Artículos
Una aproximación al estudio de la industria del cuero en el distrito de Cotacachi (Ecuador), bajo el esquema teórico marshalliano-becattiniano
A study of the leather industry in the district of Cotacachi (Ecuador) according to the theoretical Marshallian-Becattinian scheme
Una aproximación al estudio de la industria del cuero en el distrito de Cotacachi (Ecuador), bajo el esquema teórico marshalliano-becattiniano
Investigaciones Geográficas (Esp), núm. 71, pp. 179-297, 2019
Universidad de Alicante

Recepción: 01/12/2018
Aprobación: 07/05/2019
Publicación: 17/06/2019
Resumen: El presente trabajo es el resultado de la primera parte de una investigación en curso sobre los rasgos característicos del distrito manufacturero ecuatoriano, usando como marco analítico de referencia el esquema teórico de matriz marshalliana-becattiniana. En este artículo se analiza el sector del cuero de Cotacachi (provincia de Imbabura, Ecuador), con el fin de conocer su contribución al desarrollo socioeconómico del territorio y determinar si puede ser considerado un distrito industrial en el sentido marshalliano-becattiniano. A través de métodos cuantitativos y cualitativos se propone un ejercicio de lectura del caso de Cotacachi en base al esquema teórico del distrito industrial italiano, sistematizado sobre la experiencia de Prato (Italia). La principal conclusión es que el sector del cuero de Cotacachi se encuentra aún en un estado de desarrollo embrionario del modelo de distrito industrial de Marshall-Becattini, donde no existe una “atmósfera industrial” que permita una “eficiencia colectiva” atada a procesos de innovación. La presencia de microrredes a su interior, que en potencia pueden generar un “efecto distrito” como en el caso de Prato, choca con un panorama casi ausente de iniciativas de subcontratación, donde no existen articulación entre actores productivos ni relaciones entre empresas (sino sólo en las microrredes) y falta un apoyo institucional adecuado; elementos, éstos, que limitan su potencial de desarrollo.
Palabras clave: desarrollo socio-económico territorial, desarrollo local, distrito industrial, sector manufacturero del cuero, Cotacachi (Imbabura, Ecuador), esquema teórico marshalliano-becattiniano, Prato (Italia).
Abstract: The present work is the first part of an ongoing investigation into the characteristic features of an Ecuadorian manufacturing district, using the Marshallian-Becattinian theoretical scheme as a reference framework. This article analyses the leather sector of Cotacachi (Province of Imbabura, Ecuador) to establish its contribution to the socioeconomic development of the territory, and determine if it can be considered an industrial district in Marshallian-Becattinian terms. Using quantitative and qualitative methods, an examination of its socioeconomic characteristics is offered with respect to the theoretical scheme of an Italian industrial district, based on the experience of Prato (Italy). The main conclusion is that the leather sector of Cotacachi is still in a state of embryonic development as an industrial district in the theoretical scheme of Marshall-Becattini. This is because there is no ‘industrial atmosphere’ that enables a ‘collective efficiency’ connected to innovative processes. The presence of micro-networks in its interior, which can potentially generate a ‘district effect’ as in the case of Prato, clashes with an almost complete absence of subcontracting initiatives, with no articulation between productive actors, nor relationships between companies (except for micro-networks), and a lack of adequate institutional support. The absence of these elements limits the development potential of the district.
Keywords: socio-economic territorial development, local development, industrial district, leather manufacturing sector, Cotacachi (Imbabura, Ecuador), theoretical Marshallian-Becattinian scheme, Prato (Italia).
1. Introducción
El presente artículo es el resultado de la primera parte de una investigación en curso sobre los rasgos característicos del distrito industrial ecuatoriano, usando como marco analítico de referencia el esquema teórico de matriz marshalliana-becattiniana, donde el éxito de un distrito está asociado a la proximidad no sólo geográfica sino también relacional. Esta proximidad es responsable de la formación de dinámicas virtuosas, que facilitan procesos de innovación dentro del territorio gracias a elementos como la confianza y la reciprocidad, basadas en “vínculos familiares, relaciones ‘cara a cara’, actitudes cooperativas, rutinas, hábitos y normas integradas, convenciones locales de comunicación e interacción, además de la fortaleza institucional” (Bertoncin et al., 2018, p. 74). Sin embargo, Asheim (1996) considera a los distritos industriales como una etapa específica de desarrollo en el proceso de industrialización (Dimou, 1994) de un territorio. Esto implica que los distritos industriales pueden evolucionar desde “áreas de especialización productiva”, pasando por “sistemas productivos locales”, hacia “áreas de sistema” como la forma más avanzada de desarrollo (Garofoli, 1992, citado en Asheim, 1996, p. 379); lo que implicaría el fortalecimiento y la reproducción de las típicas características marshallianas y becattinianas de los distritos. Pero también podrían evolucionar hacia formas post-distritales o post-marshallianas de organización,4 contribuyendo desde este ámbito al desarrollo regional; o dirigirse hacia un proceso de fragmentación, estancamiento y declive (Asheim, 1996) o, incluso, hacia la deslocalización, donde el territorio deja de ser el lugar virtuoso por excelencia, reproduciendo en el área local las estructuras tradicionales de producción de otra (Bertoncin et al., 2018). Asheim (1996) ve en las capacidades de absorción tecnológica un elemento determinante en la evolución de los distritos. De hecho, algunos sistemas productivos locales especializados han demostrado tener una especial capacidad para generar ventajas competitivas a través de dinámicas de aprendizaje derivadas de la interacción de sus agentes, logrando la introducción continua de innovaciones, optimizando su proceso productivo y sus productos, accediendo a nuevos mercados o mejorando sus relaciones con otros actores locales privados o públicos; son los denominados distritos tecnológicos, clusters de innovación o sistemas locales de innovación o, de forma más amplia, territorios inteligentes o regiones que aprenden (Méndez, 2006). Por esta razón, varios países han adoptado políticas para respaldar estas realidades. De esta forma, el Sistema Productivo Local (SPL) a ser apoyado debe seleccionarse en función de su fuerte presencia en la economía local o porque es considerado como un medio para el crecimiento futuro del territorio local y de la economía nacional. No es así en América Latina, señalan Pietrobelli y Rabellotti (2004), donde se ha producido una brecha considerable entre las declaraciones de principios y su implementación efectiva, y donde falta una visión integrada y coherente del desarrollo local.
Las micro, pequeñas y medianas empresas (MIPYMEs) latinoamericanas enfrentan entonces el desafío de fortalecerse por sí mismas, a través de procesos aglomerativos innovadores, valiéndose de las ventajas que ofrece la proximidad geográfica local y la “eficiencia colectiva”, pero también aprovechando las oportunidades que ofrece la participación en las cadenas de valor globales (Coe y Townsend, 1998; Allen, 1992; Castells, 1996; Cooke, 1996). En este proceso, los actores locales deben convertirse en una “clase creativa” (Florida 2009, 2010, 2011), que promueva el desarrollo local a través de tres atributos: el talento, la tecnología y la tolerancia (las 3 T). Estas fuerzas, relacionadas con la creatividad humana, contribuyen a la renovación de las ciudades, convirtiéndolas en “ciudades creativas”, que atraen empleo, reduce la desigualdad y potencia la capacidad competitiva (Domínguez, 2018). Estas 3 fuerzas además necesitan que las ciudades tengan un nicho ecológico adecuado, que motive a la población a quedarse en ellas porque es capaz de satisfacer sus aspiraciones. Domínguez (2018) las denomina ciudades ‘Pitapep’, donde confluyen elementos como la participación democrática, la identificación con su historia y arquitectura, con vías de transportes y comunicaciones adecuadas, un ambiente sano y cuidado, de respeto a la naturaleza, una producción flexible que les permita adaptarse a la dinámica productiva en un entorno globalizado, un emplazamiento ventajoso, tanto por sus recursos como por sus vías de comunicación, y una población umbral para generar negocios rentables.
En esta primera fase de la investigación se propone un ejercicio de lectura de la aglomeración productiva del cuero del cantón de Cotacachi, en la provincia de Imbabura (Ecuador), desde un enfoque geográfico-económico y usando como marco de referencia el “esquema teórico” (Rabellotti, 1995; Pietrobelli y Rabellotti, 2004) del distrito industrial italiano de Becattini, sistematizado en base a la experiencia de Prato (región Toscana, Italia). Este esquema, que ha sido exitoso especialmente en países como Italia y España, es poco conocido en América Latina y en particular en Ecuador, donde las MIPYMEs representan la mayor parte del tejido productivo nacional. En el contexto ecuatoriano, autores como Hernández y Cely (2003) y Arcos (2008) han estudiado diversos procesos aglomerativos del país; sin embargo, ninguno de ellos ha tratado el tema desde el punto de vista de la teoría de los distritos industriales, convirtiéndolo en un campo casi inexplorado en el contexto nacional.
1.1. El distrito industrial de Prato (Italia)
El arquetipo del distrito industrial italiano está representado por la aglomeración textil de Prato, la cual ha sido objeto de numerosos análisis (Dei Ottati, 1995; Bellandi y Trigilia 1991; Becattini, 2000a, 2000b), incluido el presente estudio. Prato es una localidad situada en la región Toscana, a 15 kilómetros al Norte de Florencia, con una población de 193.325 habitantes (ISTAT, 31 diciembre 2017). El distrito textil y de confección de Prato se extiende fuera de los confines de Prato, hasta agrupar a 12 localidades limítrofas, llegando por el noroeste hasta Pistola y por el sureste hasta Florencia. En la actualidad es considerado como el centro de confección textil más grande de Europa.

Durante siglos, las pequeñas unidades de producción familiar en Prato conservaron una cultura productiva artesanal vinculada a la lana cardada regenerada, donde predominaban el trabajo autónomo y las relaciones verbales, pero con un bajo nivel de cooperación entre empresas. Desde mediados de 1950 se produce una articulación progresiva de pequeños laboratorios, gracias a la intervención de un agente articulador o coordinador (en italiano impannatore): una empresa que, sin tener producción propia, fue capaz de conectar el mercado de la moda e involucrar a las empresas locales en las distintas fases del proceso productivo (diseño, fabricación y comercialización). Poco a poco se fueron incorporando nuevos provedores a través de la subcontratación (Catalán, Miranda y Ramón-Muñoz, 2011). A partir de ese momento Prato comenzó a comportarse como una región geográfica dinámica y abierta, pero manteniendo una estructura cultural y productiva definida localmente.5 En palabras del mismo Becattini, el distrito industrial de Prato es, principalmente,
una población de familias y empresas que interactúan entre sí de diferentes maneras en un área territorial perfectamente identificada […], [donde] las empresas se dividieron en diferentes poblaciones por fases [de producción] (hilado, tejido, teñido, fijación, etc.) y se organizaron en equipos flexibles, normalmente vinculados a una empresa de comercialización de productos terminados (impannatore), que a su vez enlazaba a estos grupos con el mercado extranjero. (2002b, pp. 97-98)
Gracias a ello, la aglomeración de empresas textiles de Prato ha desarrollado, junto con la comunidad, una identidad conformada por los conocimientos, costumbres y valores del lugar (Dematteis, 2001). Los vínculos estrechos entre las empresas de Prato son en su mayoría informales, pero han sido considerados un factor determinante para el desarrollo del distrito, convirtiéndolo en un modelo de producción caracterizado por la cooperación entre sus empresas. Su organización interna es extremadamente flexible, brindando la posibilidad de responder a los cambios y las demandas del mercado de manera rápida y eficiente, interactuar con el mundo exterior, adoptar sus procesos y gracias a su capacidad de innovación y, desarrollar sus propias tecnologías, cadenas productivas y productos (características del entorno innovador o milieu innovateur). La atmósfera industrial de Prato posibilita la libre circulación de información y conocimiento, asi como la disponibilidad de un mercado laboral especializado (capital social), capaz de incorporar las cada vez más frecuentes innovaciones, generando nuevas habilidades que mantienen al distrito en constante evolución e innovación (Aydalot, 1986). La sinergia entre las actividades productivas y la vida cotidiana es un elemento dominante y característico de su funcionamiento, que propicia la convergencia entre la eficiencia del sistema local y la competitividad como elementos explicativos del éxito de este modelo (Becattini, 1989, 2002; Henn y Bathelt, 2017). Sin embargo, el modelo de distrito de Prato no se revela por si solo como una estrategia efectiva: igualmente importante es el rol estratégicos jugado por los actores institucionales, que permiten establecer un marco para su desarrollo. El agente coordinador (impanatore) tambien ha jugado un papel fundamental para su desarrollo, al posibilitar los vínculos con los proveedores y los clientes fuera del distrito, dando instrucciones a los primeros para que reorganicen su proceso productivo, de modo que puedan atender los rápidos cambios en los gustos y necesidades de los segundos (Ravix y Torre, 1991). Finalmente, también el fortalecimiento de los enlaces externos es otra variable que se ha vuelto indispensable en términos de desarrollo y mejora de la cadena de valor de las empresas de Prato (el “global pipeline” de Bathelt, Malmberg y Maskell, 2004).
1.2. Estado de la cuestión
Marshall (1890, 1920) introdujo el concepto de distrito industrial en el sentido de “industrias localizadas y especializadas”. Para él, la mejora de la competitividad y la eficiencia productiva de las empresas del distrito están íntimamente relacionadas con la posición y la concentración geográfica, que facilitan la conexión entre ellas (Venacio, 2007; Wolfe y Gertler, 2004; Malmberg, 1996; Appold, 1995), reducen los costos y hacen más eficiente el ciclo de producción. Estos elementos son denominados por Marshall (1920) “economías externas” a las empresas, pero internas al distrito. En Industry and Trade (1920), el autor incorpora el concepto de “ambiente industrial”, entendido como un entorno que impulsa la innovación y el desarrollo del espíritu empresarial. También subraya la importancia del capital humano, del conocimiento, de las relaciones informales y de los socios institucionales como elementos clave en la organización y desarrollo del distrito industrial. Cada empresa participante promueve la confianza mutua a través del intercambio de experiencias, información y conocimiento, buscando generar procesos de innovación que permitan al distrito ganar competitividad; la cooperación entre actores se convierte así en un factor fundamental para obtener ventajas competitivas en los mercados (Bagnasco, 1988). Precisamente, son las redes de actores, directa o indirectamente participando en el desarrollo de soluciones, las que definen los sistemas de innovación local.
En la segunda mitad del siglo XX, Becattini (1979, 1989) profundiza las ideas de Marshall sobre los procesos de distritalización, enfatizando “el papel fundamental de los factores endógenos y socioculturales” (Bertoncin et al., 2018, p. 74). Define al distrito industrial como un modelo de producción, ejemplo de descentralización productiva autónoma, un medio innovador y un área-sistema, en donde las relaciones socio-culturales y la comunidad de personas presentes en un territorio, perfectamente identificado, se interrelacionan de manera inseparable con las actividades económicas y productivas (Becattini, 1989, 2002a). Becattini (2004) no ve el proceso productivo sólo como una mera transformación de materias primas en productos terminados bajo una técnica determinada, sino también como la reproducción del entorno, las condiciones, los factores materiales y humanos que surgen del propio proceso productivo. Estas formas de producción son las que generan innovación social sostenible desde el punto de vista económico, social y ambiental (Morelli, 2007). Los distritos se organizan internamente en función de ciertas características distintivas de la producción, de tal manera que poseen una flexibilidad productiva que les da la capacidad de responder, de manera diferenciada, a las exigencias del medio en que operan (Garofoli, 2009). Sin embargo, muchas aglomeraciones distritales han crecido de forma no planificada ni realmente “relacionada”, dejando de lado este aspecto social.
En los estudios sobre distritos industriales, las contribuciones conceptuales de Becattini se han convertido en el marco de referencia teórico. Becattini (1989) subraya que un distrito industrial debe cumplir tres condiciones fundamentales: (1) un grupo de empresas que disfrutan de economías externas y dependen del ambiente territorial en el que se desarrollan; (2) que pertenecen al mismo sector productivo; y (3) donde existe un reparto completo del ciclo de producción entre empresas pequeñas y muy pequeñas, vinculadas entre sí mediante relaciones de subcontratación. Localización y aglomeración son entonces condiciones necesarias, pero no suficientes, para explicar el impacto real de un distrito industrial en la dinámica de desarrollo de ciertas áreas. Esto implica analizar otros fenómenos que completan e intensifican los efectos de la aglomeración como son: la dinámica de las conexiones ascendentes y descendentes entre empresas en sistemas industriales, la formación de mercados laborales locales densos alrededor de esos sistemas, la aparición de relaciones sociales localizadas que promueven los efectos del aprendizaje y la innovación (efectos secundarios del conocimiento) (Audretsch, Keilbach y Lehman, 2006; Decarolis y Deeds, 1999). Rabellotti (1995) añade dos factores adicionales: la existencia de un fondo cultural y social cumún, que vinculan a los agentes económicos y crean un código de conducta a veces explícito, pero a menudo implícito, y una red de instituciones locales, públicas y privadas, que apoyan a los agentes económicos que interactúan dentro del distrito. La autora además menciona dos características fundamentales asociadas al proceso productivo, que deben ser tomadas en cuenta en los estudios de caso: (1) debe existir un alto grado de flexibilidad en el mercado laboral, con un uso intensivo de la fuerza de trabajo doméstica, posibilitando que el proceso de adaptación de los trabajadores sea más simple y rápido para reaccionar rápidamente a los cambios en la demanda del mercado; (2) una especialización profesional alta, dada por la división en fases del proceso productivo entre varias empresas, que permite una mejor explotación de las diferentes economías de escala y una mayor capacidad de innovación que en las empresas integradas verticalmente. En un distrito, los trabajadores comienzan a trabajar normalmente a una edad temprana y, durante los primeros años, los salarios más bajos se compensan con la transferencia de conocimientos y know-how específicos. En muchos casos, el trabajador calificado comienza su propio negocio después de un tiempo como empleado, convirtiéndose luego en un pequeño empresario (Becattini y Musotti, 2008). También deben existir acciones de cooperación y competencia entre los actores del distrito en la forma de coopetición (Rabellotti, 1995; Brusco, 1990; Bianchi, 1992). Otro factor determinante es el papel de la familia (Bianchi, 1992), que aparece como un sistema de bajo costo, de asignación de la fuerza laboral, y un sistema de reproducción y circulación del conocimiento técnico y de gestión dentro del distrito (Rabellotti, 1995). Por último, la autora habla del papel de las instituciones dentro del distrito (asociaciones locales de empresarios y gobiernos locales), que crean centros de servicios especializados e iniciativas para apoyar al sector industrial del distrito y fortalecer sus infraestructuras (Brusco, 1990; Bianchi, 1992, en Rabellotti, 1995). Son los llamados Sistemas Productivos Locales (SPL), definidos por Sforzi como “formaciones histórico-territoriales, que surgen a partir de procesos de industrialización territorial” (2005, p. 3) dentro de un espacio geográfico relativamente reducido y con límites claramente definidos. Sin embargo, la mera proximidad geográfica de empresas no necesariamente propicia la formación de un SPL. Las empresas tienen que integrarse al territorio a partir de una serie de interdependencias extraeconómicas que les permite ampliar las relaciones entre sus actores y desarrollar conocimientos específicos (Dei Ottati, 1994; Sforzi, 2005). El funcionamiento de los SPL genera sinergias entre los factores productivos, sociales, culturales e institucionales, ayudando en la organización del sistema productivo, la difusión de conocimientos, la innovación, la cooperación entre empresas, la conformación de un mercado de mano de obra especializada, la formación de un mercado de bienes intermedios o el acercamiento a proveedores de bienes y servicios (Dematteis y Governa, 2005). Todo lo anterior requiere llevar a cabo análisis de distritos relacionando el contexto social y económico de referencia, lo que implica cambiar la atención del concepto de “espacio productivo del distrito” al de “distrito-territorio” (Becattini y Musotti, 2008, p. 76), como un producto de la interacción histórica y geográficamente limitada entre una comunidad y sus alrededores. Para lograr estos objetivos, la mayor parte de autores coinciden en la importancia del enfoque analítico puramente cualitativo del “estudio de caso”, dado el carácter intangible de muchos de los factores que deben analizarse (Mecha, 2001, Méndez, 2001). Por eso los estudios deben estar basados en técnicas etnográficas y documentales, realizadas con una variedad de actores locales”, con el objetivo de captar su autocomprensión respecto al fenómeno analizado (Escobar, 2007).
2. Metodología
La metodología utilizada en la presente investigación ha buscado obtener información in situ, sistemática y no invasiva (Kawulich, 2005), a través de varios métodos: 1) amplia revisión de fuentes bibliográficas primarias y secundarias relacionadas con desarrollo local e industrial. Los estudios de documentación realizados permitieron recopilar información a través de la revisión de la literatura y noticias publicadas en médios impresos y digitales sobre el sector analizado. 2) observación participante, estableciendo relaciones cercanas con la comunidad distrital en su propio ambiente, para comprender mejor la realidad, los orígenes y la evolución de los fenómenos sociales, culturales, económicos y productivos que caracterizan el territorio de estudio, a partir de las experiencias de los actores locales (Albert, 2007); 3) entrevistas individuales semiestructuradas, con el objetivo de obtener información para elaborar los indicadores cualitativos (Hernádez, Fernández y Baptista, 2010).
Las técnicas de recolección de información anteriormente indicadas se aplicaron según las siguientes fases: a) se eligieron a los informantes, 23 personas (miembros de la comunidad, artesanos y representantes sectoriales de la Asociación de Artesanos Manufactureros de Cotacachi), durante el año 2017; b) se elaboraron las guías de entrevistas para la recolección de información; c) se realizó el levantamiento de información mediante la observación, visitas a las empresas, conversaciones informales y entrevistas; d) se realizó el análisis de los datos y la retroalimentación con los actores involucrados en el estudio. La información recopilada se contrastó luego con las variables cualitativas que caracterizan el esquema teórico-conceptual de distrito industrial italiano (Tabla 1) (Becattini, 1979, 1989, 1995, 2002; Sforzi, 2005, 2009; Dini (1997); Dei Ottati (1994); Rabellotti, 1995, 2004, 2012a, 2012b), considerando que los distritos industriales reproducen, en un alto grado, las condiciones existentes en su entorno. Estos indicadores, sistematizados por Becattini con referencia al distrito de Prato, fueron utilizados para estudiar el proceso aglomerativo de Cotacachi, aplicando un método comparativo de carácter inductivo y buscando encontrar semejanzas y diferencias, para así poder llegar a generalizaciones. Con ello se buscó determinar si el sector del cuero de Cotacachi puede considerarse, o no, un distrito industrial respecto al marco teórico de referencia representado por la experiencia de Prato.

Sin embargo, como señala Becattini (1989), el concepto de distrito industrial contiene ciertas variables que escapan a los análisis cualitativos, por lo que es necesario utilizar instrumentos cuantitativos para complementar su estudio. Para analizar el distrito, Signorini (1994a) y Staber (1997) enfatizan la necesidad de que la información estadística tenga la mayor desagregación sectorial posible en la esfera territorial y nacional; un requisito que a menudo choca con la falta de datos con referencia a esa dimensión geográfica y espacial de análisis. En Italia, para identificar los distritos industriales, se ha utilizado la metodología implementada por Sforzi (1990), aplicada junto con el Instituto de Estadística Italiano (ISTAT), a partir de los sistemas locales como entidad territorial básica (Sforzi y Boix, 2016). Soler (2000) mide el “efecto distrito” (Signorini 1994b, 2000) partiendo del supuesto de Signorini de que una cierta concentración espacial no implica necesariamente la existencia de una especialización sectorial, y evalua numéricamente el cumplimiento de las condiciones de Marshall y Becattini a través de dos indicadores: a) el Coeficiente de Especialización sectorial (CE); b) el Índice de Herfindahl (HHI).
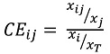
El Coeficiente de Especialización sectorial (CE) permite identificar aglomeraciones de industrias en un área geográfica definida, asumiendo que un alto grado de especialización productiva en un sector es una condición necesaria para la existencia de un distrito industrial y la producción de externalidades marshallianas (Soler, 2000). El CE mide la mayor o menor presencia del sector productivo i en el territorio específico j, con respecto a la presencia del mismo sector en un territorio de referencia T (región o país). Tomando como variable el empleo por sector,6 el CE se calcula a partir de la siguiente expresión:7
[Ecuación 1]donde xij es el número de empleados en el sector de fabricación de cuero (i) en el Cantón de Cotacachi (j), xj es el número de empleados industriales del Cantón de Cotacachi, xi es el número de empleados de la fabricación de cuero a nivel nacional y xT es el total de empleados industriales en el total nacional. Cuando CE > 1, el peso relativo del empleo en la manufactura de cuero en una determinada región es mayor al promedio nacional y, por lo tanto, denota una aglomeración de empresas especializadas en el sector; lo contrario sucede cuando CE < 1. Cuando CE = 1, se está en presencia de idénticas proporciones de empleo sectorial entre la región y el promedio nacional (Soler, 2000).
El segundo indicador que permite completar la imagen de distrito industrial es el índice Herfindahl-Hirschman (HHI), que permite medir el grado de especialización y diversificación sectorial de las aglomeraciones industriales. Se parte del supuesto de que aquellas aglomeraciones que muestran una especialización o diversificacion productiva tendrán las precondiciones para la presencia de un distrito industrial; por el contrario, aquellas que muestran diversificación sectorial pueden generar otro tipo de externalidades, que no son las contempladas en el efecto distrito. Nuevamente, utilizando el número de empleados por empresa en cada sector y cantón, el HHI se calcula a partir de la siguiente expresión:
[Ecuación 2]donde si es el procentaje de empleados de cada empresa en la industria del cuero respecto a los empleados del sector industrial. El HHI se calcula sumando la participación en el empleo de todas las empresas del sector en cada cantón. Al elevar este resultado al cuadrado, se da más peso a las empresas con una mayor participación de mercado. Su valor oscila entre 1/n (muchas empresas de igual tamaño que tienen la misma participación en el empleo, mostrando un mercado de competencia perfecta) y 1 (especialización o concentración máxima, donde sólo una compañía tiene toda la participación en el empleo, mostrando un mercado monopólico).
En resumen, los enfoques analíticos cuantitativo y cualitativo se complementan entre sí en este contexto, ayudando al investigador a obtener una interpretación más completa de las dinámicas de crecimiento y desarrollo de un cluster industrial. Estos análisis permiten tener “una visión global del fenómeno, que incluye consideraciones de índole histórica, geográfica, social, económica, política, cultural, sociológica, e interacciones a nivel local entre redes sociales e industriales y la distribución territorial de las empresas” (Diez y Verna, 2012, p. 83).
3. Resultados
En Ecuador, las MIPYMEs representan casi la totalidad de tejido productivo, con el 99,5% del total de las empresas (90,5% de micro-empresas y 9% de pequeñas y medianas empresas) (Instituto Nacional de Estadística y Censos del Ecuador [INEC],82016). Uno de los principales problemas de las MIPYMEs del país es su baja productividad, lo que las hace poco competitivas en un entorno cada vez más globalizado (Hernández y Cely, 2003). Esta baja productividad tiene su origen en un conjunto de factores que caracterizan a las empresas del país: uso intensivo de mano de obra, escaso desarrollo tecnológico, baja división del trabajo, baja dotación de capital, reducida capacidad de ahorro, limitado acceso a los servicios financieros y no financieros existentes y ausencia de políticas gubernamentales a favor de las empresas (Aguiar et al., 2013). Sin embargo, en el país se han desarrollado algunos procesos aglomerativos entre las MIPYMEs cercanas en el territorio, que han tratado de contrarrestar las amenazas de la globalización, buscando obtener una mayor competitividad. La siguiente imagen muestra la posición geográfica de las principales aglomeraciones de empresas del Ecuador, la mayoría de las cuales están ubicadas en las áreas rurales de la Sierra del Norte y Centro y se concentran en los sectores industriales de producción de alimentos, flores y textiles y servicios turísticos. Entre ellas se encuentra la aglomeración industrial de fabricantes de artículos de cuero de Cotacachi, objeto de nuestro estudio (No 9 en la Figura 2), un área comercial y de producción muy conocida en el país (Plan De Desarrollo y de Ordenamiento Territorial [PDOT], 2011), compuesta por empresas territorialmente localizadas y aglomeradas, que tradicionalmente se han dedicado a la producción de artículos de cuero como parte de su identidad cultural.

Cotacachi es un cantón de la Provincia de Imbabura, a 103 km al Norte de Quito; cuenta con 2 parroquias urbanas y 8 rurales. Su población es de 44.772 habitantes, de los cuales el 26% (11.641 habitantes) pertenecen a la población urbana, según el Censo de Población 2010 (INEC, 2010). La ciudad de Cotacachi, en donde se encuentar ubicado el sector productivo de estudio, contiene dos parroquias urbanas (El Sagrario y San Francisco), 25 barrios y 24 comunidades. Las dos parroquias urbanas se han articulado alrededor de una arteria central, la calle 10 de Agosto, en donde se ubican los locales comerciales y los talleres de venta directa de artículos de cuero (Figura 3, zona marcada en violeta) y que resulta ser la prosecución de la arteria de acceso principal al casco urbano. La parroquia de El Sagrario se sitúa al Norte de la calle 10 de Agosto, mientras que San Francisco se encuentra al Sur. Los talleres productivos y las curtiembres están concentrados fuera de esta calle, pero alrededor de esa, los primeros en el Norte del casco urbano (zona azul) y los segundos en el Sur (zona amarilla). Esta organización espacial demuestra una marcada articulación tanto de las actividades productivas como de las de venta y comercialización inmediatamente cerca de esta calle 10 de Agosto, mezclándose con los núcleos habitados y constituyendo una aglomeración habitativa, productiva y comercial a la vez. Fuera del casco urbano se encuentran ectarias de espacio agrícola y rural que comprueba los altos porcentajes todavía existentes de población dedicada a esta actividad productiva y no involucrada aún en la industria del cuero. De hecho, el casco urbano-distrital de Cotacachi aparece aislado de su entorno, sin reales conexiones con ciudades limítrofas en este sentido y sin haber propiciado la formación de una red productiva bien articulada en el territorio, y que se extiende hasta incorporar en la misma lógica y especialización productiva otros territorios, como se dio en la historia evolutiva del distrito de Prato.

La actividad económica ancestral del cantón ha sido la agricultura, pero desde el siglo XIX los talleres de cuero artesanal fueron ganando fuerza y proliferando en las zonas urbanas, convirtiéndose hoy en la principal fuente de empleo e ingresos para la población local. El desarrollo de este sector, que coincide con el aumento de la actividad manufacturera en el país desde 1950, ha involucrado cada vez más a la comunidad de la ciudad de Cotacachi, que fue abandonando gradualmente la agricultura, que fue quedando relegada a las áreas suburbanas y rurales del cantón. De acuerdo con el Registro de Patentes Municipales del año 2010, existía un total de 529 establecimientos registrados en la zona urbana. Cerca de un 36% de ellos pertenecían al sector manufacturero y artesanal del cuero, lo que demuestra su importancia dentro de las actividades económicas del cantón. Esta información fue contrastada con los registros de la Asociación de Artesanos Manufactureros de Cotacachi. En el SPL de Cotacachi existen tres líneas de producto diferentes, aunque, en general, las empresas se especializan en una sola: vestimenta (chaquetas, pantalones, sombreros, chalecos), marroquinería (carteras, cinturones) y calzado. De acuerdo con el Plan de Desarrollo y Ordenamiento Territorial (PDOT, 2011) del cantón, basado en el Plan de Negocios de la Asociación de Municipalidades Ecuatorianas del Municipio de Cotacachi, sus artesanos produjeron el 90% de la vestimenta de la provincia de Imbabura, el 75% de la marroquinería y el 10% del calzado, aunque en los últimos años se observa un incremento en la producción de calzado. Al interior de las empresas se integran todas las fases de la cadena productiva, desde la recepción de la materia prima hasta la comercialización del producto final (Figura 4).

Según el PDOT (2011), la comercialización de los artículos de cuero en un mayor porcentaje se la realiza a través de los propios almacenes (64%), un 16% va al consumidor final, un 11% en ferias y el 9% en otras formas de ventas de los productos.
Las empresas del sector están constituidas por núcleos familiares, en donde la fuerte identidad territorial, los conocimientos (tácitos más que codificados9), los principios y tradiciones en la manufactura en cuero, han ido transmitiéndose por generaciones, resaltando el rol de la familia en el desarrollo de la actividad. Este modelo productivo implicó un aumento del mercado laboral, que demandaba la inclusión de trabajadores (artesanos) especializados y no especializados (ayudantes) en todas las fases del proceso dentro de las empresas. Según la Sociedad de Artesanos de Cotacachi, al principio los talleres manufactureros estaban conformados por un promedio de 5 personas; pero, en la década de los ’90, algunos talleres llegaron a alcanzar los 25 empleados, casi todos pertenecientes a una misma familia. En esa época se abrieron nuevos mercados a nivel nacional, lo que incrementó los volúmenes de producción y les incentivó a mejorar la calidad de los artículos de cuero.
A finales del siglo XX, el Ecuador atravesó por un período de recesión económica, con una fuerte devaluación de su moneda y el debilitamiento de la industria nacional, que encareció las materias primas y ocasionó la pérdida de competitividad en las prendas elaboradas. La crisis impactó negativamente en las empresas del conglomerado que, en su afán de mantenerse operativas, optaron por la reducción de trabajadores. De esa manera, consiguieron paulatinamente ir adaptándose a un nuevo escenario, bajo condiciones de demanda inferiores a las anteriores décadas. El número de empresas se mantuvo y ha seguido casi constante hasta la actualidad. Así el sector quedó conformado prácticamente en su totalidad por micro y pequeñas empresas de limitadas dimensiones y bajos volúmenes de producción; en 2004 el promedio de trabajadores por empresa volvió a situarse en torno a los 5 miembros. Las empresas continuaron integrando todas las fases de la cadena de producción, aunque con una organización interna simple y sin distinción de tipo jerárquico.
A continuación se muestran algunos datos económicos obtenidos de la base de datos del DIEE (INEC, 2016), que permiten dimensionar la representatividad del sector el cuero en el sector industrial a nivel nacional, en la provincia de Imbabura y en sus principales cantones (Tabla 2). En total se han tenido en cuenta 1507 empresas de la provincia de Imabura, de las que 194 pertenecen a Cotacachi. En esta primera parte del análisis cuantitativo se trabajó con el universo completo de empresas del cuero10.

El DIEE (INEC, 2016) cuenta a nivel nacional con un total de 116.986 empresas en el sector industrial, una producción de 30.111 millones de dólares, 396.706 empleados y 3.205 millones de dólares en salarios. Las actividades relacionadas con el cuero tienen un peso relativamente bajo en la actividad industrial del país: 8,1% de las empresas industriales, 1,2% de la producción, 4,3 % del empleo y 2,8% de los salarios industriales percibidos a nivel nacional. Respecto al cantón de Cotacachi, se puede observar la presencia de una actividad industrial muy baja en comparación con los otros cantones de Imbabura (Ibarra, Antonio Ante y Otavalo); sin embargo su especialización en el sector del cuero es muy alta: 41,4% de las empresas, el 61% de las ventas, el 51,5% del empleo y el 54,2% de los salarios percibidos por los trabajadores industriales del cantón. Antonio Ante le sigue, aunque su producción está más orientada a la producción y comercialización de prendas de vestir, entre las que se incluyen de forma importante las confecciones de cuero. La baja producción en el sector de cuero, en comparación con el número de empresas, indica una baja productividad en el sector (Tabla 3).

La productividad de los trabajadores del sector de cuero a nivel nacional es alrededor del 35% de la productividad de toda la industria. Todos los cantones de la provincia de Imbabura presentan productividades en el sector del cuero inferiores a la media nacional, siendo Ibarra la más productiva, aunque sus ventas por trabajador tan sólo llegan al 6% del promedio nacional, seguida de Cotacachi (4,8%) y Otavalo (2,3%). Sin embargo, al comparar la productividad del cuero en cada cantón con la de la industria cantonal, se observa que en el caso de Cotacachi llegaron a alcanzar una productividad de casi 150% en comparación con la productividad promedio industrial del cantón en 2014. Estos datos muestran la ventaja comparativa de este cantón en el sector del cuero, gracias a la su especialización productiva en esta actividad. No obstante, a partir de 2015 se produce una fuerte contracción en la productividad del Cotacachi, que ha repercudito negativamente en su productividad. Esta reducción se explica por la importante disminución en las ventas del sector en comparación con otras actividades industriales (una reducción de casi el 31%). Sin embargo, el empleo se redujo en menor medida (un 12%). Según los comerciantes de cuero de Cotacachi, esta caída en las ventas se debe al hecho de que los turistas nacionales y extranjeros frecuentemente se dirigen a la zona fronteriza entre Ecuador y Colombia para comprar productos similares (chaquetas, bolsas y zapatos en particular) a precios más bajos (El Telégrafo, 10-09-2016).

Los salarios pagados por el sector del cuero son bajos respecto a otros sectores industriales (Tabla 4). A nivel nacional crecieron durante el período analizado (2006-2016), pasando del 66,2% en 2006 al 72,32 % en 2016 de los salarios pagados a nivel industrial. Todos los cantones de la provincia de Imbabura están pagando salarios a sus trabajadores por debajo del salario industrial nacional: Antonio Ante es el caso más extremo con un 42% en 2016 (USD 3,416 por año), mientras que Ibarra, Otavalo y Cotacachi están cerca del 50%. En el caso de Cotacachi la proporción más alta se alcanza en 2013, pero desde entonces se ha produjo una caída paulatina hasta la actualidad. A pesar de ello, el salario en términos absolutos se ha mantenido prácticamente constante desde 2013, mientras que el salario medio del sector industrial a nivel nacional registró un crecimiento del 14% entre 2013 y 2016.
Si se combinan estos datos con la caída general en las ventas del sector de cuero de Cotacachi a partir de 2014, se puede afirmar que el sector ha respondido a la crisis con una reducción discreta en el empleo, lo que ha repecutido negativamente en su productividad laboral y en una disminución en el poder adquisitivo de sus trabajadores al congelar los salarios, como mecanismo para ganar competitividad.
Este primer análisis exploratorio se complementa con el cálculo del Coeficiente de especialización (CE) y del Índice Herfindahl-Hirschman (HHI) (Soler, 2000). La evolución del CE se muestra en la Tabla 5. Cotacachi es con diferencia el cantón con mayor especialización productiva de la provincia de Imbabura, con un CE de más de 25 puntos, permaneciendo constante desde 2010; el resto de cantones tienen una especialización más marcada hacia otros sectores.

Respecto al HHI, a nivel nacional, (Figura 6) el sector del cuero parece tener una distribución bastante equitativa de la cuota de empleo entre sus empresas, con un valor bajo y una tendencia decreciente desde 2009. Esto significa que el sector está evolucionando hacia la participación de un mayor número de pequeñas empresas con un número similar de empleados. En la provincia de Imbabura sólo se tienen datos de los cantones de Ibarra, Cotacachi y Otavalo. La que mayor concentración presenta es Otavalo, aunque con una evolución bastante volátil, seguido por Ibarra, donde se observa un claro proceso de diversificación hacia pequeñas empresas similares entre sí, entre 2006 y 2010. Las empresas de Cotacachi son las que presentan un HHI menor (mínima concentración), con un valor incluso inferior al promedio nacional y con una tendencia hacia una distribución más equitativa en la participación de empleo y, por tanto, del mercado entre sus empresas.

Estos primeros resultados parecen confirmar la existencia en Cotacachi de una aglomeración industrial altamente especializada en el sector del cuero y con baja concentración empresarial, ofreciendo las precondiciones para la existencia de un distrito industrial y de externalidades marshallianas (Soler, 2000).
4. Discusión
Uno de los empresarios curtidores entrevistados, Marco Hidalgo (24/06/2017), señala los principales problemas que enfrenta el sector productivo de Cotacachi: la débil articulación entre empresas, la falta de actividades conjuntas para solucionar dificultades internas del sector, la falta de interés hacia actividades conjuntas, un ambiente de alta competencia y poca cooperación, un acceso desigual a proveedores y servicios, la presencia de comportamientos oportunistas, una descoordinación entre sector manufacturero, sectores sociales y Gobierno local. Estas ideas coinciden con algunas características que son abordadas en el esquema analítico-teórico de Marshall-Becattini, presentadas en la Tabla 1.
En este apartado se analizarán las caracterísitcas de distrito del sector del cuero de Cotacachi a partir de las variables cualitativas que forman parte del citado esquema, en base a la experiencia de Prato. Esta información es complementda con las entrevistas realizadas.
1) Un territorio delimitado. Tanto el caso asociativo de Cotacachi como el distrito de Prato tienen más de un siglo de historia y están ubicados en un territorio definido. Cotacachi se ha consolidado como un importante centro de producción de artículos de cuero en el Norte del país, formado por un “mosaico” de microempresas especializadas. Si bien las empresas son pequeñas, la dimensión conjunta del sector es relevante. Su tamaño determina los límites y las posibilidades para lograr economías externas y ventajas de especialización. En Prato, por el contrario, la expansión del distrito pudo sobrepasar los límites provinciales y extenderse hacia otras provincias como Pistoia y Florencia, contribuyendo al fortalecimiento de ciudades intermedias, que se convirtieron en “verdaderas ciudades […] innovadoras, capaces de definir estrategias propias de desarrollo y de buscar nuevos caminos para alcanzarlo” (Méndez, 2006, p. 28). En Cotacachi esto no ha sucedido, en lugar de generar conexiones y colaboraciones entre realidades cercanas, se ha visto más bien el nacimiento de otras actividades productivas afines que compiten entre sí.
2) Una comunidad de personas. La autenticidad e irreplicabilidad del distrito se deben a su población, origen, historia, costumbres, conocimientos, asi como a los principios y valores que en ella se encuentran y que se ponen en práctica en las actividades económicas (Becattini, 1989). La presencia o agrupamiento de los trabajadores dentro de una misma localidad, implica generalmente la pertenencia a un mismo entorno socio-cultural, lo que genera un férreo sentimiento de identificación con el territorio. Esta es una característica históricamente importante del distrito industrial (Marshall, 1890). Tan Prato como Cotacachi tienen un porcentaje importante de su población dedicada a las actividades productivas del distrito durante décadas. Ambas comunidades comparten principios que son transmitidos de generación en generación. La literatura consultada sobre Prato (Becattini, 1979, 1989, 1995, 2002a,b; Dini, 1997), menciona el importante apego de su población al entorno sociocultural local, un sentido de pertenencia al territorio, una clara identificación con la actividad textil como actividad económica propia del lugar; además resalta la capacidad organizativa e innovadora así como la gran dedicación al trabajo de su población. En el caso de Cotacachi, los actores entrevistados coincidieron con lo evidenciado en Prato. Según Carlos Andramunio (23/06/2017), miembro de la comunidad, las labores en los talleres son continuas y se trabaja hasta fines de semana, lo que da muestras del nivel de dedicación de la población. La cultura y las tradiciones relacionadas durante generaciones con los talleres artesanales se reflejan en una serie de principios, autorregulados por la comunidad de artesanos, que se ponen en práctica en el trabajo productivo.
La sociedad cotacachence ha evolucionado constantemente de manera coherente con el desarrollo de la producción y ante cambios drásticos en ciertos momentos históricos; sin embargo, las empresas locales continúan perteneciendo a hogares, destacando el papel central de la familia y la economía familiar (Sabel y Zeitlin, 1985), en el desarrollo de la empresa y el sector. Una característica que diferencia a las empresas manufactureras de Cotacachi respecto a las empresas de Prato, es que siguen actuando de forma predominantemente individual, enfrentando, precisamente por su reducido tamaño, problemas de competitividad de sus productos y servicios, de acceso a la financiación y a la información para llevar a cabo sus inversiones o incluso para realizar actividades de innovación.
Los valores éticos y morales están presentes en la comunidad de Prato, siendo la ética laboral la principal cualidad de sus habitantes, lo que implica la práctica de valores como la confianza, lealtad, solidaridad, compromiso o apoyo mutuo. Con ello han logrado construir y mantener un alto capital social. En Cotacachi, estos valores son sólo parcialmente puestos en práctica y se evidencian únicamente al interior de microrredes de empresas, pero no en el distrito en general, por lo que el desarrollo del capital social está limitado a estos ámbitos.
La transferencia de conocimientos, de valores y principios, es facilitada por las interacciones de personas gracias a la proximidad geográfica entre empresas. En Prato, el conocimiento y los valores tácitos fueron aprendidos y transmitidos de generación en generación en el núcleo familiar (Tattara y Volpe, 2003), y fuera de él, gracias al alto nivel de confianza entre sus agentes, lo que facilitó la innovación de productos y procesos. También existe un abundante conocimiento codificado, fruto de la profusa literatura que ha analizado su caso. En Cotacachi, los principios y tradiciones también han ido transmitiéndose de generación en generación, lo que resalta el rol de la familia en el desarrollo de la actividad; sin embargo se ha producido una interrupción en el flujo de transferencia de conocimiento entre padres e hijos y sin el apoyo de instituciones designadas para mejorar la difusión del conocimiento tácito (Rabellotti, 1995), a través por ejemplo de su codificación. Esto ha llevado a que el proceso de absorción del conocimiento sea asimétrico y selectivo entre las empresas de Cotacachi (Morrison y Rabellotti, 2009), contradiciendo en este aspecto, el concepto de “atmósfera industrial” marshalliana.
3) Una población de pequeñas y medianas empresas especializadas. Un modelo distrital se caracteriza por la presencia, en un territorio, de una población de empresas principalmente pequeñas y medianas, especializadas en una fase específica del proceso productivo, ligadas por su origen por el mercado y por el sector (Becattini, 1989). La aglomeración de empresas produce un efecto de atracción hacia clientes, proveedores y profesionales, que aumenta la eficiencia de los respectivos mercados (Dini, 1997). La cadena productiva se subdivide en procesos y las redes de empresas dentro del distrito no sólo colaboran de forma horizontal, sino que presentan formas interesantes de integración vertical y diagonal. Una aglomeración de empresas que interactúan en un mismo territorio, se transforma en distrito industrial cuando, junto a la producción principal del sector, se ejecutan procesos de asistencia o de apoyo como la producción de maquinaria y herramientas para el mismo sector (Becattini, 1989). De esta forma surge el ‘medio innovador’, entendido como un conjunto de avances tecnológicos continuos y endógenos, que incrementan la productividad (Venacio, 2007) y contribuyen al desarrollo del territorio.
Tanto en Prato como en Cotacachi, existe una alta concentración de empresas dedicadas a la actividad productiva del distrito. Desde el siglo pasado, los talleres artesanales locales de artículos de cuero de Cotacachi han ido cobrando fuerza y proliferando en la zona urbana, posicionándose como la actividad que más ingresos genera a la población. Esto incentivó a los pobladores a ir abandonando las labores agrícolas, quedando relegadas a los sectores rurales del cantón. La actividad manufacturera entró en auge desde la segunda mitad del siglo XX, cuando el aumento de la demanda nacional trajo beneficios económicos importantes al territorio, induciendo a la comunidad a involucrarse cada vez más activamente en las actividades productivas. Las empresas que forman parte del sector, han estado y siguen estando constituidas por núcleos familiares, en donde la fuerte identidad territorial, los conocimientos, principios y tradiciones, entre ellas la manufactura en cuero, han ido transmitiéndose a lo largo de los años. Si bien las empresas son pequeñas, la dimensión conjunta del sector es relevante, ya que su tamaño determina los límites y las posibilidades para obtener economías externas y ventajas de especialización; sin embargo, han continuado siendo netamente artesanales. Las empresas de Prato son también de origen familiar, pero su actividad, originalmente artesanal, paulatinamente se ha ido industrializando. En la actualidad, existe una alta especialización empresarial en diferentes procesos de la cadena productiva del sector textil: el modelo productivo pratense subdivide las etapas del proceso productivo y luego las integra; en cada etapa intervienen varias empresas de dimensiones pequeñas y muy pequeñas. Generalmente, su producción se basa en procesos cortos que se realizan específicamente bajo órdenes de sus clientes. Prato, además, cuenta con un importante sector de apoyo empresarial, especializado en construcción de la maquinaria textil, comercialización y logística.
Las empresas de Cotacachi, por lo general, se han especializado en una sola línea de producción (marroquinería, calzado o vestimenta). Cada unidad integra todas las etapas de la cadena productiva y actividades relacionadas, desde la recepción de la materia prima hasta la comercialización del producto final, dando lugar a una particular forma de especialización. Al interior de las empresas, cada empleado o grupo de empleados se encargan de un proceso específico de la cadena productiva. Este modelo productivo implicó un aumento de la oferta laboral y demandó la inclusión de trabajadores (artesanos) especializados y no especializados (ayudantes) en todas las fases del proceso en una misma empresa. Poco a poco, se fueron abriendo nuevos mercados a nivel nacional, lo que permitió incrementar los volúmenes de producción y mejorar la calidad de los artículos de cuero. Sin embargo, no existe un alto nivel de cultura industrial que propicie un ambiente de confianza, lo que limita la generación de vínculos fuertes en el conglomerado. Esto se debe, según la artesana Elizabeth Narváez (5/07/2017), a que las empresas de Cotacachi están expuestas al plagio de sus productos, por lo que las actividades productivas se han realizado por separado como una medida de protección tomada por las empresas. Los escasos vínculos interempresariales del distrito no tienen como objetivo coordinar la producción sectorial, pero si buscan obtener representatividad en organismos como las asambleas cantonales, para poder así difundir las necesidades del sector y solicitar a las autoridades locales que se tomen medidas, sobre todo en lo referente a infraestructura, servicios básicos o exenciones fiscales.
En Cotacachi, en los últimos años se han ido formando espontáneamente microrredes homogéneas de empresas, unidas por sólidos vínculos de confianza, solidaridad y lealtad. Las microrredes se establecieron de manera estratégica para incluir entre sus miembros a las empresas de las tres líneas de producción (vestimenta, marroquinería y calzado), abasteciéndose entre ellas como primer mercado, pero con la posibilidad de proveer a sus clientes externos por separado, todo tipo de manufacturas. Dentro de las microrredes, los actores trabajan en un ambiente predominantemente informal de normas tácitas y de confianza, que fomentan la cooperación entre ellos para alcanzar objetivos o beneficios comunes y mejoran la eficiencia de sus empresas (Putnam, Leonardi y Nanetti, 1994). En ellas existe un alto nivel de conocimientos técnicos (know-how), se coordinan las tareas, se establecen los estándares y se trabaja en conjunto para aumentar los volúmenes de producción, para cubrir las órdenes de trabajo y satisfacer las solicitudes que una sola empresa no podría. Además, se comparten proveedores y se intercambian conocimientos, trabajadores e incluso materias primas para la producción. Este proceso de formación de microrredes coincide con la etapa embrionaria del distrito de Prato, como una “fase pionera pre-cluster” (Henn y Bathelt, 2017, p.13), caracterizada por la presencia de aglomeraciones de pequeñas empresas en gran medida desconectadas entre ellas, excepto dentro de las microrredes. Fuera de estos microcosmos, las empresas actúan generalmente de forma independiente.
Los vínculos que mantienen las empresas de Prato han sido mayoritariamente informales, donde los contactos cara a cara generan confianza mutua. Las actividades empresariales son similares o complementarias, debido a la necesidad de trabajar en conjunto para completar las fases de la cadena productiva. La inclusión de la comunidad ha dado origen a una atmósfera industrial, dentro de la cual se comparten proveedores, se intercambian conocimientos, trabajadores y hasta materiales para la producción. En Cotacachi, los principales vínculos entre sus empresas se da a través de la Sociedad de Artesanos, creada en 1911 y cuyos miembros pertenecen a diversas ramas artesanales, como la mecánica o la construcción, y que generalmente se vinculan con los manufactureros del cuero para realizar labores de mantenimiento de maquinaria o de infraestructura. Esta Sociedad constituye un elemento fundamental y característico de la comunidad, en donde se desarrollan funciones encaminadas a la consecución de objetivos económicos y sociales comunes. A pesar de ello, algunos factores han limitado este proceso. Ramiro Yépez (21/06/2017), presidente de la Sociedad de Artesanos, señala que una de las principales limitantes, es la fuerte dependencia hacia sectores externos para obtener el cuero, buscando otros lugares del país o del exterior, donde la curtiembre ha logrado un desarrollo técnico mayor. Los demás insumos, tales como herrajes, fondos, cuerdas, cierres, entre otros, también son en su mayoría importados desde Colombia y en menor medida desde Perú. La limitada disponibilidad de materia prima en el lugar se debe a factores técnicos y culturales. Marco Hidalgo (24/06/2017), empresario curtidor cotacacheño, menciona que la industria de la curtiembre (como proceso previo para obtener cuero como materia prima para la manufactura), no se ha desarrollado en la zona debido a que sus procesos industriales demandan el consumo de grandes cantidades de agua baja en minerales; sin embargo en el territorio, el agua que se puede obtener es rica en minerales, lo que afecta negativamente a la calidad del cuero y hace necesario un pre-tratamiento para que sea aprovechable. Este hecho ha desincentivado el desarrollo de la industria de la curtiembre, motivando a las empresas manufactureras a comprar la materia prima fuera del territorio. De acuerdo con Luis Saavedra (23/06/2017), empresario cotacacheño, la fuerte dependencia hacia sectores externos,11 sumada a los pocos vínculos dentro del distrito, incentivaron la proliferación de comportamientos oportunistas entre las microrredes que compiten entre sí, generando un desigual acceso a proveedores, disputándose los mercados y limitando la disponibilidad de mano de obra.
Ambas aglomeraciones han desarrollado redes horizontales y verticales. En Prato existen redes horizontales entre pequeñas empresas y artesanos especializados en un mismo eslabón de la cadena productiva (López 2003). Las redes verticales se dan a través de la integración entre proveedores, empresas productoras y comercializadoras, generalmente dominadas por una o varias empresas grandes que se nutren de pequeños proveedores de insumos (López 2003). Finalmente, las redes diagonales están conformadas por empresas de diferentes subsectores asociados a la actividad textil (proveedores, producción, maquinaria textil, comercio, transporte, etc.), que buscan sinergias entre ellas. En Cotacachi, las redes horizontales son escasas, aunque se aprecian grupos pequeños dentro del distrito, donde las relaciones son fuertes (las microrredes). Dentro de ellas no hay una clara posición dominante de unas empresas respecto a otras, por lo que cualquier empresa o artesano acepta órdenes de sus similares en lo referente a sus actividades productivas. Las redes verticales son también escasas y no existen mecanismos de subcontratación y reparto del ciclo de producción en varias empresas, ni tampoco existe empresas de mayor dimensión que puedan generar este proceso, lo que limita su capacidad para relacionarse y mantener nexos económicos con otras empresas. Por tanto, la obligación de tener que trabajar juntos se acompaña con la presencia del individualismo y la búsqueda de ventajas típicas de cada empresario en un contexto de mercado. Los procesos de integración vertical de las diversas fases de la cadena de producción se han dado más bien dentro de la misma empresa, desde la recepción de la materia prima hasta la comercialización del producto final. Las expectativas de integración vertical de los productores de artículos de cuero se han visto también limitadas por la fuerte dependencia por la materia prima de calidad, procedente de proveedores dentro y fuera del país, pero fuera del distrito y del cantón, debido a factores ambientales, culturales y técnicos. Como resultado, las empresas compiten entre sí por los mismos mercados, generando un acceso desigual a proveedores y limitando la disponibilidad de trabajo calificado. Finalmente, las redes diagonales se dan a través de vínculos con otros sectores como el de la mecánica y el de la construcción para labores de mantenimiento y desarrollo de infraestructura.
No obstante, se encuentran algunos elementos que muestran un cierto cambio en el comportamiento en términos de estrategias evolutivas entre las empresas de Cotacachi. El primero está relacionado con los vínculos familiares extendidos: al ser Cotacachi una comunidad pequeña, el parentesco familiar al interior de las empresas comenzó a extenderse entre miembros de diferentes empresas, lo que ha permitido aumentar la difusión del conocimiento tácito entre las empresas, contribuyendo al surgimiento de nuevas dinámicas operativas a nivel territorial.
Respecto al desarrollo de un “medio innovador” (milieu innovateur) o del “área-sistema” a los que se refiere Becattini (1989, 2002), en Prato se ha producido un importante desarrollo endógeno, que ha generado permanente innovación tanto de productos como de procesos y de maquinaria específica para el sector. Este desarrollo se basó en la acumulación y el aprovechamiento de conocimientos (know how) adquiridos por medio de la experiencia en el sector textil, gracias a procesos de aprendizaje por la práctica (learning by doing), que confluyen en la construcción de una capacidad innovadora. La especialización productiva y la generación de economías de escala han permitido que en Prato existan ganancias de competitividad a través de una reducción en los costos de materias primas, de servicios y de productos terminados. Además, el sector textil pratense se ha comportado como un sistema dinámico, capaz de adaptarse a las exigencias del mercado y de abrirse hacia el exterior para interiorizar nuevos conocimientos. Todo ello, ha permitido contribuido a aumentar los niveles de eficiencia de la actividad textil de Prato. En Cotacachi, los niveles de eficiencia y destreza en la producción se han mantendio prácticamente constantes y, a pesar de poseer un desarrollado know-how técnico, la escasa innovación de procesos limita su desarrollo. Su principal via para ganar competitividad y reducir costos ha sido a través de la moderación salarial. No obstante, dentro de las microrredes existe una notable reducción de costos de materias primas, servicios y productos terminados. Milton Saltos (27/06/2017), artesano especializado en la producción de cinturones de cuero, considera que las técnicas de producción utilizadas por los actuales manufactureros son de baja demanda tecnológica y siguen siendo en esencia, las mismas que se ponían en práctica hace décadas. Casi todo se adquiere fuera del conglomerado, no existe innovación en los materiales y la maquinaria se renueva muy poco, a veces llegando a tener varias décadas de antigüedad. El bajo costo de la mano de obra tampoco crea incentivos para la inversión en capital. Sin embargo, dado que las industrias de calzado y vestimenta están sujetas a cambios constantes en la moda, la innovación de productos debe ser permanente. Pero la limitada articulación entre los laboratorios artesanales fuera de las microrredes y la facilidad con que se copian los modelos entre competidores,12 desincentivan y limitan su capacidad de innovación y de acumulación de conocimiento, creando una atmósfera de desconfianza entre los productores, que no promueve la cooperación entre ellos, tan importante para generar “eficiencia colectiva”.
Efecto de atracción hacia proveedores. En Prato los vínculos interempresariales verticales y horizontales hacen que las mismas empresas sean proveedoras entre sí de productos intermedios. Fuera del distrito, el sector textil pratense resulta muy atractivo para proveedores externos; es por eso que cuenta con un subsector empresarial especializado en las relaciones con los proveedores de insumos y materiales externos. En Cotacachi, las mismas empresas dentro de las microrredes se convierten en proveedores de productos finales (vestimenta, calzado y marroquinería), para facilitar su comercialización. Fuera de la aglomeración, aunque el sector del cuero resulta atractivo para los proveedores externos, existen importantes restricciones para su entrada. De esta forma, los proveedores se vuelven exclusivos para cada microrred.
Efecto de atracción hacia profesionales especializados. A pesar de que el modelo pratense ha atravesado períodos de bonanza y de recesión, la presencia de un número importante de empresas altamente especializadas ha generado una elevada demanda de profesionales especializados en cada uno de los procesos de la industria textil. En Cotacachi existe poca atracción de profesionales especializados; más bien los trabajadores dentro de las empresas van adquiriendo esa especialización a través del tiempo.
Existencia de un gremio o asociación al cual pertenecen las empresas del conglomerado. En Prato hay dos asociaciones empresariales que agrupan a la mayor parte de las unidades productivas: la Asociación de Artesanos y la Unión de Industriales Pratenses. Sin embargo, los vínculos interempresariales se establecen de manera predominantemente informal y en función de la confianza, y no tanto por pertenecer a una asociación. En la comunidad de Cotacachi, se encuentra la Sociedad de Artesanos de la que ya se hizo mención previamente y está en formación una nueva asociación, que se denominará Productores Asociados de Artículos de Cuero Cotacachi, que busca incluir a nuevos actores sociales y generar nuevos espacios de diálogo para el desarrollo del sector y de la comunidad. Sin embargo, la desconfianza y la falta de colaboración entre actores locales limitan el potencial de intervención de estas organizaciones.
Normas, acuerdos o sanciones. Las empresas pratenses planifican y coordinan sus actividades por medio de relaciones basadas en la confianza. Esta empresas han conservado un estricto apego hacia las normas o acuerdos autoimpuestos, lo que les ha llevado a construir un notable capital social. En Cotacachi no existen este tipo de normas de convivencia dentro el conglomerado en general, pero si dentro de las microrredes, donde se establecen y coordinan sus propias normas y acuerdos, basándose en la confianza entres sus miembros. En ellas existen acciones individuales y colectivas que fomentan el desarrollo del capital social.
4) La división del trabajo y la calidad del talento humano. La división del trabajo ha permitido a los modelos distritales alcanzar una alta especialización laboral, que promueve mayores niveles de eficiencia productiva y una mayor destreza en las actividades productivas, facilitadas además por la disponibilidad de talentos y capacidades locales (Cossentino, Pyke y Sengenberger, 1996). La especialización de los trabajadores se lleva a cabo mediante la acumulación de conocimientos y de experiencia laboral (Venacio, 2007). Las empresas distritales tienen acceso a un mercado de trabajo que se caracteriza entonces por tener unos profesionales calificados, con una serie de capacidades y competencias específicas. Cabe recalcar que la especialización de los trabajadores no es únicamente de la empresa sino también del distrito (Becattini, 1989).
Competencias específicas de trabajadores. En Prato existe un elevado nivel de división del trabajo en los subsectores textiles, que les lleva hacia una alta especialización de sus empresas y, por medio de ellas, también de los trabajadores en fases muy específicas del proceso productivo. Sus trabajadores participan de forma activa en la vida de las empresas, en las fases de la cadena productiva, tomando decisiones y proponiendo nuevas ideas. En Cotacachi, la organización interna de las empresas otorga a los trabajadores competencias específicas, lo que conlleva a una especialización de los mismos en determinadas fases del proceso productivo. Sin embargo, al interior de las microrredes se han producido procesos de integración vertical, que han llevado a que haya trabajadores altamente especializados en todas las etapas productivas y que se haya incrementado la demanda de artesanos y ayudantes en todas las fases del proceso.
Nivel de formación de los trabajadores. En Prato, los trabajadores son formados dentro de la empresa y fuera mediante capacitación a nivel superior. En general poseen un elevado grado de preparación que, combinada con la experiencia que van adquiriendo, les otorga un alto nivel de profesionalismo. Además existe permanente circulación de mano de obra entre las empresas. En Cotacachi, en cambio, los trabajadores generalmente tienen un bajo nivel de educación formal y, en el mejor de los casos, han completado la educación secundaria, mientras que la instrucción superior es muy escasa. Por otro lado, la capacitación a nivel técnico o tecnológico es un recurso limitado, porque los empresarios locales no la tienen en cuenta y tampoco existen vínculos adecuados entre las instituciones educativas y el sector de producción del cantón. La capacitación y especialización de sus trabajadores se ha llevado a cabo tradicionalmente dentro de las empresas, utilizando de métodos de aprendizaje aplicados, donde adquieren capacidades y conocimientos por medio de la experiencia: aquellos que ingresan por primera vez a las empresas comienzan como asistentes y, con el tiempo, se convierten en expertos en ciertas fases de proceso de producción. Por otra parte, la fuerte compactación de las micro-redes reduce la disponibilidad de talentos locales para otras empresas del conglomerado.
5) Los actores institucionales. Son fundamentales para que una aglomeración de “pequeñas y medianas empresas” se transforme en distrito industrial (Becattini 1989). La capacidad de generar sinergias entre la acción de las empresas y la iniciativa de los actores territoriales, públicos y privados, es una característica del modelo distrital. Para Venacio (2007) el distrito industrial italiano se diferencia entonces del marshallano justamente por el papel que cumplen los actores institucionales: familia, centros educativos, autoridades gubernamentales nacionales, regionales y locales y otras estructuras públicas o privadas, económicas o políticas. Según el autor, existe un compromiso por parte de estos actores con el distrito y su actividad facilita el desempeño del mismo, plasmándose en distintas acciones como servicios de infraestructura, asesorías técnicas, provisión de mano de obra, políticas gubernamentales que favorezcan al conglomerado, exenciones fiscales, proyectos emprendedores. Las entidades financieras (bancos locales) han desempeñado, sobre todo en pasado y en la forma de bancos populares, un rol crucial para el sostén financiero de las pequeñas y medianas empresas distritales. La política pública también es fundamental para lograr el desarrollo de los distritos y debería permitir aprovechar los procesos de innovación en su interior, gracias a su mayor capacidad de difusión por la proximidad y la diversidad de actores económicos presentes en él (San Martín, 1995). En Cotacachi, la intervención de las autoridades locales se ha centrado en buscar el desarrollo de todos los sectores económicos de la ciudad, no específicamente en el sector del cuero; con este objetivo, el gobierno cantonal elaboró su “Plan De Desarrollo y de Ordenamiento Territorial de Cotacachi” (PDOT, 2011), centrado en el “Fortalecimiento de las cadenas productivas cantonales”.13 En lo que si coinciden ambos conglomerados, es en situar al núcleo familiar como el principal actor institucional, generador de valores, conocimiento, mano de obra calificada y un aporte financiero para las actividades empresariales.
Entidades educativas. Prato tiene el Instituto Técnico Buzzi que, desde 1886, forma técnicos y profesionales en las ramas textiles que aportan mano de obra calificada al distrito. Cotacachi tiene en su perímetro urbano el Instituto Tecnológico de la Industria del Cuero de Cotacachi (ITICC), creado en 1995 con el objetivo de capacitar a técnicos en diseño, calzado, confecciones y marroquinería, así como promover el desarrollo territorial a través del emprendimiento. Este instituto, que cuenta con infraestructura, maquinaria y equipamiento para la especialización en la industria del cuero, sin embargo produce y distribuye su propia marca de calzado denominada “Pichaví Shoes”, competiendo con los artesanos del distrito manufacturero. Para Luis Saavedra (23/06/2017), microempresario cotacacheño, el nivel educativo del instituto es muy bueno, pero no existe una adecuada vinculación entre la entidad educativa y el sector productivo local: las empresas no están interesadas en un tipo de capacitación formal, anteponiendo la experiencia que desde siempre se ha adquirido trabajando. Además, al ser las empresas netamente familiares, hay poco espacio para trabajadores capacitados fuera y que no mantengan estos vínculos con los empresarios. Este aspecto, desafortunadamente, es parte de la cultura no sólo de este sector sino de todo el país.
Gobiernos nacionales, regionales, locales. En Ecuador el Estado se ha preocupado sobre todo de promover las grandes empresas, públicas o privadas, dejando prácticamente olvidadas a las MIPYMEs y a los focos aglomerativos del país. Esta es una diferencia importante con Prato, donde el Gobierno Central definió, a principios de 1990, una política industrial descentralizada, orientada a las necesidades y demandas locales, que permitió a los gobiernos regionales asumir las competencias de los distritos industriales con base a ciertas especificaciones definidas por el Ministerio de la Industria14. Los Gobiernos Regionales y Locales italianos categorizaron los distritos industriales y calificaron sus empresas, aplicaron políticas locales de estímulo para el sector, que consistían en la instalación de actividades artesanales e industriales en vías de expansión, y garantizaron una oferta de servicios sociales de alta calidad con el fin de a asegurar la integración de la mano de obra. En Cotacachi, el Gobierno Central y Regional, a pesar de tener planes y proyectos de apoyo y protección a las empresas, ha tenido una discreta intervención. Para Ramiro Yépez (21/06/2017), presidente de la Sociedad de Artesanos de Cotacachi, las intenciones de las autoridades se enmarcan en establecer vínculos productivos eficientes con el afán de reducir la alta dependencia de la materia prima externa, fomentar un ambiente laboral adecuado y eliminar los comportamientos oportunistas que generan competencias. El municipio ha organizado exposiciones, ferias y se realizaron anuncios publicitarios para atraer clientes; sin embargo, no existen datos fiables de su impacto sobre las ventas. La ausencia de políticas públicas ha llevado, en palabras de los propios empresarios, a una débil articulación de las empresas y a la falta de interés hacia actividades conjuntas, promoviendo un ambiente de alta competencia y poca cooperación, accesos desiguales a proveedores y servicios, y a la descoordinación entre el sector manufacturero, los sectores sociales y el gobierno local.
Bancos locales, o Entidades financieras. En Prato existen créditos para el sector productivo y la comunidad otorgados por diversas entidades financieras enfocadas en el sector textil, como el Fondo Sociale, la Cassa di Risparmio, la Banca Popolare di Prato o la Cassa Raiffeisen Prato Allo Stelvio Società Cooperativa. En Cotacachi se han extendido créditos productivos y microcréditos a las empresas por parte de la Cooperativa de Ahorro y Crédito Artesanos, la Caja de préstamos de la Sociedad de Artesanos, y Banecuador; sin embargo, los montos son todavía insuficientes para lograr modernizar el sector.
Sinergia de los actores institucionales. La comunidad pratense logró construir una cultura organizacional que se caracteriza por buscar el desarrollo del sector textil a través del emprendimiento. Las relaciones cotidianas de sus actores ponen en práctica los valores y normas sociales, basados en su fuerte identificación con el territorio; los actores institucionales han apoyado al sector, coordinando y ejecutando proyectos como talleres para emprendedores, programas de financiamiento, exenciones fiscales, vínculos con nuevos proveedores y programas de integración, con el fin de conservar el capital social existente y mejorar constantemente el desempeño productivo. En Cotacachi, por el contrario, se encuentran importantes divisiones y poca coordinación entre los diversos actores institucionales; y, aunque cada uno tiene programas y proyectos para aportar al sector manufacturero, existen pocas iniciativas con los gremios y asociaciones artesanales y comerciales, como una vía de fortalecimiento de las empresas y de aprovechamiento de su potencial para obtener beneficios económicos. A pesar de estos esfuerzos asociativos, los vínculos entre las empresas no se han fortalecido de manera significativa fuera de las microrredes, ni tampoco se ha producido una acción coordinada entre esas, lo que limita el progreso colectivo. Las escasas relaciones que se han dado entre empresas, no han tenido como objetivo coordinar la producción sectorial, sino más bien obtener representatividad en organizaciones más grandes, como las asambleas cantonales, para difundir las necesidades del sector o solicitar a las autoridades locales que se tomen medidas sobre todo en lo referente a infraestructura, servicios básicos y exenciones fiscales.
6) El equilibrio entre competencia y cooperación. “El modelo de distrito industrial se distingue por la particularidad de las relaciones económicas que se dan entre sus actores, como resultado de combinar competencia y cooperación” (Dei Ottati, 1994, p. 56; Brusco, 1990). En las primeras fases de desarrollo del distrito, la competencia entre empresas es incluso mayor que en otros tipos de organización productiva, por la mayor proximidad geográfica (Venacio, 2007); a medida que se va desarrollando, van surgiendo formas de cooperación entre las empresas, normalmente de carácter informal, que contribuyen a la consecución de ventajas comparativas, al aprovechamiento de determinados recursos compartidos y la difusión de conocimiento tácito entre las empresas al interior de los distritos (Beaudry, 2001). En un distrito coexiten ambas lógicas de interacción, la llamada “coopetición” (Rabelloti, 1995), que implica promover acciones conjuntas entre competidores para ampliar el mercado y poder competir en mejores condiciones.
Tan en Prato como en Cotacachi, las empresas se identifican entre sí por tener un origen común, lo que hace que su evolución, actividades y problemas sean similares; sin embargo, en Prato las relaciones basadas en la confianza y el capital social son el motor de sus actividades, facilitando una conducta cooperativa. Las empresas han logrado la integración de los agentes dentro del sistema productivo, llegando a acuerdos y promoviendo acciones conjuntas entre competidores para ampliar el mercado y poder competir: entre otros, comparten proveedores, productos, canales de ventas y logística, lo que les ha permitido obtener economías de escala y ofrecer una mayor variedad de productos a precios competitivos. En Prato coexiten cooperación y competencia, por lo que se puede hablar de coopetición a nivel de todo el distrito. Todo ello ha favorecido el desarrollo del distrito, dando lugar a iniciativas de innovación, contribuyendo al fortalecimiento de ciudades intermedias (Méndez, 2006) y a elevar el nivel de confianza entre los empresarios (Dei Ottati, 1994). Por el contrario, en Cotacachi se evidencia cooperación entre empresas únicamente dentro de las microrredes; fuera de ellas, el ambiente es de plena competencia, típico en las primeras fases de desarrollo del distrito. Por ese motivo no se puede hablar de coopetición a nivel del conglomerado, ya que no existe colaboración entre competidores (en el sentido de Dei Ottati, 1994). La única forma de coopetición se da entre las empresas dentro de las microrredes, en las que la colaboración y la lealtad de los participantes es muy fuerte y se asiste a dinámicas, como se mencionó, típicas de un distrito en un estado embrionario.
7) Las barreras a la entrada y a la salida. Tanto Prato como Cotacachi tienen una fuerte identidad territorial. Para Venacio (2007), las barreras de entrada y salida son obstáculos que las empresas tienen para ingresar o salir del modelo distrital. Estas barreras limitan el ámbito de las actividades de la organización, no son fácilmente definibles y están determinadas primordialmente por las funciones y actividades de la organización (Kast y Rosenzweig, 1988). Por otro lado, la presencia de una identidad territorial también puede ser una barrera de ingreso y de salida del distrito y se convierte en un filtro respecto al exterior (Becattini, 1989). Bervejillo (1996) considera otras barreras de entrada al distrito como: los vínculos interempresariales basados principalmente en la confianza (en el caso de Cotacachi esta barrera se da principalmente dentro de las micro-redes); la ubicación geográfica, ya que las empresas potenciales necesariamente deben encontrarse en el territorio donde se ubica el distrito para poder mantener vínculos con sus similares; economías de escala, que obligan a las empresas potenciales a entrar en el mercado con un nivel de producción por encima de un nivel mínimo, para poder competir con las empresas ya establecidas. En el caso de Cotacachi esta barrera es menor, dada la reducida dimensión de sus empresas. Respecto a las barreras de salida del distrito se pueden citar, una fuerte identidad territorial, la ubicación geográfica o la pérdida de beneficios sociales, políticos, estratégicos y económicos que las empresas tienen por formar parte del distrito. En Cotacachi, dentro de las microrredes, los vínculos son tan estrechos que se vuelve muy complicado entrar o salir de ellas, quedándose aisladas del conglomerado general e interactuando entre ellas en un marco de intensa competencia y autorestricciones, que limitan, por ejemplo, el acceso de proveedores o la disponibilidad de mano de obra calificada para otras empresas. Esta situación de inmovilidad cerrada no promueve el desarrollo local, ni contribuye a la integración de los diversos sectores insitucionales, económicos y sociales (organismos locales, empresas y comunidades) presentes en Cotachachi, como factores que deben interactuar para promover la competitividad del distrito.
5. Conclusiones
El presente trabajo es parte de una investigación en curso sobre los procesos aglomerativos del Ecuador. En esta ocasión se han analizado las características de la aglomeración de MIPYMEs del sector de artículos de cuero en Cotacachi, provincia de Imbabura, para comprender si puede ser considerado como un distrito industrial en el sentido marshalliano y becattiniano, y conocer su contribución a la productividad económica y desarrollo social para el territorio que las recibe. A partir de los aportes teóricos suministrados por Becattini y otros autores a través del estudio del distrito italiano, representado por Prato, y la información recopilada para el caso de Cotacachi, se puede afirmar que el sector de producción de cuero de Cotacachi presenta algunas similitudes con el distrito industrial pratense. Ambos conglomerados se limitan a un territorio bien definido y delimitado, caracterizado por un sector productivo importante y tradicional, que ha desarrollado su propia identidad basada en el conocimiento y una cultura con fuertes raíces de identidad con el territorio al que pertenece. También en el caso de Cotacachi se puede observar una dinamización del territorio, que ha permitido alcanzar mejores niveles de desarrollo socioeconómico en comparación con otras realidades del país, como demuestran los datos cuantitativos presentados. Sin embargo, el sector de artículos de cuero de Cotacachi, a pesar de mostrar una importante concentración de empresas especializadas, todavía no puede considerarse un distrito industrial en el sentido estricto; más bien puede ser definido como una aglomeración productiva y comercial, formada por un mosaico de pequeñas empresas, integradas verticalmente, que cooperan poco y compiten interna y externamente. En su interior existen algunas microrredes, más dinámicas pero cerradas a la entrada de nuevas empresas, lo que genera una falta de flexibilidad en la organización de las firmas y de la aglomeración, reduciendo su capacidad para innovar y responder a los cambios del mercado de forma rápida y eficiente.
El éxito de las relaciones dentro de un distrito reside en la tipología y calidad de las mismas (Rabellotti y Schmitz, 2010): en los distritos italianos prevalece un tipo de relación más cercana a la cooperación entre sujetos, como un esfuerzo común entre proveedores y productores para lograr mejores resultados y mayor competitividad, y donde la capacidad adquirida a través de este sistema permite producir una gran variedad de productos con tiempos de entrega reducidos. También se puede hablar de coopetición a nivel de todo el distrito, donde empresas textiles compiten y cooperan para un fin común. En cambio en Cotacachi, así como en los contextos analizados por Rabellotti en América Latina, prevalece una relación más orientada al mercado, basada únicamente en el factor precio. Además se aprecia una ausencia de relaciones de subcontratación con empresas formalmente vinculadas al distrito (ausencia del factor linkage externo de Markusen 1996, Guerrieri y Pietrobelli 2004 o Giuliani, Rabellotti y van Dijk 2005). La falta de confianza y cooperación entre empresas fuera de las microrredes limitan en Cotacachi el desarrollo del “medio innovador” (milieu innovateur) o del “área-sistema”, a los que se refiere Becattini (1989, 2002) para definir a los distritos industriales. Prueba de ello es que las relaciones socio-culturales y la comunidad de personas no se han entrelazado de forma inseparable con las actividades económico-productivas y, por tanto, no han actuado como motores de desarrollo territorial a través de la generación constante de nuevas ideas, tecnologías, procesos, productos e instituciones. Esto se combina con el hecho de que las economías externas de aglomeración de Cotacachi son de tipo casual o espontáneo, y la competitividad está más pensada en términos de salarios bajos (para compensar la baja productividad) que en otros factores basados en la innovación. La carencia de enlaces funcionales y dinámicos generados por el distrito, y de los que éste se alimenta, hacen más vulnerables a las empresas en términos de costos, estando sometidas a una mayor incertidumbre. Las conexiones hacia etapas de comercialización son también muy débiles y no existen estrategias de marketing adecuadas.
La prevalencia de formas de integración vertical dentro de las empresas, en lugar de una subdivisión entre ellas de las fases de producción de acuerdo con las relaciones de subcontratación, debilita el “efecto distrito”, dejando más espacio a una lógica competitiva de mercado, que va en detrimento de una mayor cooperación y coordinación entre las empresas manufactureras y genera una pérdida en la competitividad del mercado y en la capacidad de innovar. Estos elementos contradicen la definición de distrito de Becattini, que no prevé empresas integradas verticalmente, sino la externalización de la mayor parte del ciclo de producción. Todo esto lleva a plantear la necesidad de intervención de un agente coordinador (el impannatore de Prato), hasta la fecha inexistente en Cotacachi, nacido del mercado y capaz de conectar y coordinar a las empresas en las distintas etapas del proceso de producción (diseño, producción y comercialización). Por otro lado, la disponibilidad y circulación de mano de obra calificada es por lo general limitada excepto dentro de las microrredes, donde es muy fluida, dando lugar a acciones coordinadas, flujos de información y conocimiento dentro de las mismas. Un fenómeno que también afecta la realidad de Cotacachi por razones generacionales es la interrupción en el flujo de transferencia de conocimiento entre padres e hijos y sin instituciones designadas para apoyar y mejorar este conocimiento (Rabellotti, 1995), por ejemplo transformandolo desde un carácter tácito hacia uno codificado o fortaleciendo los mecanismos de transmisión dentro de las empresas; esto puede llevar a la pérdida de las ventajas competitivas generadas por el distrito y directamente relacionadas con su identidad y cultura productiva territorial. Asimismo, el sistema productivo territorial de Cotacachi aparece aislado de su contexto institucional de referencia, con el que no parece interactuar sino sólo por cuestiones específicas, donde se inhibe en lugar de impulsar la integración de los diversos sectores locales políticos, económico-productivos y sociales (instituciones, empresas y comunidades), con una carencia de interacciones que promuevan la competitividad sistémica del territorio valorizando los elementos generadores de riqueza ya presentes e históricamente consolidados. Más bien existen importantes divisiones entre los actores institucionales con actividades no coordinadas, que, junto a la inestabilidad del entorno microeconómico típica de las economías periféricas, dificulta las acciones a largo plazo necesarias para lograr niveles más altos de cooperación. Por estos motivos se necesita un apoyo institucional efectivo, que permita promover un mayor nivel de organización y cooperación entre el sector privado y el público, las asociaciones comerciales, las instituciones educativas y la comunidad en general, generando nuevas dinámicas territoriales de gobernanza local que contrarresten las presiones de la globalización. Se estaría apoyando la tesis de Méndez (2006), donde los conglomerados de empresas que han logrado consolidarse como distritos de innovación y cooperación son capaces de impulsar el desarrollo territorial a través del fortalecimiento de las ciudades intermedias donde estos se asientan.
A la luz de lo anterior, el milieu productivo de Cotacachi está aún lejos de poder definirse una “atmósfera industrial”, donde debería existir una “eficiencia colectiva” (Schmitz, 1990), como una ventaja derivada de la producción de externalidades locales y de la acción conjunta de los actores en el territorio, ayudando a impulsar la producción y la innovación (Rabellotti, 1995). Desde una perspectiva de desarrollo local, los elementos descritos hasta ahora demuestran, que si bien en Cotacachi existen condiciones básicas favorables para un “efecto distrito”, su aglomeración de empresas representa un tipo de agrupación productiva y comercial en un estado embrionario del desarrollo distrital según la visión de Marshall-Becattini, donde una multitud de sujetos co-actúan sin que exista coordinación entre ellos, excepto a nivel de microrredes. Más bien se puede hablar de un desarrollo local impulsado por la especialización de un grupo de MIPYMEs en un determinado sector productivo, cuya aglomeración territorial está más dictada por la presencia histórica de una cultura y vocación productiva en lugar de una real articulación —productiva y de planificación— de las empresas presentes en el territorio.
Antes de finalizar cabe evidenciar que la eficiencia colectiva, la acción conjunta y la existencia de un ambiente industrial, son factores clave para la creación de oportunidades de crecimiento y desarrollo en estos contextos productivos. Por otro lado, dado que la evidencia empírica muestra que el camino hacia la creación de clusters industriales es muy variable, y que la misma intervención del sector público puede dibujar trayectorias de varios tipos, los estudios sobre distritos deben trabajar en dos dimensiones particulares que los caracterizan (Pietrobelli y Rabellotti, 2004): el factor territorial (identidad social y cultural, concentración geográfica y especialización productiva) y el factor “linkage” (conexiones verticales y horizontales dentro del cluster). Como también lo afirman Lundequist y Power (2002), la presencia de aglomeraciones exitosas implica la existencia de procesos de “reciprocidad activa” entre los diversos actores dentro del distrito (el local buzz de Bathelt, Malmberg y Maskell, 2004.). El distrito industrial latinoamericano debería entonces convertirse en una herramienta para la innovación social, donde el valor generado contribuya a toda la sociedad y no a nivel particular (Phills, Deilglmeier y Miller, 2008), mejorando la capacidad de la sociedad para actuar en su conjunto (Murray, Caulier-Grice y Mulgan, 2010). Pero también es fundamental, especialmente en realidades ya maduras como Cotacachi, demostrar su capacidad para abrirse al exterior (global pipeline de Bathelt, Malmberg y Maskell, 2004.), transformando internamente su propia organización y fortaleciéndola, para no perder las ventajas competitivas que lo caracterizan como distrito y así continuar apoyando el desarrollo económico del territorio que lo acoge. Las políticas públicas además deben contribuir a llevar los distritos hacia su integración en cadenas de valor globales o su proceso de actualización hacia el mercado global (upgrading) (Pietrobelli y Rabellotti, 2004, 2006).
Un modelo distrital fomenta la aparición de externalidades que se conciben como oportunidades para que las empresas que lo integran, puedan alcanzar un mejor desempeño que se refleje en crecimiento económico y desarrollo local. Estas externalidades están relacionadas con la circulación del talento humano, la construcción de redes que vinculen a los actores institucionales y, por medio de ellos, al entorno empresarial, el desarrollo y la participación en actividades adecuadamente planificadas y estandarizadas. En el caso de Cotacachi, con un adecuado rol de los agentes institucionales y una mejor coordinación y cooperación entre actores del distrito, podría mejorar notablemente la situación del sector, encaminándolo hacia un modelo aglomerativo distrital que integre a todos los agentes para conseguir beneficios relacionados con las economías de localización. Se requiere, en definitiva, un mayor nivel de organización y cooperación de parte del sector privado, público, de las instituciones gremiales, de las entidades educativas y de la comunidad en general, a fin de planificar y ejecutar estrategias propias de desarrollo compartidas para el crecimiento y desarrollo del propio territorio.
Este esfuerzo por parte de los actores presentes en el territorio puede forjar la que Richard Florida (2009, 2010, 2011) denomina “clase creativa”, un motor de desarrollo caracterizado por tres fuerzas: el talento, la tecnología y la tolerancia (las 3 T). Estas fuerzas relacionadas con la creatividad humana, contribuyen a la renovación de las ciudades que albergan al distrito, convirtiéndolas en “ciudades creativas” y activas, donde existen empleo de calidad, salarios adecuados y modelos de competencia caracterizados por diversas formas de aglomeración industrial de empresas. En estos contextos, las instituciones se han preocupado de impulsar estrategias a favor del fortalecimiento de las clases creativas, a través de la participación, el intercambio de ideas, la formación de redes de información y la creación de un ambiente confortable en la vida cotidiana (Domínguez, 2018). Sin embargo, como señala este autor, no son suficientes las 3T, además debe existir una inteligencia emocional y biológica, que motive a esta clase a vivir en una ciudad con un nicho ecológico adecuado a sus aspiraciones, es decir crear una ciudad ‘Pitapep’ (p. 24). En ella deben confluir los siguientes elementos: participación democrática en las decisiones que afectan a los ciudadanos, identificación con su historia y arquitectura, con vías de transportes y comunicaciones que articulen la ciudad, un ambiente sano y cuidado, de respeto a la naturaleza, acompañado de normativas enfocadas a su protección, una producción flexible, que les permita adaptarse a los constantes cambios, un emplazamiento ventajoso, tanto por sus recursos como por sus vías de comunicación, y una población umbral para obtener economías de escala. Las instituciones de Cotacachi deberían buscar un desarrollo duradero del distrito y su progresiva evolución hacia una ciudad motor de crecimiento creativo, articulando los elementos que ya están presentes en el territorio y creando los que falten, construyendo así un entorno adecuado que convierta a Cotacachi en una ciudad Pitapep.
Referencias
Aguiar, V., Arghoty, A., Burgos, S., Gualavisí, M., Onofa, M., Ruiz, P., y Zambrano, R. (2013). Estudios industriales de la Micro, Pequeña y Mediana Empresa. Recuperado de http://www.flacsoandes.edu.ec/libros/digital/52089.pdf
Albert, M. J. (2007). La investigación educativa. Claves teóricas. Madrid: Editorial Mc Graw Hill.
Allen, J. (1992). Services and the UK space economy: Regionalization and economic dislocation. Transactions of the Institute of British Geographers, 17(3), 292-305. http://dx.doi.org/10.2307/622881
Appold, S. J. (1995). Agglomeration, interorganizational networks and competitive performance in the US metalworking sector. Economic Geography, 71(1), 27-54. https://doi.org/10.2307/144434
Arcos, C. (2008). Clusters como modelo para alcanzar la productividad y competitividad industrial en el Ecuador (Tesis de Maestría). Universidad Andina Simón Bolívar, Sede Ecuador. Área de Estudios Sociales y Globales.
Asamblea de la Unidad Cantonal de Cotacachi (AUCC) (2012). Registro de Datos Estadísticos Del Sector Manufacturero. Ecuador.
Asheim, B. (1996). Industrial districts as ‘learning regions’: a condition for prosperity. European planning studies, 4(4), 379-400. http://dx.doi.org/10.1080/09654319608720354
Asociación de Artesanos Manufactureros de Cotacachi (AAMC) (2011). Registro de Afiliados. Cotacachi.
Audretsch, D. B., Keilbach, M. C. y Lehmann, E. E. (2006). Entrepreneurship and Economic Growth. https://doi.org/10.1093/acprof:oso/9780195183511.001.0001
Aydalot, P. (1986). Milieux innovateurs en Europe. Groupe de recherche européen sur les milieux innovateurs. Colloque Gremi.
Bagnasco, A. (1988). La Costruzione Sociale del Mercato. Bologna: Il Mulino.
Bathelt, H., Malmberg, A. y Maskell, P. (2004). Clusters and knowledge: local buzz, global pipelines and the process of knowledge creation. Progress in human geography, 28(1), 31-56. Recuperado de https://doi.org/10.1191/0309132504ph469oa
Beaudry, C. (2001). Entry, growth and patenting in industrial clusters: A study of the aerospace industry in the UK. International Journal of the Economics of Business, 8(3), 405-436. https://doi.org/10.1080/13571510110079000
Becattini, G. (1979). Dal ‘settore’ industriale al ‘distretto’ industriale. Alcune considerazioni sull’unità d’indagine dell’economia industriale. Rivista di Economia e Politica Industriale, 1, 7-21.
Becattini, G. (1989). Riflessioni sul distretto industriale marshalliano come concetto socio-economico. Stato e mercato, 25(1), 111-128.
Becattini, G. (1995). I sistemi locali nello sviluppo economico italiano e nella sua interpretazione. Periodico “Sviluppo locale”, 2, 5-25.
Becattini, G. (2000a). Il bruco e la farfalla: Prato nel mondo che cambia, 1954-1993:[Prato; una storia esemplare dell’Italia dei distretti]. Le Monnier.
Becattini, G. (2000b). Dal distretto industriale allo sviluppo locale. Svolgimento e difesa di una idea. Torino: Bollati Boringhieri Editore.
Becattini, G. (2002). From Marshall’s to the Italian “Industrial districts”. A brief critical reconstruction. En A.Q. Curzio, M. Fortis (Eds.), Complexity and industrial clusters (pp. 83-106). Physica-Verlag HD. https://doi.org/10.1007/978-3-642-50007-7_6
Becattini, G. (2004). Industrial districts: A new approach to industrial change. Edward Elgar Publishing.
Becattini, G. y Musotti, F. (2008). Los problemas de medición del ‘efecto distrito’. Colección Mediterráneo Económico: Los distritos industriales, 13, 55-82.
Bellandi, M. y Trigilia, G. (1991). Come cambia un distretto industriale: strategie di riaggiustamento e tecnologie informatiche nell’industria tessile di Prato. Economia e politica industriale, 70.
Bervejillo, F. (1996). Territorios en la globalización: cambio global y estrategias de desarrollo territorial. ILPES, Instituto Latinoamericano y del Caribe de Planificación Económica y Social, Naciones Unidas/CEPAL-Consejo Regional de Planificación.
Bertoncin, M., Pase, A., Quatrida, D. y Scroccaro, A. (2018). How the replica of the Italy’s Northeast Industrial District model failed in Timisoara (Romania). Investigaciones Geográficas, 69, 73-89. https://doi.org/10.14198/INGEO2018.69.05
Bianchi, G. (1992). Requiem per la Terza Italia?. Artículo presentato en la XIII Conferenza dell’Associazione Italiana Regionale delle Scienze. Ancona: Octubre.
Brusco, S. (1990). The idea of the Industrial District: its genesis. En F. Pyke y W. Sengenberger (eds.), Industrial Districts and Local Economic Regeneration. International Institute for Labour Studies, Ginebra.
Castells, M. (1996). The rise of the network society. Oxford: Blackwell.
Castro Ruales, L. E. (2017). Análisis Comparativo del Modelo de Distrito Industrial Italiano y el Sector Manufacturero del Cuero de la Ciudad de Cotacachi (Tesis de maestría). FLACSO Ecuador.
Catalán, J., Miranda, J. A. y Ramón-Muñoz, R. (2011). Distritos, clusters y ventaja competitiva: interpretaciones y debates. En J. Catalán, J. A. Miranda y R. Ramón-Muñóz (eds.), Distritos y clusters en la Europa del Sur (pp. 9-36). Madrid: LID Editorial Empresarial.
Coe, N. M. y Townsend A. R. (1998). Debunking the Myth of Localized Agglomerations: The Development of a Regionalized Service Economy in South-East England. Transactions of the Institute of British Geographers, 23(2), 1-20. https://doi.org/10.1111/j.0020-2754.1998.00001.x
Cooke, P. N. (1996). Reinventing the region: firms, clusters and networks in economic development. En P. W. Daniel y W. F. Lever (eds.), The global economy in transition (pp. 310-327). Harlow: Longman.
Cossentino, F., Pyke, F. y Sengenberger, W. (1996). Local and regional response to global pressure: The case of Italy and its industrial districts. Geneva: International Institute for Labour Studies.
Decarolis, D. M. y Deeds, D. L. (1999). The impact of stocks and flows of organizational knowledge on firm performance: An empirical investigation of the biotechnology industry. Strategic Management Journal, 20(10), 953-968. https://doi.org/10.1002/(SICI)1097-0266(199910)20:10<953::AID-SMJ59>3.0.CO;2-3
Dei Ottati, G. (1994). Cooperation and competition in the industrial district as an organization model. European Planning Studies, 2(4), 463-483. https://doi.org/10.1080/09654319408720281
Dei Ottati, G. (1995). Tra mercato e comunità: aspetti concettuali e ricerche empiriche sul distretto industriale. FrancoAngeli.
Dematteis, G. (2001). Per una geografia della territorialità attiva e dei valori territoriali. SLoT Quaderno, 1, 11-30.
Dematteis, G. y Governa, F. (2005). Territorio y territorialidad en el desarrollo local. La contribución del modelo SLOT. Boletín de la Asociación de Geógrafos Españoles, 39, 31-58.
Diez, J. I. y Verna, R. (2012). Pueden construirse distritos industriales en territorios periféricos? Análisis del caso DIMSUR en la Provincia de Buenos Aires (Argentina). Revista Lider, 20(14), 77-108.
Dimou, M. (1994). The industrial district: A stage of a diffuse industrialization process—the case of Roanne. European Planning Studies, 2(1), 23-38. https://doi.org/10.1080/09654319408720245
Dini, M. (1997). Competitividad, Redes de Empresas y Cooperación Empresarial. Serie Gestión Publica ILPES CEPAL, 72, Santiago. Recuperado de https://repositorio.cepal.org/bitstream/handle/11362/7328/S2010207_es.pdf?sequence=1&isAllowed=y
Domínguez, J. A. M. (2018). Hélices y anclas en las estrategias de desarrollo local. Sistemas productivos con anclaje territorial, 217, 17.
El Telégrafo (10-09-2016). https://www.eltelegrafo.com.ec/noticias/regional/1/cotacachi-mira-la-crisis-como-un-impulso-para-innovar
Escobar, A. (2007). La invención del Tercer Mundo: Construcción y descontrucción del desarrollo. Caracas, Venezuela: Fundación Editorial “El perro y la rana”.
Florence, P.S. (1953). The Logic of British and American Industry: A Realistic Study of Economic Structure and Government. London: Routledge and Kegan Paul.
Florida, R. (2009). Las ciudades creativas: Por qué dónde vives puede ser la decisión más importante de tu vida. Barcelona: Paidós.
Florida, R. (2010). La clase creativa. La transformación de la cultura del trabajo y el ocio en el siglo XXI. Paidós. Barcelona.
Florida, R. (2011). El gran reset: Nuevas formas de vivir y trabajar para impulsar la prosperidad. Barcelona: Paidós.
Garofoli, G. (1992). Diffuse industrialization and small firms: The Italian pattern in the 1970s, en G. Garofoli (Ed.), Endogenous Development and Southern Europe. (pp. 83-102). Aldershot: Avebury.
Garofoli, G. (2009). Las Experiencias de Desarrollo Económico Local en Europa: Las Enseñanzas para América Latina. San José, Costa Rica: URB-AL III.
Guerrieri, P. y Pietrobelli, C. (2004). Industrial districts’ evolution and technological regimes: Italy and Taiwan. Technovation, 24(11), 899-914. https://doi.org/10.1016/S0166-4972(03)00048-8
Giuliani, E., Rabellotti, R. y van Dijk, M. P. (2005). Clusters facing competition: The importance of external linkages. England: Aldershot, Ashgate.
Henn, S. y Bathelt, H. (2017). Cross-local knowledge fertilization, cluster emergence, and the generation of buzz. Industrial and Corporate Change, Onxford, 27(3), 449-466. https://doi.org/10.1093/icc/dtx036
Hernández, I. y Cely, S. N. (2003). Redes de competitividad y productividad compartida (Re.CyPro). Quito: Colegio de Economistas de Pichincha.
Hernández, R., Fernández, C. y Baptista, P. (2010). Metodología de la investigación. México DF: McGraw-Hill.
Instituto Nacional de Estadística y Censos del Ecuador (INEC) (2016). Directorio de Empresas y Establecimientos. Quito (Ecuador): DIEE.
Instituto Nacional de Estadística y Censos del Ecuador (INEC) (2010). Resultados del Censo 2010 de población y vivienda en el Ecuador. Quito (Ecuador)
Kast, F.E. y Rosenzweig, J.E. (1988). Administración en las organizaciones: enfoque de sistemas y de contingencias. México, D.F.: McGraw Hill.
Kawulich, B. (2005). La observación participante como método de recolección de datos. Forum Qualitative Social Research, 6(2), 1-32.
López, C. (2003). Redes empresariales, experiencias en la Región Andina. Manual para el Articulador. Lima: Minka.
Lundequist, P. y Power, D. (2002). Putting Porter into Practice? Practices of Regional Cluster Bilding Evidence from Sweden. European Planning Studies, 10(6), 685-704. https://doi.org/10.1080/0965431022000003762
Malmberg, A. (1996). Industrial Geography: Agglomeration and local milieu. Progress in Human Geography, 20(3), 392-403. https://doi.org/10.1177/030913259602000307
Markusen, A. (1996). Sticky places in slippery space: A typology of Industrial Districts. Economic Geography, 72, 293-313. https://doi.org/10.2307/144402
Marshall, A. (1890). Principles of Economics. London: Liberty Fund Inc. Mc Millan.
Marshall, A. (1920). Industry and Trade. London: Mc Millan.
Maskell, P. y Malmberg, A. (1999). Localised learning and industrial competitiveness. Cambridge journal of economics, 23(2), 167-185. https://doi.org/10.1093/cje/23.2.167
Mecha, R. (2001). Fuentes cualitativas de in- formación para la geografía industrial en el espacio rural. VIII Jornadas de Geogra- fía Industrial, Universidad de Zaragoza- AGE-GGI, Zaragoza: 195-207
Méndez, R. (2001). El uso de entrevistas semiestructuradas en los estudios sobre sistemas productivos locales y medios innovadores. VIII Jornadas de Geografía Industrial (pp. 209-220). Universidad de Zaragoza-AGE- GGI, Zaragoza.
Méndez, R. (2006). Del distrito industrial al desarrollo territorial: estrategias de innovación en ciudades intermedias. Desenvolvimento em questao, 4(7), 9-46.
Morelli, N. (2007). Social innovation and new industrial contexts: Can designers “industrialize” socially responsible solutions?. Design issues, 23(4), 3-21. https://doi.org/10.1162/desi.2007.23.4.3
Morrison, A. y Rabellotti, R. (2009). Knowledge and information networks in an Italian wine cluster. European Planning Studies, 17(7), 983-1006. https://doi.org/10.1080/09654310902949265
Murray, R., Caulier-Grice, J. y Mulgan, G. (2010). The open book of social innovation. London: National endowment for science, technology and the art.
Nelson, R. R. y Winter, S. G. (1977). In search of a useful theory of innovation. En K.A. Stroetmann (ed.), Innovation, economic change and technology policies (pp. 215-245). https://doi.org/10.1007/978-3-0348-5867-0_14
Phills, J., Deilglmeier, K. y Miller, D. (2008). Rediscovering Social Innovation. Stanford Social Innovation Review, otoño.
Pietrobelli, C. y Rabellotti, R. (2004). Upgrading in clusters and value chains in Latin America: the role of policies. Inter-American Development Bank.
Pietrobelli, C. y Rabellotti, R. (2006). Upgrading to compete global value chains, clusters, and SMEs in Latin America. Harvard University Press.
Plan De Desarrollo y de Ordenamiento Territorial (PDOT) (2011). Plan de Desarrollo y de Ordenamiento Territorial. Municipalidad de Cotacachi.
Putnam, R. D., Leonardi, R. y Nanetti, R. Y. (1994). Making democracy work: Civic traditions in modern Italy. https://doi.org/10.2307/j.ctt7s8r7
Rabellotti, R. (1995). Is There an “Industrial District Model”? Footwear District in Italy and mexico Compared. World Development, 23(1), 29-41. https://doi.org/10.1016/0305-750X(94)00103-6
Rabellotti, R. (2004). How globalisation affects Italian industrial districts: the case of Brenta. In H. Schmitz (ed.), Local enterprises in the global economy: Issues of governance and upgrading, (pp. 140-173). Edward Elgar Publishing
Rabellotti, R. (2012a). The Territorial Organization of Variety. Cooperation and Competition in Bordeaux, Napa and Chianti Classico. Regional Studies, 46(5), 683-684. https://doi.org/10.1080/00343404.2012.666028
Rabellotti, R. (2012b). Zazzaro A.(a cura di)(2010), Reti d’imprese e territorio. Tra vincoli e nuove opportunità dopo la crisi. Economia politica, 29(1), 153-154.
Rabellotti, R. y Schmitz, H. (2010). The Internal Heterogeneity of Industrial Districts in Italy, Brazil and Mexico. Regional Studies, 33(2), 97-108. https://doi.org/10.1080/00343409950122909
Ravix, J. L. y Torre, A. (1991). Eléments pour une analyse industrielle des systèmes localisés de production. Revue d’Economie Regionale et Urbaine, 3(4), 375-390.
Sabel, C. y Zeitlin, J. (1985). Historical Alternatives to Mass Production: Politics, Markets and Technology in Nineteenth-Century Industrialization. Past and Present, 108(1), 133-176. https://doi.org/10.1093/past/108.1.133
San Martín, F. (1995). Distritos Industriales–conceptos, experiencias y Bibliografía. Trujillo: MINKA.
Schmitz, H. (1990). Small firms and flexible specialization in developing countries. Labour and Society, 15(3), 257-285.
Sforzi, F. (1990). The quantitative importance of Marshallian industrial districts in the Italian economy. En F. Pyke, G. Becattini y W. Sengenberger (Eds.), Industrial Districts and Local Economic Regeneration (pp. 75-107). Ginebra: International Institute for Labor Studies.
Sforzi, F. (2005). Dal distretto industriale allo sviluppo locale. Lezione inaugurale - Artimio: Incontri pratesi sullo sviluppo locale.
Sforzi, F. (2009). The empirical evidence of industrial districts in Italy”. En G. Becattini, M. Bellandi, L. De Propris (ed.). A Handbook of Industrial Districts. Edward Elgar Publishing, Agosto 2009, 327-342. https://doi.org/10.4337/9781781007808.00040
Sforzi, F. y Boix, R. (2016). Los distritos Industriales entre el cambio y la continuidad: una comparación Italia-España. XLII Reunión de Estudios Regionales (pp. 16-18). Universidad Santiago de Compostela.
Signorini, L. F. (1994a). Una verifica quantitativa dell’effetto distretto. Sviluppo locale, 1(1), 31-70.
Signorini, L. F. (1994b). Il prezzo di Prato, o misurando gli effetti del distretto industriale. Regional Science, 73, 369-392. https://doi.org/10.1111/j.1435-5597.1994.tb00620.x
Signorini, L. F. (Ed.). (2000). Lo sviluppo locale: un’indagine della Banca d’Italia sui distretti industriali. Meridiana libri.
Soler, V. (2000). Verificación de las hipótesis del distrito industrial: Una aplicación al caso valenciano. Economía Industrial, 334, 13-23.
Staber, U. (1997). Specialization in a Declining Industrial District. Growth and Change, 28(4), 475-495. https://doi.org/10.1111/j.1468-2257.1997.tb00989.x
Tattara, G. y Volpe, M. (2003). Las redes en los distritos industriales italianos: la Terza Italia. En F. Boscherini, M. Novick y G. Yoguel (comp.), Nuevas tecnologías de información y comunicación. Los límites en la economía del conocimiento. Buenos Aires, Argentina: Miño y Dávila-UNGS.
Venacio, L. (2007). Globalización, Desarrollo Local y Sociedad Civil, Universitá Degli Studi Di Bologna. Recuperado de http://www.eumed.net/libros-gratis/2007a/222/index.htm
Wolfe, D. A. y Gertler, M. S. (2004). Clusters from the Inside and Out: Local Dynamics and Global Linkages. Urban Studies, 41(5/6), 1071-1093. https://doi.org/10.1080/00420980410001675832
Notas
Notas de autor