Artículos
Postharvest behavior and chilling injury in avocado (Persea americana Mill) fruit cv. Hass treated with 1-methylcyclopropene, ethylene, and intermittent warming
Comportamiento poscosecha y daños por frío en frutos de aguacate (Persea americana Mill) cv. Hass tratado con 1-metilciclopropeno, etileno y calentamiento intermitente
Postharvest behavior and chilling injury in avocado (Persea americana Mill) fruit cv. Hass treated with 1-methylcyclopropene, ethylene, and intermittent warming
Revista Facultad Nacional de Agronomía Medellín, vol. 75, no. 2, pp. 1-14, 2022
Facultad de Ciencias Agrarias - Universidad Nacional de Colombia
Received: 05 March 2022
Accepted: 08 April 2022
ABSTRACT: Persea americana, cv. Hass has become an important crop in Colombia due to increased exports to European markets; however, the avocado is a climacteric fruit sensitive to chilling injury, reducing its shelf-life and affecting commercialization abroad. This research aimed to evaluate the effect of 1-methylcyclopropene, ethylene, and intermittent warming on chilling injury and postharvest behavior of avocado cv. Hass. Five treatments were evaluated: Control; Intermittent warming cycles of 4 days at 2 °C + 1 day at 18 °C; Intermittent warming cycles of 7 days at 2 °C + 1 day at 18 °C; 1-methylcyclopropene, and ethylene. The fruits were stored for 29 days at 2 °C and then up to 14 days in the shelf-life period. The intermittent warming treatment 4-days cycles reduced chilling injuries. However, this treatment increased weight loss, respiration, epidermal color index, and electrolyte leakage during the storage period at 2 °C. Intermittent warming showed that Hass avocado fruit ripens faster, regardless of the application of ethylene in the shelf-life period. The results indicated that intermittent warming reduced the chilling injury, the treatment with 1-methylcyclopropene delayed ripening but it is not recommended for avocado cv. Hass when stored at 2 °C because the chilling injury is not reduced.
Keywords: Chilling injury, postharvest quality, ripening, shelf-life.
RESUMEN: Persea americana, cv. Hass se ha convertido en un cultivo importante en Colombia debido al aumento de las exportaciones a los mercados europeos; sin embargo, el aguacate es una fruta climatérica sensible al daño por frío, que tiende a reducir su vida útil, afectando la comercialización en el exterior. Esta investigación tuvo como objetivo evaluar el efecto del 1-methylcyclopropene, el etileno y el calentamiento intermitente sobre el daño por frío y el comportamiento poscosecha del aguacate cv. Hass. Se evaluaron cinco tratamientos: Control; Calentamiento intermitente: ciclos de 4 dias a 2 °C + 1 dia a 18 °C; Calentamiento intermitente: ciclos de 7 dias a 2 °C + 1 día a 18 °C; 1-methylcyclopropeno, y etileno. Los frutos se almacenaron durante 29 días a 2 °C y luego hasta 14 días en el período de vida útil. El tratamiento de calentamiento intermitente con ciclos de 4 días redujo los daños por frío. Sin embargo, este tratamiento aumentó la pérdida de peso, la respiración, el índice de color de la epidermis y la fuga de electrolitos durante el período de almacenamiento a 2 °C. El calentamiento intermitente generó una maduración más rápida del fruto de aguacate Hass, independientemente de la aplicación de etileno en el período de vida útil. Los resultados indicaron que el calentamiento intermitente redujo el daño por frío, el tratamiento con 1-methylcyclopropene retrasó la maduración pero no se recomienda para el aguacate cv. Hass almacenado a 2 °C porque no se reduce el daño por frío.
Palabras clave: Daño por frío, calidad poscosecha, maduración, vida útil.
The avocado (Persea americana Mill) cv. Hass is a species in the Lauraceae family and has significant nutritional importance because of its high content of proteins, vitamins, and minerals, which have a beneficial effect on health (Bhuyan et al., 2019). Colombia is among the top eight world exporters of fresh avocado, with a promising socio-economic future (Arias and Moors, 2018; Ramírez-Gil et al., 2019).
Postharvest losses of perishable products worldwide can reach 60%, which is higher in developing countries (Yahida, 2020). Therefore, improved storage and preservation techniques are needed for these products, especially cold storage in avocados (Yahia and Woolf, 2011). Despite the open market in Colombia for exporting avocado cv. Hass (Ramírez-Gil et al., 2019), there are significant limitations in terms of storage since prolonged periods of storage at low temperatures can cause chilling injury by altering the stability of cell membranes and changing the lipid phase (Pesis et al., 2002; Woolf et al., 2003). The recommended storage temperatures for avocado are between 6 and 8 °C for 2 or 4 weeks (Woolf et al., 2003). Chilling injury symptoms can occur after 4 weeks of cold storage at about 6 °C, depending on different factors such as maturity stage and growing conditions (Munhuweyi et al., 2020). On the peel, skin pitting, scalding, water-soaked appearance, failure to ripen, blackening, off-flavor, and decay are symptoms identified (Yahia and Woolf, 2011; Munhuweyi et al., 2020). In the pulp, chilling injury symptoms are characterized by flesh browning and increased susceptibility to the pathogen (Yahia and Woolf, 2011).
Because of its high respiratory rate and high production of ethylene, which are typical in climacteric fruit, the avocado is highly perishable and not very tolerant to long periods of transport and storage. Therefore, it requires special postharvest handling to maintain its organoleptic quality, such as applications of maturity retardants (Arias and Moors, 2018). Applications of 1-methylcyclopropene (1-MCP) reduce the process of maturation that leads to tissue softening, disintegration of the cell wall, and degradation of pigments. This maturity retardant is one of the more efficient ones because it occupies cell receptors, blocking the signal transduction cascade that leads to the expression of genes related to responses to ethylene, but it also inhibits the synthesis of ethylene (Balaguera-López et al., 2021). The chilling injury severity was affected by a 1-MCP treatment (1 µL L-1) and stored in low oxygen in "Becon" avocados (Lurie and Pedreschi, 2014). Likewise, 1-MCP treatments have alleviated chilling injury in nectarine fruit through a reduction in the regulation of ROS and energy metabolism (Liu et al., 2018; Zhang et al., 2020). On the other hand, exogenous ethylene treatments have inhibited chilling injury by increasing proline and antioxidize activity content in pears (Wei et al., 2019).
To increase postharvest life and reduce losses, several studies recommend lowering the storage temperature, even around 2 °C, as was reported in avocado (Sivankalyani et al., 2015) and citrus fruits (Ghasemnezhad et al., 2008; Balaguera-López et al., 2019), however, this temperature causes chilling injury in several fruits of tropical and subtropical origin. Since the avocado is sensitive to chilling injury, heat treatments, such as intermittent warming, may be recommended for restorative action in fruit metabolism. Intermittent warming is a physically effective technique for decreasing chilling injury in many fruits (Liu et al., 2015). Intermittent warming consists of subjecting fruit to periodic rises in temperature during conventional cold storage and during the latency phase of alteration, with variable durations and intensity depending on the product. This treatment has been considered the most effective in minimizing chilling injury to plant organs (Sivankalyani et al., 2015), probably because of its ability to restore cell membranes altered by the cold, eliminating possible toxic metabolites accumulated in the cells, and tissue at low temperatures, or even favors the synthesis of some essential metabolites for cells (Heyes, 2018).
Affordable postharvest technologies are needed for producers with domestic and international production and marketing platforms that increase the useful life and reduce physiological damage in avocado fruit during storage. Therefore, the objective of this study was to evaluate the effect of 1-methylcyclopropene, ethylene, and intermittent warming on chilling injury and postharvest behavior of avocado fruit (Persea americana Mill) cv. Hass.
MATERIALS AND METHODS
Plant material, treatments, and storage conditions
The avocado fruits cv. Hass were at harvest maturity, in category 1 established by Colombian technical standard NTC 1248 and free of phytosanitary problems and mechanical damage. They were collected from a commercial crop in the village of "La Costa" in the municipality of Soata, Boyacá, located at 6°19'58" N, 72°41'02" W at 1900 masl with an average annual temperature of 20 °C. This study was carried out in the Plant Physiology laboratory of the Faculty of Agricultural Sciences of the Pedagogical and Technological University of Colombia, Tunja, located at 5 °32'25" N, 73°21'41" W at 2787 masl. The room temperature was 18 °C, and the relative humidity in the laboratory was 65%.
A completely randomized design was used, and the following thermal treatments were evaluated: T1: Control fruit (without treatment), T2: fruit subjected to intermittent warming with cycles of 4 days at 2 °C + 1 day at 18 °C (IW-4 d), T3: fruit subjected to intermittent warming with cycles of 7 days at 2 °C + 1 day at 18 °C (IW-7 d), T4: application of 1-MCP (0.035 µL L-1) and T5: application of ethylene (1000 µL L-1). Each treatment was repeated four times, for a total of 20 experiment units, and each experimental unit consisted of approximately 2 kg of fruit.
The fruits were disinfected using a 5% sodium hypochlorite solution and allowed to dry for 30 min. Then, the fruits with the 1-MCP treatments were immersed in a 0.014% EthylBloc and Ethylene solution. The immersion for the two treatments was 10 min in a 48% ethephon solution as an ethylene source (González et al. 2021); the fruits were allowed to dry and stored in refrigerators at 2 ± 0.5 °C without packaging for 29 days.
In the refrigeration period, the intermittent warming treatments were carried out according to the established cycles (4 and 7 days). After 29 days, the refrigeration period was suspended, and the fruits were left at room temperature (18 °C) to evaluate the shelf-life period.
Determination of weight loss, color, and respiratory rate
Non-destructive parameters, such as weight loss, color, and respiratory rate, were evaluated every 3 days. For the destructive parameters such as total soluble solids, total titratable acidity, and firmness, three readings were taken during the experiment. Table 1 shows the initial values of the destructive and non-destructive parameters in the avocado "Hass" before the storage period. The chilling injury was evaluated by the loss of total electrolytes at the beginning and end of the shelf-life and estimated by the chilling injury index.

For the respiration rate, the fruits were placed in a 2 L hermetic chamber for 5 min, where the CO2 emission product of respiration was determined by infrared CO2 sensors coupled to a data capture system called Labquest. The weight of the samples was recorded to finally express respiration in mg CO2 kg-1 h-1. For weight loss (WL, %), a sample of approximately 100 g of fruit was measured for fresh mass, and, subsequently, Eq (1) was used:

Where: W1=Initial fruit weight, and W2=Final fruit weight.
For the color of the epidermis and pulp, the CIELab system parameters "L*", "a*" and "b*" were determined at three equidistant points on the fruit using a CR-20 digital colorimeter (Konica Minolta). From these parameters, the color index (CI) was calculated by Eq (2) (González et al., 2021):

Evaluation of chilling injury index and electrolyte leakage
The chilling injury was evaluated at the end of the shelf-life using the chilling injury index (CII) according to Balaguera-López et al. (2019). The fruits were classified into different classes using a visual scale, and the following values were used: 0= no injury; 1= slight injury, up to 10% damaged surface; 2= medium injury, between 10 and 50% of the surface with spots and 3= severe injury, more than 50% of the surface affected with larger damages, Eq (3) was used:

For electrolyte leakage (EL, %), 10 cylinders were extracted from the fruit peel, 0.5 cm in diameter, with opposing orientations in each fruit sample. The pieces were placed in a test tube, and 30 mL of deionized water was added. The test tubes were vortexed for 1 min. The initial electrical conductivity (ECi) was measured by a digital conductivity meter (HI 9835 Hanna® - ICT, SL, range 0-29.9 µS cm-1, precision±0.05 µS cm-1). Subsequently, the tubes were incubated in a water bath for 15 min at 100 °C to extract all released electrolytes, then the final electrical conductivity (ECf) was measured. The electric conductivity values were expressed as a percentage of the highest value following Eq (4).

Determination of firmness, total acidity, and total soluble solids
For firmness (N), two measurements were taken in the equatorial zone of the fruit using a digital penetrometer (PCE-PTR200, range 0-200 N, precision±0.5 %) with a 6 mm strut. The total acidity (TA, % malic acid) was quantified using an acid-base titration applying NaOH (0.1 N) by a digital burette, using 5 g of pulp and phenolphthalein as indicator. The total soluble solids (TSS, %) were recorded with a Hanna brand digital refractometer with a range of 0 to 85% and a precision of 0.1%
Statistical analysis
The data analysis was performed by SPSS version 19. The tests of normality (Shapiro-Wilk test) and homogeneity of variances (Levene's test) were determined after the previous assumptions; an analysis of variance was carried out with a subsequent Tukey's multiple range comparison test (P≤0.05).
RESULTS AND DISCUSSION
Cold storage
The avocado fruit weight loss increased with storage time and warming treatments (P<0.05). In general, there were no differences in weight loss between the control and the 1-MCP and ethylene treatments for each day of evaluation up to 5% loss on day 29. Intermittent warming is widely used to maintain the quality of climacteric fruit as Xi et al. (2012) reported for peaches (Prunus persica). In this study, the avocado fruit showed higher weight loss in the IW-4 d and IW-7 d treatments, 11 and 9%, respectively (Figure 1A). Mandarin (Citrus reticulata) fruit with IW treatments generated greater weight loss, associated with higher transpiration rates and higher respiratory rates (Balaguera-López and Palacios, 2018). In the case of the fruit treated with 1-MCP, the loss was expected to be lower because this compound interacts with ethylene receptors, blocking ethylene-dependent responses that occur during ripening (Yudou et al., 2019). The opposite occurred in this study, where the 1-MCP treatment did not significantly affect weight loss, possibly because the reduction in storage temperature declined the retardant's effectiveness (Blankenship and Dole, 2003).

The respiration rate decreased at the beginning of cold storage and then remained low during storage in all fruits, except those with intermittent warming because low temperatures affect enzyme kinetics (Ho et al., 2020). It has been reported that refrigeration is used to decrease the respiratory rate, preserve fruit quality, and delay senescence since, this decrease in respiration reduces the metabolic and enzymatic activity of fruit (González et al., 2021). In the IW-4 d treatment, the avocado fruit produced a high respiration rate over 23 days of storage. Similarly, the IW-7 d avocado fruit increased the respiration rate over 17 and 26 storage days (Figure 1B). These increases are due to changes in room temperature, as it has been reported for mandarins using intermittent warming (Balaguera-López and Palacios, 2018). Intermittent warming increases the respiration rate and free energy of water molecules, which increases their movement and exchange potential.
Ethylene has a close relationship with the respiratory rate of fruit. Therefore, 1-MCP applications are effective in reducing the respiratory rate of different fruit, as reported for tomato and avocado (Choi and Huber, 2008). Nevertheless, in this study on avocado fruit with storage at 2 °C, there was no effect of 1-MCP or ethylene on the respiratory rate, possibly because of the low temperature.
The color index (CI) in the epidermis showed statistical differences only after 23, 26, and 29 storage days of storage. The highest CI was obtained in the treatments IW-4 d (5.96) and IW-7 d (-2.19). The results of the intermittent warming agree with previous reports where changes in temperature resulting from interruptions in refrigeration normalized metabolic activity, chlorophyll degradation, and synthesis of anthocyanins as an indicator of ripening in avocado Hass fruit (Corrales-García et al., 2019). The CI of the epidermis of avocado fruit in the Control, 1-MCP, and Ethylene treatments did not change significantly (Figure 1C). Cold storage at 2 °C efficiently reduced the metabolic activity related to color change in avocados, to the point that there is no effect of ethylene or 1-MCP. However, some studies have shown that 1-MCP decreases chlorophyllase activity and decreases chlorophyll losses (Sun et al., 2012).
On the other hand, the pulp CI in the ethylene treatment had the highest value (-0.8), with the lowest value in the 1-MCP treatment (-1.9; Figure 2A). Lower values may be associated with a lower loss of chlorophyll as a result of a reduction in chlorophyllase activity as a result of 1-MCP treatments (Sun et al., 2012). Otherwise, ethylene has been reported to accelerate the degradation of chlorophyll and to be involved in the expression of pigments-encoding genes during ripening (Rodrigo and Zacarias, 2007).

Cell membrane stability, measured as the percentage of electrolyte leakage (EL), at the end of storage in the epidermis tissue of avocado fruit is shown in Figure 2B. The EL was lower in the 1-MCP (22%) and Ethylene (20%) treatments. Throughout maturation and senescence and under stress, a series of oxidative metabolic processes take place that affects the structure of cell membranes, altering their permeability and causing cellular dysfunctions, including the uncontrolled flow of electrolytes (Dai et al., 2021). Otherwise, the fruit with the greatest EL was subjected to IW-4 d (47%) and IW-7 d (48%; Figure 2B). Studies on mandarin and peach fruit with intermittent warming treatments show a decrease in electrolyte leakage (Liu et al., 2018; Balaguera-López et al., 2019).
In this experiment, clear differences were observed in firmness during storage (Table 2). The greatest reduction in firmness was observed with IW-4 d (13.98±1.74 N) and IW-7 d (15.20±3.29 N) treatments. It has been suggested that this process is due to changes in carbohydrate metabolism and the action of hydrolases in the cell wall, such as polygalacturonase, which could be associated with an increase in ethylene production in fruit preserved in the cold and later removed to room temperature (Smith et al., 2002). Zhu et al. (2010) reported less firmness in peaches, explaining that the IW exposed fruit to one or more cycles of warm temperature during refrigerated storage, which also promoted ripening and quick softness.

The firmness in the Control, 1-MCP, and Ethylene treatments did not have significant differences and exhibited the highest value (Table 2). This indicated that, at low temperatures, these plant regulators did not have an effect, as reported by González et al. (2021) for 1-MCP in Campomanesia lineatifolia fruit stored at 2 °C. In avocado cv Hass fruit stored at 1 °C, Sivankalyani et al. (2015) also found no differences in firmness with 1-MCP.
The total soluble solids (TSS) were higher in the IW-4 d and IW-7 d treatments, which remained below 4%. The increased TSS in the warming treatments indicated a greater maturation process and sensory quality in the fruit (Rodrigues et al., 2020). In the Control, 1-MCP, and ethylene, the value was below 3%. This may be related to the reduced activity of 1-MCP and ethylene, as a result of the low storages temperatures (Blankenship and Dole, 2003). However, the treatments did not affect the total acidity (Table 2), in control, 1-MCP and ethylene, fruits showed low metabolism in the Krebs cycle by storage at 2 °C, while with the warming treatment the synthesis of organic acids may be temporarily increased, but also its degradation due to the greater respiratory metabolism in these fruits.
Shelf-life period
The fruit treated with intermittent warming 4 or 7 days, reached ripening at 4 days of the shelf-life, and for control fruit and those with ethylene was reached at 9 days. For 1-MCP, the ripening was reached at 14 days (Figure 3). The shorter shelf-life with intermittent warming may have been related to the increase in ethylene production in fruit preserved in cold and later removed to room temperature (Smith et al., 2002), a process that accelerates metabolism and maturation. Liu et al. (2018) indicated that IW might lead to some side effects in peaches and limit their shelf-life storage.

On the contrary, the avocados treated with 1-MCP lasted longer because this compound inhibits the perception and synthesis of ethylene (Balaguera-López et al., 2021) and, therefore, the ripening process. Daulagala et al. (2015) found that the 1-MCP treatment doubled the fruit shelf-life in avocado cv 'pollock', from 4 days to 9 days compared to the control.
A progressive increase in the respiration rate was observed. The highest respiration was obtained in the fruit subjected to ethylene, and the lowest was in the fruit with 1-MCP, although the respiratory rate in the intermittent warming treatments was not the highest in the shelf-life period. The fruit that had a higher value during storage had a shorter duration (Figure 3A). This representative increase in shelf-life was due to the reconditioning of the fruit at room temperature in the storage period since this temperature change normalizes the metabolic processes, including respiration. Avocado ripening is associated with an increase in respiration rate, which is favored by the internal production or the external application of ethylene (Feng et al., 2000), which explains the higher respiratory rate in fruit subjected to ethylene.
Ethylene has a close relationship with the respiratory process of the fruit. For this reason, 1-MCP applications are effective at reducing the respiratory rate of fruit since it affects biosynthesis, signaling, and processes that depend on ethylene during ripening (Blankenship and Dole, 2003; González et al., 2021), as was reported by some authors using avocados (Pesis et al., 2002; Munhuweyi et al., 2020).
The CI in the epidermis presented statistical differences throughout the shelf-life period. The highest index at the end of the shelf-life was obtained by fruit with ethylene (57.9), followed by fruit treated with 1-MCP. However, the CI of the fruit treated with intermittent warming had lower values (12.1) (Figure 3B). The pulp CI in the fruit with 1-MCP had the highest value (Figure 4A). These higher values in the color index were associated with browning, caused by chilling injury on the epidermis and in the pulp (Figure 5).


In the shelf-life period, 1-MCP retarded the avocado fruit ripeness, where firmness had values of 60.76±1.28 N (Table 3). This delay in softening was attributed to the inhibition of the enzymes involved in the degradation of the cell wall, such as cellulase and pectinmethyl esterase, polygalacturonase, 1,4-β-D-glucanase, β-galactosidase, exopolygalacturonase, endopolygalacturonase, and pectin esterase (Feng et al., 2000; Jeong et al., 2002). Thus, the firmness did not have significant differences between the Control, Ethylene, and IW treatments. Tomato fruit treated with 1-MCP was firmer than control, and the polygalacturonase activity was suppressed (Choi et al., 2008). In avocado cv Hass, 1-MCP delayed the loss of firmness and decreased the activity of polygalacturonase and cellulase enzymes; on the other hand, the application of ethylene had the opposite effect (Feng et al., 2000).

TSS evaluation in the shelf-life, the fruit submitted to IW-7 d and 1-MCP had TSS values of 3.60±0.21% and 2.63±0.19%, respectively. The shelf-life period increased the SST content compared to the refrigeration period. This increase could be due to a high concentration of sugars, coming from the degradation of pectin, which is more concentrated because of the fruit dehydration that results from an accelerated ripening process induced by a temperature change (Botía-Niño et al., 2008). Similar results were observed in curuba fruit (Passiflora tripartita var. mollissima) because of interrupted refrigerated storage (Botía-Niño et al., 2008). An increase in the concentration of soluble sugars depends on the production of ethylene, which explains the observations in the ethylene treatment and the IW treatments. 1-MCP can affect carbohydrate metabolism, which manifests as a slower increase in the concentration of soluble sugars. However, the TA was not significantly affected by the treatments (Table 3), indicating that the metabolism of organic acids at consumption maturity is not affected.
The electrolyte leakage had statistical differences (P<0.05). The intermittent heating treatments reduced this parameter, while the 1-MCP released more electrolytes (Figure 4B). Damage to the membrane during cold storage was due to increased lipid peroxidation, where unsaturated fatty acids are affected by reactive oxygen species (Ma et al., 2014; Liu et al., 2018). However, with the intermittent warming, the electrolyte leakage was lower in the shelf-life period (Figure 4B). In peaches, IW reduced electrolyte leakage and mitigated chilling injury by increasing antioxidant activity; 1-MCP also generated these same results (Liu et al., 2018).
Chillin injury index
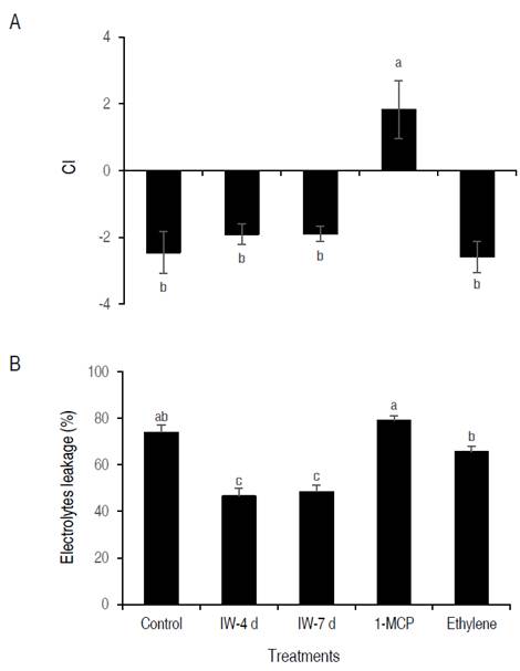
High chilling injury index values in the Hass avocado fruit pulp were obtained in the 1-MCP treatment (P<0.05), without differences from the control, Ethylene and IW-7 d treatments. The fruits in the IW-4 d treatment obtained the lowest value (Figure 5A). In the epidermis, the highest index was obtained in the fruit with ethylene, 1-MCP and the control. The lowest index was observed in the fruit with IW-4 d and IW-7 d (Figure 5B). Liu et al. (2018) emphasized that, if the exposure to cold is finished and the temperature rises above the critical temperature, the tissue recovers from the metabolic imbalance, or the development of visible symptoms of damage is accelerated (if a long time has passed under the critical temperature). Therefore, these results showed that avocado cv. Hass is sensitive to chilling injury when stored at 2 °C (Figure 5). Sivankalyani et al. (2015) found chilling injury in avocado cv Hass fruit stored at 1 °C, which decreased with applications of 1-MCP. Woolf et al. (2020) reported apparent symptoms of critical chilling at 13 °C, including pulp browning.
The fruit treated with intermittent warming was efficient in reducing the chilling injury although not completely, which was more effective with IW-4d (Figure 5). Therefore, the thermal treatment may have generated tolerance to chilling in the avocado cv Hass fruit through the modulation of the antioxidant systems, which can prevent the accumulation of reactive oxygen spices, as was reported by Ma et al. (2014). Liu et al. (2018) indicated that IW was more effective in reducing chilling injury than 1-MCP in peaches stored at 2 °C. Likewise, Balaguera-López et al. (2019) reported that intermittent warming for 1 day at 18 °C and for 12 days at 2 °C reduced chilling injury in "Arrayana" mandarins.
In addition, treatments with intermittent warming for pear cv. "Nanguo" decreased peel browning after cold storage, while providing a higher ATP supply and energy charge, which were the result of the higher enzyme activity; this treatment also increased the gene expression of transcripts for ATP synthase, NADH dehydrogenase, and vacuolar proton-inorganic pyrophosphatase (Wang et al., 2018).
Studies on avocado cv. Strong have shown a partial response since fruit treated with 1-MCP showed a reduction in chilling injury in the pulp (Pesis et al., 2002), with no effect on browning of the epidermis (Woolf et al., 2003). However, in this study, there was a high estimation of chilling injury in the pulp and epidermis, which showed that the effect varied greatly according to the variety and dose of the product (Blankenship and Dole, 2003). However, the internal browning and development of reddish colorations in the pulp of apricots, peaches, or some varieties of plum, among others, increased significantly during cold storage when treated with 1-MCP (Liu et al., 2011; Wei et al., 2019). Although the theoretical basis by which sensitivity to chilling injury is increased is not known, a certain amount of ethylene would be necessary to alleviate the incidence of this damage associated with the immaturity of the product (Heyes, 2018; Wei et al., 2019).
The effects of ethylene and 1-MCP on chilling injury depend on the species and variety. Thus, ethylene treatments accelerate the symptoms of chilling injury in avocados (Pesis et al., 2002), and 1-MCP can reduce chilling injury in persimmon (Salvador et al., 2004). Therefore, although ethylene seems to be involved in the development of chilling injury in climacteric and non-climacteric fruit, the mechanisms and results of its actions do not seem to be the same in all species and varieties (Salvador et al., 2004).
CONCLUSIONS
Avocado fruits stored at 2 °C extend their shelf life, but some treatment should be used to alleviate chilling injury. The intermittent warming was favorable in the postharvest avocado cv. Hass because it reduced the chilling injury, mainly intermittent warming with a 4 days cycle; however, this treatment increased the weight loss, respiratory rate, epidermis color index, and electrolyte leakage during storage at 2 °C. In the shelf-life period, the intermittent warming resulted in a faster ripening process, even with the application of ethylene. 1- MCP is not recommended for use on avocado cv. Hass fruit when stored at 2 °C even though, it delays ripening, mainly during shelf-life, because it does not decrease chilling injury.
REFERENCES
Arias Bustos C and Moors E.H.M. 2018. Reducing post-harvest food losses through innovative collaboration: Insights from the Colombian and Mexican avocado supply chains. Journal of Cleaner Production 199: 1020-1034. https://doi.org/10.1016/j.jclepro.2018.06.187
Balaguera-López HE, Espinal-Ruiz M, Rodríguez-Nieto JM, Herrera-Arévalo A and Zacarías L. 2021. 1-Methylcyclopropene inhibits ethylene perception and biosynthesis: A theoretical and experimental study on cape gooseberry (Physalis peruviana L.) fruits. Postharvest Biology and Technology 174. https://doi.org/10.1016/j.postharvbio.2021.111467
Balaguera-López HE, Ortega EAP and Consuegra SAL. 2019. Effects of thermal treatments on chilling injury and shelf life time of Citrus reticulata Blanco. Pesquisa Agropecuaria Tropical 49: e56821. https://doi.org/10.1590/1983-40632019v4956821
Balaguera-López HE and Palacios E.A. 2018. Postharvest behavior of mandarin fruits (Citrus reticulata Blanco) var. Arrayana: effect of different thermal treatments. Revista Colombiana de Ciencias Hortícolas 12(2): 369-378. https://doi.org/10.17584/rcch.2018v12i2.7702
Bhuyan DJ, Alsherbiny MA, Perera S, Low M, Basu A, Devi OA, Barooah MS, Li CG and Papoutsis K. 2019. The odyssey of bioactive compounds in avocado (Persea Americana) and their health benefits. Antioxidants 8(10): 426. https://doi.org/10.3390/antiox8100426
Blankenship SM and Dole J.M. 2003. 1-methylcyclopropene: A review. Postharvest Biology and Technology 28(1):1-25. https://doi.org/10.1016/S0925-5214(02)00246-6
Botía-Niño YC, Almanza-Merchán P and Balaguera-López HE. 2008. Efecto de la temperatura sobre la maduración complementaria en curuba (Passiflora mollissima Bailey). Revista U.D.C.A Actualidad & Divulgación Científica 11(2): 187-196. https://doi.org/10.31910/rudca.v11.n2.2008.635
Choi ST and Huber DJ. 2008. Influence of aqueous 1-methylcyclopropene concentration, immersion duration, and solution longevity on the postharvest ripening of breaker-turning tomato (Solanum lycopersicum L.) fruit. Postharvest Biology and Technology 49(1): 147-154. https://doi.org/10.1016/j.postharvbio.2008.01.003
Choi ST, Tsouvaltzis P, Lim CIl and Huber DJ. 2008. Suppression of ripening and induction of asynchronous ripening in tomato and avocado fruits subjected to complete or partial exposure to aqueous solutions of 1-methylcyclopropene. Postharvest Biology and Technology 48(2): 206-214. https://doi.org/10.1016/j.postharvbio.2007.10.008
Corrales-García JE, del Rosario García-Mateos M, Martínez-López E, Barrientos-Priego AF, Ybarra-Moncada MC, Ibarra-Estrada E, Méndez-Zúñiga SM and Becerra-Morales D. 2019. Anthocyanin and oil contents, fatty acids profiles and antioxidant activity of mexican landrace avocado fruits. Plant Foods for Human Nutrition 74(2): 210-215. https://doi.org/10.1007/s11130-019-00721-1
Dai H, Wang Y, Ji S, Kong X, Zhang F, Zhou X and Zhou Q. 2021. Effect of intermittent warming on the quality and lipid metabolism of blueberry (Vaccinium corymbosum L., cv. Duke) Fruit. Frontiers in Plant Science 11:590928. https://doi.org/10.3389/fpls.2020.590928
Daulagala C and Daundasekera WAM. 2015. Effect of 1-methylcyclopropene (1-MCP) treatment on postharvest quality and antifungal activity of avocado cv.'pollock'under tropical storage conditions. Ceylon Journal of Science (Bio. Sci.) 44 (2): 75-83. https://doi.org/10.4038/cjsbs.v44i2.7352
Feng X, Apelbaum A, Sisler EC and Goren R. 2000. Control of ethylene responses in avocado fruit with 1-methylcyclopropene. Postharvest Biology and Technology 20(2): 143-150. https://doi.org/10.1016/S0925-5214(00)00126-5
González AK, González-Martínez LF, Córdoba LD, Rincón P and Balaguera-López HE. 2021. Regulating the postharvest life of Campomanesia lineatifolia R. & P. fruits through the interaction of ethylene, 1-methylcyclopropene and low temperatures. Revista Colombiana de Ciencias Hortícolas 15(2): e12499. https://doi.org/10.17584/rcch.2021v15i2.12499
Ghasemnezhad M, Marsh K, Shilton R, Babalar M and Wolf A.. 2008. Effect of hot water treatments on chilling injury and heat damage in 'satsuma' mandarins: Antioxidant enzymes and vacuolar ATPase, and pyrophosphatase. Postharvest Biology and Technology . 48: 364-371. https://doi.org/10.1016/j.postharvbio.2007.09.014
Heyes JA. 2018. Chilling Injury in Tropical Crops after Harvest. Annual Plant Reviews 1: 1-31. https://doi.org/10.1002/9781119312994.apr0605
Ho PL, Tran DT, Hertog MLA and Nicolaï BM. 2020. Modelling respiration rate of dragon fruit as a function of gas composition and temperature. Scientia Horticulturae 263: 109138. https://doi.org/10.1016/j.scienta.2019.109138
Jeong J, Huber DJ and Sargent SA. 2002. Influence of 1-methylcyclopropene (1-MCP) on ripening and cell-wall matrix polysaccharides of avocado (Persea americana) fruit. Postharvest Biology and Technology 25(3): 241-256. https://doi.org/10.1016/S0925-5214(01)00184-3
Liu H, Jiang W, Cao J and Ma L. 2018. A combination of 1-methylcyclopropene treatment and intermittent warming alleviates chilling injury and affects phenolics and antioxidant activity of peach fruit during storage. Scientia Horticulturae 229: 175-181. https://doi.org/10.1016/j.scienta.2017.11.010.
Liu H, Song L, You Y, Li Y, Duan X, Jiang Y, Joyce DC, Ashraf M and Lu W. 2011. Cold storage duration affects litchi fruit quality, membrane permeability, enzyme activities and energy charge during shelf time at ambient temperature. Postharvest Biology and Technology 60(1): 24-30. https://doi.org/10.1016/j.postharvbio.2010.11.008
Liu M, Pirrello J, Chervin C, Roustan JP and Bouzayen M. 2015. Ethylene control of fruit ripening: Revisiting the complex network of transcriptional regulation. Plant Physiology 169(4): 2380-2390. https://doi.org/10.1104/pp.15.01361
Lurie S and Pedreschi R. 2014. Fundamental aspects of postharvest heat treatments. Horticulture Research. https://doi.org/10.1038/hortres.2014.30
Ma Q, Suo J, Huber DJ, Dong X, Han Y, Zhang Z and Rao J. 2014. Effect of hot water treatments on chilling injury and expression of a new C-repeat binding factor (CBF) in "Hongyang" kiwifruit during low temperature storage. Postharvest Biology and Technology 97: 102-110. https://doi.org/10.1016/j.postharvbio.2014.05.018
Munhuweyi K, Mpai S and Sivakumar D. 2020. Extension of avocado fruit postharvest quality using non-chemical treatments. Agronomy 10(2): 212. https://doi.org/10.3390/agronomy10020212
Pesis E, Ackerman M, Ben-Arie R, Feygenberg O, Feng X, Apelbaum A, Goren R and Prusky D. 2002. Ethylene involvement in chilling injury symptoms of avocado during cold storage. Postharvest Biology and Technology 24(2): 171-181. https://doi.org/10.1016/S0925-5214(01)00134-X
Ramírez-Gil JG, Franco G and Henao-Rojas JC. 2019. Review of the concept of quality in Hass avocado and the pre-harvest and harvest factors that determine it under tropical conditions. Revista Colombiana de Ciencias Hortícolas 13(3): 359-370. https://doi.org/10.17584/rcch.2019v13i3.10503
Rodrigo MJ and Zacarias L. 2007. Effect of postharvest ethylene treatment on carotenoid accumulation and the expression of carotenoid biosynthetic genes in the flavedo of orange (Citrus sinensis L. Osbeck) fruit. Postharvest Biology and Technology 43(1): 14-22. https://doi.org/10.1016/j.postharvbio.2006.07.008
Rodrigues C, Gaspar PD, Simões MP, Silva PD and Andrade LP. 2020. Review on techniques and treatments toward the mitigation of the chilling injury of peaches. Journal of Food Processing and Preservation 00:e14358. https://doi.org/10.1111/jfpp.14358
Salvador A, Arnal L, Monterde A and Cuquerella J. 2004. Reduction of chilling injury symptoms in persimmon fruit cv. "Rojo Brillante" by 1-MCP. Postharvest Biology and Technology 33(3): 285-291. https://doi.org/10.1016/j.postharvbio.2004.03.005
Sivankalyani V, Feygenberg O, Maorer D, Zaaroor M, Fallik E and Alkan N. 2015. Combined treatments reduce chilling injury and maintain fruit quality in avocado fruit during cold quarantine. PLoS ONE 10(10): e0140522. https://doi.org/10.1371/journal.pone.0140522
Smith DL, Abbott JA and Gross KC. 2002. Down-regulation of tomato β-galactosidase 4 results in decreased fruit softening. Plant Physiology 129(4): 1755-1762. https://doi.org/10.1104/pp.011025
Sun B, Yan H, Liu N, Wei J and Wang Q. 2012. Effect of 1-MCP treatment on postharvest quality characters, antioxidants and glucosinolates of Chinese kale. Food Chemistry 131(2): 519-526. https://doi.org/10.1016/j.foodchem.2011.09.016
Wang YW, Malladi A, Doyle J, Scherm H and Nambeesan S. 2018. The effect of ethephon, abscisic acid, and methyl jasmonate on fruit ripening in rabbiteye blueberry (Vaccinium virgatum). Horticulturae 4(3): 24. https://doi.org/10.3390/horticulturae4030024
Wei C, Ma L, Cheng Y, Guan Y and Guan J. 2019. Exogenous ethylene alleviates chilling injury of 'Huangguan' pear by enhancing the proline content and antioxidant activity. Scientia Horticulturae 257: 108671. https://doi.org/10.1016/j.scienta.2019.108671
Woolf A, Arpaia M, Defilippi B and Bower J. 2020. Chapter 18.1 - Subtropical fruits: Avocados. In controlled and modified atmospheres for fresh and fresh-cut produce, pp. 389-397. https://doi.org/10.1016/B978-0-12-804599-2.00026-0
Woolf AB, Cox KA, White A and Ferguson IB. 2003. Low temperature conditioning treatments reduce external chilling injury of "Hass" avocados. Postharvest Biology and Technology 28(1): 113-122. https://doi.org/10.1016/S0925-5214(02)00178-3
Xi WP, Zhang B, Shen JY, Sun C, Xu C and Song K. 2012. Intermittent warming alleviated the loss of peach fruit aroma-related esters by regulation of AAT during cold storage. Postharvest Biology and Technology 74: 42-48. https://doi.org/10.1016/j.postharvbio.2012.07.003
Yahia E and Woolf A. 2011. Avocado (Persea americana Mill.). pp.125-185. In: Yahia E. (ed). Postharvest Biology and Technology of Tropical and Subtropical Fruits. Volume 2. Acai to citrus. Woodhead Publishing ltd. Cambridge 560 p.
Yahida E. 2020. Preventing food losses and waste to achieve food security and sustainability. Burleigh Dodds Science Publishing, 852 p.
Yudou C, Liu L, Feng Y, Dong Y and Guan J. 2019. Effects of 1-MCP on fruit quality and core browning in 'Yali' pear during cold storage. Scientia Horticulturae 243: 350-356. https://doi.org/10.1016/j.scienta.2018.08.041
Zhang W, Zhao H, Jiang H, Xu Y, Cao J and Jiang W. 2020. Multiple 1-MCP treatment more effectively alleviated postharvest nectarine chilling injury than conventional one-time 1-MCP treatment by regulating ROS and energy metabolism. Food Chemistry 330: 127256. https://doi.org/10.1016/j.foodchem.2020.127256
Zhu LQ, Zhou J and Zhu SH. 2010. Effect of a combination of nitric oxide treatment and intermittent warming on prevention of chilling injury of "Feicheng" peach fruit during storage. Food Chemistry 121(1): 165-170. https://doi.org/10.1016/j.foodchem.2009.12.025