Artículos
Gas exchange efficiency in Cocoa - Spanish elm agroforestry system in the northwest Antioquia, Colombia
Eficiencia del intercambio gaseoso en un sistema agroforestal de Cacao - Olmo español en el noroeste de Antioquia, Colombia
Gas exchange efficiency in Cocoa - Spanish elm agroforestry system in the northwest Antioquia, Colombia
Revista Facultad Nacional de Agronomía Medellín, vol. 73, no. 3, pp. 9283-9291, 2020
Facultad de Ciencias Agrarias - Universidad Nacional de Colombia
Received: 29 March 2020
Accepted: 16 July 2020
ABSTRACT: The cultivation of cocoa (Theobroma cacao L.) under agroforestry systems, generates beneficial environmental conditions for cocoa crop physiology. An experiment was conducted to evaluate the effect of shade trees (Spanish elm trees - Cordia alliodora (Ruiz & Pavon) Oken) planted along with cocoa (clone CCN51) under an agroforestry system on cocoa's gas exchange parameters regarding the reduction of the light intensity over the cocoa-leaf canopy. The experiment was developed in the Centro de Investigación el Nus - Agrosavia, located in the municipality of San Roque, Antioquia. The experimental design used was a randomized complete block design for the cocoa planting distances from the first row of Spanish elm trees interfacing with the cocoa plantation (4 m, 7 m, 10 m, 13 m). The statistical analysis was performed by estimating the area under the curve (AUC) of each variable, using the trapezoid equation of the statistical environment SAS® 9.4, an analysis of variances was performed to determine if there were statistical differences between treatments, and Tukey's test at 5% probability was used to estimated statistical differences between means. There were significant differences in the treatments regarding the net photosynthetic rate (A), stomatal conductance (gs), and transpiration rate (E). The highest values of gas exchange parameters were found in the plants located 13 m from elm trees, while the lowest values were presented at 4 m. Plants at 7 m and 10 m always showed intermediate values for all gas exchange parameters. In the same sense, plants at 13 m had a higher radiation use efficiency (RUE) compared to plants at 4 m. The arboreal component modified the environmental conditions on cocoa trees regarding its distribution, generating a differential response to the physiological behavior of cocoa plants.
Keywords: Cacao, Cordia alliodora, Net photosynthesis, Stomatal conductance, Theobroma cacao, Transpiration.
RESUMEN: El cultivo de cacao (Theobroma cacao L.) bajo sistemas agroforestales, genera condiciones ambientales beneficiosas para la fisiología de este cultivo. Se llevó a cabo un experimento para evaluar el efecto de los árboles de sombrío (árboles de olmo españoles - Cordiaalliodora) plantados en asocio con cacao (clon CCN51) bajo un sistema agroforestal, para analizar los efectos de la intensidad de la luz que llega al dosel de la hoja de cacao sobre los parámetros de intercambio gaseoso. El experimento se desarrolló en el Centro de Investigación el Nus - Agrosavia, ubicado en el municipio de San Roque (Antioquia). El diseño experimental utilizado fue de bloques completos al azar para las distancias de plantación de cacao de la primera fila de olmos españoles en la intersección con la plantación de cacao (4 m, 7 m, 10 m, 13 m). El análisis estadístico se realizó estimando el área bajo curva de cada variable (AUC), utilizando la ecuación trapezoidal por medio del entorno estadístico SAS® 9,4, para determinar diferencias significativas entre tratamientos se realizó un análisis de varianza, y se usó la prueba de Tukey al 5% de probabilidad para estimar diferencias entre medias. Hubo diferencias en los tratamientos con respecto a la tasa neta de fotosintética (A), la conductividad estomática (gs) y la transpiración (E). Los valores más altos de los parámetros de intercambio de gaseoso se encontraron en las plantas ubicadas a 13 m de los Olmos, mientras que los valores más bajos se presentaron en la posición de 4 m. Las plantas en posición 7 m y 10 m siempre presentaron valores intermedios para todos los parámetros de intercambio gaseoso. En el mismo sentido, las plantas en la posición de 13 m presentaron un mayor uso eficiente de la radiación (RUE) en comparación con las plantas en la posición de 4 m. El componente arbóreo modificó las condiciones ambientales sobre los árboles de cacao en relación con su distribución, generando una respuesta diferencial del comportamiento fisiológico de las plantas de cacao.
Palabras clave: Cacao, Cordia alliodora, Fotosíntesis neta, Conductividad estomática, Theobroma cacao, Transpiración.
Cocoa (Theobroma cacao L.) is considered a perennial tropical species of high commercial value (Carr and Lockwood, 2011) because the seeds of the Theobroma genus are destined in the elaboration of chocolates and derived products that have high demand in the global market (Jaimez et al., 2008). The world cocoa production is 5.2 million t (FAOSTAT, 2017), where Ivory Coast is the world's largest producer with total estimated production with 1.98 million t (38%) of total grain yield production, followed by Ghana with 20%, and Cameroon with 6%. Colombia occupies 10th place with 1% of the production (ICCO, 2018).
Cocoa is cultivated in diverse environments, from humid to dry climates (García et al., 2005). It is considered a shade-tolerant species; thus, the crop is traditionally sown in multi-strata agroforestry systems, where cocoa trees are planted with fruit, timber, and non-timber species of high commercial value (Almeida and Valle, 2007; Niether et al., 2018). Wessel (1985) reported that shade conditions benefit the crop physiology of cocoa in these systems by decreasing irradiance, temperature, and airspeed fIow, factors that infIuence the fixation of CO2 and processes associated with the loss of water (Klich, 2000). Thus, the agroforestry system improves environmental conditions for cocoa cultivation, considered beneficial for the cocoa plant survival, because it is a plant profoundly affected by environmental stress conditions (Almeida and Valle, 2007). In contrast, Suárez Salazar et al. (2018) showed that cocoa plants exhibit optimal acclimatization with relatively high solar radiation by improving photosynthetic performance, contradicting the assumption that cocoa plants grow better under shade conditions.
In this sense, irradiance has great relevance because it is the main factor to regulate the assimilation rate of carbon dioxide in plants (Jaimez et al., 2018). Several authors report photosynthesis rates (A) between 3 and 8 μmol CO2 m-2 s-1 and stomatal conductance (gs) between 50 and 170 mmol H2O m-2 s-1 (Baligar et al., 2008; Daymond et al., 2011; Araque et al., 2012; Acheampong et al., 2013). However, these values are considered relatively low compared with other species of the Theobroma genus, including T. grandifIorum and T. subincanum (Almeida et al., 2014). There is evidence that the photosynthetic rate of cocoa may increase if the photosynthetically active radiation (PAR) increases as well (Do Costa et al., 2001; Suárez Salazar et al., 2018). This increase is infIuenced not only by the type of tree shade species associated but by the time of day and year.
The shade tree is a significant factor to consider in the design and planting of agroforestry systems with cocoa (Galyuon et al., 1996). Cocoa is a crop with shade plants characteristics and that it requires this condition for better production because the cocoa plant has a low light saturation, with 95% of the maximum photosynthesis between 200 and 600 μmol CO2 m-2 s-1 (Almeida et al., 2014). According to Tezara et al. (2016), cocoa's A is saturated with 400 µmol m-2 s-1 of photosynthetic photonic fIux density (PPFD), considering the relationship between them (A/PPFD). Therefore, studies conducted by Acheampong et al. (2013) reported an increase in stomatal conductance in cocoa plants when they were subjected to a shade level of 75% (0.15 mol CO2 m-2 s-1). In comparison with plants exposed to higher irradiance (55 and 32% of shade in the dry season), the conductance reached values of 0.1 mol CO2 m-2 s-1 and 0.09 mol CO2 m-2 s-1, respectively, which was due to lower temperature inside the system (3 °C). In terms of photosynthesis, the highest values were observed in plants with 55% of shade environment (0.82 μmol CO2 m-2 s-1), concerning those planted with 32% in shade condition (0.52 μmol CO2 m-2 s-1), where the highest photosynthetic rates occurred in the morning. It was hypothesized that the different mean levels of incident PAR on cocoa trees, according to their position and orientation (east-west) within an agroforestry system, affects the physiological performance of the gas exchange in this species. Therefore, this work aimed to evaluate the effect of shade trees planted along with Theobroma cacao L. on the gas exchange parameters regarding the reduction of the light intensity over the cocoa-leaf canopy.
MATERIAL AND METHODS
In September 2018, a field experiment was conducted at Centro de Investigación El Nus, Corporación Colombiana de Investigación Agropecuaria - AGROSAVIA (06° 26'17,2" N, 74° 49'32,1" W, 850 m.a.s.l.) in the municipality of San Roque, Antioquia, Colombia. Using a portable weather station system "WachtdogTM 2000", the annual average temperature (24 °C), average relative humidity (87%), and annual total rainfall (2500 mm), with two rainy seasons (from March to June and, September to November), and a dry season of low rainfall (December-February) were measured.
Randomized complete block design and six repetitions with four treatments were performed. Irradiance levels are given by the distance from the edge of the trees, in a cocoa agroforestry system, where the cocoa and shade trees, were five-years-old. Cocoa trees clone CCN51 (Colección Castro Naranjal) were planted with a distance of 3 m×3 m. The woody species associated with cocoa trees were Spanish elm (Cordia alliodora (Ruiz & Pavon) Oken), which belongs to the Boraginaceae family, established in double rows 16 m and, the trees, being spaced at shorter distances (3 m×3 m). The four treatments included distances measured from the first row of Spanish elm trees interfacing with the cocoa plantation (zero distance). The treatments evaluated were the distances of 4 m (A), 7 m (B), 10 m (C), and 13 m (D) from the west to the east edge of the Spanish elm trees (Figure 1). The position of cocoa trees within agroforestry arrangements was considered relevant since the availability of radiation is infIuenced by the movement of the sun from east to west; that is, position 4 m receives more radiation in the morning, while position 13 m, on the contrary, receives more radiation in the afternoon.

Light condition above cocoa plant canopies was continuously measured by SS1 SunScan Canopy Analysis System (Delta-T Devices Ltd), allowing estimating light transmission and availability to cocoa plants. Incident radiation (Ir) flux above the canopy and radiation flux transmitted (Tr) below the shade tree canopy was recorded every half hour, from 7:00 to 17:00 hours. The Spanish elm tree regimes shade (S) on cocoa plants were calculated by the equation
.
A portable photosynthesis-measuring system with infrared gas analyzer incorporated (LCi - ADC Bioscience, UK) was used to measure leaf gas exchange. Measurements were made on the third fully expanded leaf of the last mature shoot from the apex for five consecutive days in six cocoa plants (CCN51) for each of the positions within the agroforestry system. Net photosynthetic rate (A, µmol CO2 m-2 s-1), transpiration rate (E, mmol H2O m-2 s-1), stomatal conductance to water vapor (gs, mol H2O m-2 s-1), and photosynthetically active radiation (PAR, µmol photons m-2 s-1) were estimated from 8:00 to 17:00 hours. The instantaneous water use efficiency (WUE, mmol CO2 mmol-1 H2O) and radiation use efficiency (RUE, mmol CO2 µmol photons) was calculated by A/E and A/PAR, respectively.
Vapor pressure deficit (VPD, measured in kPa) was calculated from daily temperature and relative humidity recordings according to equation 1 proposed for Rosenberg et al. (1983). The temperature (T) and humidity (RH) values were taken with the thermo-hygrometer (Thermo Hygro and Clock) at every half an hour interval during the day (7:00 to 17:00).

Statistical analysis
The area under the curve (AUC) was estimated to determine the accumulated value throughout the day of each physiological variable A, gs, E and PAR. The AUC was estimated by fractioning the total in trapezoidal areas. These individual areas were calculated using the trapezoid equation of a macro of the statistical environment SAS® 9.4 developed by Córdoba-Gaona et al. (2018), which was adapted from those of the routines detailed by Huang and Xiao (2010) and Shiang (2004). AUC data were subjected to an analysis of variance. The differences among the means were determined with Tukey's test at 5% probability. The "agricolae" package (De Mendiburu, 2013) included in the R project statistical environment software was used (R Core Team, 2017).
RESULTS AND DISCUSSION
Diurnal gas exchange
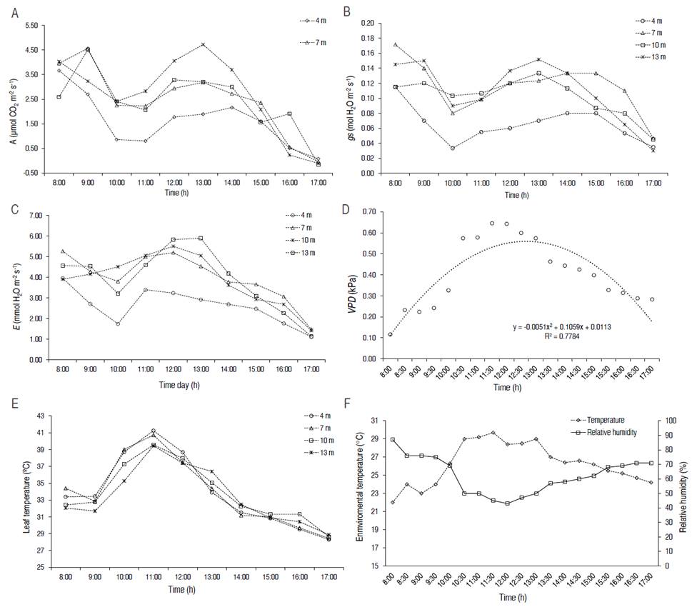
Leaf temperature, environmental temperature, and the diurnal variation of gas exchange parameters in cocoa plant growth in several positions are presented in Figure 2. During the time of higher photosynthetic activity, the maximum net photosynthetic rate (A, 4.73 µmol CO2 m-2 s-1) was observed at 13:00 hours in the cocoa tree planted at 13 m from the west edge of Spanish elm. In contrast, the minimum photosynthesis corresponded to the cocoa plant at 4 m from the western edge of Spanish elm (0.86 µmol CO2 m-2 s-1) at 11:00 hours. From 13:00 to 17:00, the photosynthesis rate gradually decreases until minus zero values, indicating a negative A (Figure 2A). The lower photosynthetic activity in cocoa plants at 4 m from the eastern side of Spanish-helm trees, between 8:00 and 11:00 hours, is associated with the radiation incident on this position, reaching PAR values of 1,500 μmol photons m-2 s-1, radiation above the saturation point for cocoa; contrary to the incident radiation at 13 m, which receives maximum values of 406 μmol photons m-2 s-1 between 8:00 and 10:00 hours (Figure 3A). Balasimha et al. (1991) have been reported that cocoa plants saturate at photonic flux densities between 400 and 600 μmol photons m-2 s-1, which represents between 25 and 30% of the maximum radiation on a clear day, the maximum CO2 assimilation rates do not exceed 6 to 7 μmol photons m-2 s-1. It agrees with Niether et al. (2018), who indicated that the reduction of radiation generated by forest trees improves environmental conditions for cocoa cultivation because cocoa has a low light saturation point, where 95% of maximum photosynthesis occurs with a PAR of 200 μmol m-2 s-1 (Baligar et al., 2008).


Similar to the observation in net photosynthetic rate, there was an influence on stomatal conductance and transpiration rate according to cocoa plants at different distances (Figures 2B and 2C). At 13 m, cocoa plant registered the highest gs and E (0.152 mol H2O m-2 s-1, 5.89 mmol H2O m-2 s-1); in contrast, the lowest gs and E were observed in the cocoa tree at 4 m (0.033 mol H2O m-2 s-1, 1.74 mmol H2O m-2 s-1). In all positions, stomatal conductance and transpiration rate presented a decrease starting from 14:00 to 17:00 hours. The high values of VPD constitute one of the main limiting factors for photosynthesis because of a reduction of A and a photorespiration increase. This behavior could probably be due to the effects of VPD on the closure of the stomata, which leads to a reduction of internal CO2 (Almeida et al., 2014). Regarding the variation of the water deficit pressure (VPD), the higher value was reported between 11:30 and 12:30 hours, values ranging from 0.645 to 0.643 kPa, respectively (Figure 2D).
The VPD is considered one of the main factors in stomatal opening and closing (Dos Santos et al., 2017). An increase in the VPD was observed after 10:00 hours, where a direct relationship for all distances (4 m, 7 m, 10 m, 13 m) was found with A, gs, and E. The maximum VPD (0.645 kPa) was recorded at 11:30 hours. This variation is due to the high temperatures of the environment (29.7 °C) and the low relative humidity (43%). This condition of VPD (Figure 2F), according to Ribeiro et al. (2009), induces the stomatal closure and generates a reduction in transpiration rate. Contrary to the present work, where A, gs, and E are proportional to VPD. As the VPD decreases, these gas exchange variables decrease and vice versa, although according to Köhler et al. (2014), cocoa species is sensitive to high values of pressure deficit. Therefore, a reduction in the assimilation of CO2 can be observed. This variable must increase above 2 kPa due to the VPD (Balasimha et al., 1991), which was never reached in this experiment, observing maximum values of 0.645 kPa. In general, the photosynthetic rates varied throughout the day, being higher during the morning compared to the afternoon in all cocoa plant positions. This behavior was associated with higher VPD values in the afternoon.
According to Acheampong et al. (2013), high VPD is directly related to the reduction of photosynthetic activity.
Between 10:00 and 13:00 hours, the leaf temperature in all the cocoa plants exceeded 35 °C (Figure 2E). A temperature that is considered above the optimal (31-33 °C) according to Balasimha et al. (1991), who also indicated that the temperature affected the photosynthesis, which is characteristic of tropical species grown in warm, humid tropics. On the other hand, the foliar temperature of plants at 4 m is higher by 1-4 °C than the leaf temperature at 13 m. In contrast, after 11:00 hours, the plants at 13 m exceeded on average by 1 °C the cocoa plants at 4 m.
The PAR increased from 9:00 to 11:00 hours but started decreasing from noon to 17:00 hours, where the PAR was between 32 to 44 µmol photons m-2 s-1 (Figure 3A). In the morning, cocoa plants at 13 m receiving the lowest PAR, values ranging from 262 to 319 µmol photons m-2 s-1, and the highest shade level (67.37 and 72.71 %). At 11:30, all the cocoa plants were submitted to the lowest shade levels because the sun was above the zenith of the cocoa canopy, and the shade trees had little effect on the interception of the radiation. From 13:00 hours, depending on the cocoa plant position, these received different levels of shade, where the position 4 m was the first to receive more shade, and successively the plants to 7, 10, and 13 m (Figure 3B).
According to Balasimha et al. (1991), the optimal temperature for tropical species grown in warm, humid tropics is between 31 °C and 33 °C. For cocoa, the optimum temperature range is 20-30 °C. These thermal conditions allow the cocoa crop not only an adequate vegetative development but also a better production, derived from a higher fIow of stomatal conductance and greater assimilation of CO2. Although high environmental temperatures (29.7 °C) were recorded at noon, these did not affect the photosynthetic activity. A and gs presented a direct relationship, i.e., higher stomatal conductance and higher values of carbon fixation were achieved. The values obtained from the gas exchange were higher in this study than those reported by Almeida et al. (2014) in T. cacao plants but lower than the gas exchange parameter raised for other species of the Theobroma genus (A, 3.5-8.8 μmol CO2 m-2 s-1; gs, 0.23-0.108 mol H2O m-2 s-1, and E, 0.39-1.63 mmol H2O m-2 s-1).
Daily integral curve
There were positional variations in the daily integral of A (P<0.05), gs (P<0.05), and E (P<0.05). The highest values of these parameters were found in cocoa plants at 13 m from the left edge of the Spanish elm trees, while the lowest results at the opposite side (4 m). Plants at 13 m presented 90,807 µmol CO2 m-2 d-1, corresponding to 77% more CO2 fixed than plants at 4 m. Similar behavior of the gs and E parameters was observed at 4 m and 13 m plant distance, with more stomatal conductance and transpiration rate in the latter, reaching values of 3,642 mol H2O m-2 d-1 and 131,262 mmol H2O m-2 d-1, respectively. Plants from 7 and 10 m always presented intermediated values in all the gas exchange parameters.
The WUE was not affected by various shade regimes, whereas the radiation use efficiency was affected. Results indicated that 13 m plant had signed (P<0.05) higher RUE compared to 4 m plants distance, 250% higher variation in RUE (Table 1). Thus, the photosynthetic apparatus of crop species refIects the selection pressure for maximal light absorption under different irradiance, while minimizing the respiratory cost associated with high photosynthetic capacity (Chazdon et al., 1996). In this sense, Suárez Salazar et al. (2018) showed that cocoa plants can acclimatize to different levels of radiation, by reducing chlorophyll content and chlorophyll/carotenoid ratio, as well as an increase in chlorophyll a/b ratio, and higher nonphotochemical quenching values, which favors the dissipation of excess energy in the form of heat and a higher electron transport rate. Depending on the response, photosynthetic performance in the cocoa canopy can be a positive, neutral, or negative way.

The highest levels of shade occurred during the afternoon hours. An essential factor to bear in mind when providing shade to the cocoa crop is that it is possible to reach an optimum photochemical activity depending on the shade level (%) to which the cocoa trees are exposed. According to Jaimez et al. (2018), cocoa plants can be cultivated with 50% shade since a higher shade and a lower leaf area index affects the ecophysiological response and the yield of cocoa in different environmental conditions. In this study, the plants located at 13 m, presented higher values of gas exchange, confirming what was reported by Gonçalves et al. (2005), who indicated that cocoa plants under shady conditions achieved between 33% and 50% higher photosynthetic activity than those plants that had more incidence of radiation. However, Chazdon et al. (1996) showed an inverse behavior, where it mentions that plants exposed to higher radiation increase their carbon gain, and in turn, their photoprotection capacity.
CONCLUSIONS
The cocoa plants in the 13 m position presented more favorable environmental conditions with a positive effect over the net photosynthetic rate (A), stomatal conductance (gs), and transpiration rate (E) during the day and greater radiation use efficiency (RUE). Unlike, the cocoa plants located 4 m away from the Spanish elm trees, achieved the lowest values of the photosynthetic activity. The spacing between shade trees should guarantee favorable conditions. This can be achieved by extending the distance between rows of sowing, of forest trees or by implementing simple rows of the forest species.
ACKNOWLEDGMENT
This publication is derived from the results and information obtained in the development of the project "Recomendaciones técnicas de sistemas alternativos de producción intensiva y tradicional de cacao con énfasis en arreglos agroforestales", executed by the Corporación Colombiana de Investigación Agropecuaria - AGROSAVIA, within the framework of the Agenda Dinámica Corporativa, financed with public resources through the Ministerio de Agricultura y Desarrollo Rural (MADR). We thank to Jairo Rojas Molina and Danilo Augusto Monsalve García as national and regional leaders, respectively, of the mentioned project, and to Juan Pablo Gil Restrepo and Juan José Guerra Hincapié for the technical support in the establishment, management and evaluation of the experimental plot. Thanks to the Laboratorio de Ecofisiología de Plantaciones en el Trópico, Departamento de Ciencias Agronómicas, Universidad Nacional de Colombia for its support by Eco physiological instruments.
REFERENCES
Acheampong K, Hadley P, and Daymond AJ. 2013. Photosynthetic activity and early growth of four cocoa genotypes as infIuenced by different shade regimes under West African dry and wet season conditions. Experimental Agriculture 49(1): 31-42. doi: 10.1017/S0014479712001007
Almeida A-AF and Valle RR. 2007. Ecophysiology of the cocoa tree. Brazilian Journal of Plant Physiology 19(4): 425-448. doi: 10.1590/S1677-0420200700040001
Almeida A-AF , Gomes FP, Araujo RP, Santos RC, andValle RR . 2014. Leaf gas exchange in species of the Theobroma genus. Photosynthetica 52(1): 16-21. doi: 10.1007/s11099-013-0048-8
Araque O, Jaimez RE, Tezara W, Coronel I, Urich R and Espinosa W. 2012. Comparative photosynthesis water relations growth and survival rates in juvenile Criollo cocoa cultivars (Theobroma cacao) during dry and wet seasons. Experimental Agriculture 48(4): 513-522. doi: 10.1017/S0014479712000427
Balasimha D, Daniel EV and Bhat PG. 1991. InfIuence of environmental factors on photosynthesis in cocoa trees. Agricultural and Forest Meteorology 55(1-2): 15-21. doi: 10.1016/0168-1923(91)90019-M
Baligar VC, Bunce JA, Machado RCR and Elson MK. 2008. Photosynthetic photon fIux density carbon dioxide concentration and vapor pressure deficit effects on photosynthesis in cocoa seedlings. Photosynthetica 46(2): 216-221.
Carr MKV and Lockwood G. 2011. The water relations and irrigation requirements of cocoa (Theobroma cacao L.): A review. Experimental Agriculture 47(4): 653-676. doi: 10.1017/S0014479711000421.
Chazdon RL, Pearcy RW, Lee DW and Fetcher N. 1996. Photosynthetic responses of tropical forest plants to contrasting light environments. pp. 5-55. In: Mulkey SS, Chazdon RL, Smith AP (eds.). Tropical Forest Plant Ecophysiology. Springer, Boston, MA. 675 p. doi: 10.1007/978-1-4613-1163-8_1
Córdoba-Gaona OJ, Monsalve-García DA, Hernández-Arredondo JD, Guerra-Hincapié JJ, Gil-Restrepo JP, Martínez-Bustamante E and Unigarro-Muñoz CA. 2018. Gas exchange in young Hevea brasiliensis (Willd. Ex A. Juss.) Müll. Arg. (Euphorbiaceae) plants in Antioquia (Colombia). Ciencia y Tecnología Agropecuaria 19(1): 91-102. doi: 10.21930/rcta.vol19_num1_art:847
Daymond AJ, Tricker PJ and Hadley P. 2011. Genotypic variation in photosynthesis in cocoa is correlated with stomatal conductance and leaf nitrogen. Biologia Plantarum 55(1): 99-104. doi: 10.1007/s10535-011-0013
De Mendiburu F. 2013. Agricolae: Statistical procedures for agricultural research. R package version 1.1-4. In: Accessed: March 2019.
Do Costa LC, De Almeida F andValle RR . 2001. Gas exchange, nitrate assimilation and dry-matter accumulation of Theobroma cacao seedlings submitted to different irradiances and nitrogen levels. The Journal of Horticultural Science and Biotechnology 76(2): 224-230. doi: 10.1080/14620316.2001.11511355.
Dos Santos MR, Rodrigues Donato SL, Arantes AM, Coelho EF and de Oliveira PM.D 2017. Gas exchange in ‘BRS Princesa' banana (Musa spp.) under partial rootzone drying irrigation in the north of Minas Gerais, Brazil. Acta Agronómica 66(3): 378-384. doi: 10.15446/acag.v66n3.55056
FAOSTAT. 2017. FAOSTAT Online Database. In: Food and Agriculture Organization of the United Nations, In: Food and Agriculture Organization of the United Nations, http://www.fao.org/faostat/es/#home Accessed: July 2019.
Galyuon IKA, Mcdavid CR, Lopez FB and Spence JA. 1996. The effect of irradiance level on cocoa (Theobroma cacao L.): II. Gas exchange and chlorophyll fIuorescence. Tropical Agriculture 73(1): 29-33.
García LJ, Romero CM and Ortiz LA. 2005. Evaluación edafoclimática de las tierras del trópico bajo colombiano para el cultivo de cocoa. Corpoica, Mosquera, 58 p.
Gonçalves JFDC, Barreto DCDS, Santos Junior UMD, Fernandes AV, Sampaio PDTB, and Buckeridge MS. 2005. Growth, photosynthesis and stress indicators in young rosewood plants (Aniba rosaeodora Ducke) under different light intensities. Brazilian Journal of Plant Physiology 17(3): 325-334. doi: 10.1590/S1677-04202005000300007
Huang Q and Xiao L. 2010. Calculate the area above and/or below a given reference line using SAS® Data Steps. 9 p. In: SAS Conference Proceedings: Western Users of SAS Software 2010 ,San Diego, California.
ICCO - International Cocoa Organization. 2018. Quarterly Bulletin of Cocoa Statistics, Vol. XLIV, No. 3, Cocoa year 2017/18. In: International Cocoa Organization, In: International Cocoa Organization, https://www.icco.org/about-us/international-cocoa-agreements/cat_view/30-related-documents/46-statistics-production.html Accessed: July 2019.
Jaimez R, Tezara W, Coronel I and Urich R. 2008. Ecofisiología del cocoa (Theobroma cacao): su manejo en el sistema agroforestal. Sugerencias para su mejoramiento en Venezuela. Revista Forestal Venezolana 52(2): 253-258.
Jaimez RE, Amores Puyutaxi F, Vasco A, Loor RG, Tarqui O, Quijano G, Jimenez JC and Tezara W. 2018. Photosynthetic response to low and high light of cocoa growing without shade in an area of low evaporative demand. Acta Biológica Colombiana 23(1): 95-103. doi: 10.15446/abc.v23n1.64962
Klich MG. 2000. Leaf variations in Elaeagnus angustifolia related to environmental heterogeneity. Environmental and Experimental Botany 44(3): 171-183. doi: 10.1016/S0098-8472(00)00056-3
Köhler M, Hanf A, Barus H, Hendrayanto and Hölscher D. 2014. Cacao trees under different shade tree shelter: effects on water use. Agroforestry systems 1:63-73. doi: 10.1007/s10457-013-9656-3
Niether W, Armengot L, Andres C, Schneider M, and Gerold G. 2018. Shade trees and tree pruning alter throughfall and microclimate in cocoa (Theobroma cacao L.) production systems. Annals of Forest Science 75(38): 16. doi: 10.1007/s13595-018-0723-9
R Core Team. 2017. A Language and Environment for Statistical Computing. In: R Foundation for Statistical Computing. Vienna, Austria. http://www.R-project.org
Ribeiro RV, Machado EC, Santos MG and Oliveira RF. 2009. Photosynthesis and water relations of well-watered orange plants as affected by winter and summer conditions. Photosynthetica 47(2): 215-222. doi: 10.1007/s11099-009-0035-2
Rosenberg NJ, Blad BL and Verma SB. 1983. Microclimate: The biological environment. Second edition. John Wiley and Sons, Inc., New York. 495 p.
Shiang K-D. 2004. The SAS® Calculations of areas under the curve (UC) for multiple metabolic readings 14 p. In: SAS Conference Proceedings: Western Users of SAS Software 2004. Pasadena, California.
Suárez Salazar JC, Melgarejo LM, Casanoves F, Di Renzo JA, DaMatta FM and Armas C. 2018. The photosynthetic response of cocoa photosynthesis limitations in cocoa leaves under different agroforestry systems in the Colombian Amazon. PLoS ONE 13(11): e0206149. doi: 10.1371/journal.pone.0206149.
Tezara W, Urich R, Jaimez R, Coronel I, Araque O, Azocar C and Chacón I. 2016. Does Criollo cocoa have the same ecophysiological characteristics than Forastero? Botanical Sciences 94(3): 563-574. doi: 10.17129/botsci.552
Wessel M. 1985. Shade and nutrition. pp. 18-23. In: Lass RA and Wood GAR (eds.). Cocoa production: present constraints and priorities for research. World Bank technical paper (WTP39), Washington. 120p. doi: 10.1002/9780470698983.ch7