Artículos
Impact of light conditions on the early development of Cinchona officinalis
Impacto de las condiciones lumínicas en el desarrollo temprano de Cinchona officinalis
Impact of light conditions on the early development of Cinchona officinalis
Revista Facultad Nacional de Agronomía Medellín, vol. 77, no. 1, pp. 10659-10666, 2024
Facultad de Ciencias Agrarias - Universidad Nacional de Colombia
Received: 30 August 2023
Accepted: 26 October 2023
ABSTRACT: Cinchona officinalis, a native plant species known in Peru as the cinchona tree, has civic importance because it represents the plant wealth of this nation and medicinal importance since it was for more than 300 years the only cure for malaria, and is currently threatened. The aim was to determine the effect of light conditions on the percentage of mortality, height increase, and diameter increase of Cinchona officinalis. In the community of La Cascarilla (5°39'48.87 "S 78°54'35.24 "W), two treatments were installed, forest massif (FM) and enrichment bands (EB). For each treatment, three replicates and 16 plants per replicate were used. Monthly evaluations were carried out in which the number of dead plants, plant height, and diameter were recorded. These parameters were correlated with precipitation, temperature, and photoperiod records of the study area. The results showed that mortality in FM was 27.1% higher than that reported in EB, while the increase in height and diameter increment in the FM plot was 45.5 and 25.1% higher than that obtained in EB. In addition, a negative correlation was observed between the percentage of mortality and precipitation (rs=-0.54), and between the increase in height and diameter increment with the maximum temperature (rs=-0.73 and rs=-0.60, respectively) for the FM treatment, while for the EB treatment, there was a negative correlation between the increase in height and precipitation (rs=-0.55) and a positive correlation between the diameter increment and the minimum temperature (rs=0.53). In general, shaded conditions allow a higher survival rate at the cost of reducing height and diameter increment.
Keywords: Cinchona tree Enrichment bands, Forest massif, Forest plantation, Site conditions.
RESUMEN: Cinchona officinalis, es una especie vegetal nativa conocida en Perú como árbol de la quina, tiene una importancia cívica porque representa la riqueza vegetal de esta nación y una importancia medicinal puesto que fue por más de 300 años la única cura para la malaria, y actualmente se encuentra amenazada. El objetivo fue determinar el efecto de las condiciones de luz sobre el porcentaje de mortalidad, incremento en altura e incremento diamétrico de Cinchona officinalis. En la comunidad de La Cascarilla (5°39'48,87"S 78°54' 35,24"O) se instaló dos tratamientos, mediante macizo forestal (FM) y fajas de enriquecimiento (EB). Para cada tratamiento se empleó tres repeticiones y 16 plantas por repetición. Se realizaron evaluaciones mensuales en las que se registró el número de plantas muertas, altura de la planta y diámetro. Estos parámetros se correlacionaron con registros de precipitación, temperatura y fotoperíodo de la zona de estudio. Los resultados mostraron que la mortandad en FM fue un 27,1% superior a lo reportado en EB, mientras que el incremento en altura e incremento diamétrico en la parcela FM fue un 45,5 y 25,1% superior a lo obtenido en EB. Además, se observó una correlación negativa entre el porcentaje de mortandad y la precipitación (rs=-0,54), y entre el incremento en altura e incremento diamétrico con la temperatura máxima (rs=-0,73 y rs=-0,60, respectivamente) para el tratamiento FM, mientras que para el tratamiento EB, se observó que existe correlación negativa entre el incremento en altura con la precipitación (rs=-0,55) y existe una correlación positiva entre el incremento diamétrico y la temperatura mínima (rs=0,53). En general, las condiciones de sombra permiten una mayor tasa de sobrevivencia a costa de reducir su incremento en altura y diámetro.
Palabras clave: Árbol de la quina, Fajas de enriquecimiento, Macizo forestal, Plantación forestal, Condiciones de sitio.
Peru is one of the most megadiverse countries on the planet (Rodríguez and Young 2000), which is home to several very important medicinal and food plants (De-la-Cruz et al. 2007), among them is the cinchona tree (Cinchona officinalis), which has great importance for the country since it represents its plant wealth (Álvarez 2013); in addition, C. officinalis has medicinal importance because it contains alkaloids that were used for more than 300 years as the only cure for malaria (Bharadwaj et al. 2018). Cinchona alkaloids are considered to be the most influential tree bark-derived medicine in human history (Prendergast and Dolley 2001).
Different studies report that C. officinalis requires specific conditions to develop, in addition to the fact that its distribution range is limited (Armijos-González and Pérez-Ruiz 2016). In Peru, C. officinalis is found in Andean Forest areas, specifically in the Cajamarca and Piura regions (Huamán et al. 2019). As of 2023, the habitat of C. officinalis is being degraded by various factors, most notably agriculture, and cattle ranching (Fernandez et al. 2022; Huamán et al. 2019); in addition, C. officinalis has little natural regeneration due to its low germination capacity (Valdiviezo et al. 2018), these conditions make it difficult to locate large populations in natural forests (Huamán et al. 2019), leading to the prioritization of the conservation and recovery of C. officinalis in Peru (Albán-Castillo et al. 2020).
Similarly, to other crops, C. officinalis depends on growing conditions around the plant and efficient light capture (Asare et al. 2017). This second factor has a direct effect on the primary metabolism of plants influencing: morphology, cell growth, and resource allocation (Bastías and Corelli-Grappadelli 2012); in addition, light properties have a direct effect on the production of secondary metabolites (Sivakumar et al. 2017). Light is a very necessary abiotic resource for the growth and development of plant species (Wang et al. 2019), low light conditions can limit the synthesis of some defenses by limiting carbon uptake (Calder et al. 2011). In addition, shaded conditions can generate metabolic changes and imbalances in the photosynthesis process, which implies limiting plant growth (Huang et al. 2018).
However, there are other studies indicating that shade-grown crops tend to reduce the negative impacts generated by high temperatures (Mensah et al. 2022) because they reduce radiation load, leaf temperature, and water stress (Fernández-Milmanda and Ballaré 2021). In addition, shade can even improve photosynthetic efficiency under high-temperature conditions (Mensah et al. 2022). In addition, shade goes so far as to reduce soil temperature during the day (Aguiar et al. 2019) and contributes to the improvement of physiological performance (Mensah et al. 2022). The effects on the physiology of shade on C. officinalis are still unclear so the line of research should be pursued. For example, it has been reported that, in agroforestry systems, shade levels between 30 and 50% increase yields in cocoa plantations (Asare et al. 2017).
Under this context, this research aimed to determine the effect of light conditions on the percentage of mortality, height increase, and diameter increase of C. officinalis plants installed in the final field using a forest massif (FM) and enrichment bands (EB).
MATERIALS AND METHODS
Study area
The research was carried out from October 2021 to April 2022. The study area is located at 2,000 m (Figure 1), 1.5 km northwest of the community La Cascarilla (5°40'21.03"S and 78°53'53.90"W), province of Jaén, Peru. The annual precipitation is 1,730 mm, the minimum temperature is 13 °C, and the maximum is 20.5 °C (Fernandez and Huaccha 2022).

Two 25 x 25 m plots were installed, one plot was installed in the absence of shade which was called "forest massif (FM)" and the other plot was installed under the forest canopy which was called "enrichment belts (EB)". The plants were planted at a 3 x 3 m distance. The holes were 30 x 30 x 30 cm. Each plot consisted of three blocks of 16 plants per block.
Measurements
To determine the performance of C. officinalis plants in the two planting conditions, monthly monitoring was carried out for six months to record the number of dead plants, plant height (from the ground to the apex of the plants), and diameter (measured with a digital vernier at ground level).
Abiotic factors
To relate the growth variables of C. officinalis with some abiotic factors, photoperiod data extracted from the National Oceanic and Atmospheric Administration (NOAA), precipitation (mm), maximum, minimum, and mean temperature (°C) collected from the meteorological station La Cascarilla (5°40'18.3'' S and 78°53'51.6'' W) belonging to the National Service of Meteorology and Hydrology (SENAMHI) of Peru, located at 1.5 km southeast in a straight line from the study area.
Data analysis
Normality (Shapiro Wilk) and homogeneity of variances (Levene) were verified, and then regression analysis was performed to determine the relationship between mortality, height increment, and diameter increment concerning the number of days after planting in the final field of C. officinalis plants. Pearson's correlation test was used to relate the growth variables (mortality, height increment, and diameter increment) with temperature, precipitation, and photoperiod. The mean of each growth variable was used with the mean of the average temperature, minimum, maximum, monthly precipitation, and photoperiod for the months of study, using Rstudio software.
RESULTS AND DISCUSSION
The soil characterization analysis showed that the pH presented similar values in the two experimental plots, qualified in both cases as strongly acidic. The percentage content of organic matter (OM), phosphorus (P), potassium (K), and magnesium (Mg) was higher in the EB plot, while the cation exchange capacity (CEC), calcium (Ca), and sodium (Na) presented higher values in the FM plot (Table 1).

Finally, the textural classification for EB was sandy loam, while for FM it was sandy clay loam.
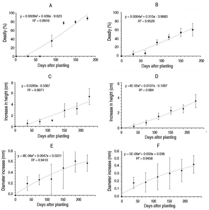
The average temperature during the study presented the highest value for November 2021 (16.1 °C) and the lowest value was recorded in February and March 2022 (15.1 °C), the relative humidity was around 87% and the highest precipitation was recorded at March 2022 (415.6 mm) and the lowest value was recorded in April 2022 (149.5 mm) (Figure 2).

Figure 2 shows that in the plot without shade, the mortality of C. officinalis plants began on day 90 after installation in the final field and reached 87.5% at 180 days (Figure 3A), in the case of height increase (Figure 3B), at 180 days after planting, C. officinalis plants increased 5.44 cm concerning the average height at the beginning of the trial, likewise, 0.59 mm of diameter increase was observed (Figure 3C) with respect to the average diameter at the beginning of the experiment. In addition, it was observed that in the plot installed under the enrichment bands modality, the mortality of C. officinalis plants began on day 30 after installation in the final field and reached 60. In the case of height increase (Figure 3E), at 180 days after sowing, C. officinalis plants increased by 3.52 cm with respect to the average height at the beginning of the trial, and 0.43 mm of diameter increase was observed (Figure 3F) with respect to the average diameter at the beginning of the experiment.

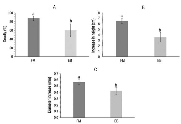
When comparing the results of both plots, there was a significant difference in the percentage of mortality, in the EB plot the mortality was 27.1% less than in the FM plot (Figure 4A); however, the increase in height (Figure 4B) and diameter increase (Figure 4C) in the FM plot was 45.5 and 25.1% higher than the results obtained in the EB plot, respectively.

Plant growth and development are affected by different environmental factors; among them, light plays a very important role in the overall performance of a plantation (Ghorbel et al. 2023; Kishore et al. 2021). Light availability has effects on biomass accumulation by controlling photosynthetic rate; in addition, it indirectly regulates biomass distribution by influencing leaf growth behavior, stem thickness, and immanent root length (Fernández-Milmanda and Ballaré 2021; Yin et al. 2023). The results of this research show that in the FM plot, the diameter increase was 45.5% higher than that obtained in the EB plot. Several studies reveal this effect, in which plants in shaded conditions tend to reduce their diameter increment (Yan et al. 2010), compared to sun-exposed plants that usually choose to shift their growth potential to the root system in order to increase water and nutrient uptake (Giday et al. 2019).
In addition, it could be directly associated with the amount of photosynthetically active radiation (PAR) incident on C. officinalis plants, although it was not measured in this research, several studies indicate that PAR radiation tends to decrease in shaded conditions (Liu et al. 2012). In addition, the increase in height in the plot exposed to the sun was 25.1% higher than that obtained in the plot installed using enrichment bands, although this is a contradictory result with respect to other studies that report that shaded conditions tend to promote an increase in height in order to reach a greater amount of solar radiation (Fernández-Milmanda and Ballaré 2021) this could be explained by the amount of PAR radiation received in the FM plot which was supposed to be higher than that received in the EB plot and consequently, C. officinalis plants installed in direct sun exposure grew taller than plants planted under canopy shade (Zhang et al. 2018).
For the FM plot, the results indicate that there is a negative correlation between the percentage of mortality and precipitation, and between the increase in height and diameter increment with the maximum temperature (Figure 5A), while for the EB plot, there is a negative correlation between the increase in height and precipitation and a positive correlation between the diameter increment and the minimum temperature (Figure 5B).

In the FM plot, mortality was 27.1% higher than in the EB plot, and Figure 4A shows that there is a negative correlation between the percentage of mortality and precipitation, i.e., the lower the precipitation, the higher the percentage of mortality in the FM plot. The EB plot has allowed the plants not to be exposed to high temperatures due to the shade of the canopy (Mensah et al. 2023); in addition, the shade decreases evapotranspiration and therefore it is to be expected that there is a higher moisture content in the soil, and given that C. officinalis needs humid conditions for its development (Huamán et al. 2019) this environment would provide conditions for this species to thrive. In addition, the higher mortality rate in the plot exposed directly to the sun is probably due to a decrease in the photosynthetic capacity of C. officinalis plants (Mensah et al. 2022). Finally, this result could be associated with the higher organic matter content found in the EB plot, because this parameter acts as a water regulator and allows a greater number of microorganisms to develop, including mycorrhizae (Jia et al. 2023) whose positive effect on the growth of C. officinalis was reported by Fernandez-Zarate et al. (2022).
CONCLUSIONS
This study showed, for the first time, the effects of shade conditions on the survival and increase in height and diameter of C. officinalis plants installed in the definitive field. In general, shaded conditions decreased the mortality rate by 27%; however, the diameter and height increase were lower when plants were planted under a canopy. These results suggest that during the first year of installation of C. officinalis plants in the final field, they should be shaded to ensure their establishment. In the future, it is necessary to know the behavior of this species under different percentages of shade to determine if there are the same results as those reported in this research; in addition, the relationship between the growth parameters of C. officinalis with the quality and quantity of light could be determined. It is also necessary to establish permanent monitoring plots in order to evaluate the long-term behavior of this species.
REFERENCES
Aguiar AC, Robinson SA and French K (2019) Friends with benefits: The effects of vegetative shading on plant survival in a green roof environment. PLoS ONE 14(11). Scopus. https://doi.org/10.1371/journal.pone.0225078
Albán-Castillo J, Chilquillo E, Melchor-Castro B et al (2020) Cinchona L. "Árbol de la Quina": Repoblamiento y reforestación en el Perú. Revista Peruana de Biología 27(3): 423-426. https://doi.org/10.15381/rpb.v27i3.18697
Álvarez J (2013) El árbol de la calentura. Instituto Nacional de Salud. https://repositorio.ins.gob.pe/handle/20.500.14196/296
Armijos-González R and Pérez-Ruiz C (2016) In vitro germination and shoot proliferation of the threatened species Cinchona officinalis L (Rubiaceae). Journal of Forestry Research 27(6): 1229-1236. https://doi.org/10.1007/s11676-016-0272-8
Asare R, Asare RA, Asante WA et al (2017) Influences of shading and fertilization on on-farm yields of cocoa in Ghana. Experimental Agriculture 53(3): 416-431. https://doi.org/10.1017/S0014479716000466
Bastías R and Corelli-Grappadelli L (2012) Light quality management in fruit orchards: Physiological and technological aspects. Chilean Journal of Agricultural Research 72(4): 574-581. https://doi.org/10.4067/S0718-58392012000400018
Bharadwaj KC, Gupta T and Singh RM (2018) Chapter 9 - Alkaloid group of Cinchona officinalis: Structural, synthetic, and medicinal aspects. In A. Tewari and S. Tiwari (Eds.), Synthesis of Medicinal Agents from Plants (pp. 205-227). Elsevier. https://doi.org/10.1016/B978-0-08-102071-5.00009-X
Calder WJ, Horn KJ and Clair SB (2011) Conifer expansion reduces the competitive ability and herbivore defense of aspen by modifying light environment and soil chemistry. Tree Physiology 31(6): 582-591. https://doi.org/10.1093/treephys/tpr041
De-la-Cruz H, Vilcapoma G and Zevallos PA (2007) Ethnobotanical study of medicinal plants used by the Andean people of Canta, Lima, Peru. Journal of Ethnopharmacology 111(2): 284-294. https://doi.org/10.1016/j.jep.2006.11.018
Fernandez FH and Huaccha AE (2022) Fenología vegetativa y reproductiva de Cinchona micrantha (Rubiaceae) en un bosque húmedo de Jaén, Perú. Caldasia 44(3): Article 3. https://doi.org/10.15446/caldasia.v44n3.88298
Fernandez FH, Huaccha AE, Barturén LM et al (2022) Efecto del sustrato en la propagación sexual de Cinchona officinalis L. (Rubiaceae): Ecosistemas. https://doi.org/10.7818/ECOS.2314
Fernández-Milmanda GL and Ballaré CL (2021) Shade avoidance: Expanding the color and hormone palette. Trends in Plant Science 26(5): 509-523. https://doi.org/10.1016/j.tplants.2020.12.006
Fernandez-Zarate FH, Huaccha-Castillo AE, Quiñones-Huatangari L et al (2022) Effect of arbuscular mycorrhiza on germination and initial growth of Cinchona officinalis L. (Rubiaceae). Forest Science and Technology 18(4): 182-189. http://doi.org/10.1080/21580103.2022.2124318
Ghorbel M, Brini F, Brestic M et al (2023) Interplay between low light and hormone-mediated signaling pathways in shade avoidance regulation in plants. Plant Stress 9: 100178. https://doi.org/10.1016/j.stress.2023.100178
Giday K, Aerts R, Muys B et al (2019) The effect of shade levels on the survival and growth of planted trees in dry afromontane forest: Implications for restoration success. Journal of Arid Environments 170: 103992. https://doi.org/10.1016/j.jaridenv.2019.103992
Huamán L, Albán J and Chilquillo E (2019) Taxonomic aspects and advances in the knowledge of the current state of the quina tree (Cinchona officinalis L) in the north of Peru. Ecología Aplicada 18(2): 145-153. https://doi.org/10.21704/rea.v18i2.1333
Huang H, Zi XM, Lin H et al (2018) Host-specificity of symbiotic mycorrhizal fungi for enhancing seed germination, protocorm formation and seedling development of over-collected medicinal orchid, Dendrobium devonianum. Journal of Microbiology 56(1): 42-48. https://doi.org/10.1007/s12275-018-7225-1
Jia J, Zhang J, Li Y et al (2023) Relationships between soil biodiversity and multifunctionality in croplands depend on salinity and organic matter. Geoderma 429: 116273. https://doi.org/10.1016/j.geoderma.2022.116273
Kishore K, Rupa TR and Samant D (2021) Influence of shade intensity on growth, biomass allocation, yield and quality of pineapple in mango-based intercropping system. Scientia Horticulturae 278 109868. https://doi.org/10.1016/j.scienta.2020.109868
Liu T, Song F, Liu S et al (2012) Light interception and radiation use efficiency response to narrow-wide row planting patterns in maize. Australian Journal of Crop Science 6(3): 506-513.
Mensah EO, Asare R, Vaast P et al (2022) Limited effects of shade on physiological performances of cocoa (Theobroma cacao L.) under elevated temperature. Environmental and Experimental Botany, 201, 104983. https://doi.org/10.1016/j.envexpbot.2022.104983
Mensah EO, Ræbild A, Asare R et al (2023) Combined effects of shade and drought on physiology, growth, and yield of mature cocoa trees. Science of the Total Environment 899: 165657. https://doi.org/10.1016/j.scitotenv.2023.165657
Prendergast HDV and Dolley D (2001) Jesuits' Bark (Cinchona [Rubiaceae]) and other medicines. Economic Botany 55(1): 3-6.
Rodríguez LO and Young KR (2000) Biological diversity of Peru: Determining priority areas for conservation. AMBIO: A Journal of the Human Environment 29(6): 329-337. https://doi.org/10.1579/0044-7447-29.6.329
Sivakumar D, Jifon J and Soundy P (2017) Spectral quality of photo-selective shade nettings improves antioxidants and overall quality in selected fresh produce after postharvest storage. Food Reviews International 1-18. https://doi.org/10.1080/87559129.2017.1298124
Valdiviezo KG, Guamán VHE, Serrano JM et al (2018) Procesos biotecnológicos para la inducción de callos a partir de vitroplantas de Cinchona officinalis L., a nivel de laboratorio en la provincia de Loja, Ecuador. Tzhoecoen: Revista Científica 10(2): 299-312. https://doi.org/10.26495/rtzh1810.226115
Wang Y, Jin G, Shi B et al (2019) Empirical models for measuring the leaf area and leaf mass across growing periods in broadleaf species with two life histories. Ecological Indicators 102: 289-301. https://doi.org/10.1016/j.ecolind.2019.02.041
Yan Y, Gong W, Yang W et al (2010) Seed treatment with uniconazole powder improves soybean seedling growth under shading by corn in relay strip intercropping system. Plant Production Science 13(4): 367-374 https://doi.org/10.1626/pps.13.367
Yin J, Lin F, De Lombaerde E et al (2023) The effects of light, conspecific density and soil fungi on seedling growth of temperate tree species. Forest Ecology and Management 529: 120683. https://doi.org/10.1016/j.foreco.2022.120683
Zhang T, Yan Q, Wang J et al (2018) Restoring temperate secondary forests by promoting sprout regeneration: Effects of gap size and within-gap position on the photosynthesis and growth of stump sprouts with contrasting shade tolerance. Forest Ecology and Management 429: 267-277. https://doi.org/10.1016/j.foreco.2018.07.025