Artículos
Effect of nitrogen, phosphorus and potassium fertilization on the yield of broccoli cultivars
Efecto de la fertilización nitrogenada, fosfórica y potásica sobre el rendimiento de cultivares de brócoli
Effect of nitrogen, phosphorus and potassium fertilization on the yield of broccoli cultivars
Revista Facultad Nacional de Agronomía, Medellín, vol. 71, no. 1, pp. 8375-8386, 2018
Facultad de Ciencias Agrarias - Universidad Nacional de Colombia
Received: 03 March 2017
Accepted: 24 September 2017
ABSTRACT: One of the causes of overusing compound and simple fertilizers in "Oriente Antioqueño" region is the low offer of research articles on fertilization in broccoli. Two experiments were carried out at municipality of Rionegro, Antioquia (Colombia). The first experiment was conducted in the second semester of 2013 in which two broccolis cultivars, Compact and De Cicco, were used. A randomized complete block design (RCBD) with four nitrogen doses (0, 50, 90 and 130 kg N ha-1) was arranged in a factorial 2 x 4, getting eight treatments. Using "San Cristobal" model in a RCBD design, Avenger and Legacy cultivars were grown in the second semester of 2014 including four levels of N, P2O5 and K2O as factors, arranging a total of 12 treatments in an incomplete factorial. Results of this experiment showed that in the first test, Compact cultivar reached a maximum production of 15.5 t ha-1 and De Cicco developed non-tradable inflorescences where a dose of 90 kg N ha-1 was applied, showing a low adaptation to this environmental conditions. In the second experiment, the relative growth height rates -stem diameter and yields- did not show significant statistical differences (P>0.05) regarding the treatments and cultivars evaluated. Avenger and Legacy got the highest yields, 19.0 and 12.2 t N ha-1 respectively, using doses of 60 kg N ha-1, 40 kg P2O5 ha-1 and 55 kg K2O ha-1.
Keywords: Brassica oleracea L. var. Italica, Cruciferous, Nutrition, Doses.
RESUMEN: La poca oferta de trabajos de investigación en la región del Oriente Antioqueño sobre fertilización en brócoli, es una de las causas del uso excesivo de fertilizantes compuestos y simples. En el municipio de Rionegro, Antioquia (Colombia) se realizaron dos ensayos: el primero en el segundo semestre de 2013, donde se evaluaron los cultivares Compact y De Cicco, con cuatro dosis de nitrógeno (0, 50, 90 y 130 kg N ha-1) bajo un factorial 2 x 4, para ocho tratamientos, en un diseño de bloques completos al azar (BCA). El segundo en el semestre B del 2014, con los cultivares Avenger y Legacy, bajo cuatro niveles de N, P2O5 y K2O como factores, para un total de 12 tratamientos que constituyeron un factorial incompleto, bajo un modelo San Cristóbal, dispuesto en un diseño de BCA. En el primer ensayo Compact alcanzó la máxima producción de 15,5 t ha-1 con una dosis de 90 kg ha-1 de N y De Cicco formó inflorescencias no comerciables, mostrando una baja adaptación a estas condiciones ambientales. En el segundo ensayo las tasas de crecimiento relativo de altura - diámetro del tallo y los rendimientos, no presentaron diferencias estadísticas significativas (P>0,05) para los tratamientos y cultivares evaluados. Los mayores rendimientos para Avenger (19,0 t ha-1) y Legacy (12,2 t ha-1) se obtuvieron con la dosis de 60, 40 y 55 kg ha-1 de N, P2O5 y K2O respectivamente.
Palabras clave: Brassica oleracea L. var. Italica, Crucíferas, Fertilización, Dosis.
In Colombia, Broccoli cultivar (Brassica oleracea L. var. Italica) is grown and exposed to different contaminating sources. This crop is managed empirically by farmers with no suitable techniques for irrigation, fertilization, phytosanitary and harvest management, and post-harvest methods. This has caused residual problems of chemical, biological and physic agents into the harvested products putting at risk not only to the consumers, but also to the environment (Prieto, 2011 and Galindo et al., 2011).
Accordingly to Agronet (2017), in 2015 the harvested broccoli area in Antioquia was 205 ha representing a 28% of the national area, with a production average of 4148 t and a yield of 20.2 t ha-1; the production was mainly focused in the municipalities of Marinilla and San Pedro.
In order to increase the productivity and not to threaten the environment, it is necessary to balance the doses of nitrogen, phosphorus and potassium. An inappropriate fertilization of these three elements carry an accumulation of nitrates in water and soils. Nitrogenous is used to develop a succulent flowery head and soft texture (Salt et al., 2015), phosphorous increases the yield and it is important in the start of inflorescence-setting, while potassium highs the quality, yield, dry matter gain, resistance to diseases and stress caused by drought (Islam et al., 2010 and Silva et al., 2016).
Puenayan et al. (2010) in Obonuco (Nariño), using Legacy cultivar, found that the best response in fresh lump yield was obtained with fertilizations of 150+200 kg.ha-1 of N+P2O5; 150+80 kg.ha-1 of N+K2O and 150+200+80 kg.ha-1 of N+ P2O5+K2O. This results were explained due to the acidity produced from urea decomposition favored the phosphorous absorption, while potassium incremented efficiency in nitrogen usage of the crop. Furthermore, Giri et al. (2013), at Rampur-Chitwan (Nepal), using Calabrese and Green Sprouting cultivars under different nitrogen dose, found that increasing up to 200 k ha-1 the doses of N, a 33% higher than the used by Puenayan et al. (2010), significant inflorescence yield continued growing (14.5 t ha-1) because of a mayor photosynthates production available for inflorescence filling.
On the other hand, Cecílico et al. (2012) in the municipality of Itatiba-Sao Pablo (Brazil), with a dose between 105 kg ha-1 of N and K2O, and 315 kg ha-1 of N and K2O, and sowing densities from 0.2 to 0.5 m among plants, using Mônaco cultivar, F1 hybrid; found that Nitrogen-Potassium doses and sowing distance did not show significant statistical differences in inflorescence weight and yield in frozen products industry. In spite of using a 110% dose of N higher than the used by Puenayan et al. (2010), and a 58% superior to the Cecilio et al. (2012), no significant increases were found in relative yields.
In other works like Cartagena et al. (2010) in Chapingo (Mexico), with Avenger and Heritage hybrids and nitrogen doses between 0 and 450 kg ha-1, the best yields were obtained (17.7 and 14.6 t h-1 for Avenger and Heritage respectively) with 300 kg ha-1. Likewise, Silva et al. (2016) in Jaboticabal City in São Paulo (Brazil), with potassium doses among 0 and 200 kg ha-1 of K2O with broccoli ‘BRO 68’, obtained the highest yields (12.5 t ha-1) with 160 kg ha-1.
These different results assume that fertilizer requirements could change depending on the environmental conditions, soil nutrient contents and cultivars chosen. That is why these experiments were conducted under the particular agro-ecological conditions of Rionegro, Antioquia, Colombia, in order to determine which optimum doses of N, P and K maximize the yield and, at the same time, minimize the negative effects to the environment.
MATERIALS AND METHODS
Centro de Investigación (C. I.) La Selva de CORPOICA is located in Llanogrande which is a township of Rionegro, Antioquia (Colombia) (06°08’06’’N and 75°25’03’’W), 2120 m of altitude and temperature of 17 °C on average. Based on a cartographic unit its taxonomic soil is Typic Fulvudans (García, 2007). In this research center, two broccoli experiments were conducted. The first of these was from August 14th to December 4th 2013, and the second one from May 30th and September 21st 2014.
In the first experiment, two broccoli cultivars (Compact and De Cicco) were used. A randomized complete block design (RCBD) with four nitrogenous doses (0, 50, 90 and 130 kg N ha-1) was arranged in a factorial 2 x 4, getting eight treatments, five repetitions, and experimental units (EU) of 6.7 m2, 0.6 m between the rows and plants 0.40 m apart (Table 1).

In the second experiment, cultivars Avenger and Legacy were grown, in which four levels per factor N, P2O5 and K2O were included, using the fertilizer requirements reported by Arévalo et al. (2013), Guerrero (1998) and ICA (1992) and arranging a total of 12 treatments in an incomplete factorial, three repetitions, experimental units (EU) of 4.4 m2 and same crop density (Table 1). A RCBD design was implemented under a San Cristobal model which takes up a second order polynomial that displays the interaction among the nutrients and the linear and quadratic effects (Rojas, 1963; Villasmil et al., 1974 and Flores, 2010). This model is shown below.

Seedlings were transplanted 21 days after sowing (DAS) in a loam textured soil that had a slightly acidic pH and high organic matter (O.M). Most of its nutrients availability were medium to high, but Manganese and Sulfur were low. Agricultural lime and O.M were not added due to Aluminum absence and the values of electrical conductivity did not show salinity. pH determination was carried out with potentiometer, electric conductivity with conductivity (soil: water 1: 2.5), O.M method proposed by Walkey & Black, P by Bray II method, S and B with monobasic phosphate of calcium, Al with KCl, Ca, Mg, K and Na with 1N ammonium acetate pH 7.0, Fe, Mn, Zn and Cu using Olsen modified (Table 2).

A minimum fertilization of the crop was applied in two moments in the first experiment, adding 60, 30 and 80 kg ha-1 of P2O5, K2O and a compound fertilizer to supply the minor elements respectively. The first dose was incorporated during transplant (all phosphorus and minor elements included and 50% of potassium and urea). The second one was 15 days after transplant in which the remaining elements were added. The sources used were: Urea (46% N), DAP (18 and 46% N and P2O5), Potassium Chloride (60% K2O) and a fertilizer composed of minor elements (8, 5, 18, 6, 1.6, 1, 0.75, 0.005 and 2.5% of N, P2O5, CaO, MgO, S, B, Cu, Mo and Zn respectively). In the second experiment the fertilizers were applied at the same period and proportions.
In order to prevent weeds growth and keep that soil wet, agromulch plastic was used on the furrows. Drip irrigation was applied with an efficiency of 90%, which had integrated droppers every 20 cm and an average unit flow of 1.2 L h-1, the reference evapotranspiration was calculated using the Penman-Monteith equation using the CROPWAT program 8.0 from Allen et al. (2006).
Regarding pests and diseases, their incidence and severity was low. For this reason, none control was employed during the crop cycle. A bait for the effective control of seedling chopper (Agrotis sp.) was distributed along plants days before, during and after the transplant.
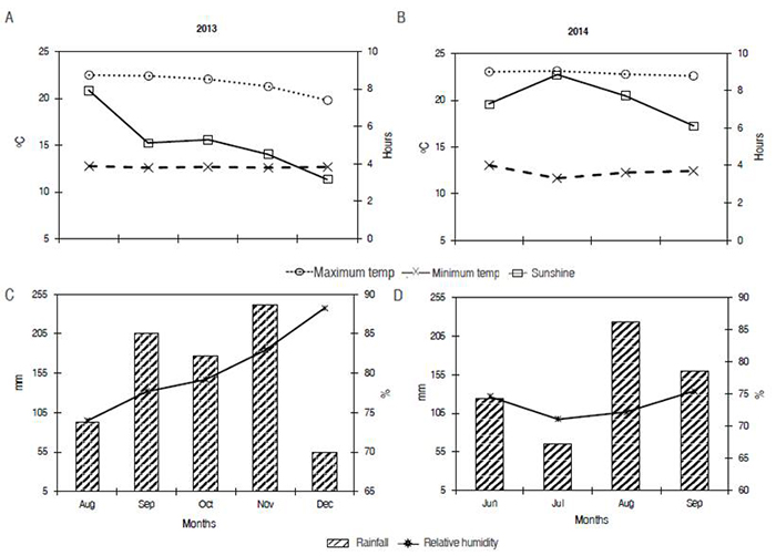
During the first experiment humidity and precipitations were above 75% and 170 mm (Figure 1A and C). In the second experiment, humidity decreased from 75 to 71% within 60 DAS, precipitation went from 124 to 65 mm prompting a dry environment, and maximum/minimum temperature was kept. These parameters were raised at the end of the cycle (Figure 1B and D) and solar brightness intensity was greater in more than 2 h/month in 2014 (Figura 1A and B).

The cumulative day degrees (dg) or thermal time, which are employed in agriculture to quantify and predict phenological events accurately during the chronological time based on the time of the year (McMaster and Wilhelm, 1997; Roltsch et al., 1999; Ramírez et al., 2015), were estimated using the free program Degree Day Utility (DDU) version 2.3 (Univ. of California, 1994). According to Roltsch et al. (1999), dual-sine method and vertical break are the best alternative to determine the amount of temperature available for plants to get developed. For yield, 10 and 21 °C thermic values were taken, which were proposed by Francescangeli et al. (2004) (Figure 2).

Data showed a normal distribution (Kolmogorov-Smirnov P>0.05). Based on non-parametric Mann-Whitney (P>0.05) and Student-T Tests, there were no significant differences between both thermic groups. 50% of the blossom was reached with 380 and 432 dg for De Cicco and Compact in 2013, whereas in 2014 Avenger and Legacy reached it with 303 and 316 dg respectively (Figure 2).
The Polar diameter and inflorescence yield were evaluated, in both experiments, in a useful plot of 2.4 m2 - 1.2 m width by 2.0 m long - (expressed in fresh weight in t ha-1). The stem diameter was measured above 2 cm from the base and so the plant height was in three different moments (7, 10 and 13 weeks after sowing -WAS-), from which their respective Relative Growth Rate (RGR: RGR-height and RGR-diameter) was determined, using the modified formula of Hastwell and Facelli (2003). The evaluations of RGR were carried out on five selected representative plants per plot, with non-destructive sampling.
Data were processed using the statistical program SAS®, version 9.3. Furthermore, different tests were applied such as: normality test (Shapiro-Wilk and Kolmogorov-Smirnov, α=0.05), homogeneity of variances (Levene) and independent errors of variables just to verify the assumptions required in parametric analyzes. Furthermore, analysis of variance (Andeva) in repeated measures, which had adjustment of the covariance structure by mixed models. To compare, Mauchly sphericity and Tukey’s multiple comparison test were used, and also Least Squares and Significant Minimum Difference or t-Test.
RESULTS AND DISCUSSION
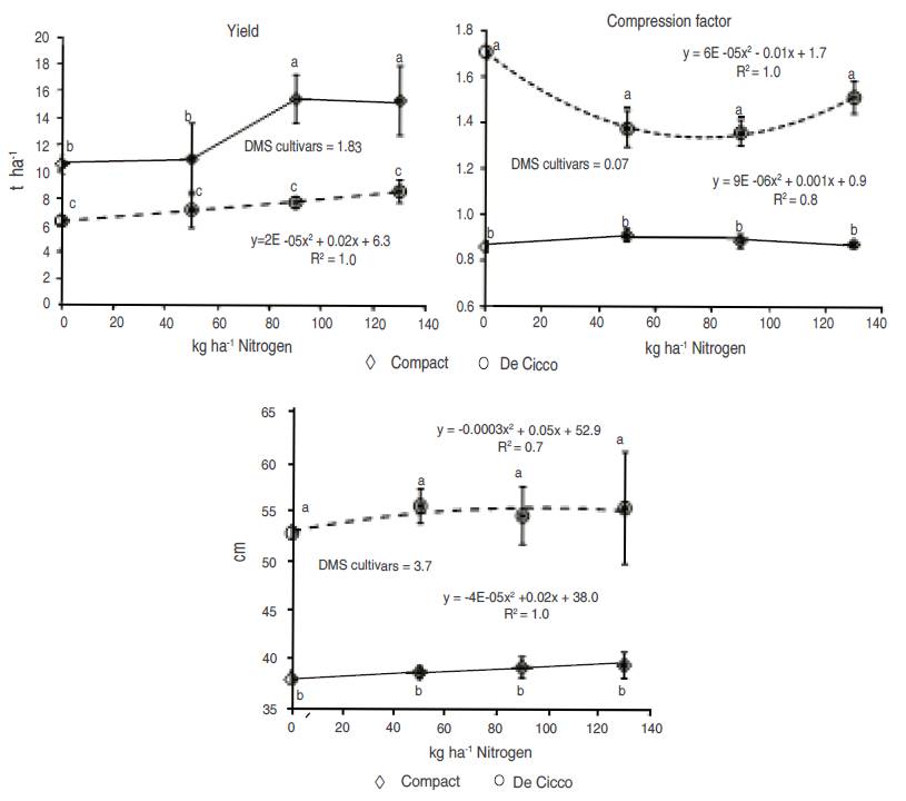
The yield presented significant statistical differences between among the nitrogenous levels applied and Compact and De Cicco cultivars (P<0.05). The highest fresh weight production of inflorescences was reached by Compact (15.5 t ha-1), indicating that neither over 90 kg ha-1 of N non-increment is achieved nor below this dose (Figure 3A).

The compression of the head (pella), which was inversely correlated with the yield (Pearson r = -0.7), is determined by the ratio between the polar diameter and the length. That is why an increase of this factor causes a decrease in yield. De Cicco was the least compact, formed non-tradable inflorescences, showing a low adaptation to these environmental conditions (Figure 3B).
The compression of the head (pella), which was inversely correlated with the yield (Pearson r = -0.7), is determined by the ratio between the polar diameter and the length. That is why an increase of this factor causes a decrease in yield. De Cicco was the least compact, formed non-tradable inflorescences, showing a low adaptation to these environmental conditions (Figure 3B).There were significant statistical differences (P>0.05) in the plant height but no among the nitrogen levels. De Cicco elongated more (54.5 cm), exceeding Compact’s height in 29% (38.9 cm) (Figure 3C).
Total production of fresh biomass per plant presented significant statistical differences among cultivars (P<0.05). Compact production was 28% higher than De Cicco (Figure 4A and B). De Cicco biomass decreased due to greater elongation. Compact produced more fresh leaves capable of photosynthesizing to increase yields. The ratio between total fresh biomass and yield was direct -Pearson r = 0.74 - (Figure 4A and B).

Fresh and dry biomass of the two cultivars did not present significant statistical differences between treatments (P>0.05). Biomass production per plant was concentrated in leaves, followed by stems and inflorescences (Figure 4A and B).
The best material of the second experiment was Avenger, which was superior to Compact by 38%. Avenger obtained an average height of 63 cm, and a fresh and dry biomass production of 2717 and 411 g per plant respectively, superior by 38 and 45%. Furthermore, it was more efficient in biomass production, achieving a higher yield of inflorescences.
It is probable that the higher production of biomass was favored by genotype and the higher incidence of solar brightness hours and not by the temperature effect that did not show significant statistical differences in accumulated day degrees (Figure 2) in the records of both cycles (Figure 1). This coincides with Francescangeli (2004) who states that the temperature values recorded during the periods do not explain the variability between the genotypes and parameters studied, and that there are other environmental parameters, such as light, which interacting with temperature and cultivar that determines the differences.
In the first experiment, Compact cultivar highest yields were obtained with an application of 90, 60, 30 and 80 kg ha-1 of N, P2O5, K2O and a fertilizer composed of minor elements respectively; whereas De Cicco cultivar was not adapted to this environment. According to Andeva, the interaction between treatments and evaluation time of plant height, stem diameter and RGR-Diameter was not significant (P>0.05) in the second experiment. The differences between the treatments were maintained over time. RGR-Height interaction was significant (P<0.05). Materials and treatments effect did not show significant differences in four variables (t-Test, P>0.05) (Figure 5 and 6).


In the significant interaction of RGR-Height, the treatment N° 11 (60, 80 and 55 kg ha-1 de N, P2O5 and K2O respectively) presented differences among them less T5, T6 and T10 during 70 DAS (P<0.05). There were not statistical differences for RGR-diameter (P>0.05) (Figure 6A and B). RGR’s showed that broccoli plants did not respond to high doses of fertilization in soils with high nutrient contents. Similar results were found by Cecílio et al. (2012) where Nitrogen-Potassium doses and sowing distance did not show significant statistical differences in inflorescence weight and yield in frozen products industry.
Cultivars yields, under the influence of fertilization treatments evaluated, did not show significant statistical differences either (Tukey, P>0.05) (Figure 7). Contrary to the increases found by Giri et al. (2013) in height of plants with maximum yield when they applied 200 kg ha-1 of Nitrogen, being twice superior to the best dose obtained in the first test and three times to the one of the second one and to that obtained by Islam et al. (2010) in a loamy loam soil with low availability of M. O., P, K, S, and B, with doses of 200 kg ha-1 of P2O5 and K2O and yields of 9.37 t ha-1. This dose of phosphorus was three times higher than the optimum in the first trial and five times that of the second trial, possibly due to the different fertility levels of the soils used, where MO contents and nutrients were in concentrations medium to high. The highest Avenger yields were achieved with nitrogen and phosphorus levels between 50-100 and 20-50 kg ha-1 respectively. For this reason and in order to achieve an adequate productivity, preserve soil fertility, have low production costs and not to cause salinity, it is important to apply this dose: 60, 40 and 55 kg ha-1 of N, P2O5 and K2O respectively (Figure 8A).

Yields up to 18 t ha-1, which do not present statistically significant differences (P>0.05), were reached using the next combinations: a. 60 and 55, b. 60 and 110 and c. 60 and 240 kg ha-1 of N and K2O respectively. This yield surpassed Compact, which was grown in the first experiment, in three tons. That is why the best combination is 60, 55 and 20 kg ha-1 of N, K2O and P2O5 respectively (Figure 8B).

Similarly, yields that fluctuated in 18 t ha-1, which do not present statistically significant differences (P>0.05), were reached using the next combinations: a. 20 and 55 and b. 40 and 55 kg ha-1 of P2O5 and K2O respectively. Indeed and regarding the soil (volcanic origin with allophane contents that retain the phosphorus) the best combination is 40 and 55 kg ha-1 of P2O5 and K2O (Figure 8C).
Avenger data model fitted with a regression coefficient, R2 = 0.78:

The best fertilization dose to use for Avenger is 60, 40 and 55 kg ha-1 of N, P2O5 and K2O respectively due to C.I. La Selva agroecological conditions. A decrease in crop yields are caused over 90 of N and 60 kg ha-1 of P2O5 and K2O. This recommendation was lower in 30 and 20 kg ha-1 of Nitrogen and Phosphorus respectively and higher in 25 kg ha-1 of potassium regarding the recommendation in the first experiment.
Regarding Avenger cultivar, nitrogen and potassium doses recommended are low comparing doses of 300 kg ha-1 of Nitrogen proposed by Cartagena et al. (2010) and 160 kg ha-1 of potassium by Silva et al. (2016) to achieve a production of 12.5 t ha-1, under conditions Jaoticabal municipality in São Paulo state, Brazil.
There were some content oscillations of nutrients in Avenger. Nitrogen and calcium in leaves and stems, phosphorus and potassium in stems. Increasing at the beginning of the cycle (48 DAS, 12 treatments on average), decreasing within 70 DAS and increasing again at the end (Table 3).

Carranza et al. (2008) reported a similar for calcium but not for nitrogen that decreased, under saline soils of the Sabana of Bogota.
There was a slight nitrogen deficiency within 70 DAS due to translocation to form the inflorescence (5.12%). In spite of the high concentration in soil, calcium in leaf was deficient throughout the cycle; regarding the medium levels and the preliminary sufficiency levels reported by Calderon (2015) and Castellanos (1998).
Phosphorus, potassium and magnesium content increased up to 70 DAS in leaves and decreased to the end of the cycle. Phosphorus and potassium were higher in inflorescences and stems owed to translocation processes (Table 3). There were not deficiencies in most treatments evaluated regarding the levels reported by Calderon (2015) and Castellanos (1998). Different potassium results were achieved by Carranza et al. (2008) where leaf content increased slightly and deficiencies occurred throughout the cycle.
There was not direct relation between the amounts of fertilizers applied and the nutrient content in leaves, stem and inflorescences. Similarly happened with the high or low content in each tissue, no matter the applications of nitrogen, phosphorus or potassium (Table 3).
Legacy cultivar, which had the next applications: a. 60, 40 and 55; b. 60, 60 and 55 and c. 120, 20 and 55 kg ha-1 of N, P2O5 and K2O respectively, presented an average yield of 11 t ha-1 without showing statistically significant differences (Tukey, P>0.05). Results coincided with Avenger best formula (60, 40 and 55 kg ha-1 of N, P2O5 and K2O respectively). Yields decreased in this cultivar when doses exceeded N, P2O5 and K2O levels of 80, 50 and 90 kg ha-1 respectively (Figure 9).

Second order polynomial used in Leagacy, R2=0.83:

CONCLUSIONS
Fertilization dose that is recommended for Compact, Legacy and Avenger cultivars is 60 - 90, 40 - 60, 30 - 55 and 80 kg ha-1 of N, P2O5, K2O and a fertilizer composed of minor elements; under C. I. La Selva environmental conditions.
In order to assure a good adaptation in which seeds are recommended and due to the different genotype responses, it is important to have an accurate control and an agronomic evaluations by competent authorities and seed traders in Colombia.
A sustainable production with low costs and less use of agrochemicals is achieved only if an integrated crop program is handled through minimum tillage, balance of nutrients and an integrated pest and disease management.
ACKNOWLEDGMENTS
Corporación Colombiana de Investigación Agropecuaria - Corpoica and Ministerio de Agricultura y Desarrollo Rural are gratefully acknowledged for the logistical and financial support. Also to the researchers: Martha Londoño, Luisa Fernanda Zuluaga, Paula Andrea Aguilar, Guillermo Franco, Saul Soto and other collaborators for their participation in the experiments.
REFERENCES
AGRONET. 2017. Estadísticas agrícola. Área, producción, rendimiento y participación. Anuario Estadístico del Sector Agropecuario. Base Agrícola EVA 2007-2015.
Allen R, Pereira L, Raes D y Smith M. 2006. Evapotranspiración del cultivo. Guías para la determinación de los requerimientos de agua de los cultivos. Estudio FAO de Riego y Drenaje No. 56. Pp. 322 Roma. ftp://ftp.fao.org/agl/aglw/docs/idp56s.pdf; consulta: march 2016.
Arévalo L, Pinilla J y Escobar C. 2013. Evaluación del efecto de la aplicación de N, P, K y Mg en el crecimiento de lechuga (Lactuca sativa L.) "vera" en condiciones de la sabana de Bogotá. Ingeplant. http://www.ingeplant.com/articulolechuga.pdf; consulta: mayo 2014.
Calderón F. 2015. Bases de datos. En: Dr. Calderón laboratorios, Calderón laboratorios, http://www.drcalderonlabs.com/Agracces/Entrada.htm; consulta: mayo 2015.
Cartagena Y, Galvis A, Hernández T y Arévalo G. 2010. Determinación de la demanda nutrimental de nitrógeno en brócoli (Brassica oleracea itálica). pp. 17-19 En: XII Congreso Ecuatoriano de La Ciencia Del Suelo. Santo Domingo, Ecuador.
Castellanos J. 1998. Nutrición de cultivos bajo sistemas de fertirrigación. In: Informaciones Agronómicas No. 35, 11 p.
Carranza C, Lanchero O y Miranda D. 2008. Comportamiento de los nutrientes en tejido foliar en brócoli (Brassica oleracea var. itálica) ‘Coronado’ y repollo (Brassica oleracea) híbrido ‘Delus’ cultivados en la Sabana de Bogotá. Revista Colombiana de Ciencias Hortícolas 2(1): 66-75.
Cecílio A, Schiavon A and Cortez J. 2012. Produtividade e classificação de brócolos para indústria em função da adubação nitrogenada e potássica e dos espaçamentos entre plantas. Horticultura Brasileira 30(1): 12-17. doi: 10.1590/S0102-05362012000100003
Francescangeli N, Stoppani M y Martí H. 2004. Aptitud de modelos de temperaturas y de tiempo térmico en brócoli (Brassica oleracea var. italica). Agriscientia 21(4): 51-57.
Flores S. 2010. Determinación de dosis óptimas N, P, K en especies de interés económico y forestal en cultivo hidropónico. Tesis Magister en Ciencias. Colegio de posgrados Institución de Enseñanza e Investigación en Ciencias Agrícolas. Estado de México. 100 p.
Galindo J, Español J, Vargas R, Sánchez G, Espitia E, Flórez R y Herrera C. 2011. Experiencias de buenas prácticas agrícolas para el cultivo de hortalizas en la sabana occidente de Bogotá. Corpoica, Santafé de Bogotá. 84 p.
Giri R, Sharma M, Shakya S, Gc Y and Kandel T. 2013. Growth and yield responses of broccoli cultivars to different rates of nitrogen in western Chitwan, Nepal. Agricultural Sciences 4(7): 8-12. doi: 10.4236/as.2013.47A002
Guerrero R. 1998. Fertilización de cultivos en clima frío. Segunda edición. Monómeros Colombo Venezolanos S. A. Sáenz y Cía. Ltda, Santafé de Bogotá. 370p.
García L. 2007. Estudio general de suelos y zonificación de tierras departamento de Antioquia. Instituto Geográfico Agustín Codazzi (IGAC). Imprenta Nacional de Colombia, Santafé de Bogotá. 328 p.
Hastwell G T and Facelli J M. 2003. Differing effects of shade-induced facilitation on growth and survival during the establishment of a chenopod shrub. Journal of Ecology 91: 941-950. doi: 10.1046/j.1365-2745.2003.00832.x.
Instituto Colombiano Agropecuario (ICA). 1992. Fertilización en diversos cultivos: quinta aproximación. ICA, Bogotá,Sección Recursos Naturales. 64 p.
IDEAM -Instituto de Hidrología, Meteorología y Estudios Ambientales. 2015. Solicitud de información. http://www.ideam.gov.co/solicitud-de-informacion; consulta: mayo 2015.
Islam M, Shaheb M, Rahman S, Ahmed B and Sarker P. 2010. Curd yield and profitability of broccoli as affected by phosphorus and potassium. International Journal of Sustainable Crop Production 5(2): 1-7. http://ggfjournals.com/assets/uploads/1-71.pdf; accessed: november 2016.
Mcmaster G and Wilhelm W. 1997. Growing degree-days: one equation, two interpretations. Agricultural and Forest Meteorology. 87: 291-300. Citado por: Rodríguez D, Cotes J and Cure J. 2012. Comparison of eight degree-days estimation methods in four agroecological regions in Colombia. Bragantia, Campinas 71(2): 299-307. doi: 10.1590/S0006-87052012005000011
Prieto M. 2011. Determinación de metales pesados en hortalizas distribuidas en plazas de mercado, centros de abasto e hipermercados de la ciudad de Bogotá, D.C. Tesis de Magister en Gerencia de Programas Sanitarios en Inocuidad de Alimentos, Universidad para la Cooperación Internacional. San José, Costa Rica. 108 p.
Puenayan A, Córdoba F y Unigarro A. 2010. Respuesta del brócoli Brassica oleracea var. Italica L. Híbrido Legacy a la fertilización con N-P-K en el municipio de Pasto, Nariño. Revista de Agronomia. 27(1): 49-57.
Ramírez C, Daza D y Peña A. 2015. Tendencia anual de los grados día cafeto y los grados día broca en la región andina ecuatorial de Colombia. Revista Corpoica Ciencia Tecnología Agropecuaria. 16(1): 51-63. doi: 10.21930/rcta.vol17-num3
Rojas B. 1963. El diseño San Cristobal en experimentos de fertilizantes. pp. 15-17. En: Primer Congreso Nacional de la Ciencia del Suelo. Sociedad Mexicana de la Ciencia del Suelo. México.
Roltsch W, Zalom F, Strawn A, Strand J and Pitcairn M. 1999. Evaluation of several degree day estimation methods in California climates. International Journal of Biometeorology 42(4): 169-176. doi: 10.1007/s004840050101
Salt D, Smith R and Raskin I. 2015. Effect of N and P levels on growth and yield parameters of broccoli (Brassica oleracea L. Var. italica) under South Guajarat soil conditions. International Journal of Tropical Agriculture 33(2): 913-917.
Silva A, Cecilio A, Mendoza J and Lima J. 2016. Potassium fertilization of cauliflower and broccoli in a potassium- rich soil. Ciencia E Investigación Agraria, 43(1): 151-157. doi: 10.4067/S0718-16202016000100014
University of California, 1994. Degree Day Utility 2.3. [download]. Statewide Integrated Pest Management Project. UC IPM Microcomputer Software and Databases. The Regents of the University of California.
Villasmil J, Martínez E y Segura G. 1974. El diseño San Cristóbal y su uso en ensayos de fertilización en Caña de Azúcar. En: Revista de la Facultad de Agronomía (LUZ) 3(4): 7-25.