Artículos
Characterization of soils cultivated with rubber in the Colombian Bajo Cauca Antioqueño region
Caracterización de suelos cultivados con caucho en el Bajo Cauca Antioqueño, Colombia
Characterization of soils cultivated with rubber in the Colombian Bajo Cauca Antioqueño region
Revista Facultad Nacional de Agronomía, Medellín, vol. 70, no. 2, pp. 8155-8167, 2017
Facultad de Ciencias Agrarias - Universidad Nacional de Colombia
Received: 29 September 2016
Accepted: 04 April 2017
ABSTRACT: From a socioeconomic and environmental standpoint, rubber cultivation is potentially important for Colombia, because it not only constitutes an alternative to the traditional mining, agricultural, and livestock activities, but also a beneficial option in the substitution of illegal crops. Thus, there is need to determine the factors restricting the productivity of the species, particularly soil-related aspects. In this context, the current research undertook the description and identification of soil physical and chemical properties in three rubber plantations located in a region known as Bajo Cauca Antioqueño, at the lower course of the Cauca river. The results indicate that these soils are classified as Ultisols, they are deep, with acid reaction and low levels of soil organic matter. Essential elements also exhibited low levels, except Cu. Fe and Al are also present in very high concentrations, while the cation exchange capacity is limited. These observations alert on the need for agronomic management techniques that allow the crop to express its full potential under conditions that are not very adequate for its growth and development.
Keywords: Hevea brasiliensis, Ultisol, Plant nutrition, Colombian soils.
RESUMEN: El cultivo del caucho es un rubro agrícola de importancia ambiental y socioeconómica para Colombia, por ser una alternativa diferente de las actividades mineras y agropecuarias tradicionales; incluso, representa una opción beneficiosa para la sustitución de cultivos de uso ilícito. Lo anterior muestra la necesidad de determinar los factores que restringen su producción y la productividad de la especie, con énfasis en lo relacionado al recurso edáfico. En ese sentido, se hizo la descripción y la identificación de las propiedades físicas y químicas del suelo de tres predios ubicados en el Bajo Cauca Antioqueño dedicados a la explotación de la euforbiácea. Los resultados indicaron que los suelos son del orden Ultisol, profundos, de reacción ácida y con contenido bajo de materia orgánica; los elementos esenciales están en niveles bajos, excepto el Cu. El Fe y el Al se encuentran en cantidades muy altas, mientras que la capacidad de intercambio catiónico es limitada. Lo observado alerta sobre la necesidad de aplicar técnicas de manejo agronómico que permitan que esta especie exprese todo su potencial en condiciones que son poco aptas para su crecimiento y desarrollo.
Palabras clave: Hevea brasiliensis, Ultisol, Nutrición de plantas, Suelos colombianos.
The rubber [Hevea brasiliensis(Willd. Ex A. Juss.) Müll. Arg.] cultivated area in Colombia is currently growing, with an average annual increase of 3928 ha for the period between 2002 and 2008, and a total area of 45,000 ha in 2014 (Castellanos et al., 2009). However, there is still a deficit of 12,000 yearly tons that are needed to supply the 17,000 yearly tons demanded by the domestic industry (Castiblanco, 2014). That is, the country is not self-sufficient, since it imports 70% of its domestic rubber consumption. A similar trend can be observed at the world level, where a rubber deficit of 170,000 to 200,000 tons is projected for the period between 2005 and 2020 (Santacruz, 2008).
The current increase in the domestic and global natural rubber demand makes the cultivation of rubber an important segment of the national cropping activity. The demand comes from the leather, automobile,and chemical industries (67%) and from the manufacture of latex-made products (11%, corresponding to, e.g., surgical, household and industrial gloves); other products such as conveyor belts, hoses, gaskets, footwear, adhesives and others represent 22% (Castellanos et al., 2009; SADRA, 2011).
From a socio-economic standpoint, rubber cultivation constitutes an important cropping activity for Colombia, because it provides an alternative to the traditional mining, agricultural and livestock activities. Furthermore, it represents an alternative in the replacement of illegal-crops, by generating one direct job and three indirect jobs every four ha of the crop (STNCN, 2008; Castellanos et al., 2009;SADRA, 2011).
According to UPRA (2015), Colombia has 18 144 457 ha with adequate conditions for rubber cultivation; but only 18.7% of them, have the best conditions from the physical, socio-ecosystem and socio-economic point of view. The remaining 81.3% are located in areas characterized by low to average aptitude for the crop, with moderate to severe limitations for its development. In the department of Antioquia, the situation is very similar: out of 1 358 079 ha that are suitable for rubber cultivation, 13.6% exhibit optimal conditions; 48.3% present average conditions (predominantly those in the region of Urabá); while those exhibiting low aptitude, which concentrate in the Bajo Cauca Antioqueño (BCA) region, account for 38.1% of the total area. At the departmental level, the edaphic characterization, will allow to locate the soils with better aptitude for use.
Despite the above restrictions, Santacruz (2008), Castellanos et al. (2009) and SADRA (2011) have found that the growing demand for natural rubber at the local and global levels is attracting not only for private investors (rubber growing IRR is 16 to 18%), but also for the national government, who are determined to strengthen the sector. This situation constitutes an excellent opportunity for Colombia in the sense of becoming self-sufficient in the medium and long term, and even opens the possibility to move from rubber raw material imports to exports.
To achieve this goal, it is necessary to overcome existing technological constraints such as poor agricultural management of plantations (particularly regarding nutrition and the handling of biotic and abiotic factors), scarce use of production and post-production technologies and innovations, little information on latex agroindustrial management plans, and limited research at the regional level. Consequently, it is important to strengthen research, technical assistance and technology transfer in order to develop and improve the quality of the material thus produced. Also, it is necessary to optimize the post-production processes and provide farmers with adequate training. The comprehensive articulation of these measures is likely to improve quality, overcome both low yields and national production deficit, and achieve exportable surpluses.
Antioquia has 4098 ha of rubber plantations, 13.5% of which yield 1.2 t ha-1 year-1, which is within the world average range (0.9 to 1.3 t ha-1 year-1), but is low if compared with the yields of India and Thailand (1.9 and 1.8 t ha-1 year-1, respectively) (Santacruz, 2008;Castellanos et al., 2009).
Another potential benefit derived from the establishment of the species in this country is highlighted bySADRA (2011), who state that by the year 2020 this crop will be favoring the life conditions of 6000 families in the Colombian rubber production strip, which covers the departments of Antioquia and Córdoba. Moreover, this crop exerts a positive impact on the environment through carbon (CO2) fixation, oxygen release (O2), and other ecosystem services.
Adequate climatic conditions for the cultivation of rubber in the country correspond to areas with annual rainfall between 2000 and 4000 mm, temperature above 24 °C, and sunshine higher than 1700 h year-1. However, plantations can be established in regions with medium to low aptitude for the crop, wherein precipitation can be either below or above the optimal range (1000 to 2000 and 4000 to 5000 mm year-1, respectively), temperatures between 18 and 24 °C, and sunshine from 900 to 1700 h year-1(UPRA, 2015).
Compagnon (1998) considers rubber as undemanding crop with regards to soil characteristics. Having evolved mainly on tropical soils (Martínez, 2007), rubber is highly adaptable to the different climate and soil conditions of the tropics, including extremely low fertility levels.
The necessary soil texture conditions for the proper development of the root system of a rubber tree should be loam to silty loam, appropriate structure, and effective depth >150 cm, which facilitate good moisture retention (Escobar et al., 2004; SENA, 2006).
With respect to pH, the species grows well in a range of 4.5 to 5.5. Although, elevated pH levels are not recommendable (Martínez, 2007), it is clear that at lower levels of pH bases become scarce and use of amendments (e.g., lime and gypsum) is needed, resulting thus in increased production costs. Satisfactory organic matter (OM) content in the first 20 cm soil layer is 3.0 - 4.0%, which guarantees C and N contents of 20 000 and 2000 kg ha-1, respectively. In this way, when the C/N ratio ranges between 10 and 12, N release is favored (Umoh et al., 2014).
Regarding the Effective Cation Exchange Capacity (ECEC), Torres (1999) reports that well developed plantations where found when this parameter did not exceed 2 cmolc kg-1. In addition, this author states that rubber can be planted on flat ground (which is important from the standpoint of mechanization) or on soils with slopes below 15%, following contour lines. In both cases there have been satisfactory latex yields of 1.4 t ha-1year-1.
Santana and Díaz (1999)mention that some of the soil chemical characteristics in the BCA region favor the development of rubber plantations, although there are contrasting variations from one place to another, mainly determined by topography and soil management differences.
Based on appropriate soil nutrient content standards for rubber cultivation, it can be anticipated that low levels of B (<0.6 mg kg-1), Ca (<3.0 cmolc kg-1), P (<15 mg kg-1) and K (<0.15 cmolc kg-1) (Azabache, 2012), as well as high levels of Fe (>50 mg kg-1), hinder the proper development of rubber plantations in the BCA region soils (Oku et al., 2012). Moreover, the low OM content of these soils (<1.5%) is likely to constrain the proper development of the crop (Torres, 1999).
From a pedogenetic point of view,Osman (2013)indicates the climate as the fundamental factor in the process of soil formation, specifically recognizing rain and temperature regimes as the most influential factors. Similarly, Abreu Jr, et al. (2003) indicate that good part of the humid tropic soils exhibit high levels of nutrient leaching, coupled to low natural fertility. According to the mentioned author, this is the result of a combination of factors such as strongly to extremely soil acidity, presence of available and exchangeable Al, high P fixation capacity, low Ca, Mg and K levels, low cationic and high anionic exchange capacities, and elevated concentrations of some metallic micronutrients such as Fe, Cu, Mn and Zn.
In that way, the characterization of soil physical-chemical attributes is a key management tool in the improving of agronomic processes and the increasing of productivity and competitiveness of the rubber sector in the BCA region. Currently, there is no detailed knowledge of the rubber cultivated soils of the BCA region. The closest approach corresponds to the general study of soils and land cover of the Department of Antioquia, conducted in 2007 by the Instituto Geográfico Agustín Codazzi (IGAC) at scales 1:100 000 and 1:25 000.
All these considerations highlight the need to identify the limiting factors in the production and productivity of rubber plantations in the Antioquia department, Colombia, Latin America and other places in the world, primarily referring to the soil. In this context, and considering that adequate soil management and climate allow the species to express its genetic potential and increase its efficiency and competitiveness, the present research aimed to provide a general characterization and taxonomic identification of the rubber-cultivated soils of the BCA region, and to determine their agronomic potential under the agro-ecological conditions of the region.
MATERIALS AND METHODS
Location
The characterization of the soils and their physical and chemical attributes was carried out in three representative rubber plantations of the BCA region. The first site corresponds to Villa Gina (7°43’1.4’’N, 75°30’36.1’’W; 131 m of altitude; 3133 mm of annual rainfall; and 27.0 °C of temperature), established in the locality of Santa Clara, within the limits of the municipality of Tarazá. This property belongs to the Rubber Growers Committee Association (Asociación Comité de Cultivadores de Caucho - ASCULTICAUCHO).
The second site corresponds to La Envidia (7°53’1.6’’N, 74°50’14.2’’W; 54 m of altitude; 3529 mm of annual rainfall; and 27 °C temperature), established in the locality of Quebrada La Ciénaga, within the limits of the municipality of Nechí. The farm belongs to the Rubber Growers Association of Cargueros and Bijagual - ASCABIA.
The third site was located in La Golondrina (7°52’36.7’’N, 74°57’5.5’’W; 77 m of altitude; 2575 mm of annual rainfall and 27.7 °C temperature established in the locality of Bella Palmira, within the limits of the municipality of Caucasia. The three farms are included in the tropical rain forest (rf-T) ecological life zone (Holdridge, 1987;Espinal, 1992).
Soil description
In each of the rubber plantations, a one-piece combination Edelman auger was employed to take soil samples at seven plots representing the topographical variations of the area. Based on horizon A depth contrasts, color assessed through Munsell table, texture estimated by touch, and structure estimated through aggregate size, one of the sampled plots at each farm was selected to dig a pit of 1.5 m long x 1.2 m wide x 1.5 m deep. Characteristics such as soil texture, color, structure, temperature, root distribution, mottling, consistency, pore size, and amount, presence of macroorganisms, anthropogenic (mining) activity, signals of compaction, and horizon thickness were described in situ, according to methodologies by USDA (1993), Jaramillo (2002), IGAC (2007 b) and FAO (2009).
Additionally, the following tests were performed in each soil horizon: (a) reaction to hydrogen peroxide (H2O2), in order to indicate the presence of decaying OM and/or Mn; (b) reaction to 4% sodium fluoride (NaF) and phenolphthalein impregnated filter paper to identify the presence of allophanes or soil with andic conditions; and (c) reaction to 10% hydrochloric acid (HCl), to determine the presence of free carbonates. All these evaluations followed guidelines of USDA (1993) and Jaramillo (2002).
Field information was contrasted to soil maps prepared by IGAC (2007a) for the municipalities of Tarazá, Nechí, and Caucasia, the guidelines of the American Soil Taxonomy (USDA, 2006), and the taxonomic system established by FAO (2006). This allowed the classification and morphological, physical, and chemical characterization of the areas of interest.
Determination of soilphysical properties
Soil resistance to penetration (MPa) assessment were carried out in situ from 0 to 0.30 m deep, making use of a compaction meter (FieldScout SC900®). Soil moisture (%) measurement was conducted from 0 to 0.90 m deep, using a FieldScout TDR 300 soil moisture meter. For the construction of moisture retention, porosity (%), bulk density (g cm-3) and hydraulic conductivity (cm min-1) curves, undisturbed samples were taken from the first 0.25 m of the soil profile in PVC cylinders of 0.0762 m diameter and 0.10 m high. The soil columns thus obtained were taken to the laboratory in closed metal boxes following ASTM norm D4220 (2000). The analysis of these samples was conducted in the laboratory of Soil Physics and Conservation of the Universidad Nacional de Colombia at the Medellin campus, following protocols by IGAC (1990), USDA (1993), and Jaramillo (2002).
Soil fertility assessment
Soil samples for chemical analysis were taken from the first 0.25 m of the soil profile with a one-piece combination Edelman auger. Twenty-five to 30 subsamples made up a composite sample following guidelines by IGAC (1990), Carrillo et al. (1995) and Gómez (2005). Chemical determinations were carried out at the Soil Laboratory of the Universidad Nacional de Colombia, Medellín campus. The methods employed were: texture by Bouyoucos; pH in water 1:1, weight/volume; Organic Matter content (%) and organic C (%) by Walkey and Black; P (mg kg-1) by Bray II and colorimetric method; K, Ca, Mg (cmolc kg-1) by ammonium acetate at pH 7.0 and atomic absorption; Fe, Mn, Cu, Zn (mg kg-1) by Olsen (0.5 M NaHCO3 and EDTA) and atomic absorption; B (mg kg-1) extracted by hot water; Al (cmolc kg-1) by 1 M KCl and atomic absorption; S (mg kg-1) by 0.008 M monocalcium phosphate; NO3- (mg kg-1) by 0.025 M aluminum sulphate; NH4 (mg kg-1) (1 M KCl); ECEC (cmolc ·kg-1) sum of exchangeable cations. Details about the methods can be seen at IGAC (2006).
RESULTS AND DISCUSSION
Soil description
Table 1shows the characteristics of the three studied soils, which are representative of one of the major landscape units of Antioquia, namely the plains and low hills of the Cauca river basin. Resulting from ancient alluvial deposits brought by the tributaries of the Cauca river (Arbaux, 2003), this is one of the four main Colombian landscape types (IGAC, 1995). The characteristics observed at the sites of interest are the product of intimate soil-landscape correlation, wherein the stability of the geological formations and their constituent materials contribute to the evolution of the soils (Malagón, 2003) and represent the spatial and visual expression of the environment (Muñoz-Pedreros, 2004). This physiography is consistent with the views of Jaramillo (1996), who refers to the presence of three contrasting terraces in the region: a hilly and strongly dissected (upper) one, a number of flat or little dissected (medium and low) ones. These morphological differences are associated to different degrees of evolution. The warm and humid climate of the evaluated territory is described by Betancur et al. (2009) as particularly complex, due to the influence of the cyclonic curvature of the Caribbean waves, the proximity to the slopes of the western mountain range, and the effect of mid - latitude troughs.

The profiles shown in Figure 1 and explained in Tables 2, 3, and 4 allow identifying the soils under study as Ultisols that resulted from sedimentary materials in hot and humid climates. These soils usually present acid reaction and exhibit red and yellow colors resulting from the accumulation of iron oxide (Oballos and Ochoa, 2008; Sánchez and Rubiano, 2015). In the current study, they generally exhibited good drainage, the dominant textures are silty loam (Villa Gina and La Golondrina) and clay loam (La Envidia). Effective depth was found to be variable, the soils of Villa Gina standing out for depths greater than 0.60 m, below which rubber trees usually develop most of their roots (Azabache, 2012). In the other two rubber plantations, the effective depth is considered to be sub-optimal, which implies certain restrictions that do not prevent the establishment of rubber plantations. The soils of La Envidia stand out for the vulnerability of their aggregates to external dispersing agents such as water, wind or mechanical manipulation (Pérez, 1992).




Comment: Abundant presence of gravel, rubble and quartz was found from 33 to 101 cm deep, representing 50 to 60% of said layer. Quartz was observed to be highly weathered all along the profile, probably due to the removal of materials as part of anthropogenic (mining) activity. This might explain not only the presence of a deposit of gravel and rubble above the first layer of the profile, but also the large amounts of these materials contained in the first horizons and diminishing or disappearing towards the deepest layers, thus making them easier to penetrate.
Soil physical properties
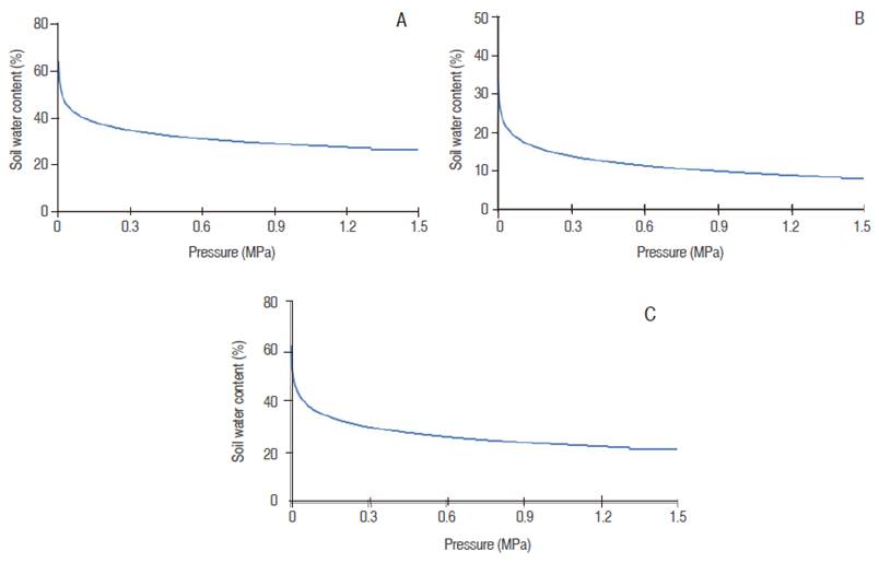
Soil moisture underwent slight modifications along the vertical soil profiles (Table 5). The lowest moisture content record came from La Envidia, at the 0 - 30.5 cm deep layer; while the highest one corresponded to La Golondrina (at the 61.0 - 91.5 cm deep layer). These observations can be confirmed by comparing hydraulic conductivity (Table 6) to soil moisture retention data (Figure 2). These results are well explained by texture and soil structure, although water retention can also be influenced by other biotic and abiotic factors (Hernández and Sánchez, 2012). In this regard, the silty clay loam observed in La Envidia, together with the presence of gravel, rubble and quartz from 17 to 106 cm deep (Table 2) and its low OM content (Table 7), all adversely affect the water retention capacity of the soil (Murray-Núñez et al., 2011). In turn, this situation favors the possibility that the rubber plantations established there face stressful events in times of prolonged drought.




Mechanical resistance to penetration did not exceed 2.0 MPa in any case (Table 5), which is the critical threshold above which radical growth is affected (Martino and Shaykevich, 1994). Hence, this constitutes a desirable soil attribute for the proper development of plants. In this regard, the BCA region soils are relatively advantageous for rubber plantations when compared to those in other areas of the country where the trees support the weight of grazing cattle (Rosas et al., 2016). Regarding bulk density, the values shown inTable 6match those mentioned by Alvarado and Forsythe (2005) for Ultisols and are consistent with expectations for fine textured soils. The differences observed in this parameter across the studied landscapes are inversely correlated to OM contents (Table 7). In this sense, low OM content observed at La Envidia contrasts with the elevated value obtained at La Golondrina, a circumstance that leads to increased biological activity in the root zone, which, in turn, favors the development of roots (Chinchilla et al., 2011). For its part, porosity varied between 64.7% (Villa Gina), 63.4% (La Golondrina) and 49.3% (La Envidia). This disparity is attributed to the higher OM content and lower bulk density values of Villa Gina and La Golondrina, as compared to those recorded at La Envidia, involving dissimilarities in form, grade and size of the aggregates (Cuevas et al., 2006). Another observation related to porosity and, therefore, to OM content, is the advantage that these attributes confer to Villa Gina and La Golondrina. In effect, water retention in the soil is a function of the specific surface of each soil and, consequently, of pore amount, size and distribution (Krull et al., 2004).
Soil fertility
Table 7 shows the nutrient content data of the soils under study. Together with the udic moisture regime of the region (Malagón, 1998), these results confirm the great limitations of Ultisols, which include strong acidity (Table 2), Al toxicity, low ECEC and low fertility. OM content was found to be low in Villa Gina and La Envidia, and medium in La Golondrina, where this condition favors the physical, chemical and biological properties of the soil (Julca-Otiniano et al., 2006), in turn facilitating better nutrient availability for rubber plantations. Moreover, the low content of organic C makes BCA soils more susceptible to erosion, due to the low degree of stability, have a minimum capacity to retain moisture, minor gas mobility and reduced biological activity (Martínez et al., 2008).
The limited presence of nitrifying bacteria in Ultisols results in poor nitrification, which, in turn, determines low N availability for rubber cultivation in the landscapes under study (Salinas and Valencia, 1983;Montaño and Sánchez-Yáñez, 2014). For the three rubber plantations, the laboratory analysis showed very low P levels (2 mg kg-1), which are explained by the high degree of weathering of Ultisols and the strong affinity of this element with Fe and Al, with which it forms insoluble precipitates (Chinchilla et al., 2011). In this case the use of rock phosphate may be effective, particularly if mycorrhizal fungi are inoculated because rubber plant growth and nutrient uptake is promoted by them (Sosa et al., 2009).
While La Golondrina showed the highest K contents, the other two sites registered critical levels that are probably affecting plant growth and crop yield by the rubber trees planted there (Pervez et al., 2004). The contents of Ca in the three studied landscapes were found to be low (Villa Gina) to very low (La Envidia and La Golondrina) (Minagricultura, 2014). In acid and intensely weathered soils the deficiency of this mineral, together with low P availability and Al toxicity, certainly limits fertility, since it constitutes a chemical barrier that prevents root growth and reduces both microorganism populations and their activity (Salinas and Valencia, 1983). Mg was found to be at very low levels in the three studied rubber plantations, which is related to the high degree of weathering and the washing of bases observed in the region (Paniagua-Vásquez and Toruno-Gutiérrez, 2004). The concentration of S was medium at Villa Gina and La Envidia, while its deficiency in La Golondrina may be due to the high solubility exhibited there by this nutrient (Salinas and Sanz, 1981).
Regarding micronutrients, a marked deficiency of Mn was observed in the soils of La Envidia, probably resulting from the acidity of the substrate, which tends to dissolve this metal (Matini et al., 2011) and this has been leached out from the soil. Regarding Zn, its outstanding deficiency in the soils of La Envidia andLa Golondrina is attributable to the sandy nature of the soil, acidity and low OM content (Oku et al., 2012). In contrast, the concentration of Cu was found to be at acceptable levels in Villa Ginaand La Golondrina, perhaps because the slightly higher levels of organic C observed there increased the content of this nutrient (Mohd-Aizat et al., 2014). The soil available B content was found to be very low in the three rubber plantations, probably because this element is adsorbed onto the surfaces of Fe and Al oxides, which reduces its availability (Salinas y Valencia, 1983;Calbaceta and Molina, 2006). It is worthwhile noting the elevated levels of Fe and Al. The former, which is responsible for the red color that features the studied soils, is released from their primary minerals and then progressively oxidized (Malagón et al., 1995). In turn, Al results from advanced soil weathering, which releases Al ions from the network formed by clay silicates (Casierra-Posada and Aguilar-Avendaño, 2007). These ions when present in the soil interfere the transport and usage of essential nutrients (P, K, Ca, and Mg) and inhibit microbial processes that supply nutrients to the plant (Campillo and Sadzawka, 2008).
Finally, the low ECEC observed in the present study correlates with clay mineral composition and very low organic C content. In Ultisols, the clay fraction is mainly composed of kaolinite or oxyhydroxides of Fe and Al, while the sand and silt fractions are dominated by quartz and minor amounts of mica, feldspar, ferromagnesium and other weathering resistant minerals. This results in soils with limited ECEC and restricted supply of bases, both resulting from mineral weathering (Prasetyoet al., 2001; Durango, 2014).
CONCLUSIONS
The rubber planted soils of the Bajo Cauca Antioqueño region are deep and well drained. Through typological analysis, they can be said to belong to the order Ultisols. Iron accumulation gives them a red and yellowish hue. They are very acid and possess low natural fertility. Their texture was generally found to be silty loam and clay loam. Their content of OM and exchangeable bases is low, as well as the availability of P and K. The levels of Fe and Al are very high. Their mineralogical composition and low content of organic C contribute to low ECEC values. Notwithstanding, the studied area is potentially useful for the development of perennial plantations such as rubber. An adequate agronomic management of these soils should be aimed at obtaining sustainable productivity. As such, it must be capable of developing and maintaining fertility through liming, OM incorporation and appropriate application of the correct amounts of phosphate and potassium fertilizers as well as biofertilizers based on arbuscular mycorrhizal fungi.
ACKNOWLEDGEMENTS
The authors would like to thank the Fund for Science, Technology and Innovation of the General System of Royalties of the department of Antioquia (Fondo de Ciencia, Tecnología e Innovación del Sistema General de Regalías del Departamento de Antioquia) (2013 budget assignment), for the financial support of the project “Evaluación y Diagnóstico de los Limitantes Nutricionales en la Producción de Caucho (Hevea brasiliensisMuell Arg.) en el Bajo Cauca Antioqueño” (Hermes UNAL code 17150). The project is part of special cooperation agreement 46000001081, subscribed by Universidad Nacional de Colombia - Medellín campus, Universidad de Antioquia, Universidad EAFIT, SENA, CORPOICA, ASCABIA, ASCULTICAUCHO and the Departmental Governor’s Office of Antioquia.
REFERENCES
Abreu Jr, C.H, Murakoa T and Lavorante AF. 2003. Relationship between acidity and chemical properties of Brazilian soils. Scientia Agricola 60(2): 337-343. doi: 10.1590/S0103-90162003000200019.
Alvarado A y Forsythe W. 2005. Variación de la densidad aparente en órdenes de suelos de Costa Rica. Agronomía Costarricense 29(1): 85-94.
Arbaux M. 2003. El paisaje antioqueño: otra perspectiva. Revista Universidad EAFIT 30(2): 19-28.
ASTM D4220. 2000. Standard practices for preserving and transporting soil samples. In: In: http://ctgttp.edu.free.fr/Update/STM%20VOLUME4.08/PDF/D4220.pdf; consulted: July 2016.
Azabache L. 2012. Proyecto de factibilidad para la producción de caucho natural (Hevea brasiliensis) en el municipio de Puerto Carreño, Vichada. Trabajo de grado. Administración de Empresas Agropecuarias. Facultad de Administración de Empresas Agropecuarias. Universidad de La Salle. Bogotá D. C. p. 40.
Betancur T, Mejía O y Palacio C. 2009. Modelo hidrogeológico conceptual del Bajo Cauca Antioqueño: un sistema acuífero tropical. Revista Facultad de Ingeniería. Universidad de Antioquia 48: 107-118.
Calbaceta G y Molina E. 2006. Niveles críticos de nutrimentos en suelos de Costa Rica utilizando la solución extractora Mehlich 3. Agronomía Costarricense 30(2): 31-44.
Campillo R. y Sadzawka A. 2008. La acidificación de los suelos. Origen y mecanismos involucrados. In: In: http://www.inia.cl/medios/biblioteca/serieactas/NR33853.pdf; consulta: Julio 2016.
Casierra-Posada F y Aguilar-Avendaño O. 2007. Estrés por aluminio en plantas: reacciones en el suelo, síntomas en vegetales y posibilidades de corrección. Una revisión. Revista Colombiana de Ciencias Hortícolas 1(2): 246-257.
Carrillo F, Suarez S y Sanz J. 1995. Como obtener una muestra para el análisis de suelos. Cenicafé. Avances Técnicos: 214. pp. 1 -4.
Castellanos O, Fonseca S y Barón M. 2009. Agenda prospectiva de investigación y desarrollo tecnológico para la cadena productiva del caucho natural y su industria en Colombia. Ministerio de Agricultura y Desarrollo Rural y Universidad Nacional de Colombia. Bogotá. 208 p.
Castiblanco M. 2014. Cadena del caucho en Colombia. Ministerio de Agricultura y Desarrollo Rural. Secretaria Técnica Nacional de la Cadena del Caucho. Comité Regional de la Cadena del Caucho en Antioquia. Caucasia, Antioquia. pp. 1 - 4.
Compagnon P. 1998. El caucho natural: biología, cultivo y producción. Consejo Mexicano del Hule, A.C. CIRAD - Département des cultures pérennes. Ciudad de México.701 p.
Chinchilla M, Mata R y Alvarado A. 2011. Caracterización y clasificación de algunos Ultisoles de la región de los Santos, Talamanca, Costa Rica. Agronomía Costarricense 35(1): 59-81.
Cuevas J, Seguel O, Ellies Sch A y Dörner J. 2006. Efectos de las enmiendas orgánicas sobre las propiedades físicas del suelo con especial referencias a la adición de lodos urbanos. Revista de la Ciencia del Suelo y Nutrición Vegetal 6(2): 1-12.
Durango W.D. 2014. Efecto de dosis crecientes de enmiendas orgánicas en un Andisol y un Ultisol sobre la biomasa microbiana, respiración y actividad enzimática, en condiciones de invernadero. Tesis Maestría Ciencias Agrícolas y Naturales. Sistema de Estudios de Posgrado. Universidad de Costa Rica. Costa Rica. 125 p.
Escobar C, Yasnó C, Trochez J y Cárdenas C. 2004. El cultivo del caucho (Hevea brasiliensis Muell.) con enfoque agroforestal. Corporación Colombiana de Investigación Agropecuaria - CORPOICA. Cartilla divulgativa. ISBN: 958-8210-58-5. Florencia, Caquetá. 33 p.
Espinal L. 1992. Geografía ecológica de Antioquia: zonas de vida. Universidad Nacional de Colombia, Medellín. 146 p.
FAO 2006. World reference base for soil resources. A framework for international classification, correlation and communication. International Union of Soil Sciences, ISRIC-World Soil Information and Food and Agriculture Organization of the United Nations - FAO, Rome, Italy. 145 p.
FAO 2009. Guía para la descripción de suelos. Cuarta edición. FAO, Roma. 111 p.
Gómez M. 2005. Guía técnica para el manejo nutricional de los cultivos: Diagnostico, interpretación y recomendación de planes de fertilización. Microfertisa, Bogotá. 52 p.
Hernández L. y Sánchez J. 2012. Dinámica de la humedad del suelo y la fitomasa de raíces en ecosistemas de la Sierra del Rosario, Cuba. Pastos y Forrajes 35(1): 79-98.
Holdridge L. 1987. Ecología basada en zonas de vida. IICA, San José de Costa Rica. 216 p.
Instituto Geográfico Agustín Codazzi - IGAC. 1990. Métodos analíticos de laboratorio de suelos. Quinta edición. IGAC, Subdirección de Agrología, Bogotá. 502 p.
Instituto Geográfico Agustín Codazzi - IGAC. 1995. Suelos de Colombia - Origen, evolución, clasificación y uso. IGAC, Subdirección de Agrología. Editorial Canal Ramírez Antares, Bogotá. 632 p.
Instituto Geográfico Agustín Codazzi - IGAC. 2006. Métodos analíticos de laboratorio de suelos. Sexta edición. IGAC, Subdirección de Agrología, Bogotá. 648 p.
Instituto Geográfico Agustín Codazzi - IGAC. 2007a. Estudio general de suelos y zonificación de tierras, Departamento de Antioquia, Tomo I, II y III. IGAC, Subdirección de Agrología. Imprenta Nacional de Colombia, Bogotá. pp. 31-965.
Instituto Geográfico Agustín Codazzi - IGAC. 2007b. Estudio semidetallado de suelos de las áreas potencialmente agrícolas, Bajo Cauca, Departamento de Antioquia. IGAC, Subdirección de Agrología. Imprenta Nacional de Colombia, Bogotá . 330 p.
Jaramillo D.F. 2002. Introducción a la ciencia del suelo. Universidad Nacional de Colombia. Facultad de Ciencias, Medellín. 619 p.
Julca-Otiniano A, Meneses-Florián L, Blas-Sevillano R y Bello-Amez S. 2006. La materia orgánica, importancia y experiencia de su uso en la agricultura. Idesia (Chile) 24(1): 49-61.
Krull ES, Skjemstad JO and Baldock JA 2004 Functions of Soil organic matter and the effect on soil properties. CSIRO Land and Water, PMB2, Glen Osmond SA 5064 GRDC Project No CSO 00029. Residue, Soil Organic Carbon and Crop Performance.
Malagón D, Pulido C, Llinas R, Chamorro C y Fernández J. 1995. Suelos de Colombia, origen, evolución, clasificación, distribución y uso. Instituto Geográfico Agustín Codazzi, Subdirección de Agrología, Bogotá, Colombia. 632 p.
Malagón D. 1998. El recurso suelo en Colombia: Inventario y Problemática. Revista de la Academia Colombiana de Ciencias Exactas, Físicas y Naturales 22(82): 13-52.
Malagón D. 2003. Ensayo sobre tipología de suelos colombianos - énfasis en génesis y aspectos ambientales. Ciencias de la Tierra 27(104): 319-341.
Martínez A. 2007. Consideraciones técnicas para el establecimiento y manejo del cultivo del caucho (Hevea brasiliensis) en la Orinoquía Colombiana. Corpoica, Villavicencio. 40 p.
Martínez E, Fuentes J.P. y Acevedo E. 2008. Carbono orgánico y propiedades del suelo. Revista de la Ciencia del Suelo y Nutrición Vegetal 8(1): 68-96. doi: 10.4067/S0718-27912008000100006.
Martino D and Shaykevich C. 1994. Root penetration profiles of wheat and barley as affected by soil penetration resistance in field conditions. Canadian Journal of Soil Science 74(2): 193-200.
Matini L, Ongoka P and Tathy J. 2011. Heavy metals in soil on spoil heap of an abandoned lead ore treatment plant, SE Congo-Brazzaville. African Journal of Environmental Science and Technology 5(2): 89-97.
Minagricultura. 2014. El cultivo del caucho natural y sus potencialidades en Colombia. Bogotá, D.C. 19 p.
Mohd-Aizat A, Mohamad-Roslan M, Wan Nor Azmin Sulaiman S and Daljit Singh K. 2014. The relationship between soil pH and selected soil properties in 48 years logged-over forest. International Journal of Environmental Sciences 4(6): 1129-1140. doi: 10.6088/ijes.2014040600004
Montaño N y Sánchez-Yañez J. 2014. Nitrificación en suelos tropicales, asunto de competencia microbiana: un modelo basado en la teoría de Lotka-Volterra. Ecosistemas 23(3): 98-104. doi: 10.7818/ECOS.2014.23-3.13
Muñoz-Pedreros A. 2004. La evaluación del paisaje: una herramienta de gestión ambiental. Revista Chilena de Historia Natural 77: 139-156.
Murray-Núñez R, Bojórquez-Serrano J, Hernández-Jiménez A, Orozco-Benítez M, García-Paredes J, Gómez-Aguilar R, Ontiveros-Guerra H y Aguirre-Ortega J. 2011. Efecto de la materia orgánica sobre las propiedades físicas del suelo en un sistema agroforestal de la llanura costera norte de Nayarit, Mexico. Revista Biociencias 1(3): 27-35.
Oballos J. y Ochoa G. 2008. Caracterización de Ultisoles en la cuenca del río Capaz, Mérida-Venezuela. Agronomía Tropical 58(4): 369-382.
Oku E, Iwara A and Ekukinam E. 2012. Effects of age of rubber (Hevea brasiliensis Muell Arg.) plantation on pH, organic carbon, organic matter, nitrogen and micronutrient status of Ultisols in the humid forest zone of Nigeria. Kasetsart Journal - Natural Science 46(5): 684-693.
Osman K. 2013. Soils. Principles, properties and management. Springer, Dordrecht, The Netherlands. 263 p.
Paniagua-Vásquez A. y Toruño-Gutierrez H. 2004. Determinación de necesidades nutrimentales para las especies Swietenia macrophylla y Cupressus lusitanica en prueba de invernadero. Revista Chapingo. Serie Ciencias Forestales y del Ambiente 10(1): 37-41.
Pérez J. 1992. Estudio de la estabilidad estructural del suelo en relación con el complejo de cambio (Comportamiento de algunos suelos característicos españoles). Tesis Doctoral. Escuela Técnica Superior de Ingenieros Agrónomos. Universidad Politécnica de Madrid, Madrid, Spain. 512 p.
Pervez H, Ashraf M and Makhdum M. 2004. Relationships of vegetative growth characteristics and yield attributes of four cotton cultivars as influenced by potassium nutrition. Malaysian Journal of Soil Science 8: 63-74.
Rosas G, Muñoz J y Suárez J. 2016. Incidencia de sistemas agroforestales con Hevea brasiliensis (Willd. ex A.Juss.) Müll.Arg. sobre propiedades físicas de suelos de lomerío en el departamento de Caquetá, Colombia. Acta Agronómica 65(2): 116-122. doi: 10.15446/acag.v65n2.45173
Salinas J. y Sanz J. 1981. Síntomas de deficiencia de macronutrientes y nutrimentos secundarios en pastos tropicales. CIAT, Cali, Colombia. 25 p.
Salinas J. y Valencia C. 1983. Oxisoles y Ultisoles en América Tropical II. Mineralogía y características químicas. CIAT, Cali , Colombia. 68 p.
Sánchez J. y Rubiano Y. 2015. Procesos específicos de formación en Andisoles, Alfisoles y Ultisoles en Colombia. Revista EIA (Special edition): E85-E97.
Santacruz O. 2008. Comportamiento del caucho natural en Colombia y el mundo, 2002 - 2008. Secretaria Técnica Nacional del Caucho Natural y su Industria, Ministerio de Agricultura y Desarrollo Rural, Bogotá, Colombia. 26 p.
Santana M y Díaz C. 1999. El suelo y las praderas en el trópico húmedo, manejo y conservación. Seminario taller. Corporación Colombiana de Investigación Agropecuaria - CORPOICA. CRECED Bajo Cauca Antioqueño Regional 4. Ministerio de Agricultura y Desarrollo Rural. Colciencias. Programa Nacional de Transferencia de Tecnología Agropecuaria - PRONATTA. Fondo Nacional del Ganado - Fedegan, Caucasia, Antioquia. 59 p.
SADRA. 2011. Acuerdo de competitividad. Acuerdo regional de competitividad de la Cadena Productiva del Caucho Natural y su Industria en los departamentos de Antioquia y Córdoba. Secretaría de Agricultura y Desarrollo Rural de Antioquia - SADRA, Medellín, Colombia. 97 p.
Servicio Nacional de Aprendizaje - SENA. 2006. El caucho natural. Caracterización ocupacional. SENA, Bogotá, Colombia. 106 p.
Sosa T, Sanchez J, Melgarejo L.M. y Caro M. 2009. Efecto de la inoculación con hongos formadores de micorrizas arbusculares sobre plátulas de caucho. Acta Biologica Colombiana 14(3): 31-46.
STNCN. 2008. Comportamiento del caucho natural en Colombia y el mundo, 2002 - 2008. Secretaria Técnica del Caucho Natural y su Industria - STNCN. Ministerio de Agricultura y Desarrollo Rural, Bogotá . 26 p.
Torres C. 1999. Manual para el cultivo del caucho en la Amazonia. Universidad de la Amazonia - PNDA, Florencia, Colombia. 149 p.
Umoh F.O, Osodeke V.E, Edem I.D. and Effiong G.S. 2014. Application of Langmuir and Freundlich models in phosphate sorption studies in soil of contrasting parent materials in South-Eastern Nigeria. Open Access Library Journal 1 e989. 1(7):1-9 doi: 10.4236/oalib.1100989
UPRA. 2015. Zonificación para cultivo comercial de caucho natural. Unidad de Planificación Rural Agropecuaria - UPRA. Dirección de uso eficiente del suelo y adecuación de tierras. Ministerio de Agricultura y Desarrollo Rural, Bogotá . 29 p.
USDA. 1993. Soil Survey Manual. Revision and Enlargement of U.S. Department of Agriculture Handbook No. 18, by USDA Soil Survey Division Staff. United States Department of Agriculture - USDA., Washington, DC. 468 p.
USDA. 2006. Keys to Soil Taxonomy. Tenth edition. United States Department of Agriculture - USDA and Natural Resources Conservation Service - NRCS, Washington, USA. 341 p.