los pasados años setenta se extiende al resto de estaciones (Figura 6 Panel a). Este calentamiento es especialmente intenso durante los veranos, con desviaciones de más de 3ºC sobre la media del mes en cuestión. Por otro lado, en la primera mitad del siglo XX dominaron las anomalías térmicas negativas, principalmente en la década de los años treinta. Por su parte, el último tercio del siglo XIX tuvo una alta variabilidad térmica, con la alternancia de periodos anómalos fríos y cálidos.
Sin embargo, este comportamiento presenta notables diferencias cuando se analiza el comportamiento de las anomalías térmicas de las temperaturas medias diarias máximas (Figura 6 Panel b) o mínimas (Figura 6 Panel b). Mientras que las temperaturas máximas presentan un comportamiento cíclico con una tendencia poco definida, las temperaturas mínimas presentan una clara tendencia hacia el aumento de las anomalías positivas. Este comportamiento empieza a ser evidente desde los pasados años cincuenta, pero se magnifica a partir de los años finales del pasado siglo. Las mayores anomalías positivas se concentran en los meses estivales, informando de unos veranos cada vez más cálidos. Esta situación de los veranos es especialmente relevante, por cuanto las anomalías positivas de las temperaturas máximas estivales, también se vuelven más frecuentes con la entrada del nuevo siglo.

El Panel a) muestra las anomalías de la media de temperatura mensual; el Panel b) muestra las anomalías de la media de las temperaturas máximas diarias para cada mes; y el Panel c) muestra las anomalías de la media de las temperaturas mínimas diarias para cada mes.
* Las anomalías están calculadas como la diferencia en ºC entre la temperatura de un determinado mes y la media de temperatura de ese mismo mes. Las medias mensuales están calculadas con los datos de todo el periodo disponible (1863 a 2017).
Fuente: AEMET. Elaboración propiaEn cuanto a las anomalías pluviométricas, se evidencia un comportamiento mucho más variable que las temperaturas y unos patrones temporales menos definidos. No obstante, hasta el final del siglo XIX, eran muy frecuentes e intensos los periodos húmedos (especialmente durante el verano). Desde 1900 hasta 1943 tiene lugar un importante periodo seco (especialmente intenso en las primaveras, los veranos y los otoños) acentuado durante el periodo de 1935 a 1943. Desde este periodo, las fases de alternancia pluviométrica continúan sin un patrón claro y durante extensiones de tiempo poco definidas. De esta manera, desde 1943 hasta 1978 predominan los meses y estaciones lluviosas, momento a partir del cual la situación se invierte, con una fase seca muy intensa durante los pasados años 90 (Figura 7). Conviene considerar los resultados referentes al periodo estival con matizaciones, ya que al ser la estación con menores precipitaciones medias (27 mm), cualquier cambio, tanto por defecto como por exceso, se refleja como una acusada variación porcentual. Por lo tanto, son más relevantes los cambios en el resto de estaciones.

*Las anomalías de precipitación están calculadas como la desviación, expresada en porcentaje, entre la precipitación de un determinado mes y la media de precipitación de ese mismo mes. En el caso de las temperaturas las anomalías están calculadas como la diferencia en ºC entre la temperatura de un determinado mes y la media de temperatura de ese mismo mes. Las medias mensuales están calculadas con los datos de todo el periodo disponible (1863 a 2017).
Fuente: AEMET. Elaboración propia

Si se realiza el análisis temporal con los datos medios por décadas, se observa como las temperaturas comienzan a aumentar desde la década de los años cuarenta, aunque este aumento se hace más evidente a partir de los años sesenta, y en el caso del verano, cobra fuerza a partir de los años ochenta (Figura 8 Panel a). El análisis evolutivo por decenios de la aportación estacional al total pluviométrico (Figura 8 Panel b) no arroja cambios significativos. Sin embargo, se aprecia como en las décadas donde se produjeron lluvias torrenciales otoñales que ocasionaron grandes daños (Gil-Guirado, Pérez-Morales, López-Martínez y Barriendos, 2014) la contribución otoñal al total anual aumenta considerablemente. Lo cual demuestra que las torrenciales suponen muchas veces una parte importante del total de lluvia anual que se recibe en Murcia. En cuanto al total pluviométrico estacional por década (Figura 8 Panel c), se detecta nuevamente que el último tercio del siglo XIX fue especialmente húmedo, merced a unos inviernos y otoños muy lluviosos. Finalmente, es destacable que en las últimas décadas se está produciendo un descenso en la cantidad de lluvia otoñal y primaveral. Confirmando así, las tendencias detectadas con los datos por periodos de 30 años.
3.3. Tendencias termopluviométricas anuales y estacionales en Murcia
En línea con los resultados del análisis térmico anterior, la temperatura en Murcia muestra una tendencia positiva estadísticamente significativa. El ascenso térmico se observa tanto en los valores de temperatura media anual, como en los valores de temperatura media de las diferentes estaciones. En todos los casos los valores de incremento durante el periodo de estudio superan los 0,014ºC/año (Tabla 1). Es especialmente alto el ascenso térmico en los valores de temperatura media anual, primaveral, estival y otoñal (0,015ºC/año). Sin embargo, se produce una evidente diferencia cuando se analiza de forma separada el comportamiento de la temperatura media de las máximas diarias y la temperatura media de las mínimas diarias (Tabla 1). A este respecto, a pesar de que las temperaturas medias máximas tienen una tendencia positiva significativa en todas las estaciones a excepción del verano (con los mayores incrementos durante el invierno con 0,007ºC/año), la tendencia es mucho más importante en el caso de la temperaturas medias mínimas, con incrementos por encima de los 0,023ºC/año en todas las estaciones y con valores de 0,027 en los veranos.

En cuanto a las precipitaciones las tendencias no son tan evidentes como para las temperaturas. No obstante, se ha detectado una tendencia pluviométrica negativa estadísticamente significativa en las precipitaciones totales anuales, y también en las precipitaciones primaverales y otoñales. Este descenso informa de un descenso promedio de 0,6 mm al año para las lluvias anuales, un descenso promedio de 0,2 mm/año durante la primavera y de 0,3 mm/año durante el otoño (Tabla 2). Estos resultados son consistentes con el análisis por periodos de tiempo de 10 y 30 años y arrojan un panorama nada halagüeño para la disponibilidad de agua en Murcia, máxime teniendo en cuenta el aumento térmico detectado en la tabla anterior.

3.4. Segmentación de las series en Murcia para detección de cambios bruscos
El análisis a través de técnicas de segmentación estándar, muestra resultados acordes al análisis de tendencia en las temperaturas y precipitaciones. En las temperaturas medias se han detectado puntos de ruptura que informan de que las temperaturas presentan cambios significativos en todas las estaciones del año y también para los valores anuales (Tabla 3). En todos los casos, los puntos de ruptura evidencian el cambio hacia periodos más cálidos. Las condiciones posteriores a los cambios detectados muestran ascensos comprendidos entre los 1,3ºC para la primavera por medio del método de Pettitt y los 2,2ºC para el verano por el método SNHT. De manera general, con los tres métodos y para todos los registros tienen lugar tres momentos importantes de cambio. El primero entre 1939 y 1940, presente en el verano y la primavera. El segundo y más importante en 1957, que supone el periodo de cambio más significativo por su persistencia y magnitud en los valores anuales, invernales y otoñales. El tercer periodo tiene lugar entre 1977 y 1985, es el segundo en importancia y está presente en el verano, el otoño y en los valores anuales.

Aunque en menor medida que las temperaturas, las precipitaciones también presentan momentos bruscos a partir de los cuales la serie presenta un comportamiento distinto. Así, la segmentación estándar no evidencia cambios en la primavera y en el verano. Todos los saltos detectados, son hacia periodos más secos, por lo tanto, se refuerzan las tendencias negativas detectadas, excepto en la primavera que evidencia la tendencia negativa de forma lineal. A excepción de cambios hacia condiciones más secas en el otoño, que tienen lugar en 1923, los cambios en la precipitación anual e invernal se producen entre fines del siglo XIX y principios del XX (Tabla 4).

3.5. Análisis de ciclos termopluviométricos en Murcia
Los principales ciclos detectados tanto para el total anual, como para los totales estacionales coinciden a grandes rasgos entre sí, lo cual da mayor consistencia a los resultados.
A este respecto, se ha detectado un ciclo de 17 años en las temperaturas medias anuales y estacionales. Este mismo ciclo ha sido detectado en las precipitaciones anuales y otoñales (Tabla 5). Adicionalmente, las temperaturas estivales presentan un ciclo significativo de 22 años.

3.6. Análisis temporal del Índice Estandarizado de Precipitación en Murcia
En vista de los resultados anteriores, la variabilidad de las precipitaciones en Murcia informa de una tendencia decreciente. No obstante, la tendencia en las precipitaciones no es tan evidentes como en el caso de las temperaturas. Sin embargo, la precipitación es una variable de capital importancia en el pasado, presente y futuro de la sociedad murciana. Por este motivo, es necesario un análisis que arroje luz sobre la variabilidad temporal de uno de los mayores problemas que azotan al Sureste de España, las sequías (Gil-Guirado, Espín-Sánchez y Prieto, 2016). A este respecto, se ha procedido a realizar el análisis de la serie temporal del Índice Estandarizado de Precipitación (en adelante SPI) para periodos móviles de 12 meses. De esta manera, es posible realizar una mejor aproximación a la extensión y duración, tanto de los periodos húmedos como, especialmente, de los secos.
La Figura 9 evidencia la alternancia de periodos húmedos y secos en Murcia. Los periodos húmedos eran especialmente intensos y extensos hasta el final del siglo XIX. A partir de ese momento, los periodos secos comienzan a ser más intensos y frecuentes. Un periodo seco de especial intensidad tiene lugar entre 1909 y 1913. Posteriormente entre 1926 y 1947 tiene lugar un extenso periodo de sequía interrumpido por un corto, pero intenso periodo húmedo. Esta secuencia seca supone el periodo seco de mayor duración para la serie de estudio. A partir de los años sesenta del pasado siglo destacan frecuentes periodos secos (entre 1980 y 1987, entre 1993 y 2000 y entre 2008 y 2015) frente a cortos y débiles periodos húmedos.

El Panel a) muestra todos los valores del índice SPI (en rojo valores de sequía y en azul valores húmedos) y el Panel b) muestra en azul las secuencias de meses consecutivos con valores negativos y al menos un mes con un valor igual o superior a +1; y en rojo las secuencias de meses consecutivos con valores negativos y al menos un mes con un valor igual o inferior a -1.
Fuente: AEMET. Elaboración propiaSi se analiza la duración e intensidad media de las secuencias secas, normales y húmedas en Murcia (Figura 10), se produce una tendencia hacia la menor duración de las secuencias húmedas, al tiempo que se produce un evidente aumento de la duración de las secuencias secas. Por su parte, los periodos normales no presentan una tendencia evidente (Figura 10 Panel a). Esta situación es más problemática si cabe, en la medida en que se aprecia una tendencia hacia la reducción de la intensidad de las secuencias húmedas (tendencia decreciente en los niveles de SPI), al tiempo que las secuencias secas tienen una intensidad creciente (tendencia decreciente en los niveles de SPI) (Figura 10 Panel b).

Las secuencias están calculadas como la suma de meses con SPI negativo y al menos un mes con valor igual o inferior a -1 hasta la vuelta a valores positivos. Las secuencias húmedas están calculadas como la suma de meses con SPI positivo y al menos un mes con valor igual o superior a +1 hasta la vuelta a valores negativos. Las secuencias normales están calculadas como la sucesión de meses comprendida entre dos secuencias secas y/o húmedas. La intensidad media de cada periodo está calculada como la suma de los valores de SPI de todos los meses de la secuencia, entre el número de meses de la secuencia.
Fuente: AEMET. Elaboración propiaLas tendencias que se muestran en la figura anterior son estadísticamente significativas, e informan de que el SPI tiene una tendencia decreciente. En relación a la duración de los periodos secos y húmedos se confirman las tendencias lineales detectadas anteriormente. Los periodos secos tienen una tendencia de duración creciente y los periodos húmedos una tendencia de duración decreciente. A este respecto, la duración de los periodos secos aumenta a un ritmo de 0,6 meses, mientras que la duración de los periodos húmedos se reduce a un ritmo de 0,5 meses.

Los test de homogeneidad para el SPI, arrojan resultados sorprendentes, por cuanto confirman los saltos abruptos detectados en el apartado 3.4, pero en este caso a través de valores con resolución mensual. Los cambios detectados se producen en noviembre de 1909 según los test de Pettitt y Bushand y en abril de 1902 según el test SNHT. Mientras que la media de SPI antes de noviembre de 1909 era de 0,519, posteriormente este valor desciende hasta -0,221. Por su parte, antes de abril de 1902 la media era de 0,589 y posteriormente el SPI pasó en promedio, a valores negativos (-0,196). Cifras que en ambos denotan el paso hacia una mayor sequedad en Murcia.
Finalmente, el análisis espectral de los valores de SPI vuelve a coincidir a la hora de señalar un ciclo significativo de 17,1 años. Detectado esta vez a nivel mensual (ciclo de 205,4 meses).
4. Discusión
Las anomalías termopluviométricas en Murcia muestran un comportamiento que evidencia una progresiva tendencia a la aridez y, especialmente, un proceso de calentamiento especialmente intenso en las temperaturas medias mínimas mensuales. Las elevadas anomalías térmicas positivas recientes, previsiblemente pueden estar influenciadas por el fenómeno de isla de calor motivado por el importante proceso de crecimiento del espacio urbanizado en la ciudad de Murcia (Quereda Sala, et al., 2000). No obstante, los valores obtenidos en este trabajo están en concordancia con los resultados de otros estudios en sectores próximos al área de estudio y no afectados por el fenómeno de crecimiento urbanístico (Gil-Guirado y López Bermúdez, 2011). Por su parte, las anomalías pluviométricas en Murcia son consistentes con los resultados de otras investigaciones en el sur de España y en la cuenca del mediterráneo occidental. Esteban-Parra, Sanchez-Rodrigo y Castro-Diez (1998) identifican periodos de relativa humedad hasta 1914, durante la década de 1930 y en los años de 1960 a 1970. En cuanto a los periodos secos, estos mismos autores identifican periodos secos entre 1920 y 1940 y también durante los años ochenta del pasado siglo.
Algunos estudios recientes analizan la variabilidad termopluviométrica de la Región de Murcia desde principios del siglo pasado. En relación a las precipitaciones, Ruíz Álvarez, Sánchez-Lorenzo y García Marín (2014), tomando como referencia el periodo de 1961 a 2010, analizan las anomalías de precipitación para 41 estaciones en la Región de Murcia desde 1914 hasta 2013. Sus resultados muestran que hay un importante periodo seco entre 1914 y 1940 y también otros periodos secos entre 1952 y 1966 y entre 1978 y 1984. Estos mismos autores señalan que las series de precipitación anual entre 1914 y 2010 no tienen una tendencia estadísticamente significativa en la Región de Murcia. Esto mismo se obtiene en el presente estudio si al detraer del análisis de tendencia el periodo húmedo de finales del siglo XIX. Finalmente estos autores detectan un ciclo pluviométrico de 2,5 años y otro de 22 años. Este último lo relacionan con el ciclo solar de Hale. Por su parte, del Rio, Herraro, Frailes y Penas (2011), detectan una reducción de las precipitaciones estivales, y en menor medida de las precipitaciones invernales en el sureste de la Península Ibérica, pero en este caso para el periodo comprendido entre 1961 y 2006. Estos autores señalan que si estos cambios se consolidan podrían confirmar un cambio en los patrones estacionales de precipitación en el Sureste peninsular. Finalmente, Miró Pérez, Estrela Navarro, Caselles y Gómez (2018), detectan una tendencia negativa para las precipitaciones en la zona de la ciudad de Murcia entre 1955 y 2016. Pero el cambio más significativo que detectan estos autores tiene que ver con la duración de los períodos de sequía y el número de días secos, que tienden a aumentar de manera generalizada en la Región de Murcia.
En el caso de las temperaturas, del Río, Cano-Ortiz, Herrero y Penas (2012), han detectado tendencias positivas estadísticamente significativas de las temperaturas máximas únicamente en junio para la zona de la ciudad de Murcia entre 1961 y 2006. En cambio para las temperaturas mínimas la tendencia es positiva y significativa para todos los meses del año a excepción de los meses invernales. Estos autores señalan que estas tendencias pueden estar asociadas con el aumento del efecto invernadero y con el incremento de la iluminación solar desde 1980. También relacionan estos cambios con el comportamiento de la NAO, ya que durante su fase positiva, hay un flujo de oeste intensificado que conduce a un calentamiento del sur de Europa. Por su parte, Miró Pérez, Estrela Navarro y Olcina Cantos (2015) señalan también este calentamiento para la Comunidad Valenciana entre 1948 y 2011, con una mayor tendencia al calentamiento en primavera y verano, especialmente en junio, pero también en octubre.
En cuanto a la evolución termopluviométrica decadal, se aprecia una conexión entre periodos de menores precipitaciones y una disminución en la aportación invernal al total pluviométrico en Murcia. Esa situación puede estar relacionada con las fases de mayor persistencia o de desplazamiento hacia el este del anticiclón de las Azores, que de esta forma reduce la actuación invernal de la borrasca de Islandia sobre el sur peninsular, que en última instancia es la responsable de las precipitaciones asociadas al frente polar (Esteban-Parra et al., 1998).
Las tendencias detectadas (Mann-Kendall test), muestran un ascenso de la temperatura que puede parecer excesivo y es de esperar que están positivamente alterados por el efecto “isla de calor”, tal y como demostraron Quereda Sala y Montón Chiva (1999) para el Levante Español. Sin embargo, las cifras obtenidas en Murcia son consistentes con trabajos en áreas próximas, que usan datos de observatorios alejados de la influencia urbana y donde se ha tratado de eliminar ese efecto (Brunet, Aguilar, Saladíe, Sigró y López, 2001). Otros autores (De Castro, Martín-Vide y Alonso, 2005), detectan un incremento significativo de las temperaturas máximas desde los años setenta del pasado siglo en el este ibérico, a razón de 0,6º C por década. Estos mismos autores detectan un comportamiento similar para las temperaturas mínimas. Parece claro que el incremento de la temperatura ha sido generalizado en el Sureste Español desde el año 1970. A este respecto, Horcas, Rasilla y Fernández-García (2001) detectan un incremento térmico de 0,123ºC al año para el periodo comprendido entre 1940 y 1997 (más de 3º C en total). En este trabajo los autores usan datos de 23 observatorios distribuidos por la Región de Murcia y provincias vecinas.
En relación a las precipitaciones, las tendencias observadas no son tan evidentes como en el caso de las temperaturas, también en línea con el contexto regional (De Castro et al., 2005). No obstante, en este trabajo se ha detectado una reducción de las precipitaciones anuales, que también se ha constatado en otros trabajos realizados en áreas cercanas (Gil-Guirado y López Bermúdez, 2011). En la vecina Comunidad Valenciana se aprecia también una disminución en las precipitaciones otoñales (De Castro, et al., 2005) similar a la detectada en Murcia. En líneas generales, parece demostrado que se ha producido un descenso en las precipitaciones del sector mediterráneo peninsular desde fines del siglo XIX (Esteban-Parra et al., 1998). Otros trabajos ponen en relieve también un descenso primaveral, relacionado con el desplazamiento hacia el norte del frente polar. Este desplazamiento está relacionado con una tendencia positiva del índice NAO (Sanchez-Rodrigo y Barriendos, 2008).
Uno de los resultados más relevantes de este trabajo hace referencia a la intensa anomalía pluviométrica positiva detectada a finales del siglo XIX en Murcia. La ausencia de estaciones climáticas contemporáneas próximas a Murcia obliga a considerar datos indirectos (proxy) para poder contextualizar adecuadamente esta anomalía. A este respecto, Gil-Guirado (2013) identifica el periodo de 1870 a 1900 como el periodo de menor cantidad de rogativas pro-pluvia (oraciones para pedir la lluvia que se realizaban durante los periodos de sequía) entre 1600 y 1900 en la ciudad de Murcia. Al mismo tiempo, este periodo se identifica como el periodo de mayor número de inundaciones entre 1600 y la actualidad. Por su parte, Gil-Guirado, Gómez-Navarro y Montávez (2019) también señalan la segunda mitad del siglo XIX como el periodo con menor cantidad de rogativas pro-pluvia y de mayores precipitaciones extremas en la localidad de Caravaca de la Cruz (ubicada 90 km al noroeste de la ciudad de Murcia). Siendo este el periodo más húmedo detectado entre los años 1600 y 1900 en dicha localidad. Diversos autores han detectado esta misma anomalía pluviométrica en otras regiones mediterráneas españolas. Por ejemplo Zamora Pastor (2002) señala que la segunda mitad del siglo XIX en Orihuela (30 km al noreste de la ciudad de Murcia) se caracterizó por la alta recurrencia de lluvias torrenciales y una baja presencia de sequías. Benito, et al. (2010) a través de documentos históricos y análisis de terrazas fluviales, también observaron esta anomalía pluviométrica positiva en las proximidades de la ciudad de Lorca (50 km al suroeste de la ciudad de Murcia), concluyendo que la fase de inundaciones ocurrida entre 1877 y 1900 ha sido una de las fases de mayor intensidad pluviométrica en la zona en los últimos 1000 años. Finalmente, Creus Novau y Saz Sánchez (2005), a través del análisis dendroclimático de algunas muestras Pinus Nigra en las montañas del Sureste Peninsular, señalan que los periodos de 1860 a 1864 y de 1883 a 1892 se encuentran entre las secuencias húmedas más intensas de las detectadas en el Sureste ibérico entre los años 1550 y 1915.
Los datos del 20th Century Reanalysis (Compo, et al., 2011) también muestran una tendencia positiva significativa en las temperaturas desde finales del siglo XIX hasta la actualidad en la Península Ibérica. Alvarez-Castro, Faranda y Yiou (2018) señalan esta tendencia para las temperaturas estivales. Por su parte Turco, Marcos, Quintana-Seguí y Llasat (2014) identifican esta tendencia significativa tanto en las temperaturas medias máximas como en las mínimas en el noreste de la Península Ibérica. No obstante, las tendencias del citado Reanalysis son de menor magnitud que las tendencias observadas a través de datos instrumentales (Turco et al., 2014).
Entre los puntos de ruptura detectados es importante destacar el salto hacia condiciones más cálidas producido en torno a la mitad de los pasados años setenta, por cuanto está en consonancia con la teoría del salto climático producido en este mismo periodo (Trenberth, 1990). No obstante, el cambio más importante en las temperaturas se produce en 1957. Parece demostrado así que el calentamiento en Murcia comenzó con anterioridad a los años setenta, en línea con otras áreas españolas (De Castro, et al., 2005). Dentro de los saltos detectados en las precipitaciones, los resultados están en línea con los trabajos anteriormente citados que hablan de fines del siglo XIX como un periodo húmedo y el fin de siglo como el tránsito hacia secuencias de mayor recurrencia de las sequías. De esta manera, el último tercio del siglo XIX, fue la etapa más lluviosa en Murcia en los últimos 155 años, con frecuentes e intensas inundaciones catastróficas asociadas a lluvias torrenciales (Couchoud, 1965). Sin embargo, un periodo seco tiene lugar las cuatro primeras décadas del siglo pasado. Este fue el periodo de la trágicamente celebre “pertinaz sequía” que soportaba la región en ese periodo (Olcina Cantos, Morales Gil y Rico Amorós, 2000; Ruiz Pérez, 2012).
Los resultados del análisis espectral evidencian unos ciclos significativos de casi 20 años. No están claras cuáles pueden ser las explicaciones para estos ciclos. Algunos trabajos (Friis-Christensen y Lassen, 1991) han detectado que los ciclos solares presentan una periodicidad de entre 18 y 21 años relacionada con la recurrencia diferida de los ciclos solares de 11 años. Otros trabajos han encontrado relaciones entre el clima global y los ciclos de 22 años en la actividad geomagnética solar (Cerano Paredes, Villanueva Díaz, Valdez Cepeda, Méndez González y Constante García, 2011). Estos ciclos son responsables de una parte significativa de la variabilidad atmosférica global (Creus Novau, Fernandez Cancio, y Manrique Menéndez, 1996).
5. Conclusiones
Las temperaturas en Murcia presentan una clara y significativa tendencia ascendente que informa de un ascenso térmico de más de 2ºC desde el último tercio del siglo XIX hasta la actualidad. Esta tendencia es significativa en todas las estaciones del año y es consistente con los resultados de otras investigaciones en regiones próximas. El aumento de las temperaturas se manifiesta a través de algunos puntos de ruptura a partir de los cuales los valores térmicos se instalan en valores más altos. A este respecto, destaca el año 1957 como momento principal de cambio. Al realizar el análisis de tendencia Mann Kendall, con los datos de temperatura anual y estacional desde 1957, sigue apareciendo una tendencia positiva significativa en todas las estaciones, especialmente en el verano con un ascenso térmico de las temperaturas estivales en los últimos 60 años superior a los 3ºC. Este calentamiento se ha acelerado en los últimos años y puede deberse en parte al efecto de isla calor propiciado por el crecimiento del espacio urbano en la ciudad de Murcia. Sin embargo, resultados similares en trabajos realizados en regiones próximas, nos permiten afirmar que parte de este calentamiento se debe a una tendencia de calentamiento a escala global.
En cuanto a las precipitaciones, las tendencias observadas no están tan claras y el comportamiento es más variable. Los datos para la toda la serie muestran una clara y significativa tendencia a la reducción de las precipitaciones anuales, invernales y otoñales, manifestada a partir de un punto de ruptura a principios del siglo XX. Momento a partir del cual la media de las lluvias fue menor. Esto nos informa de que el último tercio del siglo XIX en Murcia, fue una época especialmente húmeda. Al detraer este periodo excepcionalmente húmedo del análisis de tendencia, se observa como las precipitaciones tanto en valores absolutos anuales y estacionales, como en valores de SPI, no presentan una tendencia significativa. Sin embargo, desde 1906 si se observa una tendencia positiva estadísticamente significativa en la duración de las sequías. Es decir, las sequias del último siglo son cada vez más largas A este respecto, los periodos secos han aumentado su extensión media desde 1906 en 18 meses. Por otro lado, en Murcia se ha producido un cambio en la estacionalidad de las lluvias, manifestado a partir de una relativa pérdida de importancia de las precipitaciones otoñales.
Otra cuestión de indudable interés, resulta del análisis de ciclos. Sorprendentemente en todas las variables analizadas (precipitaciones y temperaturas anuales y estacionales y valores mensuales de SPI), se ha detectado un persistente ciclo de 17 años que la literatura relacionada atribuye al efecto diferido de los ciclos solares de 11 años en el clima.
Finalmente, la caracterización climática de la ciudad de Murcia y la región del Sureste peninsular nos ha servido para analizar cambios en los tipos de clima en una escala perceptible por los humanos. La reconstrucción de las variables climáticas por periodos de 30 años, informa de que el clima actual en Murcia difiere en gran medida del clima murciano de finales del siglo XIX. Mientras que a finales de la centuria decimonónica el clima murciano era típicamente mediterráneo con verano seco y caluroso, con unas precipitaciones superiores a los 350 mm anuales. En la actualidad, el clima murciano presenta los típicos rasgos de los climas semiáridos mediterráneos, con tórridas temperaturas y escasas precipitaciones. Este cambio en la caracterización climática nos informa de un rápido proceso de alteración climática, y de forma paradójica invita a reconsiderar la cantidad de años necesarios para realizar una correcta caracterización climática.
Referencias
Abahous, H., Ronchail, J., Sifeddine, A., Kenny, L., & Bouchaou, L. (2018). Trend and change point analyses of annual precipitation in the Souss-Massa Region in Morocco during 1932–2010. Theoretical and applied climatology, 134(3-4), 1153-1163. https://doi.org/10.1007/s00704-017-2325-0
Addinsoft, S. A. (2019). XLSTAT software. Recuperado de http://www.xlstat.com/es/
Alexandersson, H. (1986). A homogeneity test applied to precipitation data. Journal of Climatology, 6, 661-675. https://doi.org/10.1002/joc.3370060607
Alvarez-Castro, M. C., Faranda, D., & Yiou, P. (2018). Atmospheric dynamics leading to West European summer hot temperatures since 1851. Complexity, 2018. https://doi.org/10.1155/2018/2494509
Anderson, T.W. (1971). The statistical analysis of time series. New York: Wiley.
Baddour, O., y Kontongomde, H. (2007). Función de las normales climatológicas en un clima cambiante. Ginebra: Organización Meteorológica Mundial.
Barrera Escoda, A. (2002). Técnicas de completado de series mensuales y aplicación al estudio de la influencia de la NAO en la distribución de la precipitación en España (Trabajo para la obtención del Diploma de Estudios Avanzados (DEA)). Universidad de Barcelona. Barcelona.
Bartlett, M. (1966). An Introduction to Stochastic Processes, Second Edition. Cambridge: Cambridge University Press.
Benito, G., Rico, M., Sanchez-Moya, Y., Sopena, A., Thorndycraft, V. R. & Barriendos, M. (2010). The impact of late Holocene climatic variability and land use change on the flood hydrology of the Guadalentín River, southeast Spain. Global Planet. Change, 70 (1-4), 53-63. https://doi.org/10.1016/j.gloplacha.2009.11.007
Brunet, M., Aguilar, E., Saladíe, O., Sigró, J. y López, D. (2001). The Spanish temperature series. Time variations and trends over the last 150 years. Geophysical Research Abstracts, (Vol. 3, Nº. GRA3), 5333-5376.
Buishand, T. (1982). Some methods for testing the homogeneity of rainfall records. Journal of Hydrology, (58), 11-27. https://doi.org/10.1016/0022-1694(82)90066-X
Capel Molina, J. (2000). El clima de la península Ibérica. Barcelona: Arial.
Cerano Paredes, J., Villanueva Díaz, J., Valdez Cepeda, R. D., Méndez González, J., y Constante García, V. (2011). Sequías reconstruidas en los últimos 600 años para el noreste de México. Revista mexicana de ciencias agrícolas, (2), 235-249.
Chazarra, A., Flórez García, E., Peraza, B., Tohá Rebull, T., Lorenzo Mariño, B., Criado, E., ... y Botey, M. R. (2018). Mapas climáticos de España (1981-2010) y ETo (1996-2016). Agencia Estatal de Meteorología.
Chen, D., y Chen, H. W. (2013). Using the Köppen classification to quantify climate variation and change: an example for 1901–2010. Environmental Development, (6), 69-79. https://doi.org/10.1016/j.envdev.2013.03.007
Compo, G. P., Whitaker, J. S., Sardeshmukh, P. D., Matsui, N., Allan, R. J., Yin, X., ... & Brönnimann, S. (2011). The twentieth century reanalysis project. Quarterly Journal of the Royal Meteorological Society, 137(654), 1-28. https://doi.org/10.1002/qj.776
Couchoud, S. R. (1965). Hidrología histórica del Segura, (Secas, riadas, rogativas, calamidades, trabajos y esperanzas). Murcia: Colegio de Ingenieros de Caminos Canales y Puertos, reedición en facsímil.
Creus Novau, J. & Saz Sanchez, M. A. (2005). Las precipitaciones de la época cálida en el sur de la provincia de Alicante desde 1550 A 1915. Revista de Historia Moderna, 23, 35-48. https://doi.org/10.14198/RHM2005.23.02
Creus Novau, J., Fernandez Cancio, A., y Manrique Menéndez, E. (1996). Evolución de la temperatura y precipitación anuales desde el año 1400 en el sector central de la Depresión del Ebro. Lucas Mallada: revista de ciencias, (8), 9-28.
De Castro, M., Martín-Vide, J., y Alonso, S. (2005). The climate of Spain: past, present and scenarios for the 21st century. A preliminary assessment of the impacts in Spain due to the effects of climate change. ECCE Project-Final report. Madrid: Ministerio de Medio Ambiente.
del Río, S., Cano-Ortiz, A., Herrero, L., & Penas, A. (2012). Recent trends in mean maximum and minimum air temperatures over Spain (1961–2006). Theoretical and Applied Climatology, 109(3-4), 605-626. https://doi.org/10.1007/s00704-012-0593-2
del Río, S., Herrero, L., Fraile, R., & Penas, A. (2011). Spatial distribution of recent rainfall trends in Spain (1961–2006). International Journal of Climatology, 31(5), 656-667. https://doi.org/10.1002/joc.2111
Easterling, D. R., Horton, B., Jones, P. D., Peterson, T. C., Karl, T. R., Parker, D. E., Salinger, M. J., … y Folland. C. F. (1997). Maximum and minimum temperature trends for the globe. Science, 277 (5324), 364-367. https://doi.org/10.1126/science.277.5324.364
Echegaray, J. d. (1851). Memoria sobre las causas de la sequía de las provincias de Almería y Murcia, y de los medios de atenuar sus efectos, escrita con arreglo al programa del real decreto de 30 de marzo de 1850. Madrid: Imprenta del Ministerio de Comercio, Intrucción y Obras Públicas.
Edwards, D. C. y T. B. McKee. (1997). Characteristics of 20th century drought in the United States at multiple time scales. Climatology Report 97-2, Departamento de Ciencia Atmosférica, Universidad del Estado de Colorado, Fort Collins, Colorado.
Esteban-Parra, M. J., Sanchez-Rodrigo, F. y Castro-Diez, Y. (1998). Spatial and temporal patterns of precipitation in Spain for the period 1880–1992. International Journal of Climatology, 18(14), 1557-1574. https://doi.org/10.1002/(SICI)1097-0088(19981130)18:14<1557::AID-JOC328>3.0.CO;2-J
Font Tullot, I. (1983). Climatología de España y Portugal. Madrid: Instituto Nacional de Meteorología.
Friis-Christensen, E. y Lassen, K. (1991). Length of the solar cycle- An indicator of solar activity closely associated with climate. Science, 254(5032), 698-700. https://doi.org/10.1126/science.254.5032.698
García de Pedraza, L. (1990). Contrastes climáticos en la Región de Murcia. XVIII Jornadas científicas de la AME (pp. 37-48). Madrid: Artes Gráficas Gala.
Geiger, R. (1973). El sudeste Español y los problemas de aridez. Revista de Geografía, 7 (1-2), 166-209.
Gil Olcina, A. (1995). Rasgos específicos del Sureste Peninsular. Paralelo 37º. Revista de Estudios Geográficos, (17), 69-79.
Gil-Guirado, S. (2013). Reconstrucción climática histórica y análisis evolutivo de la vulnerabilidad y adaptación a las sequías e inundaciones en la Cuenca del Segura (España) y en la Cuenca del Río Mendoza (Argentina). Cuadernos Geográficos, 52(2), 132-151.
Gil-Guirado, S. (2017). Deconstruyendo riesgos. Cuatro siglos de cambios en la vulnerabilidad y adaptación a las inundaciones y sequías en Murcia. Revista de Historia Moderna. Anales de la Universidad de Alicante, (35), 308-344. https://doi.org/10.14198/RHM2017.35.09
Gil-Guirado, F., y López Bermúdez, F. (2011). Tendencia de las precipitaciones y temperaturas en una pequeña cuenca fluvial del sureste peninsular semiárido. Boletín de la Asociación de Geógrafos Españoles, (56), 349-371.
Gil-Guirado, S., Pérez, A., López-Martínez, F., y Barriendos, M. (2014). Review of flood alert thresholds based on the socioeconomic impact of catastrophic events in the southeastern Spain. En: 4th ems Annual Meeting and 10th European Conference on Applied Climatology (ecac).
Gil-Guirado, S., Espín-Sánchez, J. A., y Prieto, M. D. R. (2016). Can we learn from the past? Four hundred years of changes in adaptation to floods and droughts. Measuring the vulnerability in two Hispanic cities. Climatic change, 139(2), 183-200. https://doi.org/10.1007/s10584-016-1768-0
Gil-Guirado, S., Gómez-Navarro, J. J. and Montávez, J. P. (2019). The weather behind the words. New methodologies for integrated hydrometeorological reconstruction through documentary sources, Clim. Past Discuss. https://doi.org/10.5194/cp-2019-1. Article in review.
González-Rouco, J., Jiménez, J., Quesada, V. y Valero, F. (2001). Quality control and homogeneity of precipitation data in the southwest of Europe. Journal of Climate, (14), 964-978. https://doi.org/10.1175/1520-0442(2001)014<0964:QCAHOP>2.0.CO;2
Guijarro, J. A., Domonkos, P., López, J. A., Aguilar, E. y Brunet, M. (2016). Comparación de métodos de homogeneización de series: primeros resultados del proyecto multitest. En J. Olcina Cantos, A.M. Rico Amorós y E. Moltó Mantero, (eds.), Clima, sociedad, riesgos y ordenación del territorio (pp. 131-140). https://doi.org/10.14198/XCongresoAECAlicante2016-12
Guttman, N. y Quayle, R. (1990). A review of cooperative temperature data validation. J. Atmos. Oceanic. Technol., (7), 334-339. https://doi.org/10.1175/1520-0426(1990)007<0334:AROCTD>2.0.CO;2
Hansen, J. y Lebedeff, S. (1987). Global trends of measured surface air temperatur. J. Geophys. Res., (92), 13345-13372. https://doi.org/10.1029/JD092iD11p13345
Hirsch, R. M., y Slack, J. R. (1984). A nonparametric trend test for seasonal data with serial dependence. Water Resources Research, 20(6), 727-732. https://doi.org/10.1029/WR020i006p00727
Horcas, R., Rasilla, D. y Fernández-García, F. (2001). Temperature Variations and Trends in the Segura River Basin. An Exploratory Analysis. En Brunet y López (eds.), Detecting and Modelling Regional Climate Change (pp. 133-142). https://doi.org/10.1007/978-3-662-04313-4_12
Howell, B. A., Fryar, A. E., Benaabidate, L., Bouchaou, L., & Farhaoui, M. (2019). Variable responses of karst springs to recharge in the Middle Atlas region of Morocco. Hydrogeology Journal, 1-18. https://doi.org/10.1007/s10040-019-01945-w
Kisi, O., & Ay, M. (2014). Comparison of Mann–Kendall and innovative trend method for water quality parameters of the Kizilirmak River, Turkey. Journal of Hydrology, 513, 362-375. https://doi.org/10.1016/j.jhydrol.2014.03.005
Luque Espinar, J. A., Pardo Igúzquiza, E. y Chica Olmo, M. (2005). Análisis de ciclicidades de series hidrogeológicas en el estudio de los procesos de recarga. Actas del VI Simposio sobre el agua en Andalucía (pp. 451-458). Madrid: IGME.
Machado, M. J., Benito, G., Barriendos, M. y Sanchez-Rodrigo, F. (2011). 500 Years of rainfall variability and extreme hydrological events in southeastern Spain drylands. Journal of Arid Environments, 75(12), 1244-1253. https://doi.org/10.1016/j.jaridenv.2011.02.002
Magaña, V. (2012). Guía metodológica para la evaluación de la vulnerabilidad ante cambio climático. México: pnud-inecc-semarnat.
Martín, M. L., Santos-Muñoz, D., Morata, A., Luna, M. Y., y Valero, F. (2006). An objectively selected case study of a heavy rain event in the Mediterranean Basin: A diagnosis using numerical simulation. Atmospheric research, 81(3), 187-205. https://doi.org/10.1016/j.atmosres.2005.12.002
Martín-Vide, F. J., y Olcina Cantos, J. (2001). Climas y tiempos de España. Madrid: Alianza Editorial.
McKee, T.B., N.J. Doesken y Kleist, J. (1993). The Relationship of Drought Frequency and Duration to Time Scales. En Actas de la 8ª Conferencia sobre Climatología Aplicada, 17 a 22 de enero de 1993. Anaheim, Boston: American Meteorological Society.
Miró Pérez, J. J., Estrela Navarro, M. J. & Cantos, J. O. (2015). Statistical downscaling and attribution of air temperature change patterns in the Valencia region (1948–2011). Atmospheric Research, 156, 189-212. https://doi.org/10.1016/j.atmosres.2015.01.003
Miró Pérez, J. J., Estrela Navarro, M. J., Caselles, V. & Gómez, I. (2018). Spatial and temporal rainfall changes in the Júcar and Segura basins (1955–2016): Fine-scale trends. International Journal of Climatology, 38(13), 4699-4722. https://doi.org/10.1002/joc.5689
Muñoz Marín, C. (2008). Análisis de la variabilidad en series hidrometeorológicas en una cuenca de cabecera del Río Segura (Tesis de Master). Cartagena: UPCT.
National Drought Mitigation Center. (2019). SPI Program. Recuperado de https://drought.unl.edu/droughtmonitoring/SPI/SPIProgram.aspx
Ndah, A. B., Dagar, L., & Becek, K. (2017). Multi-temporal patterns of upwelling–downwelling dynamics in the South China Sea based on a 47-year time-series of the NOAA-ERD upwelling index. Regional studies in marine science, 16, 225-239. https://doi.org/10.1016/j.rsma.2017.08.017
Neuman, H. (1960). El Clima del Sudeste de España. Estudios Geográficos, (21), 171-209.
Olcina Cantos, J., Morales Gil, A., y Rico Amorós, A. (2000). Diferentes percepciones de la sequía en España: adaptación, catastrofismo e intentos de corrección. Investigaciones Geográficas, (23), 5-46. https://doi.org/10.14198/INGEO2000.23.06
Organización Meteorológica Mundial (OMM) y Asociación Mundial para el Agua (2016). Manual de indicadores e índices de sequía (M. Svoboda y B.A. Fuchs). Ginebra: Programa de gestión integrada de sequías, Serie 2 de herramientas y directrices para la gestión integrada de sequías.
Petit, J. R., Jouzel, J., Raynaud, D., Barkov, N. I., Barnola, J. M., Bender, J., Chappellaz, M.,…y Stievenard, M. (1999). Climate and atmospheric history of the past 420,000 years from the Vostok ice core, Antarctica. Nature, 399(6735), 429-436. https://doi.org/10.1038/20859
Pettitt, A. (1979). A non-parametric approach to the change-point detection. Applied Statistics, (28), 126-135. https://doi.org/10.2307/2346729
Quereda Sala, J., y Olcina Cantos, J. (1994). Lluvias de barro en la vertiente mediterránea de la Península Ibérica. Investigaciones geográficas, (12), 7-22. https://doi.org/10.14198/INGEO1994.12.13
Quereda Sala, J. y Montón Chiva, E. (1999). La hipótesis de la “estabilidad” climática en el Mediterráneo español. La climatología española en los albores del siglo XXI:[aportaciones presentadas al I Congreso de la Asociación de Climatología] (pp. 427-438). Publicaciones de la Asociación Española de Climatología.
Quereda Sala, J., Gil Olcina, A., Perez Cuevas, A., Olcina Cantos, J., Rico Amoros, A. y Montón Chiva, E. (2000). Climatic warming in the Spanish Mediterranean: natural trend or urban effect. Climatic Change, 46(4), 473-483. https://doi.org/10.1023/A:1005688608044
Quereda Sala, J., Montón Chiva, E. y Escrig Barberá, J. (2002). Las interacciones atmósfera-mar en la climatología mediterránea del 2001. Investigaciones geográficas, (29), 23-38. https://doi.org/10.14198/INGEO2002.29.07
Renom Molina, M. (2009). Temperaturas extremas en Uruguay. Análisis de la variabilidad temporal de baja frecuencia y su relación con la circulación de gran escala (Tesis doctoral). Buenos Aires: Universidad de Buenos Aires.
Ruiz Álvarez, V., Sánchez-Lorenzo, A., & García Marín, R. (2014). Creación de una base de datos con series largas de precipitación en la Región de Murcia y análisis temporal de la serie media anual, 1914-2013. Revista de Climatología, 14.
Ruiz Pérez, J. M. (2012). La” pertinaz sequía” en las cuencas hidrográficas del óvalo valenciano (1930-1960). Cuadernos de geografía, (91), 95-116.
Sanchez Rodrigo, F. y Barriendos, M. (2008). Reconstruction of seasonal and annual rainfall variability in the Iberian peninsula (16th–20th centuries) from documentary data. Global Planet. Change, 63(2-3), 243-257. https://doi.org/10.1016/j.gloplacha.2007.09.004
Sen, P.K. (1968). Estimates of the regression coefficient based on Kendall’s Tau. Journal of American Statistical Association, 63(324), 1379-1389. https://doi.org/10.1080/01621459.1968.10480934
Spinoni, J., Vogt, J., Naumann, G., Carrao, H., y Barbosa, P. (2015). Towards identifying areas at climatological risk of desertification using the Köppen–Geiger classification and FAO aridity index. International Journal of Climatology, 35(9), 2210-2222. https://doi.org/10.1002/joc.4124
Trenberth, K. (1990). Recent observed interdecadal climate change in the Northern Hemisphere. Bulletin of American Meteorological Society, (71), 998-993. https://doi.org/10.1175/1520-0477(1990)071<0988:ROICCI>2.0.CO;2
Trenberth, K. E., y Paolino, D. A. (1980). The Northern Hemisphere sea-level pressure data set: Trends, errors and discontinuities. Monthly Weather Review, 108(7), 855-872. https://doi.org/10.1175/1520-0493(1980)108<0855:TNHSLP>2.0.CO;2
Trigo, R. M., and Palutikof, J. P. (2001). Precipitation scenarios over Iberia: a comparison between direct GCM output and different downscaling techniques, Journal of Climate, 14(23), 4422-4446. https:// doi.org/10.1175/1520-0442(2001)014<4422:PSOIAC>2.0.CO;2
Turco, M., Marcos, R., Quintana-Seguí, P., & Llasat, M. C. (2014). Testing instrumental and downscaled reanalysis time series for temperature trends in NE of Spain in the last century. Regional environmental change, 14(5), 1811-1823. https://doi.org/10.1007/s10113-012-0363-9
Vila Valentí, J. (1961). La lucha contra la sequía en el Sureste de España. Estudios Geográficos, (82), 25-48.
Wijngaard, J. B., Klein Tank, A. M., y Können, G. P. (2003). Homogeneity of 20th century European daily temperature and precipitation series. International Journal of Climatology, 23(6), 679-692. https://doi.org/10.1002/joc.906
Zamora Pastor, R. (2002). El final de la “Pequeña Edad del Hielo” en tierras alicantinas. Alicante: Universidad de Alicante.
Notas
Notas de autor
Información adicional
Cita bibliográfica: Salvador Gil-Guirado, S. & Pérez-Morales, A. (2019). Variabilidad climática y patrones termopluviométricos en Murcia (1863-2017). Técnicas de análisis climático en un contexto de cambio global. Investigaciones Geográficas, (71), 27-54. https://doi.org/10.14198/INGEO2019.71.02