Artículos
Received: 27 September 2017
Accepted: 07 November 2017
DOI: https://doi.org/10.15446/rfna.v71n1.69587
ABSTRACT: The success of assisted pollination in oil palm is essential for oil production, since it determines the amount of well-formed fruits; in this process, the pollen quality, expressed as viability and germinability, is of great importance. This work was carried out in the Salamanca Oleaginosas S.A. Laboratories, in order to determine the viability, germination and pollen tube growth of pollen grains of Guineensis, Amazon, Coari x Lame and Unipalma genotypes, stored during 0, 5, 15 and 30 days at room temperature, and -13 °C. Using an unrestrictedly randomized design with a factorial arrangement and four replications, the variables percentage of viability and germination, length and growth rate of the pollen tube were analyzed. Guineensis pollen had the highest germination and viability values, which ensure a good pollination efficiency, while the other cultivars had values below the recommended, although pollen tube growth of the few grains that germinated was similar to Guineensis.
Keywords: Bud rot, Growth rate, Hybrid OxG, Pollen tube, Pollination.
RESUMEN: El éxito de la polinización asistida en palma de aceite es fundamental para la producción de aceite, ya que determina la cantidad de frutos bien formados; en este proceso, la calidad del polen, expresada como viabilidad y germinabilidad, es de gran importancia. El presente trabajo se realizó en los Laboratorios de la empresa Salamanca Oleaginosas S.A., con el objeto de determinar la viabilidad, germinación y velocidad de crecimiento del tubo polínico de granos de polen de los genotipos Guineensis, Amazon, Coari x Lame y Unipalma, almacenados durante 0, 5, 15 y 30 días a temperatura ambiente y a -13 °C. Se empleó un diseño DIA con un arreglo trifactorial (Genotipos, tiempo y temperatura de almacenamiento) con cuatro repeticiones. El polen del genotipo Guineensis presentó los mayores valores de viabilidad y germinación, asegurando una buen eficiencia en la polinización, mientras que los demás cultivares presentaron valores por debajo de los recomendados; sin embargo, el crecimiento del tubo polínico del polen germinado en estos genotipos, fue similar al del genotipo Guineensis.
Palabras clave: Pudrición del cogollo, Velocidad de crecimiento, Híbridos OxG, Tubo polínico, Polinización.
African palm is the most productive species among oil plants. Its main contribution is the oil and by products, which add value to an entire chain of agro-industrial exploitation. One of the most serious problems for oil-palm cultivation is bud rot (PC), a phytosanitary problem that until now has been the main disease faced by palm trees, especially in the western part of the country. According to Corredor et al. (2008), the population of diseased palms registered in 2007 increased sevenfold from 441,000 to three million in 2008, and the ratio of diseased palms to planted palms grew from 8.3% to 58%.
The genetic solution has been promising up to this time, incorporating the resistance of American oil palm (Elaeis oleifera) to the African oil palm (Elaeis guineensis), generating the interspecific hybrid OXG, reported as disease tolerant, among them, PC (Hartley, 1988; Gómez et al., 1995; Sharma, 1999; Torres et al., 2004; Bastidas et al., 2007). Rajanaidu (2016), confirms that these interspecific hybrids produce better oil quality, acceptable production, but their physiological and fruit ripening processes have not been studied much.
Seeds of the hybrid Amazon were released for commercial use in Tumaco (Colombia), Brazil, Peru, Ecuador and Nicaragua, since 2008. The oil content in the cluster of the first generation of Amazon, planted in 1993, was relatively low (18%); but the first results observed with the new hybrid show high tolerance to lethal rot of the head; the origins of the seeds of E. oleifera from Unipalma S.A. come from collections made in the decade of the 50s in the Amazon region of Brazil. This collection was sent to Africa and planted in the Experimental Station of Yaligimba in the Congo where both intraspecific crosses within the E. oleifera species were made as interspecific crosses with Pisiferous palms of the African species E. guineensis used in the breeding program of the Unilever in Yaligimba. In the year of 1991, they were planted in Unipalma S.A. the pure E. oleifera progenies and a progeny test of the interspecific hybrid E. oleifera x E. guineensis (OxG) (Alvarado et al., 2013).
The oil extraction rate of this hybrid under natural pollination condition, however, is much lower than that of E. guineensis due to the low efficiency of natural pollination of the interspecific hybrid caused by the low viability of the pollen (Alvarado et al., 2000), unattractiveness of inflorescences to pollinating insects, morphological structures present in inflorescences that prevent natural pollination (Henry, 2016), floral asynchrony, and possible agroclimatic conditions (Meléndez and Ponce, 2016; Sanchez and Romero, 2013; Appiah and Agyei-Dwarko, 2013; Hormaza et al., 2010; Labarca et al., 2009).
To counteract this problem, assisted or artificial pollination programs have been designed with pollen from Elaeis guineensis plants. In the western palm zone of Colombia, due to the high pollen demand of Guineensis material, it is difficult to achieve the same. In addition to the above, there are no commercial plantations in the area that can supply this need, meaning that the pollen is transported from other palm areas such as the North (San Alberto- Cesar) and the East (Villavicencio-Meta), increasing the risks of lowering the quality.
Turner and Gillbanks (1982), indicate that the pollen used in artificial pollination systems must have a viability of no less than 75% at the moment of its observation in the laboratory. Hence the importance of applying the appropriate methodology for its collection, drying and handling, so that the technical management does not become a factor that diminishes its quality.
According to Corley and Tinker (2009), when the percentage of germination is higher than 70%, the pollen is good. If the percentage of germination is between 40% and 70%, it must be used immediately, compensating the quality for the quantity. If the percentage of germination is less than 40%, however, it is better to dispose of it. The low percentages of germination may originate in genetic causes (although this is a very rare), inflorescences collected after anthesis, pollen drying temperature greater than 40 °C, pollen moisture greater than 10%, or lengthy conservation at temperatures greater than 15 °C below zero.
In this sense, it is necessary to identify the fertilization potential of different improved palm oil cultivars in the municipality of Tumaco; for this reason, this work aims to evaluate the germinability and viability of pollen from different oil palm cultivars under laboratory conditions, in the municipality of Tumaco, department of Nariño.
MATERIALS AND METHODS
Location
The work was carried out in the Salamanca Oleaginosas S.A. Plantation, located in the Olaya district, Candelillas of Tumaco, Nariño, 50 m altitude, maximum temperature 38 °C and minimum 24 °C, average relative humidity 85% and precipitation 2500 mm year-1 (Station of Salamanca Oleaginous S.A.).
Experimental Design
An unrestricted random sampling (DIA) with trifactorial arrangement was used. The factors corresponded to:
Factor A: Genotypes (Amazon, Coari x Lame, Unipalma y Guineensis)
Factor B: Storage periods (0, 5, 15, 30 days)
Factor C: Storage temperature (average 28 °C, -13 °C)
32 treatments were evaluated, with 4 repetitions, for a total of 128 experimental units corresponding to each of the slides.
Field stage. Three male inflorescences were identified for each material, when the presence of pollen in the ears was more than 70%, corresponding to the state of anthesis according to the BBCH scale (Hormaza et al., 2011). The inflorescences were cut and shaken on cardboard. The pollen was then sieved in the laboratory with a 100 µ sieve, and later with a 200 µ one.
Later, the pollen dried for a period of 12 hours, at a temperature of 40 °C, in order to be stored with the appropriate labeling at room temperature, and at -13 °C, for their respective evaluations.
Percentage of viability (VIA). Samples of pollen from each of the materials (Amazon, Coari x Lame, Unipalma y Guineensis) were taken, with different storage periods (0, 5, 15, and 30 days), at room temperature and -13 °C after collection. Approximately 1 mg of pollen from each material was placed on a slide, a drop of acetocarmine + 1% + 10% sugar solution was added, and were then covered with coverslips. After 5 minutes, the dyed and non-dyed materials were counted in 5 fields under light microscope (40 x). Four slides were used for each treatment.
Germination percentage (GER). The evaluation of germination was realized through planting approximately 1 mg of pollen on the glass plates with PDA- Sucrose, which were placed in Petri dishes according to the methodology described by Douglas and Freyre (2010), and Grisales et al. (2010). The dishes were covered and incubated at room temperature, while observations were made every half hour with a light microscope at 40 x.
The evaluation of germinability was conducted after two hours of germination, considering as germinated the grains whose pollen tube length was twice its diameter. The germination results obtained are expressed in percentages.
Longitude and growth speed of pollen tube (LTUB). To determine the growth and rate of growth of the pollen tube as a strength indicator, photographic samples were taken every half hour in a light microscope with both 40x and 10x objectives, in order to establish the final length of the pollen tube.
Statistical Analysis
This was done based on the statistical model proposed, using analysis of variance as well as comparison test, using Tukey measurements with a margin of reliability of 95%. For the growth rate of the pollen tube, a regression analysis was made, considering time as the independent variable.
RESULTS AND DISCUSSION
The variables viability, germination and pollen tube length from different oil palm genotypes were significantly affected by temperature and storage time (Table 1).

The evaluation of viability of pollen not stored showed the highest percentages in the cultivar Guineensis, with 98.38%, and statistical differences with the rest of the treatments. The cultivar Coari x Lame presented 35.98% of viable pollen, with statistical differences in respect to Amazon and Unipalma materials, which presented percentages of 16.94% and 17.10% respectively (Figure 1). These results coincide with those obtained by Bastidas et al. (2007) and Torres et al. (2004), who corroborated the high pollen viability of Guineensis, much higher than those observed in the pollen of palm hybrids. Significant statistical differences presented between the viability of pollen stored at room temperature (4.98%), and at -13 °C (11.75%).

The number of days stored, and the storage temperature did not significantly influence the percentages of pollen viability, demonstrating that the time and storage temperature evaluated had no influence on the data on viability observed.
Sanchez and Romero (2013), confirm that the grains of pollen of the hybrid present low percentages of viability and germination due to the fact that they are very varied in size and form with regard to E. oleífera y E. guineensis, and during their formation, they undergo frequent divisions of abnormal cells. The same authors concluded that the low viability of pollen is not an obstacle for the commercial exploitation of the hybrids E. oleífera x E. guineensis. On the contrary, Turner and Gillbanks (1982), affirm that the pollen used in artificial pollination systems must have a viability of no less than 75% at the moment of laboratory observation. Based on this observation, only the pollen of E. guineensis presents the adequate viability for assisted pollination programs.
On the other hand, the viability results in terms of storage times and temperature differ from those found by Hardon and Tuner (1967), who point out that under natural field conditions, pollen remains viable for one week after the anthesis of the male inflorescences. In this study, it was established that under laboratory conditions, the viability could be maintained for up to 30 days of storage.
In addition, it is necessary to clarify that the viability test do not ensure that the pollen meets the requirements for fertilization, as a grain of pollen may be viable but also present germinative problems (Lagos et al., 2005).
The variable “germinability” presented significant differences for simple effects, and for all possible interactions (Table 1). When stored the pollen at room temperature (28 °C), germination decreased drastically and after five days, germination was reduced by more than 50%; no pollen germination occurred after 15 days of storage (Figure 2A). When the germination of pollen stored at -13 °C was analyzed, it was established that the storage time did not affect the germination of the genotypes, with the exception of the genotype Coari x Lame, which presented greater germination rates (23.40%) after 15 days of storage (Figure 2B).

According to Corley and Tinker (2009), when the percentage of germination is greater than 70%, the pollen is good. This condition was only found with Guineensis material, confirming the need for pollen of this genotype in assisted pollination programs, as hybrids do not posses pollen with the minimum germination values demanded. The pollen of the hybrids showed low percentages of germinability in this study, which can be explained, according to Davarynejad et al. (2008), by the fact that fertile pollen does not only depend on environmental factors such as humidity, temperature, atmospheric composition, and partial pressure of oxygen. Other determinant factors include genetic characteristics such as the pollen morphology (shape and size), pollen tube growth, viability and capacity of germinative competence (Lin et al., 2017), all of which are factors that can influence pollen germinability of the materials OxG.
In addition, these hybrids come from the parental Elaeis oleífera, which possess germination values between 20 and 60%, and 6.2% in the OxG hybrid, values that contrast with those of E. guineensis, which can surpass 70% (Romero et al., 2013).
Reasons for low pollen germination in interspecific hybrid are not well known. However, it is known that an incomplete mating of chromosomes occasionally occurs, and that the pollen can be released with difficulty, due to anther malformation. The existence of pollen degeneration has also been suggested, which occurs between the stages of meiosis and dispersion in anthesis (Sanchezet al., 2008). Due to the above, pollen storage is one of the activities carried out in order to longer preserve viability, since adverse environmental conditions can result in the reduction of pollen functionality. This characteristic is indispensable for the completion of the germination process in the pollination of feminine inflorescences, resulting in good cluster formation (Sánchez and Romero, 2013).
Knowledge of the characteristics associated with pollen quality is of great importance in order to ensure fertilization, yield, and quality (Andrés et al., 1999).
The pollen tube length presented highly significant differences between genotypes, days and temperature of storage and genotype interactions*days stored, genotype*storage temperature, and between storage days and temperature (Table 1). In the Guinensis, Amazon and Unipalma genotypes, the length of the pollen tube was similar in different periods of pollen storage at -13 °C (Figure 3B).
Pollen stored in environmental condition suffered a strong deterioration after the first five days, significantly reducing its germinability (Figure 3A). The grains of pollen of the genotypes evaluated under room temperature fail to emerge after 5 days, in accordance with Alburquerque et al. (2007), who affirms that the pollen viability decreased rapidly according to storage conditions.

Growth Dynamic of Pollen Tube. It was observed that the non-stored pollen presented an average initial length (at 30 minutes) of 20.23 µm for the genotypes evaluated. Guineensis was the fastest to emit the pollen tube, with a length of 28.57 µm in the first 30 min. The genotypes Amazon, Coari x Lame, y Unipalma presented lengths of 22, 12, and 18.33 µm, respectively. According to Tadon et al. (2001), the pollen grains germinate within the following two hours of pollination, and the formation of fruit begins.
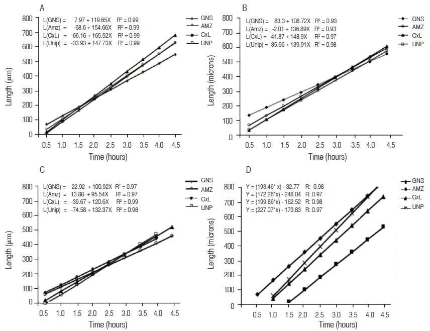
The growth of the pollen tubes of non-stored pollen grains finished between 4.5 and 5 hours, with the genotype Coari x Lame reaching the highest longitude, with 631.82 µm. The genotypes Amazon, Unipalma y Guineensis, reached longitudes of 613.89, 571.43 and 503.21 µm, respectively. All of the genotypes showed lineal growth, proving the vigor of fresh, non-stored pollen (Figure 4A).

This behaviour was similar in grains in cold storage during a period of five days (Figure 4B). In 15 days of cold storage (-13 °C), a reduction of growth speed was observed (Figure 4C), but values superior to all the previous ones were recuperated when stored under the same conditions during 30 days (Figure 4D). These results coincide with Kearns and Inouye (1993), who affirm that the pollen quality is maximum at the time of anther dehiscence, decreasing with time, according to pollen storage conditions.
The emergence of the pollen tubes at room temperature was similar, although delayed compared to that reported in non-stored pollen. Guineensis was the fastest to emit the pollen tube, with a longitude of 31.25 µm in the first sixty minutes. For the genotypes Amazon, Coari x Lame, and Unipalma, longitudes of 77.50, 52.50 and 32.50 µm, were presented in two and two and a half hours, respectively. The average final longitude for the genotypes was 484 µm. Coari x Lame presented the greatest average, with 578.88 µm, and Unipalma the lowest, with 307.22 µm.
The non-stored pollen grains presented an average growth rate of 2 µm per minute. During the first minutes of incubation, the genotypes Amazon, Coari x Lame and Unipalma presented a slow growth speed, which increased the 100-120 minute point, in which stabilized. On the contrary, the genotype Guineensis, presented a constant speed from the beginning of incubation (Figure 5A). A high growth speed of the pollen is a determinant of successful masculine reproduction; the pollen tube is the fastest growing plant cell and can breathe up to 10 times more than other tissues (Okusaka and Hiratsuca, 2009).

The emergence of the pollen tubes stored during five days at room temperature was similar, although delayed compared to that reported in non-stored pollen. Guineensis was the fastest to emit the pollen tube, in the first sixty minutes. For the genotypes Amazon, Coari x Lame, and Unipalma, the emission were presented in two and two and a half hours, respectively (Figure 5B).
The growth of the pollen tubes stored during 5 days allowed for the observation of the initial loss of germination speed, considering that the non-stored pollen began its germination and growth of the pollen tube in the initial 30 minutes, while the stored ones began to grow at one hour, two hours, and two and a half hours (Guinensis, Amazon and CoarixLame, respectively) (Figure 5B).
The growth rate began at 60 minutes in the case of Guinensis, at 120 minutes for Amazon and Coari x Lame, at 150 minutes for Unipalma, with accelerated increase up to 300 minutes in Guinensis, Amazon, Unipalma, and Coari x Lame.
The progressive loss observed in growth speed of the pollen tube is a continuous process that involves enzymes that degrade quickly due to environmental factors, and internal factors of each genotype (Dafni and Firmage, 2000).
The results obtained with the pollen stored during 5 days at a temperature of -13 °C are similar to those obtained from the non-stored pollen, showing, at thirty minutes incubation time, average longitudes of 67 µm, with values of 137.7 µm in Guineensis and 66.43, 34.29 and 32.58 µm in Amazon, Unipalma and Coari x Lame, respectively. The maximum average longitude (604.9 µm) was reached in 4 and a half hours. Coari x Lame reached 628.18 µm, Amazon 613,9 µm Unipalma 593.9, and Guineensis 572.6 µm (Figure 4B). In this sense, Pham et al. (2015) affirm that germination and growth of the pollen tube require the interaction of different components, and that it is necessary to evaluate and calibrate according to the specie and genotype.
The growth rate contrasted between the Guineensis genotype with a high initial velocity that decreased to stabilize in 160 minutes, and the genotypes Unipalma and CoariXLame, which presented a low initial velocity and growth to stabilize in 150 minutes. The growth speed of Amazon was constant during the evaluation time. (Figure 6A). These differences in growth speed of the pollen tubes of the genotypes is found in other species, indicating that genotypic differences affect germination capacity and pollen tube growth rate (Pfahler et al., 1997).

With 15 and 30 days of storage at room temperature no expression was presented, considering that after 5 days of storage, the percentages of germination decrease until the point of not showing any results. These effects show that the storage temperature is an important factor in the expression of germinability, showing that from the first day of anthesis, the pollen shows decreasing percentages proportional to time.
Nonetheless, when the pollen is stored at a temperature of -13 °C, for thirty days, it was observed that the increase in the length of the pollen tubes of the genotypes remains the same, as observed in non-stored pollen, as shown in Figure 4D.
The average growth rate of the pollen grains stored during 15 days, at -13 °C, showed mean increments of 1.7 µm per minute, with the highest values shown in the Guineensis material, with 2.4 µm per minute. For Amazon, Coari x Lame, and Unipalma materials, the average rates observed were 1.7, 1.6 y 1.4 µm per minute (Figure 6B).
When the pollen was stored during 30 days, at a temperature of -13 °C, the average growth rate was 2.9 µm per minute, with Guineesis presenting the highest rate of 3.1 µm per minute. The genotypes Amazon, Coari x Lame, and Unipalma reached averages of 2.0, 2.7, and 3.2 µm per minute, respectively (Figure 7).

With 30 days of storage, the genotype Guineensis began with a rate of 2.0 µm per minute which tended to remain constant up to 75 minutes, with an increase rate of 2.9 µm per minute. This indicates that the conservation of pollen in low temperatures (-13 °C), could serve as a way to lengthen the life of the pollen, improving its vigor in subsequent pollination and allowing the production of pollen in areas other than its application. The same results are reported by Pham et al. (2015), in Dimocarpus and by Wang et al. (2015) in Litchi, with pollen conserved at -86 °C and by Sukhvibul et al. (2000) in four cultivars of mango.
CONCLUSIONS
The viability of the pollen grains was determined by genotype: Guinensis presented better viability than the other genotypes, while Coari x Lame was superior to Unipalma and Amazon.
The number of storage days did not affect the germinability of stored pollen at -13 °C but decreased from the first day of collection to 5 days of storage at room temperature. Germination time of the pollen grains began after 30 minutes of incubation, and ended around four and a half hours, considering work conditions. Growth rate of the pollen tube of stored grains at room temperature during 5 days presented an initial delay when compared to the pollen tube of the non-stored grains. At -13 °C, the rate increased in Guineensis, Unipalma and Coari x Lame genotypes.
REFERENCES
Alburquerque N, García F, and Burgos L. 2007. Short communication. Influence of storage temperature on the viability of sweet cherry pollen. Spanish Journal of Agricultural Research 5(1): 86-90. doi: 10.5424/sjar/2007051-231
Alvarado A, Bulgarelli B y Moya B. 2000. Germinación del polen en poblaciones derivadas de un híbrido entre Elaeis guineensis Jack y E. oleífera HBK, Cortés. ASD Oil Palm Papers 20: 25-36.
Alvarado A, Escobar R, and Henry J. 2013. El híbrido OxG Amazon: una alternativa para regiones afectadas por Pudrición del cogollo en palma de aceite. Palmas, 34 (No. Especial, Tomo I): 305-314.
Andrés MV, Rodriguez J, and Duran JM. 1999. Viabilidad del polen de albaricoquero. Producción y Protección Vegetal (Spain) 14(1-2): 25-32.
Appiah S, and Agyei-Dwarko D. 2013. Studies on Entomophil pollination towards sustainable production and increased profitability in the oil Palm: a review. Elixir Agriculture 55: 12878-12883.
Bastidas S, Peña E, Reyes R, Pérez J, and Tolosa W. 2007. Comportamiento agronómico del cultivar híbrido RC1 de Palma de aceite (Elaeis oleifera x Elaeis guineensis) x Elaeis guineensis. Corporación Colombiana de Investigación Agropecuaria (Corpoica). Revista Regional, Novedades Técnicas. 8(1): 32-36. doi: 10.21930/rcta.vol8_num1_art:77
Corley R, and Tinker P. 2009. Oil palm. Fourth edition. Editorial Blackwell Publishing Ltda, Oxford, UK. 604 p.
Corredor A, Martínez G, and Silva A. 2008. Problemática de la producción del cogolle en Tumaco e instrumentos para su manejo y la renovación del cultivo. Palmas 29(3): 11-16.
Dafni A, and Firmage D. 2000. Pollen viability and longevity: Practical, ecological and evolutionary implications. pp. 113-132. In: Dafni, A., Hesse, M. y Pacini, E. (eds). Pollen and pollination. Springer-Verlage, Vienna, Austria.
Davarynejad G, Szabó Z, Nyeki J, and Szabó T. 2008. Phenological stages pollen production level, pollen viability and in vitro germination capability of some sour cherry cultivars. Asian Journal of Plant Sciences 7(7): 672-676. doi: 10.3923/ajps.2008.672.676
Douglas A, and Freyre R. 2010. Floral development, stigma receptivity and pollen viability in eight Nolana (Solanaceae) species. Euphytica 174: 105-117. doi: 10.1007/s10681-010-0145-8
Gómez C, Acosta G, Guevara L, and Nieto P. 1995. Pudrición de cogollo en Colombia: importancia, investigación y posibilidades de manejo. Palmas 16: 198-206.
Grisales V, Trillos G, Cotes J, and Orozco O. 2010. Estudios de fertilidad de polen en accesiones de uchuva (Physalis peruviana). Revista Facultad de Ciencias Básicas 6(1): 42-51. doi: 10.18359/rfcb.2112
Hardon J, and Turner P. 1967. Observations on natural pollination in commercial plantings of oil palm Elaeis guineensis in Malaya. Experimental Agriculture, 3(2): 105-116. doi: 10.1017/S0014479700021864
Hartley C. 1988. The oil palm (Elaeis guineensis Jacq.) Third edition. Tropical Agriculture Series. Logman Group, London. 761 p.
Henry J. 2017. Floración en Elaeis oleifera y el híbrido inter-específico Amazon. ASD Oil Palm Papers 48: 2-13.
Hormaza P, Forero D, Ruiz-Romero R, and Romero H. 2010. Fenología de la Palma de Aceite Africana (Elaeis guineensis Jacq.) y del híbrido interespecífico (Elaeis oleifera [Kunt] Cortés x Elaeis guineensis Jacq.). Cenipalma, Bogotá. 110 p.
Kearns C, Inouye D. 1993. Techniques for Pollination Biologist. University Press, Colorado, U.S.A. 581p.
Labarca M, Portillo E, Portillo A, and Morales E. 2009. Estructuras reproductivas y polinización entomófila en tres lotes comerciales de palma aceitera (Elaeis guineensis Jacq.) en el estado Zulia, Venezuela. Revista Facultad de Agronomía 26(1): 1-22.
Lagos C, Creuci M, Vallejo F, Muñoz J, Criollo H, and Olaya C. 2005. Caracterización palinológica y viabilidad de Physalis peruviana L. y Physalis philadelphica Lam. Agronomía Colombiana 23(1): 55-61.
Lin Y, Wang Y, Iqbal A, Shi P, Li J, Yang Y, and Lei X. 2017. Optimization of culture medium and temperature for the in vitro germination of oil palm pollen. Scientia Horticulturae. 220: 134-138. doi: 10.1016/j.scienta.2017.03.040
Meléndez M, and Ponce W. 2016. Pollination in the oil palms Elaeis guineensis, E. oleifera and their hybrids (OxG), in tropical America. Pesquisa Agropecuaria Tropical. 46(1): 102-110. doi: 10.1590/1983-40632016v4638196
Okusaka K, and Hiratsuka S. 2009. Fructose inhibits pear pollen germination on agar medium without loss of viability. Scientia Horticulturae 122: 51-55. doi: 10.1016/j.scienta.2009.03.024
Pfahler P, Pereira M, and Barnett D. 1997. Genetic variation for in vitro sesame pollen germination and tube growth. Theoretical and Applied Genetics 95: 1218-1222. doi: 10.1007/s001220050684
Pham V, Herrero M, and Hormaza J. 2015. Effect of temperature on pollen germination and pollen tube growth in longan (Dimocarpus longan Lour.). Scientia Horticulturae 197: 470-475. doi: 10.1016/j.scienta.2015.10.007
Sanchez R, and Romero H. 2013. Viabilidad y morfología del polen de diferentes materiales de palma de aceite. Ceniavances, Cenipalma 171: 1-4.
Sanchez G, Lopes R, Vieira da Cunha R, and Carvalho da Roch R. 2008. Germinação in vitro de pólen de híbridos interespecíficos entre o caiaué e o dendezeiro. Ciência Rural. 39(5): 1569-1571. doi: 10.1590/S0103-84782009005000082
Sukhvibul N, Whiley A, Vithanage V, Smith M, Doogan V, and Hetherington S. 2000. Effect of temperature on pollen germination and pollen tube growth of four cultivars of mango (Mangifera indica L.). Journal of Horticultural Science & Biotechnology 75: 214-222. doi: 10.1080/14620316.2000.11511226
Tadon R, Manohara T, Nijalingappa B, and Shivanna R. 2001. Pollination and pollen-pistil interaction in Oil palm, Elaeis guineensis. Annals of Botany, 87(6): 831-838. doi: 10.1006/anbo.2001.1421
Torres V, Rey B, Gelves R, and Santacruz, L. 2004. Evaluación del comportamiento de los híbridos interespecificos Elaeis oleifera x Elaeis guineensis en la plantación Guaicaramo S.A. Rev. Palmas 25 (número especial, tomo II): 350-357.
Turner P, and Gillbanks R. 1982. Oil palm cultivation and management. The Incorporated Society of Planters, Kuala Lumpur, Malaysia. 672 p.
Wang L, Wu J, Chen J, Fu D, Zhang C, Cai C, and Ou L. 2015. A simple pollen collection, dehydration, and long-term storage method for litchi (Litchi chinensis Sonn.). Scientia Horticulturae 188: 78-83. doi: 10.1016/j.scienta.2015.03.021