Artículos
Quality of tomato ( Solanum lycopersicum L.) fruits inoculated with Escherichia coli under different storage conditions
Calidad de frutos de tomate ( Solanum lycopersicum L.) inoculados con Escherichia coli en diferentes condiciones de almacenamiento
Quality of tomato ( Solanum lycopersicum L.) fruits inoculated with Escherichia coli under different storage conditions
Revista Facultad Nacional de Agronomía Medellín, vol. 75, no. 1, pp. 9791-9799, 2022
Facultad de Ciencias Agrarias - Universidad Nacional de Colombia
Received: 03 November 2021
Accepted: 09 December 2021
Funding
Funding source: Colegio de Postgraduados, Fideicomiso de Fondos para la Investigación Científica y Desarrollo Tecnológico
Contract number: 167304-2010
RESUMEN: The study evaluated the effect of storage temperatures of 7 and 22 °C for 168 h on tomatoes (Charleston cv.) inoculated with 107 CFU mL-1 of the enterotoxigenic Escherichia coli pathogroup (ETEC) strain on color indexes (hue angle, h°, and chroma, C*), firmness, titratable acidity (% citric acid), ascorbic acid, total soluble sugars and reducing sugars (glucose, fructose, and sucrose). ETEC survived with populations of 7 and 9.2 Log CFU g-1 at 7 and 22 °C, respectively until 120 h. Bacterial adherence and colonization under both storage conditions were confirmed by scanning electron microscopy. The index C* and ascorbic acid had higher values at 22 °C, while the parameters h°, firmness, and citric acid had lower values at the same storage temperature. At 7 °C, the concentration of total soluble sugars was affected; glucose and fructose showed lower values (0.054 and 0.057 g 100 g-1, respectively). Finally, the inoculated fruits exhibited significant differences in the parameters of consumer preference of fresh tomatoes such as color, firmness, sugars, and organic acids, which were affected depending on the storage temperature.
Keywords: Bacterial adherence, Color, Firmness, Storage temperature, Tomato.
ABSTRACT: El estudio evaluó el efecto de temperaturas de almacenamiento de 7 y 22 °C durante 168 h en tomates (cv. Charleston) inoculados con 107 UFC mL-1 de la cepa Escherichia coli del patogrupo enterotoxigénico (ECET) sobre índices de color (ángulo de tono, h° y croma, C*) firmeza, acidez titulable (% ácido cítrico), ácido ascórbico, azúcares solubles totales y azúcares reductores (glucosa, fructosa y sacarosa). ECET sobrevivió con poblaciones de 7 y 9.2 Log UFC g-1 a 7 y 22 °C, respectivamente, hasta las 120 h. La adherencia y colonización bacteriana en ambas condiciones de almacenamiento se confirmaron mediante microscopía electrónica de barrido. El índice C* y el ácido ascórbico tuvieron valores más altos a 22 °C, mientras que el parámetro h°, firmeza y ácido cítrico tuvieron valores más bajos a la misma temperatura de almacenamiento. La temperatura de 7 °C afectó la concentración de azúcares solubles totales; glucosa y fructosa con valores menores (0,054 y 0,057 g 100 g-1, respectivamente). Finalmente, los frutos inoculados exhibieron diferencias significativas en los parámetros de preferencia del consumidor de tomates frescos como color, firmeza, azúcares y ácidos orgánicos, los cuales se vieron afectadas dependiendo de la temperatura de almacenamiento.
Palabras clave: Adherencia bacteriana, Color, Firmeza, Temperatura de almacenamiento, Tomate.
In Mexico, tomato production is increasing. In 2017, the harvested volume was more than 631 thousand tons. Tomato is in the first place of exported agricultural produce (SIAP, 2018). However, safety specifications for fresh produce can put this progressive preference for the vegetable at risk because production practices and post-harvest handling conditions occur in environments that favor the development of pathogenic and deteriorative microorganisms (Orozco et al., 2008).
Firmness and color are the most significant quality attributes of fresh tomatoes used by growers and consumers as selection criteria (Khairi et al., 2015), while the content of sugars and organic acids are important factors that determine flavor (Agius et al., 2018). During post-harvest, these attributes are affected by storage conditions, such as temperature and relative humidity. Low temperatures can substantially increase shelf life by slowing down the fruit ripening process and reducing microbial activity (Guatam et al., 2015). A wide variety of microbial species can lodge on the surface of the product adhering and forming biofilms, rendering the washing and disinfection processes ineffective (Iturriaga et al., 2003). The chance of bacterial contamination of fruits is high, given that the content of water and nutrients support bacterial growth, besides micro-rough texture facilitating bacterial adhesion and establishment (Torres-Aguilar et al., 2016).
Adherence, as a survival mechanism, allows enteropathogens of the genera Escherichia, Salmonella, and Shigella to remain on tomatoes, lettuce, peach, spinach, broccoli, alfalfa, and apple and orange juice, whose consumption is associated with outbreaks of gastrointestinal disease (Scallan et al., 2011). This becomes even more important when these fresh vegetables are eaten raw in salads or juices. In developing countries, enterotoxigenic Escherichia coli (ETEC) is the second pathogroup that causes gastroenteritis in children during their first years of life (Walker et al., 2007). ETEC is also linked to traveler’s diarrhea caused by lack of hygiene and fecal contamination (Loc et al., 2014). ETEC’s virulence factors are the heat-labile toxin and the heat-stable toxin (Fleckenstein et al., 2010). Furthermore, these bacteria can survive in a variety of environments, such as rivers, drinking water, irrigation water, and fresh vegetables (MacDonald et al., 2015).
There are several studies in tomatoes concerning E. coli contamination during production, harvest, and commercialization (Gómez-Aldapa et al., 2013). However, there are few references on the relation of quality attributes and survival of E. coli on fruits stored at different temperatures. For this reason, this study aimed to evaluate the effect of 7 and 22 °C temperatures for 168 h of storage on tomatoes inoculated with enterotoxigenic E. coli (ETEC) as well as color indexes (hue angle, h°, and chroma, C*), firmness, titratable acidity (% citric acid), ascorbic acid, total soluble sugars and reducing sugars (glucose, fructose, and sucrose).
MATERIALS AND METHODS
Plant material
The material used consisted of fruits of tomato (Solanum lycopersicum L.) Charleston cv. harvested at 5 degrees (luminous red), according to the color table of the Department of Agriculture of the United States (USDA, 2017), and collected from the central part of the hydroponic type greenhouse in Aquixtla, Puebla, Mexico. The fruits were transported and maintained in refrigeration in a cooler for less than 12 h before laboratory analyses started.
Studied microorganism
The enterotoxigenic E. coli (ETEC) pathogroup strain was isolated from tomato fruits and the soil of the greenhouse (Luna-Guevara et al., 2012). This strain was identified by IMViC biochemical tests (indol, methyl red, Voges-Proskauer, and Simmons citrate) and tests of the automated system VITEK (Biomeriux, Mexico) and confirmed by polymerase chain reaction (PCR) with amplification of the IngA gene (Luna-Guevara et al., 2015).
Fruit inoculation and storage procedures
Intact fruits were washed and disinfected with a 70% (v/v) ethanol solution, rinsed with sterile water, and dried. Fruits were inoculated by immersion for 10 minutes in a 107 CFU mL-1 bacterial culture with an optical density (OD) 1.1 at a wavelength of 620 nm. Inoculation was confirmed by plate count. The inoculated fruits were deposited in plastic hermetically sealed containers (25x10x20 cm) and stored at two temperatures (T): 7 and 22 °C with an interior relative humidity (RH) of 60% adjusted with saturated sodium bromide salts (Iturriaga et al., 2007). Interior T and RH of the containers were monitored with an environment datalogger (HOBO H08-004-02, Onset Pro Computer Corporation, MA, USA).
Microbial counts
Approximately, 2 mm of tissue was taken from the epicarp and mesocarp at the equatorial region of the fruit. This tissue was homogenized in 50 mL of 0.1% peptone water. Serial dilutions (104 to 107) were made and spread on plates in trypticase soy agar (Bioxon, Mexico) for enumeration of E. coli. The plates were incubated at 37 °C for 24 h and the presence of E. coli was confirmed using conventional IMViC biochemical tests. This procedure was repeated in triplicate at 1.5, 24, 72, 120, and 168 h of storage.
Observation of adherence and colonization
Micrographs of the inoculated fruits stored for 1.5 up to 168 h were prepared for examination with a scanning electron microscopy (SEM) following the procedure proposed by Sun et al. (2016) with some modifications. The samples were observed in a scanning electron microscope (JEOL, JSM-6390, MA, USA) 10-15 kV range of operation.
Physical tests on fruits stored at different temperatures
Color. The color parameters CIE L*, a*, and b* were determined in triplicate at the equatorial zone of five fruits using a colorimeter (Hunterlab, ColorFlex-45) (Pathare et al., 2013). With these chromatids, hue angle (h°, related to reds and greens) and color purity (C*, chroma) were calculated.
Firmness. The firmness of intact fruits was determined as the force required for a 6 mm diameter cylindrical TA-212 awl and a texturometer TAXT plus (Texture Technologies, Surrey, UK) to penetrate 5 mm at a velocity of 1.0 mm s-1. The results were expressed in Newtons (N) and each reported value of firmness represents the mean of three individual measurements taken on three tomato samples.
Titratable acidity. The acidity of the juice extracted from 10 g of fruit was evaluated by titration with NaOH at 0.1 N until reaching a pH of 8.1. The result was expressed as a percentage of citric acid (% citric acid) (Horwitz, 2000).
Chemical properties of fruits stored at different temperatures
Total soluble (TSS) and reducing sugars (RS).
For both types of sugars, 100 mg of sample was extracted and incubated in periods of 10 min five times successively in 80% ethanol at 70 °C. The supernatants were evaporated at 50 °C, dissolved in 1 mL of distilled water, and stored at -20 °C until analysis. The TSS were determined following the Antrona method proposed by Montreuil et al. (1997) and RS were quantified using the method described by Scholes et al. (1994). The calculations used standard calibration curves, which were prepared previously for each of the sugars, results were expressed in g ∙100 g-1 fresh weight (f.w.).
Vitamin C. Total ascorbic acid was analyzed by the spectrophotometer method described by Noctor and Foyer (1998) using 100 mg fruit. Absorbance readings were carried out in a spectrophotometer UV/Vis (JEYWAY 7305, ThermoLab, USA) at a wavelength of 265 nm before and after adding 20 µL ascorbate oxidase (0.05 U). The blank consisted of a 120 mM sodium phosphate buffer, pH 5.6.
Statistical analysis
The experimental data were analyzed statistically by a completely randomized experimental design with three replications. For the set of treatments, an analysis of variance (ANOVA) was performed and means were compared with an honest significant difference of P<0.05 (Tukey). The Statistical Analysis System (SAS), version 9.0 (SAS, 2002) was used.
RESULTS AND DISCUSSION
Effects of storage conditions on Escherichia coli (ETEC) growth
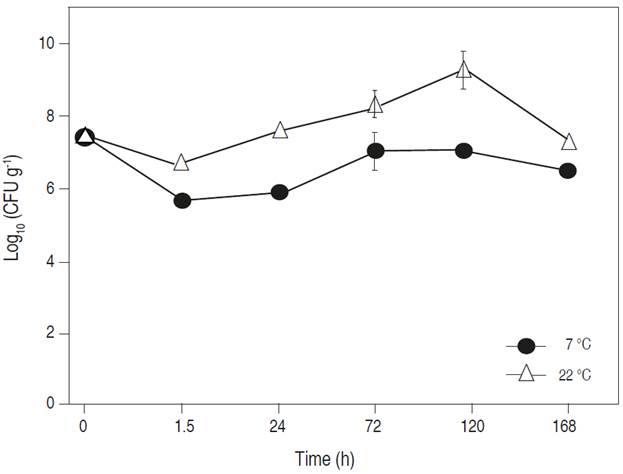
Effect of storage conditions on E. coli (ETEC) survival on inoculated tomato fruit was significant (P<0.05), the bacterial populations were 7 and 9.2 Log CFU g-1 at 7 and 22 °C, respectively, after 120 h of storage. This behavior is similar to that reported by Gómez-Aldapa et al. (2013), who reported the growth of E. coli (enterotoxigenic) in mung bean sprouts and the growth of E. coli on foods stored in refrigeration (Kothe et al., 2019).
The E. coli (ETEC) counts of CFU g-1 recorded at refrigeration temperature (Figure 1) evidence the psychrotrophic capacity of this microorganism to grow in fresh food products (Pothakos et al., 2012; Keshri et al., 2019), and its permanence under this condition indicates that it favors ETEC survival. For this reason, the consumption of fresh tomatoes makes it necessary to consider preventive measures to maintain the safety of the fruit and avoid it from becoming a reservoir of enterobacteria, including E. coli, which can produce gastrointestinal disorders (Mansan-Almeida et al., 2013).

Adherence of ETEC on tomatoes stored at different temperatures
The pericarp of fruits stored at 7 and 22 °C showed growth of ETEC from 1.5 h of storage (Figures 2A and 2B, respectively). After 72 h post-inoculation, adherence of E. coli was notable (Figures 2C and 2D). According to Shaw et al. (2011), adherence is carried out through a diffuse mechanism of adhesion mediated mainly by adhesins of the flagella on vegetables. Other reports have shown that E. coli can produce biofilms through curli and extracellular matrix (1.5-n-acetyl-D-glucosaminecellulose, cellulose, and colonic acid) on sprouts and tomato roots (Matthysse et al., 2008). It has been observed that the growth of enteric pathogens such as ETEC is greater in plant tissue with mechanical damage due to the availability of nutrients (Shaw et al., 2011).

Adhesion of the bacteria on the fruit surface under both storage conditions persisted after 168 h is shown in Figures 2E and 2F. The greatest adherence of ETEC at 22 °C (Figure 2E) was related to 120 h of storage (Figure 1). The presence of E coli. strains that can form biofilms in both conditions suggests potential health risk for consumers (Liu et al., 2013; Corzo-Ariyama et al., 2019), given that this contamination may take place during the pre-harvest period, due to the use of a contaminated water supply when cultivating the vegetables, in post-harvest environments, where it may appear after washing and processing the raw material, also due to storage temperatures which allow fast growth of the bacterial (Carter et al., 2016).
Effect of storage conditions on color and firmness parameters
Color components of inoculated fruits were affected significantly (P<0.05) by storage temperature. The chroma (C*) value increased as the fruit ripened and showed an increase in color intensity over time. Similar results were described by Navarro-López et al. (2012). There was a greater increase in fruits stored at 22 °C, which retained their red color (Table 1). According to López-Camelo and Gómez (2004), the value of C* influences consumer acceptance of ripe fruits, and thus, inoculated fruits stored at room temperature and in refrigeration are acceptable for the consumer based on color intensity after 168 h. Hue angle, h°, decreased with storage time at both temperatures. The fruits stored at 7 °C tended to change color less and had significantly higher values than fruits stored at 22 °C. The decrease in h° of fruits stored at 22 °C was more notable at 72 h (Table 1), and even after 168 h, the hue angle of the fruits (24.69) decreased 2.6 times, regarding fruits stored under refrigeration (64.32). The results obtained in this index suggest that the fruits stored at room temperature (22 °C) had a greater color change, this is due to the fact that the tomato fruit being climacteric, their physiological processes continue after harvest and as their maturation progresses, chlorophyll degradation occurs, as well as chromoplast synthesis, promoting the color change from green to red, which shows the presence of pigments such as carotene and lycopene (Pinheiro et al., 2013; Carrillo-López and Yahia, 2014; Cherono et al., 2018).

Firmness tended to decrease under both conditions of storage temperature, but at 22 °C it was significantly less (P<0.05) up to 168 h (Figure 3). Room temperature can cause a continuous reduction in tomato firmness due to moisture loss through transpiration and enzymatic changes, which can degrade tomato cell wall (Hatami et al., 2013; Abiso et al., 2015). Firmness reduction is attributed to different factors as losses in cell turgor pressure as well as the cell wall and polysaccharides degradation (Al-Dairi et al., 2021). The tendency of the experimental fruit firmness values at 7 °C is similar to that mentioned by Tadesse et al. (2015) and Kabir et al. (2020), who stated that tomato fruits are better preserved in refrigeration at 4 °C because the low temperatures maintain the quality characteristics of the tomato in postharvest.

Effect of storage conditions on organic acids and concentration of total soluble and reducing sugars
Citric acid is the most abundant acid in tomatoes and the largest contributor to titratable acidity. The decrease of acidity coincides with the increase in fruit ripening and is due to the loss of citric acid (Anthon et al., 2011). In this study, this parameter decreased significantly (P<0.05) as the ripening process advanced; the decrease was more notable in fruits stored at 22 °C (Table 1). In tomato, the ascorbic acid contents are higher in stage full maturation (De Oliveira et al., 2016), which is consistent with the results of this study that although no differences were detected in the three evaluated stages, the highest values were detected at 22 °C, where the fruit maturation occurs more quickly. While at 7 °C, a significant increase (P<0.05) was observed up to 168 h (Table 1).
Alenazi et al. (2020) pointed out that the content of total soluble sugars is related to tomato maturity. In this investigation, the total soluble sugars increased as the fruits ripened, and this was more accentuated in fruits stored at 22 °C than in those stored at 7 °C. In both conditions, significant differences were detected (P<0.05) at 72 and 168 h. According to Oms-Oliu et al. (2011), tomato fruit maturation involves changes in its physiology, for example, the increase in sugars, such as glucose and fructose, and sucrose reduction. This trend was more marked in the total soluble sugars in the fruits stored at 22 °C after 72 h.
The conservation of sugars in tomato fruits under refrigeration at 7 °C was not significantly different. This is similar to that reported by Buret et al. (1983), who confirmed that the sugar content in tomato fruits is constant at low storage temperatures. At 22 °C fruits were significantly different in sugar content at some times, with an increase at 162 h. Fructose had statistically equal values in fruits stored at 7 and 22 °C, with a significant difference at the longest storage times (72 and 168 h). The fructose contents, associated with the decrease of some organic acids, contribute directly to the flavor of ripe tomatoes (De Oliveira et al., 2016). Finally, sucrose showed a slight increase after 168 h at 7 °C, while at 22 °C there was no significant difference with constant and minor values (Table 1). In this work, approximately equal amounts of the three sugars (glucose, fructose, and sucrose) were detected in the analyzed fruits regardless of the storage temperature.
CONCLUSIONS
Storage conditions significantly affected tomato fruits. ETEC survived with populations of 7 and 9.2 Log CFU g-1 at 7 and 22 °C, respectively, after 120 h of storage. The adherence and bacterial colonization in storage were confirmed by scanning electron microscopy. At 22 °C, glucose, sucrose, h° parameters, and firmness were significantly more affected than at 7 °C. The concentration of fructose did not exhibit a significant difference at 7 °C.
The permanence of ETEC in tomatoes stored at 22 °C makes it necessary to propose strategies of sanitization process to minimize conditions of contamination and preserve the quality parameters of the tomato, during post-harvest storage to maintain the fruit’s safety and prevent it from serving as a reservoir of enterobacteria capable of producing gastrointestinal disorders.
ACKNOWLEDGMENTS
This work is a product of the thesis of the first author, who thanks the National Council of Science and Technology (CONACyT) for his MSc scholarship. Financial support from the Colegio de Postgraduados, Fideicomiso de Fondos para la Investigación Científica y Desarrollo Tecnológico, Project 167304-2010. Authors are also thank Greta Hanako Rosas Saíto for her valuable help for the scanning electron microscopy.
REFERENCES
Abiso E, Satheesh N and Hailu A. 2015. Effect of storage methods and ripening stages on postharvest quality of tomato (Lycopersicom esculentum mill) cv. chali. Annals. Food Science and Technology 16(1): 127-137.
Agius C, von Tucher S, Poppenberger B and Rozhon W. 2018. Quantification of sugars and organic acids in tomato fruits. MethodsX 5(1): 537-550. https://doi.org/10.1016/j.mex.2018.05.014
Al-Dairi M, Pathare PB and Al-Yahyai R. 2021. Effect of postharvest transport and storage on color and firmness quality of tomato. Horticulturae 7(7): 1-15. https://doi.org/10.3390/horticulturae7070163
Alenazi MM, Shafiq M, Alsadon AA, Alhelal IM, Alhamdan AM, Solieman THI, Ibrahim AA, Shady MR and Al-Selwey WA. 2020. Improved functional and nutritional properties of tomato fruit during cold storage. Saudi Journal of Biological Sciences 27(6): 1467-1474. https://doi.org/10.1016/j.sjbs.2020.03.026
Anthon GE, LeStrange M and Barrett DM. 2011. Changes in pH, acids, sugars and other quality parameters during extended vine holding of ripe processing tomatoes. Journal of the Science of Food and Agriculture 91(7): 1175-1181. https://doi.org/https://doi.org/10.1002/jsfa.4312
Buret M, Gormley R and Roucoux P. 1983. Analysis of tomato fruit: Effect of frozen storage on compositional values-an inter‐laboratory study. Journal of the Science of Food and Agriculture 34(7): 755-760. https://doi.org/10.1002/jsfa.2740340714
Carrillo-López A and Yahia EM. 2014. Changes in color-related compounds in tomato fruit exocarp and mesocarp during ripening using HPLC-APcI+-mass Spectrometry. Journal of Food Science and Technology 51(10): 2720-2726. https://doi.org/10.1007/s13197-012-0782-0
Carter MQ, Louie JW, Feng D, Zhong W and Brandl MT. 2016. Curli fimbriae are conditionally required in Escherichia coli O157: H7 for initial attachment and biofilm formation. Food Microbiology 57: 81-89. https://doi.org/10.1016/j.fm.2016.01.006
Cherono K, Sibomana M and Workneh TS. 2018. Effect of infield handling conditions and time to pre-cooling on the shelf-life and quality of tomatoes. Brazilian Journal of Food Technology 21: 1-12. https://doi.org/10.1590/1981-6723.01617
Corzo-Ariyama HA, García-Heredia A, Heredia N, García S, León J, Jaykus L and Solís-Soto L. 2019. Phylogroups, pathotypes, biofilm formation and antimicrobial resistance of Escherichia coli isolates in farms and packing facilities of tomato, jalapeño pepper and cantaloupe from Northern Mexico. International Journal of Food Microbiology 290(1): 96-104. https://doi.org/10.1016/j.ijfoodmicro.2018.10.006
De Oliveira CM, Ferreira LM, Do Carmo MGF and Coneglian RCC. 2016. Influence of maturity stage on fruit longevity of cherry tomatoes stored at ambient and controlled temperature. Semina: Ciencias Agrarias 37(6): 4027-4038. https://doi.org/10.5433/1679-0359.2016v37n6p4027
Fleckenstein JM, Hardwidge PR, Munson GP, Rasko DA, Sommerfelt H and Steinsland H. 2010. Molecular mechanisms of enterotoxigenic Escherichia coli infection. Microbes and Infection 12(2): 89-98. https://doi.org/10.1016/j.micinf.2009.10.002
Gómez-Aldapa CA, Torres-Vitela MR, Acevedo-Sandoval OA, Rangel-Vargas E, Villarruel-López A and Castro-Rosas J. 2013. Presence of Shiga Toxin - Producing Escherichia coli, Enteroinvasive E. coli, Enteropathogenic E. coli, and Enterotoxigenic E. coli on tomatoes from public markets in Mexico. Journal of Food Protection 76(9): 1621-1625. https://doi.org/10.4315/0362-028X.JFP-13-071
Guatam S, Variyar PS and Sharma AK. 2015. Sestion V: Vegetables processing safety - Quality and safety aspects of vegetables. In: Hui YH and Evranuz EÖ. (eds.). Handbook of Vegetable Preservation and Processing. Second edition. CRC Press, UK. 925 p.
Hatami M, Kalantari S and Delshad M. 2013. Responses of different maturity stages of tomato fruit to different storage conditions. Acta Horticulturae 1012: 857-864. https://doi.org/10.17660/ActaHortic.2013.1012.116
Horwitz W. 2000. Association of Official Analytical Chemists. AOAC Official Method 942.15. Acidity (Titratable) of Fruit Products. 17th edition. Gaithersburg, Md. : AOAC International. New York. 11 p.
Iturriaga MH, Escartín EF, Beuchat LR and Martínez-Peniche R. 2003. Effect of inoculum size, relative humidity, storage temperature, and ripening stage on the attachment of Salmonella Montevideo to tomatoes and tomatillos. Journal of Food Protection 66(10): 1756-1761. https://doi.org/10.4315/0362-028X-66.10.1756
Iturriaga MH, Tamplin ML and Escartín EF. 2007. Colonization of tomatoes by Salmonella Montevideo is affected by relative humidity and storage temperature. Journal of Food Protection 70(1): 30-34. https://doi.org/10.4315/0362-028X-70.1.30
Kabir MSN, Rasool K, Lee WH, Cho SI and Chung SO. 2020. Influence of delayed cooling on the quality of tomatoes (Solanum lycopersicum L.) stored in a controlled chamber. AIMS Agriculture and Food 5(2): 272-285. https://doi.org/10.3934/AGRFOOD.2020.2.272
Keshri J, Krouptiski Y, Abu-Fani L, Achmon Y, Bauer TS, Zarka O, Maler I, Pinto R and Sela Saldinger S. 2019. Dynamics of bacterial communities in alfalfa and mung bean sprouts during refrigerated conditions. Food Microbiology 84: 103261. https://doi.org/10.1016/j.fm.2019.103261
Khairi AN, Falah MAF, Suyantohadi A, Takahashi N and Nishina H. 2015. Effect of storage temperatures on color of tomato fruit (Solanum lycopersicum Mill.) cultivated under moderate water stress treatment. Agriculture and Agricultural Science Procedia 3: 178-183. https://doi.org/10.1016/j.aaspro.2015.01.035
Kothe CI, Pessoa JP, Malheiros PS and Tondo EC. 2019. Assessing the growth of Staphylococcus aureus and Escherichia coli on fruits and vegetables. Journal of Infection in Developing Countries 13(6): 480-486. https://doi.org/10.3855/jidc.10573
Liu NT, Lefcourt AM, Nou X, Shelton DR, Zhang G and Lo YM. 2013. Native microflora in fresh-cut produce processing plants and their potentials for biofilm formation. Journal of Food Protection 76(5): 827-832. https://doi.org/10.4315/0362-028X.JFP-12-433
Loc NH, Long DT, Kim T-G and Yang M-S. 2014. Expression of Escherichia coli heat-labile enterotoxin B subunit in transgenic tomato (Solanum lycopersicum L.) fruit. Czech Journal of Genetics and Plant Breeding 50(1): 26-31. https://doi.org/10.17221/77/2013-CJGPB
López Camelo AF and Gómez PA. 2004. Comparison of color indexes for tomato ripening. Horticultura Brasileira 22(3): 534-537. https://doi.org/10.1590/s0102-05362004000300006
Luna-Guevara ML, Delgado-Alvarado A, Herrera-Cabrera BE, Torres AG, Avelino-Flores F, Navarro-Ocaña A and Parada-Guerra F. 2012. Diversity of enterobacteria associated with tomato (Lycopersicum sculentum Mill ) fruits and greenhouse soils. Scientia Agropecuaria 3(2): 161-169.
Luna-Guevara ML, Luna-Guevara JJ, Ruiz-Espinosa H, Leyca-Abascal L and Díaz-González CB. 2015. Eficiencia de la desinfección con aceites esenciales y ultrasonido sobre Escherichia coli inoculada en frutos de tomate y el impacto sobre la actividad antioxidante. Revista Argentina de Microbiologia 47(3): 251-255. https://doi.org/10.1016/j.ram.2015.04.004
MacDonald E, Moller KE, Wester AL, Dahle UR, Hermansen NO, Jenum PA, Thoresen L and Vold L. 2015. An outbreak of enterotoxigenic Escherichia coli (ETEC) infection in Norway, 2012: A reminder to consider uncommon pathogens in outbreaks involving imported products. Epidemiology and Infection 143(3): 486-493. https://doi.org/10.1017/S0950268814001058
Mansan-Almeida R, Pereira AL and Giugliano LG. 2013. Diffusely adherent Escherichia coli strains isolated from children and adults constitute two different populations. BMC Microbiology 13(1): 1-14. https://doi.org/10.1186/1471-2180-13-22
Matthysse AG, Deora R, Mishra M and Torres AG. 2008. Polysaccharides cellulose, poly-β-1,6-N-acetyl-D-glucosamine, and colanic acid are required for optimal binding of Escherichia coli O157:H7 strains to alfalfa sprouts and K-12 strains to plastic but not for binding to epithelial cells. Applied and Environmental Microbiology 74(8): 2384-2390. https://doi.org/10.1128/AEM.01854-07
Montreuil J, Spik G, Fournet B and Tollier MT. 1997. Chapter 4: Nonenzymatic Determinations of Carbohydrates. In: Multon JL, Stadelman WJ and Watkins BA. (eds.). Analysis of Food Constituents. Wiley-VCH, USA. pp. 109-156.
Navarro-López ER, Nieto-Ángel R, Corrales-García J, Del García-Mateos MR and Ramírez-Arias A. 2012. Calidad poscosecha en frutos de tomate hidropónico producidos con agua residual y de pozo. Revista Chapingo, Serie Horticultura 18(3): 263-277. https://doi.org/10.5154/r.rchsh.2009.11.097
Noctor G and Foyer CH. 1998. Ascorbate and Glutathione: Keeping active oxygen under control. Annual Review of Plant Physiology and Plant Molecular Biology 49: 249-279. https://doi.org/10.1146/annurev.arplant.49.1.249
Oms-Oliu G, Hertog MLATM, Van de Poel B, Ampofo-Asiama J, Geeraerd AH and Nicolai BM. 2011. Metabolic characterization of tomato fruit during preharvest development, ripening, and postharvest shelf-life. Postharvest Biology and Technology 62(1): 7-16. https://doi.org/10.1016/j.postharvbio.2011.04.010
Orozco L, Rico-Romero L and Escartín EF. 2008. Microbiological profile of greenhouses in a farm producing hydroponic tomatoes. Journal of Food Protection 71(1): 60-65. https://doi.org/10.4315/0362-028X-71.1.60
Pathare PB, Opara UL and Al-Said FAJ. 2013. Colour measurement and analysis in fresh and processed foods: A review. Food and Bioprocess Technology 6(1): 36-60. https://doi.org/10.1007/s11947-012-0867-9
Pinheiro J, Alegria C, Abreu M, Gonçalves EM and Silva CLM. 2013. Kinetics of changes in the physical quality parameters of fresh tomato fruits (Solanum lycopersicum cv. ‘Zinac’) during storage. Journal of Food Engineering 114(3): 338-345. https://doi.org/10.1016/j.jfoodeng.2012.08.024
Pothakos V, Samapundo S and Devlieghere F. 2012. Total mesophilic counts underestimate in many cases the contamination levels of psychrotrophic lactic acid bacteria (LAB) in chilled-stored food products at the end of their shelf-life. Food Microbiology 32(2): 437-443. https://doi.org/10.1016/j.fm.2012.07.011
Scallan E, Hoekstra RM, Angulo FJ, Tauxe RV, Widdowson MA, Roy SL, Jones JL and Griffin PM. 2011. Foodborne illness acquired in the United States-Major pathogens. Emerging Infectious Diseases 17(1): 7-15. https://doi.org/10.3201/eid1701.P11101
Scholes JD, Lee PJ, Horton P and Lewis DH. 1994. Invertase: understanding changes in the photosynthetic and carbohydrate metabolism of barley leaves infected with powdery mildew. New Phytologist 126(2): 213-222. https://doi.org/10.1111/j.1469-8137.1994.tb03939.x
SIAP. 2018. Atlas Agroalimentario 2012-2018. Secretaria de Agricultura, Ganadería, Desarrollo Rural, Pesca y Alimentación (SAGARPA). Servicio de Información Agroalimentaria y Pesquera Servicio de Información Agroalimentaria y Pesquera https://nube.siap.gob.mx/gobmx_publicaciones_siap/pag/2018/Atlas-Agroalimentario-2018. Consulta: Enero 2019.
Shaw RK, Berger CN, Pallen MJ, Sjöling Å and Frankel G. 2011. Flagella mediate attachment of enterotoxigenic Escherichia coli to fresh salad leaves. Environmental Microbiology Reports 3(1): 112-117. https://doi.org/10.1111/j.1758-2229.2010.00195.x
SAS. 2002. Software Statistical Analysis, SAS/STAT Users guide, version 9.0 (9.0). SAS Institute Inc.
Sun C, Lu L, Yu Y, Liu L, Hu Y, Ye Y, Jin C and Lin X. 2016. Decreasing methylation of pectin caused by nitric oxide leads to higher aluminium binding in cell walls and greater aluminium sensitivity of wheat roots. Journal of Experimental Botany 67(3) 979-989. https://doi.org/10.1093/jxb/erv514
Tadesse TN, Ibrahim MA and Abtew GW. 2015. Degradation and formation of fruit color in tomato (Solanum lycopersicum L.) in response to storage temperature. American Journal of Food Technology 10(4): 147-157. https://doi.org/10.3923/ajft.2015.147.157
Torres-Aguilar V, Manjarrez-Domínguez CB, Acosta-Muñiz CH, Guerrero-Prieto VM., Parra-Quezada RÁ, Noriega-Orozco LO and Ávila-Quezada GD. 2016. Interacciones entre Escherichia coli O157:H7 y plantas comestibles. ¿Se han desarrollado mecanismos de internalización bacteriana? Revista Mexicana de Fitopatología 34(1): 64-83. https://doi.org/10.18781/r.mex.fit.1507-4
USDA. 2017. Index of Official Visual Aids. United States Standards for grades of fresh tomatoes. United States Department of Agriculture. USDA. https://www.ams.usda.gov/sites/default/files/media/Official Inventory of FV Inspection Aids.pdf. Consulta: December 2018
Walker RI, Steele D and Aguado T. 2007. Analysis of strategies to successfully vaccinate infants in developing countries against enterotoxigenic E. coli (ETEC) disease. Vaccine 25(14): 2545-2566. https://doi.org/10.1016/j.vaccine.2006.12.028