Resumen: La combinación de una población humana y de un agente potencialmente destructivo no produce necesariamente un desastre. Para que el desastre se vuelva inevitable debe producirse en el contexto de una población vulnerable. En este estudio se analiza la vulnerabilidad social a los riesgos naturales mediante técnicas estadísticas multivariantes, en concreto, análisis de componentes principales y análisis clúster k-means. La combinación de estas técnicas evita la necesidad de ponderar las variables a priori. Esta metodología se ha aplicado como caso de estudio a la ciudad de Almería utilizando un conjunto de variables que influyen en la vulnerabilidad de la población. Respecto a la vulnerabilidad social, se ha concebido de forma holística, abarcando sus diferentes dimensiones y evitando una simplificación excesiva de la complejidad de la realidad social. Por ello, se ha tenido en cuenta que existen múltiples factores sociales, económicos y culturales que influyen en la aparición de un desastre. Los resultados obtenidos han permitido identificar las zonas de mayor vulnerabilidad social, destacando que alrededor del 32 por ciento de la población presenta una vulnerabilidad alta o muy alta. Por último, la metodología propuesta se ha mostrado adecuada para el estudio de la vulnerabilidad social, siendo además replicable a otras áreas de estudio y a diferentes escalas.
Palabras clave:vulnerabilidad socialvulnerabilidad social,riesgos naturalesriesgos naturales,técnicas estadísticas multivariantestécnicas estadísticas multivariantes,componentes principalescomponentes principales,k-meansk-means,AlmeríaAlmería.
Abstract: The combination of a human population and a potentially destructive agent does not necessarily produce a disaster. For disaster to become inevitable the population must be vulnerable. This study analyses social vulnerability to natural risks using multivariate statistical techniques, specifically, principal component analysis and k-means cluster analysis. The combination of these techniques avoids the need for a priori weighting of variables. This methodology has been applied as a case study in the city of Almería using a set of variables that influences the vulnerability of the population. Social vulnerability has been conceived holistically, encompassing its different dimensions, and avoiding an excessive simplification of the complexity of social reality. Therefore, it has been considered that there are multiple social, economic, and cultural factors that influence the appearance of a disaster. The results obtained have made it possible to identify the areas of greatest social vulnerability, highlighting that around 32 percent of the population is highly or very highly vulnerable. Finally, the proposed methodology has proven to be adequate for the study of social vulnerability and is also replicable in other areas of study and at different scales.
Keywords: social vulnerability, natural risk, multivariate statistical technique, principal components, k-means, Almeria.
Artículos
Análisis de la vulnerabilidad social a los riesgos naturales mediante técnicas estadísticas multivariantes
Analysis of social vulnerability to natural risk using multivariate statistical techniques

Recepción: 11/05/2020
Aprobación: 29/10/2020
Publicación: 17/12/2020
Un desastre natural puede pensarse como el resultado de la confluencia en el tiempo y espacio de procesos naturales y procesos sociales, llevando a la interrupción o el colapso de estos últimos. En el análisis de riesgos, a esos procesos sociales, tanto materiales como inmateriales, que hacen que se produzca un desastre se conocen como vulnerabilidad, mientras que al conjunto de procesos naturales se los engloba dentro de la peligrosidad.
El estudio del riesgo de desastres ha evolucionado a lo largo del tiempo (Olcina Cantos, 2008). Inicialmente se estudiaba el desastre exclusivamente. Posteriormente se introduce el concepto de riesgo desde una perspectiva del análisis de la peligrosidad hasta la incorporación paulatina del análisis de la vulnerabilidad (Schneiderbauer & Ehrlich, 2004).
Desde los planteamientos de la ecología política y los estudios sobre desarrollo se ha definido la vulnerabilidad a los riesgos naturales como:
Por vulnerabilidad se entiende las características de una persona o grupo desde el punto de vista de su capacidad para anticipar, sobrevivir, resistir y recuperarse del impacto de una amenaza natural. Implica una combinación de factores que determinan el grado hasta el cual la vida y la subsistencia de alguien queda en riesgo por un evento distinto e identificable de la naturaleza o sociedad. (Wisner, Blaikie, Cannon y Davis, 2004, p. 11)
Algunas de las características propias de la vulnerabilidad (Vogel & O’Brien, 2004) son su carácter multidimensional y diferencial (varía en función del espacio y dentro de los grupos sociales), depende de la escala (vulnerabilidad individual, familiar, regional o sectorial) y es dinámica (las fuerzas impulsoras de la vulnerabilidad pueden cambiar a lo largo del tiempo).
En relación con el concepto de vulnerabilidad social, se afirma que ésta es mucho más que la probabilidad de que los edificios colapsen o de que la infraestructura sufra daños (Cannon, Twigg y Rowell, 2003). Incluyendo aspectos como el bienestar (calidad de la alimentación, salud física y mental), el sustento y la resiliencia (recursos, capital, ingresos y cualificación), autoprotección (capacidad para construir y usar un hogar y un entorno seguro), protección social (medidas de preparación y mitigación) y redes e instituciones sociales y políticas (capital social, calidad institucional y otros). Este último aspecto, el de las redes y el capital social, puede ser de gran importancia en determinados contextos (Navarro Cueto, Vallejo Villalta y Navarro Bernal, 2017).
A continuación, se presentan los principales modelos o marcos conceptuales para la identificación de la vulnerabilidad. Éstos proceden de diferentes campos de estudio como la gestión de los desastres, la investigación sobre cambio climático o los estudios sobre desarrollo.
Bohle (2001) destaca que la vulnerabilidad tiene una doble estructura basándose en el enfoque de la Geografía social y numerosos estudios sobre hambrunas. Un lado interno, que se corresponde con la habilidad de anticipar, hacer frente, resistir y recuperarse del impacto de una amenaza. Y un lado externo, que se relaciona con la exposición al riesgo.
La parte externa y la parte interna se influyen mutuamente. Destaca el hecho de incorporar la exposición como un elemento más de la vulnerabilidad. En este sentido, desde la perspectiva de la doble estructura de la vulnerabilidad, la exposición va más allá de la ubicación espacial, incluyendo aspectos que generan situaciones de riesgo, como la exclusión de las redes sociales.
En el campo de estudio de los riesgos de desastre la forma más generalizada de sistematizar la vulnerabilidad, la exposición y la capacidad de hacer frente (coping capacity) es hacerlo como conceptos separados. A continuación, se presentan tres modelos diferentes dentro de este campo.
En el modelo de Davidson & Shah (1997) el riesgo de desastre lo componen cuatro elementos. La amenaza, compuesta por la probabilidad y la severidad; la exposición, formada por las estructuras, las personas y la economía; la vulnerabilidad, en la cual se distingue la dimensión física, la social, la económica y la ambiental. Por último, las capacidades y las medidas, donde se encuentra el planeamiento físico, la capacidad social, la capacidad económica y la gestión.
Desde otra perspectiva, Villagrán de León (2011) define el riesgo a partir de un triángulo compuesto por tres componentes, la vulnerabilidad, la amenaza y las deficiencias en la preparación. En este marco, la vulnerabilidad está conformada por las condiciones preexistentes que hacen a la infraestructura, los procesos, los servicios y la productividad más propensos a sufrir daños por una amenaza externa. Las deficiencias en preparación es lo opuesto a la capacidad de afrontar la amenaza. Y la exposición la considera como un componente de la propia amenaza.
Dentro del campo del riesgo de desastres, se puede destacar el marco conceptual desarrollado por la Oficina de Naciones Unidas para la Reducción del Riesgo de Desastres (UNISDR, 2004). Según UNISDR, la vulnerabilidad es un elemento determinante en la aparición del riesgo y está formada por la componente social, la económica, la física y la ambiental. El presente marco conceptual tiene en cuenta las distintas fases de la gestión del riesgo: el análisis de la amenaza; el análisis de la vulnerabilidad; la determinación del riesgo; los sistemas de alerta temprana; la preparación y la respuesta. La determinación de la vulnerabilidad es aquí una precondición para una adecuada gestión del riesgo.
La lectura que hace Birkmann (2006) de este modelo es que no explicita las formas de reducir la vulnerabilidad. Otra observación que hace es que no incluye la cuestión de la exposición en el modelo, dejando abierta la posibilidad de incluirla como parte de la amenaza o como parte de la vulnerabilidad.
Si bien es cierto que el modelo no trata la cuestión de la exposición, sí que recoge medidas que se pueden poner en práctica para reducir el riesgo, como la gestión ambiental, prácticas de desarrollo social y económico (incluyendo medidas contra la pobreza, seguridad de subsistencia, mecanismos de financiación, salud, agricultura, etc.), planeamiento urbano y usos del suelo, protección de instalaciones críticas y el establecimiento de contactos y asociaciones. Algunas de estas medidas reducen el riesgo reduciendo, precisamente, la vulnerabilidad.
UNISDR (2004) incluye la vulnerabilidad y la reducción del riesgo dentro del contexto del desarrollo sostenible. Esto muestra claramente la necesidad de que la reducción del riesgo debe promover un desarrollo sostenible a través de un adecuado equilibrio entre los objetivos sociales, los económicos y los medioambientales. Birkmann (2006) destaca que, en ocasiones, la reducción de la vulnerabilidad y el desarrollo sostenible deben enfrentarse a profundos conflictos sociales, económicos y ambientales, que no pueden ser resueltos mediante una simple visión del problema. Se hace necesario definir con más detalle las conexiones entre la reducción del riesgo y el desarrollo sostenible.
Como marco representativo de esta comunidad científica se considera el de Turner et al. (2003), quienes introducen la vulnerabilidad dentro del contexto del sistema formado por la población humana y el medioambiente. La vulnerabilidad abarca la exposición, la sensibilidad y la resiliencia. Siendo parte de la resiliencia, y por tanto de la vulnerabilidad, la capacidad de respuesta, la respuesta a los impactos y la respuesta adaptativa.
A partir del quinto informe del Panel Intergubernamental de Cambio Climático (IPCC, 2014), sin embargo, el marco conceptual de cambio climático se aproxima al de la gestión del riesgo de desastres. El concepto de riesgo pasa a ser central, y se compone de la amenaza, la exposición y la vulnerabilidad. Ésta última a su vez se compone de la sensibilidad y la capacidad de adaptación.
En la escuela de la ecología política el modelo más importante es el “pressure and release model” (modelo PAR, por las siglas en inglés) elaborado por Blaikie et al. (1994) y ampliado por Wisner, Blaikie, Cannon y Davis (2004). Según este modelo los desastres son el resultado de la interacción de los procesos que generan vulnerabilidad, por un lado, y un evento natural potencialmente peligroso, por otro. El PAR se basa en que la vulnerabilidad y el desastre pueden ser vistos como procesos que cambian a lo largo del tiempo incrementando la presión, junto con oportunidades para liberar esa presión. El riesgo es por tanto el resultado de la amenaza y la vulnerabilidad.
Se distinguen aquí tres niveles diferentes de vulnerabilidad: causas profundas, presiones dinámicas y condiciones inseguras. Las causas profundas pueden ser procesos económicos, demográficos o políticos que determinan el poder y el acceso a los recursos. Se encuentra relacionado con las cuestiones de buena gobernanza y de distribución del poder dentro de una sociedad. Se incluyen también las ideologías políticas y económicas ya que proporcionan una forma de entender el mundo y legitiman las desigualdades de una sociedad.
En un segundo nivel se encuentran las presiones dinámicas. Éstas abarcan todos aquellos procesos y actividades que transforman y canalizan los efectos de las causas profundas en condiciones de inseguridad. Por ejemplo, la falta de una adecuada formación, la ausencia de libertad de prensa, cambios rápidos de la población, rápida urbanización o la deforestación.
El último nivel es el de las condiciones inseguras, que hacen referencia a formas específicas en las que la vulnerabilidad humana es expresada. Este nivel lo forman a su vez cuatro aspectos diferenciados: el ambiente físico (localizaciones peligrosas, edificios e infraestructuras vulnerables), la economía local (subsistencia en peligro o bajos niveles de ingresos), las relaciones sociales (grupos especiales en riesgo o falta de instituciones locales), y las acciones públicas e instituciones (falta de preparación ante desastres).
El modelo PAR pone especial atención en el hecho de que no es suficiente con identificar la vulnerabilidad, sino que hay que ir más allá. Es necesario comprender las presiones dinámicas y las causas profundas que generan las condiciones de inseguridad. Sin embargo, debido a la multicausalidad de las condiciones de inseguridad y a que es un proceso en continuo cambio, resulta complicado establecer conexiones de un modo cuantitativo entre cada uno de los niveles de vulnerabilidad.
Este modelo es uno de los más conocidos internacionalmente de los que se centran en la vulnerabilidad y en sus causas. Desde este enfoque, un esfuerzo real para reducir la vulnerabilidad implica cambiar los sistemas económicos y políticos, ya que estos son vistos como las causas profundas. Este enfoque será central en el análisis de la vulnerabilidad realizado en este trabajo.
El enfoque holístico procede de los trabajos de Cardona (2001). Según este enfoque, la vulnerabilidad está compuesta por tres dimensiones diferentes: la exposición física y la susceptibilidad, definida como riesgo duro (hard risk) y que es dependiente del tipo de amenaza; la fragilidad del sistema socioeconómico vista como riesgo blando (soft risk) e independiente del tipo de amenaza; y la falta de resiliencia para afrontar y recuperarse, vista también como riesgo blando e independiente del tipo de amenaza.
Desde este enfoque se afirma que los indicadores o índices de vulnerabilidad deben de ser elaborados desde una perspectiva multidisciplinar. Ya que por un lado captan los impactos físicos directos y, por otro, aspectos indirectos e incluso cuestiones intangibles.
La clasificación en riesgos duros y riesgos blandos es muy discutible, aunque es cierto que este enfoque recoge en cierta medida la multidimensionalidad de la vulnerabilidad. Carreño, Cardona y Barbat (2007) revisan el modelo y cambian los conceptos de hard risk y soft risk por los de daño físico y factor de impacto.
El marco conceptual BBC (Birkmann, 2006) se basa en los modelos presentados anteriormente. El término BBC se debe a la inicial de los autores Bogardi, Birkmann y Cardona. Es el resultado de la discusión acerca de cómo conectar la vulnerabilidad, la seguridad humana y el desarrollo sostenible.
Desde este enfoque, la vulnerabilidad va más allá de la estimación de las deficiencias y los impactos de desastre. Es necesario ver la vulnerabilidad como un proceso, esto es dinámico y cambiante a lo largo del tiempo, que se centra en las vulnerabilidades, las capacidades de hacer frente, y las herramientas de intervención que pueden reducir potencialmente las vulnerabilidades. En este modelo se distingue entre antes de que se presente el desastre y después.
En lugar de distinguir entre hard risk y soft risk, este modelo se centra en las tres áreas temáticas del desarrollo sostenible: la social, la ambiental y la económica. La vulnerabilidad la forman esas tres esferas.
Aunque la vulnerabilidad de la economía y de la sociedad (antroposfera) son las esferas centrales, este marco conceptual también tiene en cuenta la vulnerabilidad de la dimensión biofísica a través de la esfera ambiental. De esta forma, este marco muestra las estrechas relaciones entre la naturaleza y la sociedad, no limitando la parte ambiental a la esfera de la amenaza.
Oliver-Smith (2002) señala que las concepciones occidentales dominantes de las relaciones entre los seres humanos y la naturaleza a menudo se conciben como un juego entre opuestos. La forma de pensamiento por la cual se dividen lo humano y lo natural es una construcción cultural que no se da en todas las sociedades ni en todos los periodos históricos. En relación con lo anterior, el marco BBC no sitúa únicamente la parte “natural” como origen de la amenaza, sino que la sitúa también como un elemento vulnerable.
En relación con la exposición, este modelo la incluye en parte en la amenaza y en parte como la dimensión espacial de la vulnerabilidad. Por último, la reducción de la vulnerabilidad de una esfera a cambio de incrementar la vulnerabilidad de otra no implica una reducción real de la vulnerabilidad.
Cutter, Boruff y Shirley (2003) proponen una de las aproximaciones más interesantes al estudio de la vulnerabilidad social. El Índice de Vulnerabilidad Social (SoVI, por sus siglas en inglés en Cutter et al. (2003)) se basa en el cálculo de un índice mediante variables procedentes del censo de los Estados Unidos.
Este modelo parte de 42 variables del censo de los Estados Unidos que se reducen en una serie de factores mediante un análisis de componentes principales. Entre los factores que obtienen se encuentran el estatus socioeconómico, género, grupo étnico y edad, entre otros. El SoVI es un enfoque que tiene en cuenta un buen número de dimensiones relacionadas con la vulnerabilidad social.
A pesar de la variedad y profundidad teórica de éstos y otros modelos conceptuales sobre la vulnerabilidad en general y de la vulnerabilidad social en particular, las implementaciones concretas a través de trabajos específicos suelen presentar ciertas características comunes. En líneas generales, se puede decir que en España existen dos aproximaciones para el análisis de la vulnerabilidad. La cartográfica, donde se analiza la vulnerabilidad o la exposición a través de objetos o entidades territoriales como los usos del suelo, las infraestructuras, etc., y la estadística, que necesita de unidades espaciales administrativas, como los municipios o secciones censales, con información estadística para la elaboración de indicadores.
En la primera aproximación cabe mencionar el análisis de los usos del suelo a partir de los cuales se deriva el valor económico del suelo y la exposición humana al peligro (Camarasa-Belmonte, López-García y Soriano García, 2008), un análisis de diferentes casos de inundaciones en España (Arranz Lozano, 2008), una propuesta de indicadores de vulnerabilidad social (Perles Roselló, 2010), el uso de la información catastral para la evaluación de la exposición a la peligro de inundaciones (Pérez-Morales, Gil-Guirado y Olcina, 2016), una propuesta de cartografía de vulnerabilidad adaptada a la directiva europea de inundaciones (Perles Roselló, Sortino Barrionuevo y Cantero Prados, 2017) y el análisis de los cambios de uso del suelo en el período 1957-2007 y sus efectos frente a las inundaciones y los fenómenos de erosión (Gallegos Reina & Perles Roselló, 2019).
Mientras que en la segunda aproximación puede citarse algunos ejemplos como una propuesta de evaluación de la vulnerabilidad social basado en un modelo multicriterio desarrollado mediante encuestas a un panel de expertos (Ruíz-Pérez y Grimalt Gelabert, 2012), un análisis de vulnerabilidad social ante amenazas naturales en Manzanillo, Colombia, basado en el análisis de componentes principales (Bohórquez, 2013), y una propuesta metodológica para la evaluación de la vulnerabilidad social frente a las inundaciones basada también en el análisis de componentes principales (Pérez Morales, Navarro Hervás y Álvarez Rogel, 2016).
El presente estudio se enmarca dentro de la segunda aproximación. Concretamente se aplica el análisis de componentes principales (Cutter et al., 2003; Fekete, 2009; Bohórquez, 2013; Pérez Morales et al., 2016; Aguado-Moralejo, Echebarría y Barrutia, 2019) como primera etapa de la metodología propuesta para el análisis de la vulnerabilidad.
Una problemática a la que enfrenta esta aproximación radica en la ponderación de las variables o factores obtenidos mediante técnicas estadísticas (Pérez Morales et al., 2016). En algunos casos se ponderan de igual modo todos los factores obtenidos y, en otros, se utilizan las puntuaciones factoriales resultado del análisis de componentes principales. Cutter, Burton y Emrich (2010) afirman que aunque existan métodos basados en el análisis de los datos para establecer los pesos, estos no siempre reflejan las prioridades de los tomadores de decisiones. Se podría añadir que los pesos obtenidos de esta forma pueden no tener un sustento teórico ni basado en la bibliografía sobre la vulnerabilidad a los riesgos naturales.
En este sentido, el objetivo de este estudio consiste en proponer una metodología que contribuya al estudio de la vulnerabilidad social al riesgo de desastres naturales basado en el análisis de componentes principales y en el análisis clúster. Gracias a este último, no es necesario ponderar los factores, solventando así el problema mencionado anteriormente. Para mostrar la metodología se ha aplicado al entorno urbano de Almería.
Almería capital es una ciudad costera situada en la bahía del mismo nombre. Posee una forma triangular delimitada por tres frentes: el río Andarax al este, el mar al sur y las estribaciones de la sierra de Gádor al oeste y al norte. El emplazamiento se caracteriza por una planicie de aluvión que cae en suave pendiente al mar. La estructura urbana del área histórica se caracteriza por una organización de tipo orgánico, de plano irregular, no habiendo un diseño racional de ciudad. Almería pertenece al espacio estratégico denominado “arco del Mediterráneo español” que es considerado un importante eje de desarrollo europeo. La fundación de la ciudad se debe a razones de tipo estratégico militar y comercial, de comunicaciones y transporte.

B: Madinat al Dajiliyya; C: Al Musalla; D: Al Hawd
Fuente: Fernández Martínez, 2006El origen de Almería como ciudad data del siglo IX. En sus inicios, se desarrolla como un barrio marítimo alrededor de la atalaya construida en el cerro de la Alcazaba para la defensa de Bayyana (actual Pechina). Durante el siglo IX el puerto es el lugar de refugio de una importante flota de naves. En el año 955 Abderramán III ordena la construcción de una nueva Alcazaba y un sistema de murallas que defienda su interior. A partir de ese momento Almería se independiza de Pechina (Fernández Martínez, 2006).
La estructura urbana de Almería en su momento de máximo esplendor (siglo XI) consistía en (Figura 1): Un núcleo central, Madinat al Dajiliyya, rodeado de murallas, donde se encontraba la mezquita mayor, otras mezquitas menores, la alcaicería, las atarazanas y el comercio; dos barrios relativamente autónomos, Al Musalla . Al Hawd, a levante y a poniente respectivamente, protegidos por sus propias murallas, y que se organizaban alrededor de su propia mezquita, teniendo hornos, baños, zoco, etc...; y la Alcazaba, que dominaba a los anteriores y constituía el centro del poder político, militar, administrativo, además de poético y artístico. El núcleo central y el barrio occidental tenían una mayor densidad de población que el barrio oriental, debido a que las murallas de este último abarcaban un espacio mucho mayor que los anteriores. Tanto el núcleo central como el barrio occidental fueron despoblados casi en su totalidad a consecuencia del terremoto de 1487, la conquista cristiana en 1489, y el terremoto de 1522. Desde este momento la ciudad no recuperaría su esplendor hasta el siglo XIX.
Durante los siglos XVI y XVII la ciudad se expandió por el barrio oriental (Figura 2), en donde se construye la Catedral-fortaleza (1524-1559), los primeros templos y conventos, y las viviendas. En las plazas se concentran las casas de las familias privilegiadas, mientras que las clases populares ocupan los barrios de Coca, de las Peñas y del Hospital. Existían además numerosos huertos intramuros.
En el siglo XIX se produce el florecimiento de la ciudad, produciéndose un aumento de la población y construcciones, en donde la exportación de la minería y de la uva a través del puerto juego un papel fundamental. A lo anterior se une que en 1833 se institucionaliza definitivamente la capitalidad de Almería respecto a la provincia, con la consecuente concentración administrativa y de servicios. El ayuntamiento toma una serie de medidas que desembocarán en la Almería contemporánea (Figura 3): derribo de las murallas, construcción del Paseo de Almería, el ensanche al levante de la ciudad, y el encauzamiento de la rambla.
En el siglo XX se produce un declive económico frenándose los cambios urbanos. No es hasta la década de los 60 cuando se vuelve a construir, debido al “boom inmobiliario”, permitiendo el crecimiento de la ciudad de una manera desordenada y a merced exclusiva de los intereses privados.
Lo descrito anteriormente recoge las principales transformaciones de la estructura urbana de Almería. Se ha observado cómo la topografía, los límites establecidos por los cerros, el mar y las ramblas, y diversos desastres han condicionado el crecimiento y desarrollo de la ciudad. A este respecto, destacan dos acontecimientos: el despoblamiento del núcleo central árabe y del barrio de poniente, debido a la conquista cristiana y fundamentalmente a los terremotos de 1487 y 1522 (Vidal, 1986). Lo que condicionará el futuro crecimiento al este del centro original; y el desvío en el siglo XIX de la rambla de Belén, que constituía un elemento de riesgo por inundaciones, lo que posibilitó el crecimiento hacia el levante.
Los desastres acontecidos en Almería han sido numerosos y de diversos tipos a lo largo de la historia. Incluyendo terremotos (Vidal, 1986; Espinar Moreno, 1994), inundaciones (Capel Molina, 1987), sequías, plagas y epidemias (Guerrero Montero, 2004). Además, debe tenerse en cuenta que, según las previsiones del Panel Intergubernamental sobre Cambio Climático así como de otros modelos (Camarillo Naranjo, Alvarez Francoso, Limones Rodríguez, Pita López y Aguilar-Alba, 2016), los eventos climáticos extremos incrementarán su frecuencia y su magnitud a consecuencia del cambio climático.
Muchos de estos desastres tuvieron como consecuencia una gran pérdida de vidas humanas y numerosos daños en casas e infraestructuras. Los desastres más importantes dejaron huellas tan profundas que llevó decenios recuperarse. Todos estos acontecimientos justifican la pertinencia de este tipo de estudios para reducir la vulnerabilidad y aumentar la resiliencia de la sociedad almeriense.
En la actualidad la ciudad de Almería tiene una población de 150.000 personas y se divide en 102 secciones censales (Figura 4). Se trata por tanto de un análisis de vulnerabilidad intraurbano.

Como se expuso en la introducción, la vulnerabilidad a los riesgos naturales depende de aspectos tan dispares como el estatus socioeconómico, el grupo étnico, el género, la edad, la educación, la estructura familiar, las redes sociales, y un largo etcétera. Los diferentes aspectos que incrementan la vulnerabilidad se relacionan entre sí, no siendo ninguno consecuencia de otro, sino que están interrelacionados. Una sola de estas características puede no ser suficiente para generar una situación de vulnerabilidad, pero la confluencia de varias de ellas sí que puede ser decisiva. Las características sociales anteriores deben de traducirse en variables concretas que puedan ser medidas para poder realizar una aproximación de corte cuantitativo.
Por ser variables interdependientes se opta por el análisis multivariante para el estudio de la vulnerabilidad. El análisis multivariante es el conjunto de métodos estadísticos cuya finalidad es analizar simultáneamente conjuntos de datos multivariantes en el sentido de que hay varias variables medidas para cada entidad estudiada. Su razón de ser radica en un mejor entendimiento del fenómeno objeto de estudio, obteniendo información que los métodos estadísticos univariantes y bivariantes son incapaces de conseguir.
Dentro de las técnicas multivariantes se ha seleccionado el análisis de componentes principales (Pearson, 1901) y el análisis k-means (Lloyd, 1982; MacQueen, 1967; Steinhaus, 1957) que pertenecen a los métodos de interdependencia. Estos métodos no distinguen entre variables dependientes e independientes y su objetivo consiste en identificar qué variables están relacionadas, cómo lo están y por qué. La combinación del análisis de componentes principales y del análisis k-means conforman un procedimiento muy potente para la comprensión de grandes cantidades de datos y la clasificación de los casos.
Unas variables incrementan la vulnerabilidad mientras que otras la reducen. Por ejemplo: las personas mayores de 65 años tienen más dificultades en situaciones de desastre debido a problemas de movilidad y situaciones de aislamiento social; los hogares unipersonales cuentan en general con menos recursos, lo que dificulta la recuperación; la población analfabeta y sin estudios puede tener dificultades para anticipar el desastre y para acceder a programas de ayuda posteriores al evento; las familias con recursos económicos altos pueden alquilar una vivienda o iniciar las reparaciones con mayor facilidad que las personas sin recursos; la población con formación elevada puede desplazarse en busca de trabajo a otros lugares con mayor facilidad que aquellos que no tienen formación.
Si bien la vulnerabilidad física de las construcciones puede ser determinante durante el evento del desastre, la vulnerabilidad asociada a las características de los grupos sociales abarca no sólo la fase de desastre, sino también las fases previas y especialmente la de recuperación. Es por tanto fundamental pasar de un enfoque centrado en el desastre como evento, a un enfoque que considere las diferentes fases del riesgo de desastre.
Para estudiar el gran número de variables de las que depende la vulnerabilidad social se realiza en primer lugar un análisis de componentes principales (PCA, por sus siglas en inglés) (Pearson, 1901). El PCA es una técnica estadística que permite reducir el número de variables obteniendo unos grupos homogéneos, o factores, que expliquen la mayor variabilidad de los datos. Esos grupos homogéneos se forman por variables que tienen una alta correlación entre sí.
Por tanto, con el análisis de componentes principales se busca reducir la dimensionalidad del conjunto de datos iniciales, logrando el mínimo número de dimensiones capaces de explicar la mayor variabilidad contenida en los datos.
Este análisis consta de diferentes etapas. En la primera de ellas se comprueba si las variables de partida satisfacen los requisitos para que el PCA sea pertinente. Para ello se utiliza el determinante de la matriz de correlaciones, la medida de Kaiser-Meyer-Olkin conocida como KMO (Cerny & Kaiser, 1977; Dziuban & Shirkey, 1974; Kaiser, 1970) y la prueba de esfericidad de Bartlett (Bartlett, 1951).
La medida de adecuación muestral KMO contrasta si las correlaciones parciales entre las variables son suficientemente pequeñas. Permite comparar la magnitud de los coeficientes de correlación observados con la magnitud de los coeficientes de correlación parcial. Este estadístico varía entre 0 y 1. Cuando el valor es menor a 0,5 se considera que el PCA no es adecuado debido a que las correlaciones entre pares de variables no pueden ser explicadas por otras variables. Por contra, cuanto mayor sea el valor más pertinente será el análisis.
La prueba de esfericidad de Bartlett permite contrastar la hipótesis nula de que la matriz de correlaciones es una matriz identidad, en cuyo caso no existirían correlaciones significativas entre las variables indicando que el PCA no sería pertinente.
Se procede seleccionando diferentes variables a partir del conjunto inicial de forma que se satisfagan las pruebas anteriores. A continuación, se realiza el PCA. En éste se obtienen los factores y las variables que son explicadas por los mismos. Aquí se vuelven a seleccionar aquellas variables que tienen un mayor peso.
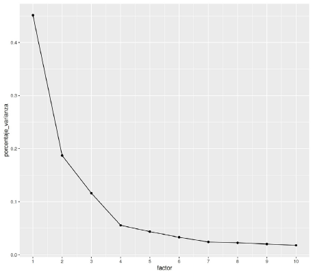
A continuación, se selecciona el número de factores más adecuado a partir del gráfico de sedimentación. Éste muestra la varianza explicada por cada uno de los factores.
Por último, se obtiene la matriz de componentes rotados. Existen para ello diferentes métodos como Varimax, Quartimax, Equamax entre otros. En este estudio se ha empleado la rotación Varimax, la cual se trata de un método de rotación ortogonal que minimiza el número de variables que tienen saturaciones altas en cada factor. Esta matriz facilita la interpretación de los factores a partir de las variables iniciales.
El k-means es un tipo de análisis clúster que forma parte de lo que se denomina, en machine learning, algoritmos de aprendizaje no supervisado. El objetivo del clustering es agrupar las observaciones que tienen variables similares entre sí sin contar con una variable dependiente que se pretenda predecir.
Se trata de una técnica de agregación alrededor de centros de gravedad móviles. Siendo éstos los puntos de un clúster donde la suma de las distancias euclídeas al cuadrado de cada individuo con dicho centro es mínima. Los casos se agrupan en cada etapa cambiando el centro de gravedad de los grupos.
Esta técnica clúster es de tipo no jerárquica y requiere de un número fijo de clústers que deben ser definidos inicialmente. Debido a que inicialmente se desconoce la cantidad más adecuada de grupos que caractericen los datos de partida, se ha empleado el análisis de conglomerados jerárquicos. A partir de éste se obtiene un dendograma, que es un gráfico en forma de árbol que muestra las distancias entre las observaciones y cómo éstas se agrupan sucesivamente. De esta forma, se puede interpretar cuál es el punto de corte más adecuado y decidir así el número de clústers.
Para medir la similitud de los casos entre sí existen diferentes métodos entre los que se encuentran la distancia Manhattan, la distancia métrica de Chebychev o el método de Ward. La empleada en este estudio ha sido el método de Ward con distancia euclídea al cuadrado. El método de Ward aumenta la homogeneidad dentro de los grupos. Mientras que la distancia euclídea al cuadrado incrementa las distancias, respecto a la distancia euclídea, lo que facilita la compresión del dendograma.
Por último, para la determinación de la vulnerabilidad social se interpretan los centros de los clústers obtenidos. Mediante este procedimiento no es necesario obtener un único valor de vulnerabilidad combinando los factores obtenidos en el análisis de componentes principales. Con ello se evita la ponderación a priori de éstos, ya sea de forma equiponderada o con pesos diferenciados.
Se han seleccionado un total de 41 variables candidatas (Tabla 1) cuyas fuentes han sido el censo de población y vivienda de 2011 y el atlas de distribución de renta de los hogares, ambas publicadas por el Instituto Nacional de Estadística (INE).
La aproximación a la vulnerabilidad social en este estudio se basa en un enfoque multi-amenaza. Por tanto, las variables reflejan la vulnerabilidad social al riesgo de desastres en su conjunto, sin especificar una amenaza concreta como los terremotos o las inundaciones. Este mismo enfoque puede observarse en trabajos de referencia como Blaikie et al. (1994) y Cutter et al. (2003).
Estas variables pueden dividirse en dos tipos, aquellas que abarcan aspectos relacionados con la población, y las que están relacionadas con aspectos de los edificios y de las viviendas. Algunos autores (e.g. Cardona, 2001) consideran que los aspectos físicos (edificaciones e infraestructuras) constituyen la dimensión “dura” de la vulnerabilidad, mientras que los aspectos sociales conforman la dimensión “blanda” de la misma. Desde el planteamiento de este trabajo, el cual recoge las aportaciones de Blaikie et al. (1994) y Wisner et al. (2004), ambas dimensiones son igualmente determinantes en la vulnerabilidad social.
Posteriormente, se han seleccionado las variables analizadas a partir de las variables candidatas anteriores. De forma iterativa se han ido seleccionando variables que permitiesen satisfacer las pruebas del determinante de la matriz de correlaciones, la prueba de esfericidad de Bartlett y el KMO. Adicionalmente. el conjunto de variables analizadas debía cumplir la condición de caracterizar adecuadamente, en base a los principales marcos teóricos, la vulnerabilidad social.
En base a los criterios descritos en el párrafo anterior, se han seleccionado 14 variables para el análisis (Tabla 2). El determinante de la matriz de correlaciones de las variables seleccionadas es próximo a cero (1,39 x 10-6), en la prueba de esfericidad de Bartlett se obtiene un nivel de significación de 0 y el KMO es de 0,82. Todo lo anterior indica que el análisis de componentes principales es pertinente.

Las variables analizadas recogen aspectos que se destacan en la bibliografía como constituyentes de la vulnerabilidad a los riesgos naturales (Blaikie et al., 1994; Cutter et al., 2003). Se cuenta con variables que recogen aspectos de la estructura demográfica de la población, menores de 16 años y mayores de 64, siendo estos grupos de edad más vulnerables a los desastres. Aspectos étnicos cuyas diferencias de culturales y de idioma pueden dificultar la prevención y posterior recuperación de un desastre mediante la variable nacidos en África. Aspectos educativos que pueden suponer un hándicap en las diferentes fases del riesgo desastres, siendo la población analfabeta, sin estudios o con estudios de primer grado más vulnerables que la población con estudios de tercer grado. Aspectos económicos, donde una mayor renta por hogar y por persona disminuirá la vulnerabilidad debido a una mayor capacidad para mitigar los efectos de un evento natural extremo, para afrontar los costes de la reconstrucción y para sufragar los costes básicos de vida ante una eventual interrupción de la fuente de ingresos. Así mismo, la fuente de los ingresos es un indicativo de la situación económica, ya sean pensiones o algún tipo de prestaciones. Finalmente, se han agrupado las variables de edificios en estado deficiente, malo y ruinoso en una sola, recogiendo aspectos de la vulnerabilidad del entorno construido, siendo los edificios con estas características más susceptibles a sufrir daños durante un evento natural extremo.
El modelo obtenido mediante el análisis PCA consta de 3 factores que explican el 75,5 % de la varianza total. El gráfico de sedimentación muestra la varianza explicada por cada uno de los factores (Figura 5).

Mediante una rotación varimax se ha distribuido la varianza de los primeros factores a los últimos para lograr un patrón de factores más simple, más significativo y más fácil de interpretar (Tabla 3).

A continuación, se han interpretado los tres factores obtenidos en base a las cargas factoriales de cada variable para cada factor.
Como se mencionó anteriormente, estos factores no explican los casos (secciones censales), sino que explora las relaciones de interdependencia entre las variables. Este resultado permite agrupar gran cantidad de variables en unos pocos factores facilitándonos la interpretación de los datos.
El primer factor explica el 45,16 % de la varianza. Éste muestra que existen relaciones de interdependencia entre la población sin estudios, población con estudios de primer grado, y en un sentido negativo, con población con estudios de tercer grado, renta media por hogar, renta media por persona y otras fuentes de ingresos. Este factor se ha denominado “estatus socioeconómico bajo”.
El segundo factor explica el 18,71 % de la varianza. Se trata de un factor que recoge la interdependencia de la población mayor de 64 años y fuente de ingresos pensiones, además de la ausencia de menores de 16 años. Se ha denominado “población envejecida”.
El tercer y último factor explica el 11,61 % de la varianza. Este factor indica una alta interdependencia, entre la población nacida en África, población analfabeta, fuentes de ingreso de prestaciones por desempleo y otras prestaciones y donde los edificios están en un estado deficiente, malo o ruinoso. Este factor se ha denominado “población inmigrante en exclusión social”.
El dendograma siguiente (Figura 6), obtenido mediante el análisis de conglomerados jerárquicos, muestra cómo se agrupan las observaciones, en este caso las secciones censales. Las ramas finales se corresponden con las 102 secciones censales del área de estudio. Puede observarse cómo la línea de corte con el dendograma donde se obtienen 5 clústers resulta adecuada.

Mediante el análisis k-means, calculado para 5 grupos, se han obtenido los centros de los clústers siguientes (Tabla 4).

Una vez que se han obtenido los clústers y se conocen el centro de los mismos, se pueden interpretar para asignar un nivel de vulnerabilidad a cada uno de ellos.
El primer clúster se caracteriza por un valor negativo del primer factor, es decir, por un estatus socioeconómico alto unido a una educación de tercer grado por lo que se le ha asignado una vulnerabilidad muy baja. El segundo clúster se ha considerado de vulnerabilidad media ya que tiene un estatus socioeconómico medio y una baja población envejecida. Al tercero se le ha asignado una vulnerabilidad alta debido a que se caracteriza por el primer factor de estatus socioeconómico bajo. El cuarto clúster es el de mayor vulnerabilidad puesto que presenta un estatus socioeconómico muy bajo unido al tercer factor de población inmigrante en exclusión social. Finalmente, al quinto clúster se ha asignado una vulnerabilidad baja debido a que tiene un estatus socioeconómico medio y una población relativamente envejecida.
En la Figura 7 se muestra la distribución de las secciones censales según los factores obtenidos y el clúster al que pertenecen habiéndole asignado ya los niveles de vulnerabilidad.

La tabla siguiente (5) muestra el número de secciones censales, la población y el porcentaje de población por cada clúster de vulnerabilidad.

Finalmente, una vez que se ha obtenido la vulnerabilidad para cada una de las secciones censales, se representan espacialmente en el mapa de vulnerabilidad (Figura 8).

Las secciones censales que pertenecen a los clústers de vulnerabilidad alta y muy alta suponen el 32,9 % de la población. Éstas se distribuyen espacialmente en zonas periféricas y de poca accesibilidad. Las secciones censales con vulnerabilidad muy alta obtienen esta categorización debido al estatus socioeconómico bajo y a la población inmigrante en exclusión social y se ubican en la zona Oeste junto al río Andarax (36.845ºN, 2.43ºW). Destaca también la franja que transcurre del SO (36.84ºN, 2.48ºW) al NE (36.86ºN, 2.45ºW) que se encuentra constreñida por las estribaciones de la sierra de Gádor.
Por otra parte, las secciones censales con vulnerabilidad muy baja se ubican en el centro económico y comercial de la ciudad (36.84ºN, 2.46ºW) y en la zona SE (36.82ºN, 2.43ºW) donde se ubican viviendas unifamiliares de estatus socioeconómico medio y alto.
En este estudio se ha mostrado la aplicación del análisis de componentes principales junto con el análisis clúster para la determinación de la vulnerabilidad social a escala intraurbana. La combinación de estas técnicas ha permitido abordar la complejidad del estudio de la vulnerabilidad social donde participan un gran número de variables que abarcan diferentes aspectos.
En el caso analizado en este estudio, se observa una distribución espacial de la vulnerabilidad social donde zonas con niveles similares de vulnerabilidad tienden a agruparse entre sí y la presencia de espacios de transición entre las zonas de vulnerabilidad muy baja hacia las zonas de vulnerabilidad alta y muy alta. El conocimiento de las características que determinan la vulnerabilidad social junto con su distribución espacial es de gran utilidad a la hora de implementar políticas de gestión del riesgo antes, durante y después del desastre.
La metodología propuesta para el estudio de la vulnerabilidad social a los riesgos naturales puede ser aplicada a otras ciudades, así como a otras escalas. Para ello, se deberán seleccionar, en base a la disponibilidad de información, las variables que mejor caractericen la vulnerabilidad. Además, se deberán seleccionar las unidades de análisis adecuadas como municipios, provincias, autonomías o incluso estados, según sea la escala provincial, regional o nacional.
Respecto a los factores obtenidos en el análisis de componentes principales, que se han denominado “estatus socioeconómico bajo”, “población envejecida” y “población inmigrante en exclusión social”, son coherentes con estudios previos sobre vulnerabilidad social. Los dos factores con mayor varianza explicada por Cutter et al. (2003) son “riqueza personal” y “edad” que coinciden con los dos primeros factores obtenidos, el sexto factor que obtienen es “raza – afroamericana” que equivaldría con el tercer factor en el área de estudio analizada. Respecto a Pérez Morales et al. (2016), el segundo y tercer factor que obtienen sobre la “estructura demográfica” y la “estructura socioeconómica” están directamente relacionados con los dos primeros factores que se han obtenido en este trabajo.
La aportación más significativa de este estudio radica en la combinación del análisis de componentes principales junto con el análisis clúster para la determinación de la vulnerabilidad social al riesgo de desastres, lo que evita la necesidad de ponderar las variables o factores. Si bien el análisis de componentes principales ya ha sido utilizado con anterioridad en el análisis de vulnerabilidad, el hecho de establecer una ponderación a priori de las variables utilizadas en la determinación de la vulnerabilidad puede introducir un sesgo inicial elevado ya que se trata de un fenómeno multidimensional y complejo. Incluso la ponderación a partir de los pesos factoriales puede no ser adecuada ya que podrían presentarse variables con altas puntuaciones factoriales debido a la correlación existente entre las variables, pero cuyo sustento teórico sea débil.
Mediante la reducción de dimensiones con el análisis de componentes principales y la agrupación de casos mediante el análisis k-means se obtienen unos grupos con características homogéneas. Esto permite asignar la vulnerabilidad en última instancia a partir de los centros de los clústers. Se considera por tanto que esta metodología puede ser de utilidad para analizar las múltiples variables involucradas en la vulnerabilidad social ya que facilita la interpretación de las entidades analizadas.
Por otra parte, resulta pertinente destacar tres limitaciones respecto a la metodología empleada. La primera es la de la asignación de la vulnerabilidad. La limitación se debe al carecer de un valor numérico de vulnerabilidad. Sin embargo, se considera que esta asignación del nivel de vulnerabilidad en base a la interpretación de las características de los clústers no es más subjetiva que otras decisiones que se toman en cualquier investigación de este tipo. Desde la selección de las variables hasta la ponderación de las variables. La solución radica en que las decisiones tomadas sean explicitadas y basadas en un marco teórico consistente.
Una segunda limitación de la metodología propuesta consiste en que la vulnerabilidad obtenida debe entenderse siempre de forma relativa y en función a las zonas estudiadas. Por ejemplo, en el caso de estudio analizado, las secciones censales de vulnerabilidad alta y muy alta podrían dejar de serlo si el área de estudio considerada fuese mayor. Es decir, al carecer de un valor de vulnerabilidad absoluto no permite la comparación directa entre diferentes áreas de estudio. Para comparar diferentes áreas de estudio se debería aplicar la metodología considerando todas las áreas al mismo tiempo, de esta forma sería posible compararlas de forma relativa.
La tercera limitación tiene relación con la coincidencia en el nivel de detalle espacial que suelen presentar los mapas de peligrosidad actualmente disponibles y, por tanto, la dificultad para derivar mapas de riesgo con que presenten un gran detalle espacial. Así, por ejemplo, en el caso de las inundaciones, la cartografía existente suele proceder de análisis hidrológicos en los que la información esencial son los modelos digitales de elevaciones (MDE), cuyas resoluciones se están situando a niveles submétricos. El contraste de este tipo de mapas con otros de vulnerabilidad a nivel de secciones censales, por ejemplo, no permite el que el mapa de riesgo resultante pueda expresarse al máximo nivel de detalle, puesto que la vulnerabilidad estará referida a toda una sección censal en su conjunto. El uso de modelos de rejilla (GRID), se presenta como una posible solución (Pérez Alcántara, Ojeda Zújar, Díaz Cuevas y Vallejo Villalta, 2018). La asignación de datos desde las entidades espaciales que contienen las variables (secciones censales, parcelas catastrales, etc.) a las rejillas a través de diferentes herramientas de asignación, presenta dos ventajas fundamentales. En primer lugar, se hace posible la integración de un gran volumen de información de diferente procedencia (estadística, catastral, etc.), a la que puede sumarse la procedente de fuentes como la teledetección al existir una coincidencia en el tipo de modelo de datos espaciales (Ebert, Kerle y Stein, 2009). En segundo lugar, en este mismo sentido, la naturaleza del formato receptor (GRID) presenta una mayor adecuación para su análisis conjunto con la cartografía de peligrosidad (Leis y Kienberger, 2020).
Inicialmente centrado en el estudio de la peligrosidad, pasando por la vulnerabilidad física de las construcciones, hasta llegar a la vulnerabilidad social, el estudio del riesgo de desastres ha ido aumentando cada vez más su campo de análisis. La vulnerabilidad social, donde hay numerosas variables implicadas, requiere una metodología acorde para su estudio.
En este sentido, se ha aplicado una metodología basada en técnicas estadísticas multivariantes lo que ha permitido identificar las áreas urbanas de mayor vulnerabilidad social teniendo en cuenta un elevado número de variables, capturando así las múltiples dimensiones de ésta.
La metodología propuesta se ha mostrado adecuada para el estudio de la vulnerabilidad social en el caso de la ciudad de Almería, siendo además replicable a otras áreas de estudio y a diferentes escalas.
Este tipo de estudios podrían formar parte de los instrumentos de ordenación del territorio y de planes de emergencia para priorizar las acciones de gestión de riesgos en aquellas zonas donde confluya una mayor vulnerabilidad social con la peligrosidad y exposición.
Finalmente, una futura línea de trabajo consiste en abordar una de las limitaciones expuestas anteriormente. Concretamente, la referida al nivel de detalle espacial mediante el uso de modelos GRID que permitan el cruce de la vulnerabilidad con la peligrosidad para la obtención del riesgo de desastres.
Cita bibliográfica: Navarro, D., Vallejo, I., & Navarro, M. (2020). Análisis de la vulnerabilidad social a los riesgos naturales mediante técnicas estadísticas multivariantes. Investigaciones Geográficas, (74), 29-49. https://doi.org/10.14198/INGEO2020.NVN
Departamento de Geografía Física y Análisis Geográfico Regional, Universidad de Sevilla, España. Autor para correspondencia
daniel.navarro@tecnalia.com

B: Madinat al Dajiliyya; C: Al Musalla; D: Al Hawd
Fuente: Fernández Martínez, 2006







