Artículos
Effect of supplemental irrigation on bread wheat genotypes yield under Mediterranean semi-arid conditions of north-eastern Algeria
Efecto de la irrigación suplementaria sobre el rendimiento de trigo pan en condiciones mediterráneas semiáridas del noreste de Argelia
Effect of supplemental irrigation on bread wheat genotypes yield under Mediterranean semi-arid conditions of north-eastern Algeria
Revista Facultad Nacional de Agronomía Medellín, vol. 74, no. 1, pp. 9431-9440, 2021
Facultad de Ciencias Agrarias - Universidad Nacional de Colombia
Received: 21 October 2020
Accepted: 23 November 2020
ABSTRACT: Different levels of supplemental irrigation regimes on four wheat (Triticum aestivum L.) genotypes were evaluated, two of which were introduced into Sétif region by ACSAD institution, during the growing season 2013-2014, in order to assess the effect of deficit irrigation pattern on yield traits performance and to determine most suitable genotype for local semi-arid conditions. On the basis of the experimentation data, it was found that supplemental irrigation improved the investigated genotypes yield, which ranged from 220.03 g m-2 for variety El-wifak in rainfed conditions to 368.3 g m-2 for variety Djanet (ACSAD899) with an increase of about 67%; just by applying two irrigations, the first at the jointing stage and the second at mid-flowering stage. This increase was related to the improvement of most agronomic traits that correlated significantly and positively with grain yield, in response to supplemental irrigation application. These findings indicated that Djanet (ACSAD899) was a genotype successfully introduced under irrigated conditions, while Hidhab (HD1220) with an average grain yield of 298.3 g m-2, proved to be more stable and well adapted to the locally rainfed conditions.
Keywords: Supplemental irrigation, Triticum aestivum L., Genotype introduction, Grain yield, Agronomic traits.
RESUMEN: En esta experimentación, se evaluaron diferentes niveles de riego suplementarios en cuatro genotipos de trigo (Triticum aestivum L.), dos de los cuales fueron introducidos en la región de Sétif por ACSAD, durante la temporada 2013-2014, para evaluar el efecto de los distintos tratamientos de riego y para determinar el genotipo más adecuado para las condiciones semiáridas locales. Según los resultados obtenidos, el riego suplementario mejoró el rendimiento de los genotipos investigados, variando desde 220,03 g m-2 para la variedad El-wifak en condiciones de secano hasta 368,3 g m-2 para la variedad Djanet (ACSAD899) con un aumento de aproximadamente el 67% con sólo aplicar dos riegos, el primero en la etapa de primer nodo y el segundo en la etapa de floración. Este aumento se relacionó con la mejora de la mayoría de los caracteres agronómicos correlacionados positivamente con el rendimiento de grano, en respuesta a la aplicación de riego suplementario. Djanet (ACSAD899) tuvo buenos resultados bajo condiciones de riego, mientras que Hidhab (HD1220), con un rendimiento promedio de grano de 298,3 g m-2, demostró ser más estable y bien adaptado a las condiciones locales de secano.
Palabras clave: Riego suplementario, Triticum aestivum L., Introducción de genotipo, Rendimiento de grano, Caracteres agronómicos.
In the northeastern high plateaus of Algeria, as well as the semi-arid plains of Sétif province, water resources are generally limited and a typical Mediterranean climate prevails, with rain mainly falling in winter and less in late spring. This irregular rainy period is followed by a hot and dry summer (Aissaoui, 2019). According to Guendouz et al. (2012) and Merouche et al. (2014), severe drought occurrence in later stages of bread wheat (Triticum aestivum L.) grown in these regions, shortens the grain filling and ripening duration, resulting in large annual fluctuations in grain yield. This situation discourages local farmers and disadvantages wheat production for subsequent seasons, reducing yield potential and complicating grain supply for bakery (Aissaoui and Fenni, 2018). It was therefore necessary to find reasonable practical solutions to face this water deficit of rainfed bread wheat production. The development of an appropriate irrigation strategy and/or introducing new drought-tolerant varieties could improve bread wheat yield in this region.
As a result, supplemental irrigation (SI), widely practiced in southern and eastern Mediterranean countries, appears to be an adequate practice for crop water supply. Oweis and Hachum (2012) defined supplemental irrigation as the application of a limited amount of water to rainfed crops when precipitation fails to provide necessary moisture for normal plant growth. This practice has shown a promising potential to mitigate the adverse effects of unfavorable rain patterns and thereby improves and stabilizes crops yields compared to the traditional irrigation practices (Oweis and Hachum, 2012; Khamssi and Najaphy, 2012, Sakumona et al., 2014; Meng et al., 2015). The objective for this research was to investigate grain yield and yield components performance for two sets of genotypes; locally cultivated and newly introduced, under both rainfed and irrigated conditions at critical development stages.
MATERIALS AND METHODS
Experimental location
The experiment was conducted in the Agricultural Research Station of the Technical Institute for Field Crops (ITGC) (36° 10'N, 5°2' E) localized 3 km south-west Sétif city, during the 2013-2014 growing season. The soil texture of the experimental site was silty clay with pH 8.1 and 1.2% organic matter content. The gravimetric soil water content of the top 60 cm soil, measured by pressure plate, was 24.6% at Pf 2.5 (-0.033 MPa) and 11.8% at Pf 4.2 (-1.5 MPa). The treatments included four bread wheat genotypes (G) and six water regimes (W). The plots were replicated three times in a randomized complete block design (RCBD). Each plot size was 1.20 m2 (1.20 m×1.0 m).
Plant material
As shown in Table 1, plant material consisted of four genotypes of bread wheat (Triticum aestivum L.). Two commonly ameliorated varieties, Hidhab (HD1220) and El-wifak, grown locally in the plains of Sétif region and two newly introduced genotypes, Djemila (ACSAD969) and Djanet (ACSAD899), provided by ACSAD (The Arab Center for the Studies of Arid Zones and Dry Lands) institution. Crop development was categorized according to Zadoks scale (Z) (Zadoks et al., 1974).

Crop management
The seeds were planted in six rows with 17 cm row's interval on December 12, 2013 at a seed rate of 250 seeds m-2 and plots were harvested on June 22, 2014. Nitrogen application (total 80 kg ha-1 of urea) was split; a half at sowing and another half in the beginning of stem elongation stage. Phosphorus was applied at the sowing (Z0) as basal dressing in triple-superphosphate form (46% P2O5) at the rate of 70 kg ha-1. Weed control was achieved both by application of post emergence herbicides and eventually by hand. Grain yield and other agronomic traits data were determined by the four center rows in each plot to avoid edge effects.
Irrigation application
Irrigation was applied to all targeted treatments to maintain the maximum allowable deficit (MAD) at 75% of field capacity (Wang et al., 2013; Meng et al., 2015). To ensure full coverage and uniform distribution of water on all plots, water was applied carefully along the six cropping rows.
Water regimes
Differing in amounts and timing (crop development stages) of application, six water regimes (W) were applied to the different plot. W0: Rainfed without irrigation; W1: Irrigated during the stem extension from the second node detectable in Z32-Z39 Zadok's stages; W2: Irrigated during two stages, jointing at the first node detectable (Z31) and flowering stage when yellow anthers are visible on 50% of the spikes (Z65-Z69); W3: Irrigated during three stages tillering (Z21-Z29), (Z32-Z39) and milky grain filling (Z70-Z79); W4: Irrigated during four stages (Z21-Z29), (Z32-Z39), (Z65-Z69) and (Z70-Z79); W5: Irrigated at five grow stages (Z21-Z29), (Z31), (Z32-Z39), (Z65-Z69) and (Z70-Z79).
Field measurements
Soil water content changes were gravimetrically monitored at 8 to 9 days intervals. A soil water balance approach based on measuring soil moisture content (θ) prior to / and after irrigation, which reflected both rainfall contribution and plant water depletion patterns was used. To determine actual crop water use (ETact, mm), measurements were made at an interval of 20 cm in the soil profile from the top layer to a depth of 60 cm where just below, a continuous hardpan limits root depth (Unpublished results). At maturity stage, data on number of spikes (NS, m-2), number of grains per spike (NGS), number of grains (NG, m-2) derived from NS and NGS, grains weight per spike (GWS, g spike-1), were recorded on two intermediate rows designated arbitrarily then reported to unit area on each plot. Plant height (PH, cm) was measured over short lengths chosen randomly within intermediate rows from ground level to the top of spikes. Using a hand sickle, the above-ground biomass (BM, g m-2) was determined by weighing the bunch of aerial plant mass of each plot, then related to its grain yield to derive the harvest index (HI, %). Grain yield (GY, g m-2) was determined by immediate weighing of grains resulting from threshing of corresponding fully harvested plot. 500 grains were counted and weighed to deduce thousand grain weight (TGW, g).
Statistical analysis
The data were collected and presented as the means of three replicates, then statistically analyzed using SPSS package program (PASW Statistics Base Version 23.0) for a factorial design in blocks. An analysis of variance (ANOVA) was performed, and means were compared using LSD test and significant differences were considered (P<0.05)
RESULTS AND DISCUSSION
The mean annual rainfall at the station, over 20 years (1993-2013), was 356.4 mm, with around 279.6 mm from November to June, in coincidence with bread wheat growing season. In 2013-2014, 283.4 mm were recorded on the station as shown in Table 2 (ONM, 2014).

Although the cumulative rainfall for the long-term period 1993-2013 and during the growing season in 2013-2014 is almost equal, particularly in April, rainfall distribution suffers from a large deficit about 40.2 mm which was considerably less than that required by late bread wheat development stages. Therefore, irrigation seemed more imperative for this crop in order to obtain a high yield.
Analysis of variance presented in Table 3 confirmed that there were significant differences among water regimes (W) for most parameters, particularly for GWS, NGS and BM (P<0.01). Besides, the effect of the genotype (G) was significant for most examined parameters; distinctly for HI and PH (P<0.001) and notably for GY and NS (P<0.01). Although the interactions (W×G) were not significant for all measured parameters indicating that genotype (G) had the same trend of the water regime (W).

Effect of water regimes on grain yield and yield components
Variations in grain yield and yield components across genotypes were affected by the gradual increase in number of irrigations with the application of supplemental irrigation water regimes (Table 4). Grain yield of the varieties increased gradually from 251.25 g m-2 in rainfed treatment to 310.83 g m-2 under the most irrigated regime (W5), improving their performance by 24% under the experimental conditions and by 74% relative to the mean grain yield for Sétif province, estimated around 178.2 g m-2 during 2014 (DSA, 2014).

NGS, NG, GWS, and BM were highest in the most irrigated regime (W5) with 55.2 grains spike-1, 19,429.5 grain m-2, 2.57 g, and 985.83 g respectively, with an increase of 30.50%, 32.20%, 30.84% and 21.70% respectively, in comparison with rainfed treatment W0, (Table 4), while TGW, NS, HI and even PH were not statistically significant by increasing water regime levels.
Effect of genotype on grain yield and yield components
Differences in grain yield and most agronomic traits were observed for all genotypes across the different water regimes. The local varieties, El-wifak and Hidhab yielded 250 and 286.4 g m-2, respectively. For the new introductions, Djanet dominated the grain yield and recorded the highest score with 319.17 g m-2 followed by Djemila with 293.3 g m-2 compared to the local cultivars (Table 5). Djanet, the most yielding genotype, had the highest NGS and HI with 53.6 grains per spike and 34.3%, respectively, while the local genotype El-wifak had the lowest scores for the same parameters. Conversely, El-wifak, the least yielding genotype, recorded the highest TGW and PH, while Djanet had the lowest (Table 5).

Regarding spike parameters, the NS ranged from 316.3 spike m-2 for the newly introduced genotype Djemila, which showed lowest number of tillers (Unpublished results), to 388.3 spike m-2 for the local variety Hidhab which as well recorded the highest NG with 18,597.0 grains m-2.
Water regimes by genotype interaction
For this experiment, the interaction between water regimes and genotypes (W×G) for grain yield and all agronomic traits was not statistically significant (P> 0.05) which is similar to what has already been found by Merouche et al. (2014) under similar conditions for winter durum wheat.
Correlation of yield and yield traits
Using a simple linear correlation between grain yield and yield traits, Table 6 indicated that positive correlation, shown by a significant r value, of GY was observed with BM (r=0.820***), HI (r=0.703***), NG (r=0.507***), NGS (r= 0.473***), GWS (r=0.390**) and NS (r=0.234*) which was consistent with the results of Tayyer (2008), where the grain yield was positively and significantly correlated with NGS and GWS, as well as with Guendouz et al. (2012) for NS and NG, while no significant correlation was observed between GY and TGW (r=0.057). In contrast, a negative significant correlation was reported between GY and PH (r = -0.232*), which agreed with the results of Siosemardeh et al. (2006); Khamssi and Najaphy (2012); Aissaoui and Fenni (2020).

It is evident that under the rainfed conditions, the distribution of rainfall over wheat growing season, furthermore, high daily temperatures and water stress in the spring time shortened grain filling period, leading to grain earlier maturity, which results in low grain yield as reported by Erekul et al. (2012). Therefore, GY in rainfed treatment (W0) was significantly lower than that under supplemental irrigation regimes even though, there were no significant differences (P>0.05) in TGW, NS or HI between water regimes for all treatments. These results are consistent with those obtained by Khamssi and Nadjaphy (2012); Guendouz et al. (2012); Wang et al. (2013) and Sakumona et al. (2014). Oppositely, provide a permanent available soil water, as it was achieved with the most irrigated water regime (W5), significantly improved various agronomic traits such NGS, NG, GWS, and even BM, by 30.50%, 32.20%, 30.84% and 21.71%, respectively as shown in Table 4, which explains and confirms that improving agronomic yield (up to 24%) is strongly associated with the improvement of its components and agreed with the findings of Guendouz et al. (2012); Sakumona et al. (2014); Meng et al. (2015), when they confirmed that grain yield increased due to improvement in yield components under irrigation.
It is evident that under the rainfed conditions, the distribution of rainfall over wheat growing season, furthermore, high daily temperatures and water stress in the spring time shortened grain filling period, leading to grain earlier maturity, which results in low grain yield as reported by Erekul et al. (2012). Therefore, GY in rainfed treatment (W0) was significantly lower than that under supplemental irrigation regimes even though, there were no significant differences (P>0.05) in TGW, NS or HI between water regimes for all treatments. These results are consistent with those obtained by Khamssi and Nadjaphy (2012); Guendouz et al. (2012); Wang et al. (2013) and Sakumona et al. (2014). Oppositely, provide a permanent available soil water, as it was achieved with the most irrigated water regime (W5), significantly improved various agronomic traits such NGS, NG, GWS, and even BM, by 30.50%, 32.20%, 30.84% and 21.71%, respectively as shown in Table 4, which explains and confirms that improving agronomic yield (up to 24%) is strongly associated with the improvement of its components and agreed with the findings of Guendouz et al., 2012; Sakumona et al., 2014; Meng et al., 2015, when they confirmed that grain yield increased due to improvement in yield components under irrigation.
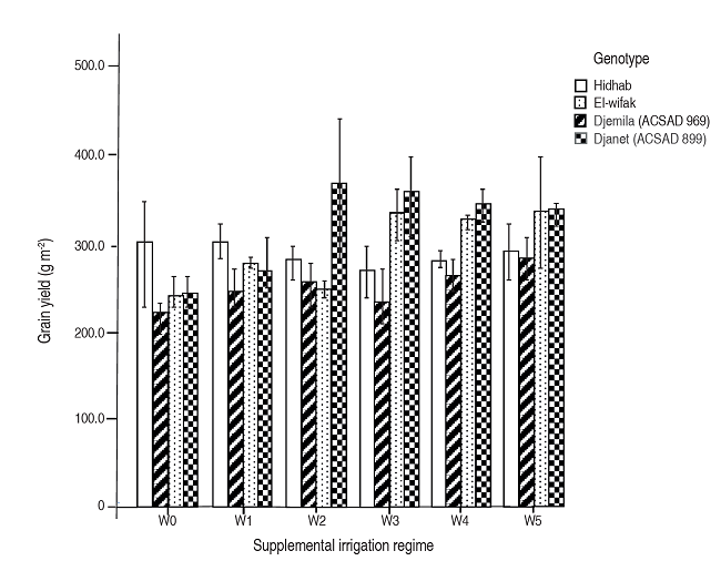
Thus, supplemental irrigation adoption has contributed to improve the grain yield of the tested genotypes, which varied from 220.0 g m-2 for variety El-wifak in rainfed treatment (W0) to 368.33 g m-2 for Djanet genotype under W2 water regime, as the highest grain yield score, with an increase of about 67% as shown in Figure 1.

This result was achieved just by applying two supplemental irrigations (W2); the first of 15 mm at the jointing stage corresponding to the first detectable node (Z31) and the second of 20 mm at the flowering stage Z65-Z69 (mid-way to complete anthesis), which has contributed to increase two major yield components; NG by 16.38% as well as GWS by 12% as plotted in Figure 2, in comparison to rainfed treatment W0, and thus improving the grain yield by 15%.

In effect, improved GY with SI adoption was mainly associated with the increase of the number of grains NG (r=0.507, P<0.001) which was confirmed by the linear relationship (r2= 0.924, n=72) between GY and NG (Figure 2). The positive relationship indicated that providing available soil-water content by multiplying number of irrigations has the potential to improve GY. Similarly, SI application was also associated with the increase of the grains weight per spike GWS (r=0.039, P<0.01) confirmed by the linear relationship (r2=0.628, n=72) between GY and GWS, as presented in Figure 2.
Furthermore, it was found that applying SI during jointing at the first detectable node (Z31) has also led to enhance the accumulation of cellulose in the first leaves, the herbaceous tillers and the main stems as confirmed by Angus and Herwaarden (2001). This has contributed to improve BM production by 14% and 22%, for W2 and W5, respectively. These SI treatments, increased plant ability to head with more tiller survival and therefore improving GY, mainly correlated to the increase of the above-ground biomass BM (r=0.82, P<0.001). This effect was confirmed by the linear relationship (r2= 0.906, n=72) between GY and BM (Figure 2), the positive relationship indicated that abundance of biomass with increasing number of irrigations has the potential to improve GY.
Moreover, providing adequate SI at or after anthesis gives plants an extra time, which transfer carbohydrate reserves toward the grain as reported by Zhang et al. (1998). In the same perspective, Aissaoui (2019) pointed out that ensuring an adequate availability of soil water during flowering stage stimulates actively photosynthesis in the post-anthesis phase and allows the assimilates, mainly carbohydrate reserves, to migrate to the newly pollinated florets forming the spikelets, which allows to conserve considerably the NGS and improve the GWS (Ozturk and Aydin, 2004 and Jalal et al., 2009). These findings were also in agreement with Meng et al. (2015) where application of two irrigations, based on relative soil moisture contents rising to 75% of field capacity, at jointing and anthesis stages increased grain yield for bread wheat cultivars.
On the other hand, genotypic differences in grain yield and yield components could be attributed to the four selected genotypes. The improved cultivar Hidhab (HD1220) is a late-maturing cultivar (192 days growing cycle), and benefited from a proper establishment since it dominated the number of germinated seeds (199.33), the number of survival tillers (658.67) (Unpublished results), the number of spikes (388.33) and the number of grains m-2 (1,8597.0). Probably, this variety has acquired an appreciable ability for adapting to local drought conditions of Setif region and a good stability of grain yield exposed to diverse water regimes (rainfed and SI). Similar conclusions for local varieties abilities to sustain drought stress were reported by Tayyar (2008) and Khamssi and Nadjaphy (2012). According to Sakumona et al. (2014), such adapted genotype possesses inherent potential or introgressed genes enabling it to control physiological mechanisms and to tolerate rigorous water stress conditions.
Oppositely, El-wifak genotype seems as an early-maturing cultivar with relatively shorter growing cycle (178 days), which allowed it to escape water stress at flowering stage likewise the sudden temperature rise of early May, and therefore ensuring a good remobilization of assimilates from vegetative tissues toward sink organs, retaining a considerable grain weight (47.2 g for TGW trait).
New introduced varieties Djanet and Djemila recorded better HI with 34.31% and 33.24%, respectively; confirming their genetic potential to produce higher grain/straw ratio regarding their relatively shorter PH compared to local genotypes (Table 4). This result is supported by Austin (1994) who pointed out that a high HI is solely obtained with short spikes under improved mineral nutrition at early stages of the plant. Likewise, Butler et al. (2005) confirmed that semi-dwarf stature genotypes achieved more favorable spike characteristics and produced more grain compared to straw due to increased partitioning of assimilates.
Among these four tested genotypes, cultivation of the semi-dwarf genotype Djanet presenting the lowest PH (65.79 cm) was correlated with the highest GY (319.17g m-2) as well as with the highest HI (34.31%). Oppositely, El-wifak, the tallest genotype (76.84 cm), produced the lowest GY (250.0g m-2) as well as with the lowest HI (27.48%), validating that bread wheat breeding with semi-dwarf stature improved GY, increasing harvest index, accoding to Aissaoui and Fenni (2020) and that semi-dwarf stature cultivation keeps preferable under the dry conditions occurring at the end of the wheat cycle (Rebetzke et al., 2004).
CONCLUSION
The findings of this research showed that supplemental irrigation practice improves bread wheat production, particularly for the semi-dwarf genotype Djanet (ACSAD899), newly introduced in Sétif region. This genotype behaved as a high yielding cultivar (368.33 g m-2) under limited watering conditions (W2), by supplying 35 mm total supplemental irrigation, provided in two applications; 15 mm at jointing stage corresponding to the first detectable node (Z31), and 20 mm at flowering stage on mid-complete anthesis when anthers are visible on 50% of the spikes (Z65-Z69). This improvement was associated with highest averaged scores of its agronomic traits; NGS (56.67 grain spike-1), GWS (2.478 g), NG (21,494.0 grain m-2), BM (1,034.67 g), HI (35.18%) and thus could be successfully cultivated under the W2 water regime conditions. However, Hidhab (HD1220) cultivar, which appeared more grain yielding stable (286.39 g m-2) for this experiment, could be maintained as a relatively well adapted genotype under rainfed conditions of Sétif region.
ACKNOWLEDGEMENT
The authors thank to Dr. Charef Eddine Mouffok from, Department of Agriculture and livestock Sciences, Faculty of Life and Nature Sciences, Ferhat Abbas University-Sétif-1 Algeria, for his help in statistical analysis.
REFERENCES
Aissaoui MR and Fenni M. 2018. Grain Yield and Quality Traits of Bread Wheat Genotypes under Mediterranean Semi-arid Conditions. Scholar Journal of Agriculture and Veterinary Sciences 5(3): 166-171. doi: 10.21276/sjavs.2018.5.3.7
Aissaoui MR. 2019. Effect of supplemental irrigation on improving bread wheat (Triticum aestivum L.) production in Sétif region. (Doctorate dissertation). Ferhat Abbas University. Setif, Algeria.151p. http://dspace.univsetif.dz:8888/jspui/handle/123456789/3451
Aissaoui MR and Fenni M. 2020. Assessment of some bread wheat (Triticum aestivum L.) performance indicators under deficit irrigation in the semi-arid conditions of north-eastern Algeria. International Journal of Agriculture and Biosciences 9(2): 88-94.
Angus JF and Herwaarden AF. 2001. Increasing water use and water use efficiency in dryland wheat. Agronomy Journal 93: 290-298. doi: 10.2134/agronj2001.932290x
Austin RB. 1994. Plant Breeding opportunities. in: Boote KJ, Bennett JM, Sinclair TR and Paulsen GM (eds.) International Symposium on Physiology and Determination of Crop Yield. University of Florida, Gainesville, Florida, USA. pp. 567-586.
Butler JD, Byrne PF, Mohammadi V, Chapman PL and Haley SD. 2005. Agronomic performance of Rht Alleles in a spring wheat population across a range of moisture levels. Crop Science 45: 939-947. doi : 10.2135/cropsci2004.0323
DSA (Direction des Services Agricoles). 2014. Statistiques agricoles de la wilaya de Sétif. Ministère de l'Agriculture et du Développement Rural. Direction des Statistiques Agricoles et des Systèmes d'Information Algérie. 125pp.
Erekul O, Gotz KP and Gurbez T. 2012. Effect of supplemental irrigation on yield and bread-making quality of wheat (Triticum aestivum L.) varieties under the Mediterranean climatical conditions. Turkish Journal of field crops 17(1): 78-86.
Guendouz A, Guessoum S, Maamri k and Hafsi M. 2012. The effect of supplementary irrigation on grain yield, yield components and some morphological traits of durum wheat (Triticum durum Desf.) cultivars. Advance in Environmental Biology 6(2): 564-572.
Jalal UD, Khan SU and Ali I. 2009. Physiological assessment of drought tolerance in wheat (Triticum aestivum L.) varieties under moisture stress conditions. BIOLOGIA (PAKISTAN) 55 (1-2): 1-9.
Khamssi NN and Nadjaphy A. 2012. Agro-morphological and phonological attributes under irrigated and rain-fed conditions in bread wheat genotypes. African Journal of Agriculture Research 7(1): 51-57. doi: 10.5897/AJAR11.1097
Meng W, Yu Z, Zhang Y, Shi Y and Wang D. 2015. Effects of supplemental irrigation on water consumption characteristics and grain yield in different wheat cultivars. Chilean Journal for Agricultural Research 75(2): 216-223. doi: 10.4067/S0718-58392015000200011
Merouche A, Debaeke P, Messahel M and Kelkouli M. 2014. Response of durum wheat varieties to water in semi arid Algeria. African Journal of Agriculture Research 9(38): 2880-2893. doi: 10.5897/AJAR2013.7318
ONM (Office National de la Météorologie). 2014. Rapport annuel du climat en Algérie. Station météorologique de Sétif. Ministère des Transports. Algérie. 130 pp.
Oweis T and Hachum A. 2012. Supplemental irrigation: A highly efficient water-use practice. ICARDA. 2nd ed. Syria. 36 p.
Ozturk, A and Aydin F. 2004. Effect of Water Stress at Various Growth Stages on Some Quality Characteristics of Winter Wheat. Journal of Agronomy and Crop Science 190:93-99. doi: 10.1046/j.1439-037X.2003.00080.x
Rebetzke, GJ, Botwright, TL, Moore, CS, Richards, RA and Condon, AG 2004. Genotypic variation in specific leaf area for genetic improvement of early vigour in wheat. Field Crops Research 88(23): 179-189. doi: 10.1016/j.fcr.2004.01.007
Sakumona M, Lungu DM and Munyinda K. 2014. Evaluation of Twelve Spring Wheat (Triticum aestivum L.) genotypes for water use efficiency under varying water regimes. Journal of Applied Environmental and Biological Sciences 4(8): 63-70.
Siosemardeh A, Ahmadi A, Poustini K and Mohamadi V. 2006. Evaluation of drought resistance indices under various environmental conditions. Field Crop Research 98: 222-229. doi: 10.1016/j.fcr.2006.02.001
SPSS. 2016. SPSS Inc. SPSS/PASW user's guide. Version 23. Chicago, IL.
Tayyar S. 2008. Grain yield and agronomic characteristics of Romanian bread wheat varieties under the conditions of northwestern Turkey. African Journal of Biotechnology 7(10): 1479-1486. doi: 10.5897/AJB08.153
Wang D, Yu Z and White PJ. 2013. The effect of supplemental irrigation after jointing on leaf senescence and grain filling in wheat. Field Crops Research 15: 35-44. doi.: 10.1016/j.fcr.2013.07.009
Zadok JC, Chang TT and Konzak CF. 1974. A decimal code for the growth stages of cereals. Weed Research 6: 415-421. doi: 10.1111/j.1365-3180.1974.tb01084.x
Zhang H, Oweis T , Garabet S and Pala M. 1998. Water use efficiency and transpiration efficiency of wheat under rainfed and irrigation conditions in a Mediterranean environment. Plant soil 20: 295-305. doi: 10.1023/A:1004328004860