Artículos
Physicochemical properties, sensory attributes and consumer preference of soursop leather
Propiedades fisicoquímicas, atributos sensoriales y preferencias del consumidor de un laminado de guanábana
Physicochemical properties, sensory attributes and consumer preference of soursop leather
Revista Facultad Nacional de Agronomía Medellín, vol. 73, no. 2, pp. 9189-9199, 2020
Facultad de Ciencias Agrarias - Universidad Nacional de Colombia
Received: 07 November 2019
Accepted: 06 April 2020
Funding
Funding source: CDCHT-UCLA
Contract number: 1009-AG-2016
ABSTRACT: A soursop leather was prepared, and its physicochemical and sensory properties were assessed. The preparation of the leather was carried out based on an experimental mix design. The combination of soursop pulp (79-100%), sugar (0-20%), and citric acid (0-1%) produced five treatments. The optimum mixture, viz., TII (80:20:0), and the midpoint mixture, viz., TV (89.5:10:0.5), were finally selected, using an acceptability test (taste and color) with an untrained panel. These two treatments were evaluated, recording the variation of total soluble solids (TSS), pH, titratable acidity, ascorbic acid, total polyphenols, and color (chroma, hue angle, browning index and total color difference) every 15 days for a 45-day period. It was determined that it can be prepared from the soursop pulp, a leather with high acceptability (taste; color): TIV (8.68; 7.90) and TII (8.51; 7.72) on a 12-point scale. Significant changes in TSS, pH, titratable acidity, total polyphenols, and color (chroma, browning index, and total color difference) were observed during the 45 days of storage at room temperature. Both ascorbic acid and total polyphenol content make the soursop leather a product with potentially healthy characteristics.
Keywords: Acceptability, Annona muricata L., Fruit leathers, Fruit products, Healthy foods.
RESUMEN: Se preparó un laminado de guanábana para evaluar sus propiedades fisicoquímicas y sensoriales. La elaboración del laminado se realizó partiendo de un diseño experimental de mezcla. La combinación de pulpa de guanábana (79-100%), azúcar (0-20%) y ácido cítrico (0-1%) produjo cinco tratamientos de los que fueron seleccionados dos, mediante una prueba de aceptabilidad (sabor y color) con un panel no entrenado. Se escogieron el TII (80:20:0), que resultó ser la formula óptima, y el TV (89,5:10:0,5), el punto medio. Estos dos tratamientos se evaluaron durante 45 días, registrando cada 15 días la variación de sólidos solubles totales, pH, acidez titulable, ácido ascórbico, polifenoles totales, y color (croma, tono, índice de amarronamiento y diferencia total de color). Se determinó que a partir de la pulpa de guanábana se puede preparar un laminado de elevada aceptabilidad (sabor; color): TIV (8,68; 7,90) y TII (8,51; 7,72) en una escala de 12 puntos. Se observaron cambios significativos en SST, pH, acidez titulable, polifenoles totales y color (croma, índice de pardeamiento y diferencia total de color) durante los 45 días de almacenamiento, a temperatura ambiental. El contenido de ácido ascórbico y de polifenoles totales hacen del laminado de guanábana un producto con características potencialmente saludables.
Palabras clave: Aceptabilidad, Annona muricata L., Laminados de frutas, Productos frutales, Alimento saludable.
One of the aspects that human beings have neglected in recent times is their diet. When opting for easy access versions such as the “fast food” offers, they fail to consume the daily intake of nutrients, thus affecting the proper functioning of their bodies in the mid- and long-terms. The various consequences of that kind of diet are the increasing incidence of chronic diseases such as diabetes, metabolic syndrome, cardiovascular diseases and cancer, or those due to malnutrition such as obesity (Sastre, 2010). A pleasant and accessible way that could contribute to the daily intake of nutrients, while preventing the incidence of diseases, is the consumption of fruits and their products (Martínez-Navarrete et al., 2008; Suna et al., 2014).
Fruits are either ingested fresh or through versatile preparations, rich in nutrients, minerals, fiber, carbohydrates, water, vitamins, and antioxidants (Barret, 2007; Patel et al., 2016). Tropical fruits, in general, have high acceptability due to their exotic aromas and flavors. Among these, the soursop is a fruit rich in minerals (Fernández et al., 2007), vitamins (Ojeda et al., 2007), and there is evidence that because of its bioactive content, it can be considered a food with potential healthy characteristics (Ramírez and Pacheco, 2011; Ávila de Hernández et al., 2012; Vit et al., 2014). Unfortunately, it is an underutilized crop with a short postharvest life (Pinto et al., 2005). This fruit continues ripening once it is harvested due to its climacteric character, showing pulp softening and fragility in the bark, resulting in difficult handling. The latter exposes it to deterioration by microorganisms, leading to it being easily discarded (Pareek et al., 2011). Postharvest losses account for 78.8% concerning the quantity of harvested fruit because of the poor management of pests and diseases, as well as their perishable nature (Arauz and Mora, 1983).
In this regard, the preparation of soursop leathers offers a new option. Fruit leathers are the product of the dehydration of fruit pulp, or a mixture of them, to which preservatives and sweeteners can be added. The result is then molded into a sheet and left to dry until it acquires a textile appearance (Khan A et al., 2014). Besides, with the worldwide increase in demand for dehydrated products, coupled with population growth and transport costs, dehydrating fruit pulp generates a stable product with a beneficial quality-volume ratio, long shelf life, low packing cost, and a lower handling weight, while concentrating the original flavor, and maintaining the nutritional quality of many agricultural products (Khan M et al., 2014).
Fruit leathers have been prepared from a wide variety of fruits, including guava (Ashaye et al., 2005; Khan M et al., 2014), mango (Vanegas and Parra, 2012; Hernández-Varela et al. 2013), apricot (Suna et al., 2014), and papaya (Ashaye et al., 2005; Hernández et al., 2012; Sujatha and Sayantan, 2014). Mixtures have also been made, namely, apple-quince (Torres et al., 2015), kiwi-apple (Diamante and Dong, 2015), mango-papaya (Bhalerao et al., 2017), apple-banana (Parimita and Puneet, 2015), among others. Although soursop pulp has been mixed with katuk leaves puree (Utomo et al., 2014), there is no evidence of the preparation and valuation of the quality of leather made with this single fruit. Therefore, the purpose of this research is to prepare and evaluate the physicochemical and sensory properties of a soursop leather during 45 days of storage at room temperature.
MATERIALS AND METHODS
The research was conducted in the Laboratory of Horticultural Products, Deanship of Agronomy, Universidad Centroccidental Lisandro Alvarado, Agua Viva-Venezuela.
Selection and preparation of fruit samples
Soursops were purchased, at physiological maturity, from a local supermarket in Barquisimeto, Lara State. They were chosen randomly according to their physical aspect, and the selection parameters were (i) do not present physical damages (bruises, cuts), neither by pests nor pathogens; (ii) preserve the peduncle; (iii) be firm to the touch. Once in the laboratory, whole fruits were first washed with running water at room temperature
(28 °C) for removing dust and foreign materials; a second wash was carried out with chlorinated water (5 g per 100 mL) for sanitation. Finally, the soursops were dried with absorbent paper and left, at laboratory environmental conditions, until they achieved the organoleptic maturity to manual peeling, de-seeding, pulping, and freezing (-20 °C).
Preparation of soursop leather
The soursop pulp was left overnight in a refrigerator for defrosting; then, with a laboratory blender (General Electric), the pulp was mixed with a little potable water to improve the mix. Next, this mixture was pasteurized in a Memmert thermal bath (80 °C) and left at room temperature for cooling. The fruit leather was prepared according to the formulas shown in Table 1, spread in Teflon trays with a nonstick surface (38 cm×23 cm×1 cm), and dried in a Memmert stove (60±2 °C) during 6-8 h, until translucent and slightly tacky to the touch, with a final moisture content between 1-7%. The soursop leather formulas were chosen by an experimental design of mixtures (Salamanca Grosso et al., 2015), and the components of the mixtures, ranging from 0 to 100% Wet Base (WB). (min-max). Soursop was 79-100%, sugar was 0-20%, and citric acid was 0-1%. After drying, the trays were left at room temperature to cool down; the fruit leathers were removed from the trays, cut with a kitchen scissor in rectangles (13 cm×20 cm), and packed in cellophane thermo-sealed bags until analyses.

Sensory evaluation
An effective acceptability test was applied to choose the two best treatments. This selection was performed based on taste and color acceptability of the leather, through an untrained panel of 60 potential consumers (57% female) aged from 17 to 55 years. The samples consisted of squares pieces of the product (2×2 cm), which were served in disposable trays, and all leathers were tested at the same time. The sensory ballot had a continuous linear non-structured hedonic scale. The line between “dislike extremely” and “like extremely” had a total length of 12 cm, with a midpoint to indicate indifference. Also, the ballot included a question related to the intention of purchase the product. The tastings were made from 8:00 to 11:00 am to avoid any physiological state (hunger, fatigue) that could disturb the response of the panelist. The room was a well-lit and ventilated place, without any source of noise or odors that could distract the attention of the judges.
Assessment of physicochemical characteristics
Once selected the two best treatments, the storage of the soursop leather was carried out at room temperature of 23-30 °C (min-max), with a relative humidity of 31-66% (min-max). The evaluation was performed for 45 days, recording the variation of total soluble solids (TSS), pH, titratable acidity, ascorbic acid, total polyphenols, and color (chroma value, hue angle, browning index and total color difference) with time, starting from a zero time established as the initial reference parameter, and every 15 days.
The pH was determined with a Fisher Scientific Accumet Research AR10 potentiometer (COVENIN, 1979). TSS, by refractometry with an Abbe Refractometer Model 1T (ATAGO, Co., LTD), the results were expressed in Brix degrees (COVENIN, 1983). The titratable acidity was determined by potentiometric titration (COVENIN, 1977), and was expressed in function of malic acid concentration (CONTEC, 2003). Vitamin C, with the dichlorophenol-indophenol method (ICOVENIN, 1982). The total phenolic content was performed by a Colorimetric Method using the Folin-Ciocalteu reagent (Singleton and Rossi, 1965 cited by Kalt et al., 1999). The total phenolic content was determined by a gallic acid (Scharlau) calibration curve 0-200 mg L-1, at 765 nm (y=0.01018x+0.10579; R2=0.98), and expressed in mg gallic acid per 100 mg fruit leather (mgGAE 100 mg-1).
The color was quantified by a HunterLab ColorFlex color measurement instrument (HunterLab, Reston, VA). The Chroma value (Equation 1), Hue angle (Equation 2), the total color difference (ΔE) (Equation 3) and browning index (BI) (Equation 4), were calculated from the Hunter L* (whiteness or brightness/darkness), a* (redness/greenness), and b* (yellowness/blueness) -values. The ΔE is a single value which considers the differences between the L*, a*, and b* of the sample and standard (subscript “o” refers to the color reading of soursop leather at zero time) (HunterLab, 2008); and BI, describes the color change during storage or processing (Maskan, 2001).
[1]
[2]
[3]
[4]Statistical analysis
The evaluation of the acceptability of the treatments, and the effect of each component in the fruit leather formula, was assessed on the final properties (taste, color) and intention of purchase of the product; then, this was considered on the experimental design of mixture with the software JMP® 9.0 (SAS® Institute Inc., USA). Mean values, standard deviation, and significance test of all the parameters were computed using Origin Pro 8.0 (OriginLab Corp., USA).
RESULTS AND DISCUSSION
Sensory evaluation
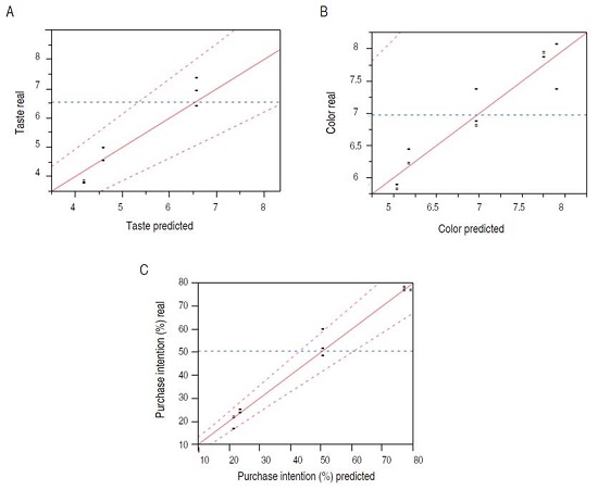
Table 2 shows the average response values of the experimental design of mixtures, used to determine the effect of the concentration of soursop pulp, sugar, and citric acid on the acceptability (taste, color), and intention of purchase of the soursop leathers. The acceptability of the evaluated attributes, taste and color, were found in a range from 3.753 to 8.709 and 5.815 to 8.066, respectively. These values are higher than those reported for apple:banana pulp fruit bar supplemented with omega-3 fatty acid (Parimita and Puneet, 2015), peach pulp:soybean slurry leathers (Anju et al., 2014) or soursop pulp:katuk leaves puree leathers covered with chocolate (Utomo et al., 2014). It could be considered that preparing a leather with fewer ingredients, promotes the acceptability of the product because it has a more fruity taste. The intention of purchase was between 16.67 and 78.33%.

The sugar and soursop pulp contents had a significant effect (P<0.05) on the taste, color acceptability, and the intention of purchase of the soursop leathers (Table 3). A higher percentage of sugar led to higher acceptability of taste, color, and intention of purchase. Whereas the pulp content had an opposite effect, a higher pulp content, resulted in lower acceptability of taste, color, and intention of purchase. Similar results were presented by Utomo et al. (2014), who prepared a fruit leather to evaluate the acceptability of different soursop pulp:katuk leaves puree, covered by chocolate. They found that the acidity of the leather was proportional to the proportion of soursop pulp in it, resulting in a decrease of the acceptability by the panelists. This rejection is due to a bitter taste in the soursop, caused by its organic acids (malic acid, citric acid, and isocitric acid) present in this fruit (Ashari 2006 cited by Utomo et al., 2014). Citric acid, on the other hand, had no significant effect on the response variables studied (P>0.05), as observed in the prediction profile graph (Figure 1).


The balance between sweetness and tartness in fruit products is important to promote a pleasant taste, and it has a direct impact on acceptability. In this sense, as the soursop pulp has high acidity, in relation to other fruit pulps, it requires more sugar to balance the taste. Hence, the sugar content has significantly increased the acceptability of the taste of the soursop leathers.
However, if it is sought to increase the acceptability of the product, adding more sugar to the formula would undermine the healthy nature of fruit leathers. Otherwise, it is possible that the concentration of citric acid did not significantly affect the response variables because of the levels tested in this study. The optimal proportions of the ingredients that simultaneously maximize the acceptability of taste, color, and intention of purchase, were obtained by maximizing the desirability function (Figure 1). A maximum value of 0.926 was found for this function when the soursop leather is prepared with 80% pulp and 20% sugar, resulting in the optimum mixture.
All the linear models for each response variable studied (Figure 2), were significant (P≤0.001), with coefficients of determination (R2) greater than 90%, showing a good fit. On the other hand, the estimated coefficients for these models were also significant (P≤0.001), except those associated with the concentration of citric acid, which was expected because this factor was not significant for acceptability (taste, color), or intention of purchase. Consequently, the terms associated with it were excluded from the adjusted models (Table 4).


The chosen soursop leathers, to evaluate their characteristics over time (pulp:sugar:citric acid)% WB, were: TII (80:20:0) the optimum mixture, and TV (89.5:10:0.5) the mid-point; also considered a good selection, from the nutritional point of view, because it has a lower sugar content, the lowest concentration of citric acid, and also has occupied the third place in the acceptability ranking (IV> II> V> I > III). Treatment TIV was ruled out of this part of the study because the addition of citric acid had no significant effects.
Assessment of physicochemical characteristics
Total soluble solids. At zero-day, both leathers TII and TV had 70 and 64 °Brix, respectively (Table 5), surpassing the minimum of 55 °Brix required for optimum pectic gelification (Damodaran et al., 2010). TSS decreased over time for both treatments, a behavior that suggests a gain of water due to a humid environment (31-66% relative humidity). TII (20% sugar) showed significantly (P≤0.05) higher soluble solids than TV (10% sugar), from day zero to the end of the evaluation (day 45). It is possible that the high sugar content of TII had influences over the total measure of TSS. Utomo et al. (2014) prepared fruit leathers enriched with katuk leaves puree, with a similar soursop pulp content (80-90%) and at constant sugar content (20%), having 52.29 and 56.36 °Brix, respectively. This difference can be attributed to the global mixture composition. In this regard, besides the main ingredients, the leathers were also prepared by the addition of water and Arabic gum. The latter may have caused a dilution effect of the TSS of the mixture.

pH and titratable acidity. At the beginning of the evaluations, the pH was 3.36 and 2.98 for TII and TV, respectively, favoring pectic gelification during leather formation (Damodaran et al., 2010). Meanwhile, the titratable acidity was 15 and 36 g per 100 g fruit leather, respectively; this may occur because of the latest treatment has citric acid. The pH was significantly (P≤0.05) lower in TV from day 0 to day 45; accordingly, at minor pH higher acidity, that is why the titratable acidity was significantly higher (P≤0.05) in TV from day 0 to day 45. In soursop-katuk leaves puree, leathers the titratable acidity was between 31-44 g per 100 g fruit leather, corresponding to the katuk leaves puree content (Utomo et al., 2014).
Ascorbic acid. In this study, the ascorbic acid did not show significant differences between treatments. It seems that the presence of citric acid in the mixture did not promote an additive effect in the ascorbic acid quantification. In soursop-katuk leaves puree leathers, the ascorbic acid was between 78-138 mg per 100 g fruit leather; values greater than those in this study, and increasing with the katuk leaves content, a rich source of ascorbic acid (Utomo et al., 2014). It can be seen in Table 5 that the ascorbic acid content decreased over time in both treatments, diminishing 18.2 (TII) and 34.6%, (TV). Although TV was prepared through adding citric acid, the preservative effect of this acid did not prevent the loss of ascorbic acid in the soursop leather (Muñoz-Villa et al., 2014). Another factor that could promote the loss of Vitamin C is believed to be the type of packaging (transparent cellophane bags), that does not prevent oxidation losses (Anju et al., 2014). Similar results were found in guava bar (Khan M et al., 2014) and in peach-soy fruit leather (Anju et al., 2014) after 90 days and two months of storage, respectively.
Total polyphenols. It is reported that Annona fruits, as raw material, are a source of phenolic compounds. For example, Annona muricata L. has 624.2-941.4 mgGAE mg-1 pulp (Vit et al., 2014) and Annona squamosa 583.45 µg catequina mL-1 (Melo et al., 2008) what makes this fruit an attractive alternative to prepare this kind of products. At day 0, the total polyphenols were 355 (TII) and 366 (TV) mgGAE mg-1 soursop leather. It is observed that the lower content in the leathers, compared to the raw pulp (Vit et al., 2014), it is because of the fruit processing and heat treatment during the leather preparation (Hernández et al., 2012). However, it is considered that this total polyphenol content, together with the natural ascorbic acid of the soursop pulp, gives this product healthy characteristics. In soursop leathers, the total polyphenol content decreased over time in both treatments. TII showed significantly (P≤0.05) lower total polyphenol content than TV from day 0 to day 45. It is presumed that a higher pulp content gives a higher concentration of total polyphenols in the leather; observable fact when comparing both treatments. On the other hand, the decrease in total polyphenols in the leather is attributable to the type of packaging (transparent cellophane bags) and the storage conditions of this study.
When the physicochemical properties of both treatments were compared (TII and TV) between days 0 and 45, it was observed that TII is more stable within the 45 days of the evaluations of the soursop leathers.
Color analysis. Chroma value, hue angle, browning index (BI) and total color difference (ΔE) are very important color parameters during the fruit leather storage. These were estimated from the experimental data by using Equation (1) to Equation (4), and the results are shown in Table 6.

Chroma values and hue angle indicate that the product is opaque and exhibits a tendency toward yellow. Utomo et al. (2014) expressed that the soursop pulp gives the product a yellowish-white color, so that if the amount of the soursop is increased, then the color intensifies. When TII and TV were compared, TII is opaquer. It is suggested that the differences between both treatments since TII contains more sugar. However, since TV also contains citric acid, that probably preserves some vividness in the product. In general, chroma tended to increase with time, whereas the hue decreased. This last parameter remained below 90°, in the range of yellow color, with a tendency towards orange over time. Table 6 also shows that the treatment and time do not have a significant effect on the hue angle of the soursop leather storage at room temperature, during the time considered in this study.
Meanwhile, BI represents the purity of brown color; it is considered as an important parameter associated with browning (López et al., 1998; Maskan, 2001). The total color difference (ΔE), which is a combination of L*, a*, and b* -values, is a colorimetric parameter extensively used to characterize the variation of color depending on processing or storage conditions (Maskan, 2001; Mohammadi et al., 2008). In the soursop leathers, BI increased, by mean, 5.9 and 9.7 units each 15 days in the soursop leathers TII and TV, respectively, or a variation of 0.3 and 0.6 units per day. Torres et al. (2015), in apple and quince leathers enriched with maqui, found that BI increased 0.1 and 0.3 units per day in apple leathers with and without maqui. The latter values were lower than our results, probably due to the antioxidant effect of the maqui. It is observed that over time the soursop leather darkened corroborating with hue variation. It is suggested that this browning may be due to oxidation reactions of the sugar-containing formulations (non-enzymatic) since heat treatment during leather preparation would inactivate the polyphenol oxidase enzyme (Damodaran et al., 2010), and because the packaging of the product does not preserve it from the incidence of light. ΔE determines the difference between the samples analyzed without giving information on the direction of the color difference (Méndez-Robles et al., 2018). In this study, ΔE values were calculated in relation to the day zero of storage (control soursop leather); a larger ΔE indicates a greater color change from this reference sample (darkening), according to the tendency of hue angle and BI (Table 6).
CONCLUSIONS
From experimental observations and analysis, it can be concluded that highly acceptable fruit leather can be prepared from soursop pulp. Significant changes in TSS, pH, total acidity, total polyphenol and color (chroma value, browning index and total color difference) were observed in the sour soup leather for 45 days of storage, at room temperature; and in this conditions, the TII (Soursop 80%: Sugar 20%: Citric acid 0%) resulted more stable between the selected treatments. Finally, in addition to the sensory quality, the content of ascorbic acid and total polyphenols make the soursop leather a product of high nutritional quality, and with potentially healthy characteristics.
ACKNOWLEDGEMENTS
The authors would like to thanks to funding provided by CDCHT-UCLA, project code 1009-AG-2016 and to Martha Blanco for her collaboration in the planning and application of the sensory tests.
REFERENCES
Anju B, Kumari KR, Anand V and Anjum MA. 2014. Preparation, quality evaluation and storage stability of peach-soy fruit leather. SAARC Journal of Agriculture. 12(1): 73-88. doi: 10.3329/sja.v12i1.21114
Arauz LF y Mora D. 1983. Evaluación preliminar de los problemas postcosecha en seis frutas tropicales de Costa Rica. Agronomía Costarricense 7(1/2): 43-53.
Ashaye OA, Babalola SO, Babalola AO, Aina JO and Fasoyiro SB. 2005. Chemical and organoleptic characterization of pawpaw and guava leathers. World Journal of Agriculture Science 1(1): 50-51.
Ávila de Hernández R, Pérez de Camacaro M, Giménez A y Hernández E. 2012. La guanábana: una materia prima saludable para la industria de alimentos y bebidas. REDIP UNEXPO VRB 2(2): 134-142.
Barret DM. 2007. Maximizing the nutritional value of fruits and vegetables. Food Technology 61(4): 40-44.
Bhalerao PP, Waghmare MD, Parate VR and Talib MI. 2017. Development and storage study of mango-papaya fruit bar. International Journal of Food and Nutritional Science 6(4): 21-27.
COVENIN - Comisión Venezolana de Normas Industriales. 1977. Frutas y productos derivados. Determinación de la acidez (CONVENIN 1151-77).
COVENIN - Comisión Venezolana de Normas Industriales. 1979. Alimentos. Determinación del pH (acidez iónica) (CONVENIN 1315-79).
COVENIN - Comisión Venezolana de Normas Industriales. 1982. Alimentos . Determinación de ácido ascórbico (COVENIN 1295-82).
COVENIN - Comisión Venezolana de Normas Industriales. 1983. Frutas y productos derivados . Determinación de sólidos solubles por refractometría (COVENIN 924-83).
Damodaran S, Parking KL y Fennema OW. 2010. Química de los alimentos. Tercera edición. Editorial Acribia SA, Zaragoza. 1166 p.
Diamante LM and Dong M. 2015. Response surface methodology optimisation of gold kiwifruit-apple leather. Journal of Advances in Food Science & Technology 2(2): 34-46.
Fernández V, Sulbarán B, Ojeda de Rodríguez G, Nava R, Delgado J, Berradre M y Peña J. 2007. Contenido mineral de la guanábana (Annona muricata) cultivada en el occidente de Venezuela. Boletin del Centro de Investigaciones Biológicas-LUZ 41: 86-95.
Hernández J, Fernández V, Sulbarán B y Berradre M. 2012. Actividad antioxidante de láminaflflexible de lechosa (Carica papaya). Vitae 19 Supl. 1: S343-S345.
Hernández-Varela J, Moncayo A, Fernández V y Sulbarán B. 2013. Actividad antioxidante de lámina flexible de mango (Mangifera indica). Revista de la Sociedad Química del Perú 79(2): 175-177.
HunterLab. 2008. CIE L*a*b* color scale. Applications Note Insight on Color 8(7): 1-4.
ICONTEC - Instituto Colombiano de Normas Técnicas y Certificación. 2003. Frutas frescas guanábana. Especificaciones (NTC 5208).
Kalt W, Forney CF, Martin A and Prior RL. 1999. Antioxidant capacity, vitamin C, phenolics and anthocyanins after fresh storage of small fruits. Journal of Agriculture Food Chemistry 47(11): 4638-4644. doi: 10.1021/jf990266t
Khan M, Ayub M, Durrani Y, Wahab S, Ali M, Ali SA, Shakoor A and Rehman Z. 2014. Effect of sucrose and stabilizer on the overall quality of guava bar. World Journal of Pharmacy and Pharmaceutical Science 3(5): 130-146.
Khan A, Zeb A, Khan M and Shah W. 2014. Preparation and evaluation of olive apple blended leather. International Journal Food Science Nutrition Dietetics 3(7): 134-137.
López-Malo A, Palou E, Barbosa-Canovas GV, Welti-Chanes J and Swanson BG. 1998. Polyphenol oxidase activity and color changes during storage of high hydrostatic pressure treated avocado puree. Food Research International 31(8): 549-556. doi: 10.1016/S0963-9969(99)00028-9
Martínez-Navarrete N, Vidal MMC y Lajueta JJM. 2008. Los compuestos bioactivos de las frutas y sus efectos en la salud. Actividad Dietética 12(2): 64-68. doi: 10.1016/S1138-0322(08)75623-2
Maskan M. 2001. Kinetics of colour change of kiwi fruits during hot air and microwave drying. Journal of Food Engineering 48(2): 169-175. doi: 10.1016/S0260-8774(00)00154-0
Melo EA, Maciel MIS, Lima VLAG e do Nascimento RJ. 2008. Capacidade antioxidante de frutas. Revista Brasileira de Ciencias Farmacéuticas 44(2): 194-201. doi: 10.1590/S1516-93322008000200005
Méndez-Robles LI, Carrera-Arellano EU, García-González JM y García-Saldivar VM. 2018. Análisis de propiedades físicas en el deshidratado de guayaba por medio de energía solar utilizando convección natural y forzada. Investigación y Desarrollo en Ciencia y Tecnología deAlimentos . 3: 264-269.
Mohammadi A, Rafiee S, Emam-Djomeh Z and Keyhani A. 2008. Kinetic models for colour changes in kiwifruit slices during hot air drying. World Journal of Agricultural Sciences 4(3): 376-383.
Muñoz-Villa A, Sáenz-Galindo A, López-López L, Cantú-Sifuentes L y Barajas-Bermúdez L. 2014. Ácido cítrico: Compuesto interesante. Revista Científica de la Universidad Autónoma de Coahuila 6(12): 18-23.
Ojeda G, Coronado J, Nava R, Sulbarán B, Araujo D y Cabrera L. 2007. Caracterización físicoquímica de la pulpa de guanábana (Annona muricata) cultivada en el occidente de Venezuela. Boletin del Centro de Investigaciones Biológicas -LUZ 41(2): 151-160.
Pareek S, Yahia EM, Pareek OP and Kaushik RA. 2011. Postharvest physiology and technology of Annona fruits. Food Research International 44(7): 1741-1751. doi: 10.1016/j.foodres.2011.02.016
Parimita E and Puneet E. 2015. Development of fruit bar by using apple and banana pulp supplemented with omega-3 fatty acid. International Journal of Engineering Studies and Technical Approach 1(2): 27-35.
Patel P, Ellis K, Sunkara R, Shackelford L, Ogutu S, Walker LT, Herring J and Verghese M. 2016. Development of a functional food product using guavas. Food and Nutrition Sciences 7(10): 927-937. doi: 10.4236/fns.2016.710092
Pinto A, Cordeiro M, De Andrade S, Figueras H, Alves R and Kimpara D. 2005. Annonas species. International Centre for Underutilised Crops. University of Southampton, Southampton. 284 p.
Ramírez A y Pacheco E. 2011. Composición química y compuestos bioactivos presentes en pulpas de piña, guayaba y guanábana. Interciencia 36(1): 71-75.
Salamanca Grosso G, Reyes Ménez LM, Osorio Tangarife MP y Rodríguez Arias N. 2015. Diseño experimental de mezclas como herramienta para la optimización de cremolácteos de mango. Revista Colombiana de Investigaciones Agroindustriales 2: 16-24. doi: 10.23850/24220582.166
Sastre A. 2010. Nutrición: historia y cultura. pp 17-28. En: Juárez M y Perote A. (eds.). Alimentos saludables y de diseño específico. Instituto Tomás Pascual Lanz, Madrid. 208 p.
Sujatha Y and Sayantan B. 2014. Optimization of ingredients in papaya fruit bar. Biolife 2(1): 377-380.
Suna S, Tamer C, Incedayi B, Sinir G and Copur O. 2014. Impact of drying methods on physicochemical and sensory properties of apricot pestil. Indian Journal of Tradicional Knowledge 13(1): 47-55.
Torres C, Romero L and Díaz R. 2005. Quality and sensory attributes of apple and quince leathers made without preservatives and with enhanced antioxidant activity. LWT - Food Science and Technology 62(2): 996-1003. doi: 10.1016/j.lwt.2015.01.056
Utomo S, Rusmarilin H and Nurminah M. 2014. Effect of ratio of soursop and katuk leaves with arabic gum concentration on the quality of fruit leather covered by chocolate. Ilmu dan Teknologi Pangan. Jurnal Rekayasa Pangan dan Pertanian 2(4): 41-51.
Vanegas P y Parra A. 2012. Producción de láminas de mango (Mangífera índica L.) usando deshidratación dinámica. Vitae 19 Supl. 1: S75-S77.
Vit P, Santiago B y Pérez E. 2014. Composición química y actividad antioxidante de pulpa, hoja y semilla de guanábana Annona muricata L. Interciencia 39(5): 350-353.