Artículos
Effect of foliar stimulant biofortified with bamboo in tomato cultivation yield ( Solanum lycopersicum L.)
Efecto del estimulante foliar biofortificado con bambú en el rendimiento del cultivo de tomate ( Solanum lycopersicum L.)
Effect of foliar stimulant biofortified with bamboo in tomato cultivation yield ( Solanum lycopersicum L.)
Revista Facultad Nacional de Agronomía Medellín, vol. 78, no. 1, pp. 10947-10957, 2025
Facultad de Ciencias Agrarias - Universidad Nacional de Colombia
Received: 13 June 2024
Accepted: 10 September 2024
ABSTRACT: Biostimulants promote the physiological balance of plants, favoring the expression of genetic potential to improve the production and quality of crops. This research aimed to evaluate the morphological and yield behavior with the application of a foliar stimulant biofortified with bamboo in two tomato hybrids, under semi-protected conditions. The research was carried out in the Las Piedras facility, Pedro Carbo canton, Guayas province, Ecuador. A completely randomized block experimental design with a 2x3 factorial arrangement with 4 repetitions was used. The treatments were: control, biostimulant and biostimulant + mineral fertilization (N). Morphological behavior and performance variables (t ha-1) were evaluated. The results obtained showed that with biostimulant treatment + mineral fertilization (N), the tomato plants with "Super Kalel" hybrid responded favorably in terms of morphological characteristics, with an average yield of 74 t ha-1. Therefore, the biofortified stimulant with bamboo improves the physiological processes of plants, which leads to good harvest yields.
Keywords: Bamboo, Biostimulant, Hybrids, Tomato yield.
RESUMEN: Los bioestimulantes promueven el equilibrio fisiológico de las plantas, favoreciendo la expresión del potencial genético para mejorar la producción y calidad de las cosechas. El objetivo de esta investigación fue evaluar el comportamiento morfológico y de rendimiento con la aplicación de un estimulante foliar biofortificado con bambú en dos híbridos de tomate, bajo condiciones semiprotegidas. La investigación se realizó en el recinto Las Piedras, cantón Pedro Carbo, provincia del Guayas, Ecuador. Se utilizó un diseño experimental de bloques completamente aleatorio con arreglo factorial de 2x3 con 4 repeticiones. Los tratamientos fueron: testigo, bioestimulante y bioestimulante + fertilización mineral (N). Se evaluaron variables de comportamiento morfológico y rendimiento (t ha-1). Los resultados obtenidos mostraron que el tratamiento de bioestimulante + fertilización mineral (N), las plantas de tomate con el híbrido "Super Kalel" respondieron favorablemente en las características morfológicas, con un rendimiento promedio de 74 t ha-1. Por lo tanto, el estimulante biofortificado con bambú mejora los procesos fisiológicos de las plantas lo que conlleva a obtener buenos rendimientos de cosecha.
Palabras clave: Bambú, Bioestimulante, Híbridos, Rendimiento de tomate.
The tomato (Solanum lycopersicum L.) is the most widely grown horticultural product in the world; its consumption has benefits to human health due to the antioxidant content (Estrada-Arellano et al. 2022), is an essential source of certain minerals content in vitamins such as B1, B2, B5 and vitamin C, has carotenoids and lycopene, these components are antioxidants that act as a protective function of human cells (Blanco 2019).
Foliar fertilization is an agricultural practice that serves to correct nutritional deficiencies in plants that are under stress conditions or in soils with low availability of nutrients. It also consists of applying nutrient solutions directly to the leaves (Murillo et al. 2013).
To ensure the nutritional quality of food, agronomic biofortification strategies must be implemented (Cedeño et al. 2018). Organic agricultural practices (provision of organic biostimulants to the soil or leaf area) are tools that reduce stress, provide resistance to pests and diseases, and increase metabolic and photosynthetic rates (Mendoza et al. 2014).
Biostimulants are applied to plants by foliar or edaphic route, stimulating natural processes that increase nutrient uptake (Dehkordi et al. 2021). They also offer solutions to improve fertilization plans and food security; these support the capacity of biological systems for nutrient scarcity problems (Lallié et al. 2021). On the other hand, López (2008) mentions that species such as Guadua angustifolia Kunth, contribute to reducing soil erosion. It protects the soil by having more than 20 kg-1 of roots that stop the vegetation layer, promotes water regulation by storing up to 30,000 L ha-1 of water, and increases the content of organic matter by providing about 30 t ha-1 of biomass. Bamboo biomass has favorable nutritional characteristics to be used in soil recovery. It contributes to increased biological activity and soil structure (Cairo et al. 2018).
According to studies conducted by Alvarez et al. (2014) and Cairo-Cairo et al. (2017), where they characterized different bamboo substrates indicated that elements such as C, N, P, K, Ca, and Mg are found to demonstrate outstanding qualities to be used in the improvement of erosinous soils; however, there is no biofertilizer biofortified with bamboo that is used for the stimulation of growth, development and yield in crops.
Based on the above, this research study aims to obtain results that improve the productivity of tomato crops through the application of a stimulant biofortified with bamboo, in order to improve yield and fruit quality.
MATERIALS AND METHODS
Study Location
This research was carried out in the "Las Piedras" precinct, Sabanilla parish, Pedro Carbo canton, Guayas province, Ecuador, from April to August 2022. Located at an altitude of 56 meters above sea level (masl) and located at coordinates 1°50'00"S 80°14'00"W. The climatological parameters are shown in (Table 1), and the results were obtained through the POWER Data Access Viewer.

Soil sample collection and analysis from the experimental site
To collect soil samples, it was applied the methodology posed by Mendoza and Espinoza (2017). As for the chemical characterization of the soil, various analytical procedures adjusted to the particularities of each element and parameter were used. Regarding the determination of NH4 and P, it was done by colorimetry with the modified Olsen extractant with a pH of 8.5. The cations K, Ca, Mg, Zn, Cu, Fe and Mn were quantified by atomic absorption with modified Olsen at pH=8.5 as well, which allows a determination of exchangeable cations. The S content was determined by turbidimetry with monobasic calcium phosphate as extractant, while B was determined by colorimetry using the same extractant. The Cl concentration was quantified by volumetry using a saturated soil dough with water in a ratio of 1:2.5. Finally, soil pH is also required by potentiometry in a saturated soil dough (1:2.5), as a standard method for evaluating soil acidity or alkalinity. The results of the physicochemical characteristics of the experimental site are detailed in (Table 2).

Elaboration of the biostimulant biofortified with bamboo used in the research
The biostimulant was prepared with tender bamboo canes and transverse cuts of 15 cm long x 5 cm wide were made from each of the canes until a mass of 1 kg-1 was obtained; then it was deposited in a 20 L bucket, along with solid mountain microorganisms (0.45 kg-1) plus liquid mountain microorganisms (1 L), taking as reference what was reported by Castro-Barquero and González-Acuña (2021), it was added molasses, in a volume of 2 L, finally a surface water source (15 L) was taken from the Pedro Carbo river in December because it is winter and the flows of surface water sources increase, which causes a natural decrease phenomenon of water salts and then it was allowed to rest for 22 days, the entire complex was filtered until obtaining the biofortified stimulant (20 L), then the nutritional content was analyzed, results that were analyzed at the INIAP-Costa. South-Ecuador Laboratory and its composition are detailed in Table 3.

Characteristics of tomato hybrids used in the research
Two F1 hybrids, Kalel and La Roca, were used, and their characteristics are as follows: F1 Kalel is an indeterminate hybrid of high yield; it has round red fruits with a mass of 250-300 g; its growth is indeterminate with short internodes and dark green leaf; it is tolerant to TYLCV, TMV, Fol, and Vd (Agrinova 2019). La Roca is a hybrid with excellent coverage; it has fruit with an average mass of 130 g and is resistant to V ToMV, Fol, N, TYLCV, and TSWV (NIRIT SEEDS LTD 2019).
Treatment design
A completely randomized block design was used with a factorial arrangement of 2 (hybrids) x 3 ("nutritional components" and nitrogen was added to the element because according to the soil analysis, it did not satisfy the nutritional coefficient of tomato cultivation), with four repetitions giving a total of 24 experimental units, as shown in (Table 4).

Research Management: before preparing the land, a plastic tunnel with dimensions of 6 m wide x 30 m long was made, placing a milky white agricultural plastic in the aeri part with 50% of protection against ultraviolet radiation.
Soil preparation: It was done by plowing, then a targeted soil amendment was applied using 20 kg ha-1 of ferrous sulfate to meet the need for Fe (Table 2); in addition, 10 L ha-1 of humic acid was applied to condition the soil and allow better absorption of elements for the crop. This procedure was performed 30 days before the transplant.
Sowing: it was carried out by transplanting with seedlings that were 21 days old, and a sowing distance of 0.6 m between plants and 1.4 m between rows was considered, giving a total of 11,905 plants ha-1.
Irrigation: a drip irrigation system was implemented whose emitter had a flow rate of 3 L h-1, applying 2 h of irrigation daily, twice a week for a total of twelve weeks, which means 12 L/week/plant, that is, 144 L/plant/production cycle, equivalent to an irrigation sheet of 171.4 mm with the planting mentioned above distance.
Fertilization: it was carried out according to the amount of nutrient absorbed and extracted expressed in kg of nutrient per ton of organ harvested for tomato cultivation, taking as a reference what was indicated by Ciampitti and García (2007), together with the interpretation of the soil analysis, the nitrogen was at an average level (Table 2). 392 kg ha-1 of N was chosen to meet the needs; it was used as a source of nitrogen fertilizer (Urea: 733 kg ha-1), with two fractional applications of N (25 days after sowing) and (40 days after sowing). Foliar application was carried out using the biostimulant with two applications, one at 28 days (1 L ha-1) and the second at 48 days (1 L ha-1).
Phytosanitary management: it was carried out according to the presence of pests and diseases therefore, 30 days after transplantation, it was found (Helicoverpa armigera), and for its control, Spinetoram was applied in doses of 100 cc ha-1, and at 74 days after transplantation it was found (powdery mildew) Mancozeb was applied in doses 1.5 kg ha-1. Weed control was manual with the use of a machete.
Tutoring: it was done 30 days after transplanting, and with an ice axe, it was tied to the lower part of the stem, wrapping around the plant, and then connected with the tempered wire along the row.
Pruning: two types of pruning were carried out; the first was the pruning of suckers of the axillary meristematic buds 5 cm in length; it was carried out twice a week from the vegetative to the reproductive state. The second pruning was defoliation (old or damaged leaves).
Harvest: it was carried out when the fruits presented the characteristic symptoms of physiological maturity, which occurred at 107 days for the two hybrids.
Variables evaluated
The agronomic variables evaluated during the research are reflected in the (Table 5).

Data Analysis
To obtain the data for each of the treatments based on the variables, a random sampling of ten plants was applied for the agronomic variables, and for the yield, it was selected the net harvested area. After that, the evaluated variables were subjected to the analysis of variance, while the statistically significant differences between the means of each treatment was determined through the Tukey probability test (P<0.05) using the InfoStat statistical software in its 2020 version.
RESULTS AND DISCUSSION
Evaluation of growth variables
In plant height, it was observed that the Super Kalel hybrid obtained the highest plant height with an average of 2.71 m, while the La Roca hybrid reached a height of 2.39 m, thus giving hybrids and nutritional components that presented high statistical significance in the interaction of hybrid and nutrients they did not present statistical significance, with a coefficient of variation of 4.38% (Table 6). These results are superior to those reported by Mendoza et al. (2023) who evaluated tomato hybrids such as "Miramar"; and "Pietro" under protected conditions and obtained values of: 1.65 m, 1.56 m with a synthetic fertilization.

In the treatment with the application of Biost + N, tomato plants managed to obtain a higher plant height with an average of 2.74 m, a higher value than the work carried out by Agudelo and Polanco (2019), who evaluated a foliar biostimulant in the production of "Chonto" type tomato in two growing environments and obtained an average of 1.15 m, as well as the research conducted by Castillo-Ferrer et al. (2022) who evaluated different fertilizers and using efficient microorganisms (EM) in doses 10 L ha-1 obtained a value of 0.97 m with the tomato variety "Celeste F-2 from Skay Way".
Regarding the variable of stem diameter, it can be observed that there is no statistical difference between hybrids and the interaction of hybrids plus nutritional component, while there is high statistical significance in the nutritional component effect, with a coefficient of variation of 7.60% (Table 6).
According to the nutrition factor, with the application of Biost + N, a result of 2.19 cm was obtained, an average higher than the research work carried out by Reyes-Pérez et al. (2022) who evaluated the agrobiological effectiveness of Chitosan in doses of 3 g L-1 in the tomato variety "Vyta" obtained a value of 1.13 cm, another research conducted by Villegas-Espinoza et al. (2018) where evaluated a plant biostimulant in concentration of 1/30(v/v) and obtained an average of 1.30 cm.
Tomato harvest days
According to this variable, it was possible to determine that for hybrids plus the interaction of hybrids by nutritional component, there is no statistical difference, while in the nutritional component effect, there is statistical significance, with a coefficient of variation of 0.73% (Table 6).
With the use of Biost and Biost + N, the same average was obtained with a value of 107 days to harvest; this result is lower than that reported by Mendoza et al. (2023), who obtained an average of 73 days to harvest with the "Margo" tomato variety after using synthetic fertilization under protected crop conditions.
Performance Parameters
According to this variable of average fruit mass, it can be observed that there is no statistical difference between hybrids and the interaction of hybrids with nutritional components. At the same time, there is a significant difference in the nutritional component effect, with a coefficient of variation of 3.52% (Table 7). With the effect of nutritional components, an average of 207.5 g was obtained with the application of Biost + N, a value higher than that reported by Gabriel-Ortega et al. (2022), who applied biocompost + humus and mycorrhizae in the tomato hybrid "Itaipu" and obtained an average of 76.61 g.

For the variable number of fruits/plants, it was observed that the Super Kalel hybrid obtained the highest number of fruits per plant, with an average of 23, while La Roca had an average of 22. The average fruits by plants are presented in (Table 7), finding in the analysis of variance that, between hybrids and nutritional components, they presented statistical significance. In contrast, the interaction of hybrids and nutritional components did not present statistical significance, with a coefficient of variation of 4.35%. These results are higher than those reported by Reyes-Pérez et al. (2022), who evaluated the agrobiological effectiveness of humic acids at doses of 1:30 v/v in the tomato variety "Floradade" and obtained a value of 6 fruits/plants.
With the application of Biost + N, tomato plants obtained a higher number of fruits per plant, with an average value of 27 higher than the research by Gitau et al. (2022) who evaluated the effect of biostimulants based on two Chlorophyta microalgae in the tomato variety "Vilma" and obtained an average of 12 fruits/plants.
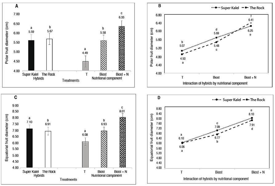
In the diameter of the polar fruit, it was possible to determine statistical significance for hybrids, nutritional components, and interaction of hybrids, with a coefficient of variation of 1.09% (Figures 1A-B).

It can be observed that both hybrids obtained a similar average of 5.59 cm for Super Kalel and 5.67 cm for La Roca, a study conducted by Villegas-Espinoza et al. (2018) where evaluated a plant biostimulant in concentration of 1/10(v/v) in the open field in the tomato variety "Amalia" and obtained an average of 5.25 cm, a value that approximates in the hybrids studied.
With the use of Biost + N, an average diameter of 6.33 cm of polar fruit was obtained; this result is more significant than that reported by Jiménez et al. (2009), who evaluated three biostimulant substances for growth and development in the cultivation of tomatoes of the "Vyta" variety and with the use of Chitosan in doses of 150 mg ha-1 and obtained an average of 4.72 cm.
According to the interaction of hybrids by nutritional components, the Super Kalel hybrid was determined with the application of Biost + N; an average greater than 6.41 cm was obtained, a value higher than that reported by Reyes-Pérez et al. (2022) when applying humic acids in doses of 1:30 v/v using the tomato variety "Floradade" obtained a value of 5 cm.
For the equatorial fruit diameter variable, it was observed that the Super Kalel hybrid obtained the highest average with 7.10 cm, while La Roca had an average of 6.91 cm, according to the values obtained for the diameter of the equatorial fruit in the (Figures 1C-D). Whether there was statistical significance between hybrids, nutritional components, and interaction with a coefficient of variation of 1.03%. These results are superior to those reported by Rivas-García et al. (2021), who evaluated the application of a QuitoMax® biostimulant in seeds and at the beginning of flowering at a concentration of 1 g L-1 in tomato variety L-43 and obtained an average of 4.82 cm.
With the application of Biost + N, a higher average value of 8.01 cm was obtained, higher than the work carried out by Márquez-Hernández et al. (2013), who applied organic sources of fertilization in greenhouses and with the use of compost plus microelements in irrigation in two tomato genotypes "Bosky" and "Big Beef" and obtained an average of 7.49 cm.
According to the interaction of hybrids by nutritional components, the Super Kalel hybrid was determined with the application of Biost + N and a value greater than 8.10 cm was obtained, an average higher than the work carried out by Boudet et al. (2017) who applied a Bocashi organic fertilizer in the variety "Vyta" in doses of 2.99 t ha-1 and obtained an average of 5.53 cm.
For the performance variable (t ha-1), it was possible to determine statistical significance for hybrids, nutritional components, and interaction of hybrids by nutritional component, with a coefficient of variation of 1.03% (Figures 2E-F).

It can be observed that the Super Kalel hybrid obtained the highest average with 51.77 t ha-1, while the La Roca hybrid had the lowest average with 49.66 t ha-1; these values are higher than those the study carried out by Campo-Costa et al. (2015) who evaluated the effect of the biostimulant Fitomas-E on plant development and yields of the hybrid tomato crop HA-3019 and obtained a yield of 45 t ha-1 with the application of 0.7 L ha-1 in seedbed one day before transplanting.
With the effect of nutritional components, it was possible to determine that with the application of Biost + N, it generated a value of 73.15 t ha-1, a higher value in terms of the control and the Biost; this result is higher than that reported by Mendoza et al. (2023) evaluated tomato hybrids such as "Pietro"; "Margo" under conditions protected with synthetic fertilization obtained values of:11.22 and 21.97 t ha-1, respectively.
According to the interaction of hybrids by nutritional components, the Super Kalel hybrid was determined with the application of Biost + N; the highest average was obtained with 74.89 t ha-1, a value higher than the research carried out by Pérez et al. (2017) who evaluated two indeterminate tomato hybrids of the Saladette type "Cid" and "Azhura" and with the application of foliar fertilizers Nutri Humus obtained an average yield of 50 t ha-1.
CONCLUSION
The use of the biofortified stimulant with bamboo, together with the addition of nitrogen, generated a favorable response in the morphological variables and yield of the tomato hybrid "Super Kalel" under semi-protected conditions. However, it is necessary to evaluate other tomato hybrids with higher doses of the biofortified stimulant with bamboo applied in this research, to improve tomato harvest yield.
REFERENCES
Agudelo DA and Polanco Puerta MF (2019) Evaluación del bioestimulante foliar (bioagro triple a) en la producción de tomate tipo chonto (Lycopersicum sculentum Mill) en dos ambientes de cultivo. Agricolae & Habitat 2(2): 1-18. https://doi.org/10.22490/26653176.3423
Alvarez Alonso O, Cairo Cairo P, Mollineda Trujillo A, García López Y et al (2014) Caracterización química de la biomasa del Bambú (Bambusa vulgaris Schrader ex. Wendlan): perspectivas para su utilización. Revista Centro Agrícola 41(2): 91-93. https://biblat.unam.mx/hevila/Centroagricola/2014/vol41/no2/14.pdf
Agrinova (2019) Quality hybrid seeds Tomato F1 KALEL. https://www.agrinovaseed.com/product-page/tomato-f1-kalel?lang=es
Blanco Callata PD (2019) Aplicación de diferentes dosis de humus de lombriz en el cultivo de tomate (Lycopersicum esculentum Miller) variedad cherry en ambientes atemperados en el municipio de El Alto. Apthapi 5(1): 1390-1406.
Boudet Antomarchi A, Boicet Fabré T, Durán Ricardo S and Meriño Hernández Y (2017) Efecto sobre el tomate (Solanum lycopersicum L.) de diferentes dosis de abono orgánico bocashi en condiciones agroecológicas. Revista Centro Agrícola 44(4): 37-42. http://scielo.sld.cu/pdf/cag/v44n4/cag06417.pdf
Cairo Cairo P, Alvares Alonso O, Yera Yera Y, Rodríguez Urrutia A et al (2018) La biomasa de Bambusa vulgaris como alternativa para la recuperación de suelos degradados. Revista Centro Agrícola 45(3): 51-58. http://scielo.sld.cu/pdf/cag/v45n3/0253-5785-cag-45-03-51.pdf
Cairo-Cairo P, Yera-Yera Y, Torres Artiles P, Rodríguez Urrutia A et al (2017) Impacto del Bambú (Bambusa vulgaris Schrader ex. Wendlan) sobre el suelo, subcuenca del río Bayamo, Cuba. Revista Centro Agrícola 44(2): 92-94. http://scielo.sld.cu/pdf/cag/v44n2/cag13217.pdf
Campo-Costa A, Álvarez-Rodríguez A, Batista-Ricardo E and Morales-Miranda A (2015) Evaluación del bioestimulante Fitomas-E en el cultivo Solanum lycopersicum L. (tomate). ICIDCA Sobre los Derivados de la Caña de Azúcar 49(2): 37-41. https://www.redalyc.org/pdf/2231/223143421006.pdf
Castillo-Ferrer J, Fornaris-Sánchez AA and Echavarría-Hurtado J (2022) Efecto de cuatro fertilizantes foliares sobre el rendimiento y calidad del tomate (Solanum licopersicum L.). Ciencia En Su PC 1(2): 1-14. https://redalyc.org/journal/1813/181373019009/html/
Castro-Barquero L and González-Acuña J (2021) Factores relacionados con la activación líquida de microorganismos de montaña (MM). Agronomía Costarricense 45(1): 81-92. https://doi.org/10.15517/rac.v45i1.45703
Cedeño J, Cedeño G, Alcívar J, Cargua J et al (2018) Incremento del rendimiento y calidad nutricional del arroz con fertilización NPK complementada con micronutrientes. Scientia Agropecuaria 9(4): 503-509. https://doi.org/10.17268/sci.agropecu.2018.04.05
Ciampitti IA and García FO (2007) Requerimientos nutricionales absorción y extracción de macronutrientes y nutrientes secundarios. Archivo Agronómico # 12 IPNI (12): 1-4. http://lacs.ipni.net/ipniweb/region/lacs.nsf/0/0B0EE369040F863003257967004A1A41/$FILE/AA%2012.pdf
Dehkordi RA, Roghani SR, Mafakheri S and Asghari B (2021) Effect of biostimulants on morpho-physiological traits of various ecotypes of fenugreek (Trigonella foenum-graecum L.) under water deficit stress. Scientia Horticulturae 283: 110077. https://doi.org/10.1016/j.scienta.2021.110077
Estrada-Arellano E, Murillo-Amador B, Cervantes-Vázquez TJÁ et al (2022) Fertilización orgánica para mejorar calidad nutraceútica de híbridos de tomate y su efecto en las propiedades químicas del suelo. Terra Latinoamericana 40. https://doi.org/10.28940/terra.v40i0.1613
Gabriel-Ortega J, Cevallos Gutiérrez K, Vera Velázquez R, Castro Piguave C et al (2022) Evaluación y selección de híbridos de tomate Solanum lycopersicum L. (Mill.) en Puerto la Boca, Ecuador. Journal Of The Selva Andina Biosphere 10(1): 21-31. http://www.scielo.org.bo/pdf/jsab/v10n1/2308-3859-jsab-10-01-21.pdf
Gitau MM, Farkas A, Ördög V and Maróti G (2022) Evaluation of the biostimulant effects of two Chlorophyta microalgae on tomato (Solanum lycopersicum). Journal of Cleaner Production (364). https://doi.org/10.1016/j.jclepro.2022.132689
Jiménez Núñez L, Xiafong P, González Gómez G and Jiménez Arteaga MC (2009) Efectos de tres bioestimulantes sobre el rendimiento en el cultivo del tomate (Solanum lycopersicum Mill). Centro Agrícola 36(2): 83-87. https://biblat.unam.mx/hevila/Centroagricola/2009/vol36/no2/13.pdf
Lallié, HD, Oro FZ, Nekkal N and Hattimy, FE (2021) Effect of biostimulant Banzaï and fertilizer on the yield of cocoa trees in the locality of N’gouanmoinkro, Central Côte d’Ivoire. E3S Web Of Conferences 319: 02011. https://doi.org/10.1051/e3sconf/202131902011
López Martell A (2008) Rendimiento de biomasa de Bambusa vulgaris y su relación con la protección de los suelos en la provincia de Granma, Cuba. Zootecnia Tropical 26(3): 275-277. http://ve.scielo.org/pdf/zt/v26n3/art25.pdf
Márquez-Hernández C, Cano-Ríos P, Figueroa-Viramontes U, Avila-Diaz JA et al (2013) Rendimiento y calidad de tomate con fuentes orgánicas de fertilización en invernadero. PYTON - Revista Internacional de Botánica Experimental (82): 55-61. http://www.scielo.org.ar/pdf/phyton/v82n1/v82n1a08.pdf
Mendoza Elos M, Sámano Rodríguez S, Cervantes Ortiz F, Andrio Enríquez E et al (2014) Evaluación de la fertilización integral en la producción de semilla de triticale (X Triticum secale Wittmack). PYTON - Revista Internacional de Botánica Experimental 83: 93-100. http://www.scielo.org.ar/pdf/phyton/v83n1/v83n1a12.pdf
Mendoza BR and Espinoza A (2017) Guía técnica para muestreo de suelos. Universidad Nacional Agraria y Catholic Relief Services. Nicaragua. 52p.
Mendoza Macias CI, Caballero Vera MH, Guaranda Menéndez KE, Caballero Vera JC et al (2023) Evaluación de cuatro híbridos de tomate (Solanum lycopersicum L.) en cultivo protegido en el cantón Santa Ana. Revista de Investigación e Innovación Agropecuaria y de Recursos Naturales 10(1): 61-65. https://doi.org/10.53287/vtgn8348td44d
Murillo Castillo RG, Piedra Marín G and G León G (2013) Absorción de nutrientes a través de la hoja. Uniciencia 27(1): 232-244. https://repositorio.una.ac.cr/server/api/core/bitstreams/e19d21b8-5399-4062-9d4b-6ddf75751c3d/content
Pérez Espinoza HA, Chávez Morales J, Carrillo Flores G, Rodríguez Mendoza MN and Ascencio Hernández R (2017) Fertilización foliar en el rendimiento y calidad de tomate en hidroponia bajo invernadero. Mexican Journal of Agricultural Sciences 8(2): 333-343. https://doi.org/10.29312/remexca.v8i2.54
NIRIT SEEDS LTD (2019) La roca nuevo concepto en firmeza. http://www.niritseeds.com.mx/laroca.html
Reyes-Pérez JJ, Llerena-Ramos LT, Rivero-Herrada M, Pincay-Ganchozo A et al (2022) Efectividad agrobiológica de quitosano, ácidos húmicos y hongos micorrízicos en dos variedades de tomate (Solanum lycopersicum, L.). Terra Latinoamericana (40): 1-10. https://doi.org/10.28940/terra.v40i0.1078
Rivas-García T, Gonzalez-Gomez LG, Boicet-Fabré T, Jiménez-Arteaga MC et al (2021) Respuesta agronómica de dos variedades de tomate (Solanum lycopersicum L.) a la aplicación del bioestimulante con quitosano. Terra Latinoamericana (39). https://doi.org/10.28940/terra.v39i0.796
Villegas-Espinoza JA, Reyes-Pérez JJ, Nieto-Garibay A, Ruiz-Espinoza FH et al (2018) Bioestimulante Liplant®: su efecto en Solanum lycopersicum (L.) cultivado en suelos ligeramente salinos. Revista Mexicana de Ciencias Agrícolas (20): 4137-4147. https://cienciasagricolas.inifap.gob.mx/index.php/agricolas/article/view/985/811