El papel de la estructura argumental en el procesamiento de los compuestos verbo-nombre del español: evidencias experimentales
THE ROLE OF SEMANTIC ARGUMENT STRUCTURE IN SPANISH VERB-NOUN COMPOUND WORDS: EXPERIMENTAL EVIDENCE
El papel de la estructura argumental en el procesamiento de los compuestos verbo-nombre del español: evidencias experimentales
Interdisciplinaria, vol. 33, núm. 2, pp. 337-353, 2016
Centro Interamericano de Investigaciones Psicológicas y Ciencias Afines
Recepción: 14 Octubre 2015
Aprobación: 26 Mayo 2016
Resumen: Los compuestos verbo-nombre del español presentan la particularidad de carecer de un núcleo que aporte los rasgos morfológicos, de categoría o semántico-referenciales. El acceso al significado depende entonces de la relación que mantienen los constituyentes entre sí y no a partir de la identificación de un elemento nuclear, como ocurre en compuestos que poseen un lexema referencial (telaraña, bocacalle). Dentro del compuesto verbo-nombre, la relación semántica que se establece entre los constituyentes no es única. Si bien la estructura semántica prototípica responde al patrón agente-paciente (cortacésped), existen otras posibilidades argumentales, como las relaciones locativas (pasacalle). El estudio realizado tuvo como objetivo determinar hasta qué punto la estructura argumental proyectada por el verbo tiene una influencia en el procesamiento cognitivo de estas unidades. Primeramente, se llevó acabo un juicio de aceptabilidad para asegurar que los estímulos se correspondieran con la realidad lingüística de los participantes del estudio experimental. A continuación, se administró una prueba de decisión léxica con compuestos que poseían distintos tipos de estructura argumental: (1) agente / paciente (algo que V a N, abrelatas), (2) agente / paciente menos prototípica (procesos metafóricos, chupasangre) y (3) locativos (lugar donde x hace V a N, guardamuebles). Los resultados muestran que los tiempos de decisión (respuesta) ante compuestos locativos fueron significativamente mayores que ante los prototípicos. Este resultado no puede ser explicado por diferencias en longitud o frecuencia de los compuestos o sus constituyentes, por lo que parecen apoyar la hipótesis de que la estructura argumental juega un rol central en el procesamiento de estas palabras.
Palabras clave: Compuestos verbo-nombre, Estructura argumental, Procesamiento semántico, Juicios de aceptabilidad, Decisión léxica.
Abstract: Research on the processing of compound words offers important insights on how the mental lexicon is organized. It is a current topic in psycho linguistics if compound words are represented and processed as unitary lexical units (full-listing models) or only as individual constituents analyzed via a combinatorial mechanism (full-parsing models). There is enough experimental evidence that both mechanisms are involved (dual-route models). Several characteristics of the stimuli, like length, morphological family size, frequency of compounds and their constituents are important factors to determine how they are processed. Compound words are meaningful units that contain smaller meaningful units. Therefore, in the domain of compounds’ studies, several hypotheses have been proposed to explain how only one interpretation is achieved from two independent meanings. Models that describe the construction of lexical semantic features in compound words, like APPLE-Automatic Progressive Parsing and Lexical Excitation (Libben 1994,1998) or CARIN-Competition A mong Relations in Nominals (Gagné, 2000), are based on the notion of a morphological head. According to these theories the recognition of the head would trigger an interpretation of the whole word. In noun-noun compounds (pez espada, ‘swordfish’, telaraña ‘spiderweb’), in which the head has the referential features, the identification of this head and the posterior clarification of the relationship with the non-head lexeme is the way to interpret the whole compound (pez ‘fish’ and tela ‘web’, respectively). However, not every compound has a head with the referential attributes inside. Verb-noun compounding is an extremely productive word-formation process in Romance languages. Spanish verb-noun compounds have the particularity of being exocentric: these con structions do not present a categorical, morpholog ical or semantic head. Therefore, access to the meaning depends on the relationship between both of their constituent lexemes. For these units, the traditional distinction between semantically transparent and semantically opaque compounds is not suitable, because it doesn’t take under consideration the projection of the argument structure by the verbal constituent. The semantic relationship established between the lexemes within a compound is not unique. While the prototypical semantic structure responds to the agent-patient pattern (cortacésped), there are other semantic possibilities, such as locative relationships (pasacalle). The present study addresses the issue of the comprehension of Spanish verb-noun compounds in order to provide evidence about the role of the argument structure projected by the first lexeme in the whole-word meaning. It is proposed that the argument structure of the verbal constituent has a cognitive influence on the processing and comprehension of these units. Firstly, an acceptability judgment test was administrated in order to identify a group of verbnoun compounds that were adequate for the Argentinean Spanish lexicon. Secondly, a lexical decision task was conducted with the stimuli selected as acceptable. Thirty native speakers (20 females), ranged in age from 19 to 34 years old, with at least 12 years of schooling, participated in the experiment. The lexical decision task included three types of compounds according to their argument structure: (1) Agent/patient (abrelatas), (2) Agent/patient with less prototypical features or metaphorical processes (chupasangre), and (3) locatives (guardamuebles). Stimuli were matched according to the whole-word and constituent frequency and length. For the statistical analysis, ANOVAs were calculated for error rates and response times (RTs) for each condition. Results show that reaction times (answers) to locative compounds were significantly higher than to agentpatient compounds. This contrast cannot be explain ed by differences in frequency or length, of the compounds or their constituents. Consequently, the present results seem to support the hypothesis that argument structure plays a central role in the processing of these words.
Keywords: Verb-noun compounds, Argument structure, Semantic processing, Acceptability judgments, Lexical decision task.
INTRODUCCIÓN
De acuerdo con Gagné y Spalding (2006), comprender cómo se procesan las palabras compuestas es la clave para entender el funcionamiento del léxico mental. Esto se debe a que la composición es un procedimiento universal, básico y ampliamente extendido en la formación de nuevas palabras. Semánticamente, una palabra compuesta pone en relación dos conceptos preexistentes para generar uno nuevo. Por ello, la cuestión de la integración de ambos significados para representar uno nuevo es esencial para comprender cómo se adquieren, se procesan e interpretan estas unidades. Si bien existen numerosas teorías que explican cómo se procesa la morfología de las palabras complejas, muy pocas de ellas tienen en cuenta las particularidades de la composición nominal y sus implicaciones en el significado. Existen diferentes hipótesis acerca del procesamiento de palabras compuestas. Por un lado, los modelos que postulan una única vía directa de procesamiento en el cual el compuesto se almacena de forma completa como una única unidad lexical (Bybee, 1995). Por otro lado, aquellos que establecen un procesamiento con descomposición obligatoria, en el que todos los compuestos se analizarían a partir de la combinación de sus constituyentes (Libben, Derwing & de Almeida, 1999; Taft, 2004). Por último, hay evidencias psicolingüísticas suficientes para suponer un procesamiento de doble ruta de acuerdo a estudios realizados en distintas lenguas como el inglés, el alemán y el holandés (Baayen, Dijkstra & Schreuder, 1997; Isel, Gunter & Friederici, 2003; Koester, Gunter & Wagner, 2007; Koester, Gunter, Wagner & Friederici, 2004; Koester, Holle & Gunter, 2009; Sandra, 1990; Zwitserlood, 1994). A su vez, para el español existen estudios recientes que constatan la descomposición de palabras complejas y compuestas de acuerdo a las propiedades del estímulo (Beyersmann, Dunabeitia, Carreiras, Coltheart & Castles, 2013; Jaichenco & Wilson, 2013). En los modelos de doble ruta se sugieren dos vías, una directa y otra con segmentación, cada una de ellas se activaría de acuerdo a diversas características del input, como la frecuencia, la transparencia, el tamaño de la familia morfológica, entre otros. Más allá de la evidencia a favor de un modelo de doble ruta para el almacenamiento y acceso de las palabras compuestas, se plantea el problema de la construcción de un único significado a partir de dos constituyentes. Dentro de los modelos que se ocupan de este tema, se destacan el APPLE (Automatic Progressive Parsing and Lexical Excitation) formulado por Libben (1994, 1998) y el CARIN (Competition Among Relations in Nominals) de Gagné (2000). Ambos se plantean la cuestión del acceso al significado de un compuesto a partir de la relación entre sus constituyentes. La propuesta de Libben está basada en la descomposición obligatoria que se puede dar en tres niveles: el nivel del estímulo (perceptual), el nivel léxico y el conceptual. De la interacción de la activación en cada uno de estos niveles dependerá el acceso al significado. En un modelo con estas características, la posibilidad de interpretación semántica de los compuestos está determinada por la interacción entre los links (facilitadores o inhibidores) entre el nivel léxico y conceptual.
Dos factores inciden en esto: la transparencia y la composicionalidad[1]. La noción de transparencia distingue constituyentes transparentes (T) y opacos (O). Un compuesto pue de estar formado por: (a) constituyentes completamente transparentes como blueberry (arándano, lit. ‘azul’ ‘baya’), (TT) en el que se activan y se representan los dos constituyentes en los tres niveles, (b) aquellos en los que uno de los constituyentes es opaco y otro transparente como strawberry (frutilla, lit. ‘paja’ ‘baya’) (OT), o shoehorn (calzador, lit ‘zapato’ ‘cuerno’) (TO), o (c) los compuestos completamente opacos como hogwash (tonterías, lit ‘cerdo’ ‘lavado’) (O-O) en los que no se puede activar ningún elemento del compuesto a nivel conceptual (ver Figura 1). El segundo factor que incide sobre la interpretación de las formas es la composicionalidad. Según esta característica, independientemente de la transparencia, existen compuestos composicionales en su significado, como es el caso de bedroom (habitación, lit. ‘cama’ ‘cuarto’), y otros no composicionales como en el caso de los compuestos exocéntricos, del tipo bighorn (carnero, lit. ‘grande’ ‘cuerno’), ya que de la relación que se establece entre las formas no puede deducirse el significado del compuesto. En el caso de bighorn la asignación de un significado a partir de la modificación del núcleo (horn) sería una interpretación incorrecta ya que bighorn no es un tipo de cuerno (horn), sino un animal. Esto indicaría que más que los constituyentes en sí, lo importante es la relación entre ellos y con su referente. El nivel de transparencia u opacidad tendría que ver con la relación de los elementos entre sí y con el todo, más que por lo que aportan los elementos de forma aislada. La teoría de Libben (1998) sobre los links que se activan en tres niveles carece de esta perspectiva relacional para la conformación de significado.
A pesar de que hoy en día el valor de la trans parencia pueda ser entendido desde la clase de procesamiento que se hace sobre los compuestos (Libben, 2005), esta propuesta deja en claro que se puede establecer el tipo de significado a partir de de la interacción a nivel semántico de los constituyentes (composicional o no composicional). Por otra par te, el modelo de Gagné se centra principalmente en el tipo de relación que establecen entre sí los constituyentes dentro de un compuesto formado por dos elementos de origen nominal (llamados compuestos nombre- nombre). Así, la autora propone un conjunto limitado de posibilidades o patrones semánticos en la interacción del núcleo del compuesto y el modificador. En el caso de chocolate bee, por ejemplo, el modificador chocolate es el material Made of del núcleo bee, lo que significa que es una abeja hecha de chocolate, mientras que en el compuesto honey bee, el modificador honey es el producto que fabrica el núcleo bee lo que conforma una relación Makes, es decir una abeja que fabrica miel. El CARIN propone identificar y clasificar estas relaciones en un conjunto limitado de posibilidades de interpretación semántica de un nú cleo frente a un modificador. El modelo presenta diferentes tipos de relación como head noun FOR modifier (coffepot, que es una taza pa - ra café) head noun LOCATED modifier (office pot, que es una taza que está en la oficina). Estas relaciones entre núcleo y modificador explicarían las diferentes variaciones de significado.
Estos dos modelos si bien clarifican las relaciones semánticas dentro de un compuesto y cómo se construye el significado a partir de sus partes, están basados en características típicas de los compuestos nombre-nombre que, como afirma Nicoladis (2006), son aquellos con mayor productividad en lenguas como el inglés. Desde esta perspectiva, es fundamental la importancia del núcleo semántico para el acceso al significado. Sin embargo, la transparencia y la composicionalidad son factores cuestionables en una gran cantidad de casos en los que los compuestos no presentan estas características morfológicas, como es el caso de los compuestos verbonombre de las lenguas románicas.
En español, existen diversos procedimientos para generar unidades a partir de formas libres (nombre-nombre madreselva, nombreadjetivo caradura, verbo-verbo subibaja, etc.). Sin embargo, el patrón más productivo es el de verbo-nombre (matafuegos, paraguas, cumpleaños). Como indica la RAE:
“Si bien la productividad máxima corresponde a las unidades sintácticas, de manera que no es posible construir la lista de los grupos nominales o verbales que pueden formarse en español, también son muy productivos ciertos esquemas morfológicos, como V-N” (2009, p. 194).
Los compuestos verbo-nombre no poseen un núcleo que aporte los rasgos morfológicos o semánticos, lo que los convierte en unidades exocéntricas (Scalise & Guevara, 2006). Así, un compuesto como lavarropas no recibe sus rasgos de género y número del lexema verbal lava ni del nombre ropa (ver Figura 2). Tampoco recibe la referencialidad de uno de sus constituyentes, ya que lavarropas no es una acción y tampoco un tipo o clase de ropa.
La bibliografía existente hasta el momento acerca del procesamiento de los compuestos verbo-nombre se centra en aspectos laterales del procesamiento de los mismos y no aborda las particularidades morfológicas de estas palabras. Mondini, Luzzatti, Zonca, Pistarini y Semenza (2004) analizaron la interpretación y producción de diferentes clases de compuestos en personas afásicas. El objetivo era determinar si las omisiones producidas por los afásicos de Broca en el discurso eran similares en la producción de los compuestos nominales. Los resultados mostraron que, efectivamente, los afásicos de Broca omitían más verbos al nombrar una imagen con un compuesto verbonominal. Estos resultados confirman la segmentación morfológica y la activación simultánea de los compuestos opacos en cuanto a su significado. Sin embargo, no dan cuenta de las características del procesamiento de los verbo-nombre en sujetos normales. En este sentido, Duñabeitia, Perea y Carreiras (2007) analizaron la frecuencia de los constituyentes como factor de procesamiento de los compuestos del español. A través de una tarea de decisión léxica, los investigadores encontraron un efecto facilitador de la frecuencia del segundo lexema (por ejemplo del lexema tiempo, en un compuesto como pasatiempo). Los autores consideran que este efecto se debe a que el segundo constituyente de un compuesto verbo-nombre es el núcleo del mismo, por lo cual su frecuencia sería más influyente en el acceso al significado. Desde el punto de vista estrictamente lingüístico, la postura endocéntrica, es decir, considerar que el núcleo del compuesto verbonominal es el nombre, podría cuestionarse. Más allá de eso, esta investigación abordó como única variable la frecuencia, sin tomar en cuenta la interacción entre las dos partes del compuesto, el valor semántico del verbo y su relación sobre el nombre. Por lo tanto, hasta el momento no existen estudios psicolingüísticos que aborden específicamente la construcción del significado de los compuestos verbonominales o que consideren la interacción entre el verbo y el nombre como posible variable que influye sobre el procesamiento e interpretación de estas unidades.
PARTICULARIDADES DE LOS COMPUESTOS VERBONOMBRE
A pesar de que en las lenguas del mundo la endocentricidad en la composición nominal sea más extensa (Dressler, 2006), existen patrones exocéntricos altamente productivos[2]. El caso de los compuestos verbo-nombre de las lenguas románicas es uno de ellos, ya que en general, refieren a dimensiones de la realidad innovadoras, tales como profesiones, actividades, o instrumentos. Esto quiere decir que los hablantes se enfrentan constantemente a formas verbonominales nuevas, ya sea de manera escrita u oral.
(1) a. Desbaratan una banda de “pincharrue das” colombianos. Clarín, 10/07/ 2014 b. El “rompenubes” fue ideado a finales de los años 90 por Don Croft, un activista estadounidense (…) http://www.humanidad libre.com/cloudbuster.html
En estos ejemplos, a causa de su exocentricidad, debe deducirse el referente. En el caso de (1.a), se trata de personas que se dedican a la actividad delictiva de pinchar ruedas, y en (1.b) el compuesto refiere a un instrumento capaz de romper una nube.
Si se toman los modelos psicolingüísticos para el acceso al significado, ¿cómo entran en juego las nociones de transparencia y com posicionalidad en estos casos? Desde un punto de vista lingüístico, Vare - la (1990) propone un análisis endocéntrico en la formación de estas palabras al incluir el sufijo agentivo –or al lexema verbal, el cual no tendría manifestación fonológica (ver Figura 3). La autora propone esto ya que
“tener que admitir que existen formaciones tan regulares y productivas de carácter exocéntrico constituye un punto débil en la teoría pues, por lo común, los compuestos morfológicamente transparentes, esto es, composicionales desde el punto de vista del contenido al igual que desde una perspectiva sintáctica, se comportan como sus núcleos” (p. 57).
En otras palabras, según esta perspectiva, la composicionalidad y transparencia de los compuestos verbo-nombre se da a partir del rasgo [+actor] que se materializaría en la semántica del referente. La autora propone que al igual que las palabras en derivadas –or, la codificación del significado parte desde el rasgo [+actor] como agente (gobernar; gobernador), instrumento (fumigar; fumigador), hasta la menos agentiva, que son los locativos (aparar; aparador). Esta forma de codificar y relacionar los lexemas entre sí es válida para la mayor parte de los casos (2), sin embargo, no da cuenta de la totalidad de las formas ni posibilidades (3), tanto del referente como del papel temático del nombre que lo incluye. Esto es importante desde el punto de vista psicolingüístico ya que, si un sujeto espera una estructura tématica subyacente en un compuesto verbo-nombre y encuentra otra, implicaría un costo cognitivo adicional.
(2) a. afilalápices x afila lápices
b. lavacopas x lava copas
c. escarbadientes x escarba dientes
d. recogepelotas x recoge pelotas
(3) a. cumpleaños *x cumpleaños
b. pasacalle *x pasa calle
c. apoyabrazos *x apoya brazos
d. girasol *x girasol
Sin entrar en las discusiones que la propuesta puede traer en el plano teórico, lo que cabe destacar es el valor del verbo y de la estructura temática asociada a la configuración del significado del compuesto. La posibilidad de tener el rasgo [+actor] y las derivaciones que se puedan hacer con esto (instrumento y locativo, por ejemplo) refieren a las interpretaciones que pueden representarse cognitivamente frente a un compuesto verbo-nombre nuevo o desconocido.
Semánticamente, es el elemento verbal el que aporta las restricciones en la construcción del compuesto y el que determina, de alguna manera, parte de su significado. Del lexema verbal depende la posibilidad de formación de nuevos verbo-nombre. El tipo de verbo y su estructura argumental determinan qué palabras son posibles o qué compuestos son imposibles de formar. Al respecto, Villoing afirma que
“la composición verbo-nombre acepta únicamente predicados verbales que incluyan al menos dos participantes semánticos” (2003, p. 191).
De esta manera, la primera restricción en la formación de estas palabras la impone el verbo y la cantidad de participantes que admite. En segundo lugar, los verbos que permiten formar compuestos de este tipo refieren a procesos y no a estados. Por ejemplo, una palabra posible pero inexistente en español sería cubrecuadros mientras que un compuesto verbo-nombre imposible sería *conoceciudades. A pesar de que existe una gran cantidad de compuestos que incluyen distintas bases verbales, todas ellas comparten un mismo tipo de predicado. La formación de palabras verbonominales excluye predicados que no denoten procesos, como los verbos de estado o percepción. Se puede ver la incompatibilidad de estos verbos en la formación de verbo-nombre en los ejemplos de (4.a). También quedan fuera los verbos que implican ‘emoción’ o ‘cognición’
(4.b) (4) a.*un tieneautos, *un parecelibro
b.*quiereanimales, *odiarradios
Queda claro que a pesar de no poseer un núcleo, las formas exocéntricas tienen sus propias restricciones semánticas. Un estudio reciente sobre el español, llevado a cabo por Yoon (2014), vuelve al centro del análisis la parte semántica. Aunque sostenga que no es relevante si se trata de compuestos endo o exocéntricos, la autora se interesa por las subclases semánticas de compuestos verbonombre, ya que según ella, no es posible hacer un único análisis semántico para toda la clase. Desde la perspectiva de la Construction Grammar, en un trabajo anterior Yoon (2009) propone dos tipos de compuestos verbo-nombre de acuerdo a su significado construccional. El Tipo 1 se caracteriza por tener más tran sitividad, un objeto afectado y un beneficiario del evento. Este tipo de compuesto lo formalizó como 5.a. El Tipo 2, en cambio, no tiene un beneficiario del evento, incluye predicados con menos transitividad, están más centrados en la acción y no en el estado (5.b).
(5) a. Tipo 1: limpiabotas: “x causa que Y cambie de estado y causa que Z reciba el beneficio de la acción”.
b. Tipo 2: saltamontes “X hace Y”
Ambos tipos se diferencian, a su vez, por su aktionsart, ya que el Tipo 1 se centra más en el accomplishment, es decir, en el resultado de la acción, mientras que el Tipo 2 no es el punto final ni el resultado del evento, está más enfocado en la naturaleza atélica del proceso. Las dos posibilidades de construcción llevan a una superconstrucción 1 [+beneficiario] y a la superconstrucción 2 [- beneficiario], rasgo que más diferencia los dos grupos. Desde el punto de vista de la Lin güística Cognitiva estas dos estructuras pueden ser diferenciadas en términos de operaciones conceptuales. Según Yoon (2014), como los hablantes están exigidos a construir, predecir e identificar nuevos significados que sean acordes a la gramática que conocen, la producción de compuestos verbonombre no puede ser aleatoria, sino que debe estar regulada por algún mecanismo cognitivo.
Por ello, en el estudio sobre el procesamiento de los compuestos verbo-nombre debería incorporase el valor del lexema verbal y el de la estructura argumental que proyecta sobre el nombre (en el plano semántico correspondería a la estructura temática). Es el verbo el que lleva el peso de las posibles interpretaciones y la relación entre los lexemas, ya que el nombre que se incorpora funcionaría como un argumento de este último.
Cabe preguntarse por lo tanto, si las diferencias en la asignación de esta estructura temática tienen un correlato a nivel del procesamiento cognitivo. ¿Cómo se construye el valor semántico de estas formas? ¿Cómo logran interpretarse e incorporarse al léxico decenas de palabras nuevas que corresponden a este patrón? Para el trabajo que se informa el objetivo fue analizar la posible influencia de la estructura argumental del verbo en el procesamiento de los compuestos verbo-nombre.
Para ello, se administró una prueba de decisión léxica con el fin de estudiar si existen diferencias en los tiempos de reacción ante distintos tipos de compuestos verbo-nombre. Previamente, se administró un test de juicios de aceptabilidad para normalizar los estímulos de acuerdo a las características dialectales del español de Argentina.
EXPERIMENTOS
EXPERIMENTO 1: JUICIO DE ACEPTABILIDAD DE PALABRAS MÉTODO
Al igual que ocurre con otros ítems léxicos, los compuestos verbo-nombre del español no son compartidos por todos los países y regiones hispanohablantes. Esto significa que se encuentran diferencias muy significativas al analizar los corpus de compuestos a nivel dialectológico. Para designar a un mismo referente, las palabras compuestas pueden presentar variaciones en el primer constituyente (en España se utiliza la palabra mondadientes, en México picadientes, mientras que en Argentina se utiliza escarbadientes para el mismo instrumento). A su vez, puede variar el nombre que acompaña a un mismo verbo (como por ejemplo, saltapajas, saltamontes, saltaprados para designar al mismo insecto). También puede ocurrir que instrumentos que son denominados con un compuesto en ciertos lugares tienen su equivalente en una palabra derivada en otros, como en el caso de lavarropas que en otras regiones hispanohablantes se denomina lavadora.
Para evitar que los estímulos no se correspondieran a la realidad lingüística de los participantes de la prueba experimental de decisión léxica, se evaluó la aceptabilidad de un conjunto de palabras del corpus para la comunidad de hablantes de Argentina. Se administró una Prueba de Juicio de Aceptabilidad en la que los sujetos participantes debían leer una serie de palabras y no palabras del español y decidir su grado de aceptabilidad en una es cala de Fisher de 1 a 5 (en la que 1 correspondía a nada aceptable, 2 poco aceptable, 3 aceptable, 4 muy aceptable y 5 perfecta). La prueba se administró a partir del sitio de experimentos online Ibex Farm (http://spellout. net/ibexfarm/) al que los participantes accedían por medio de un enlace junto con la explicación acerca del procedimiento. Antes de la prueba, se realizaron cinco ensayos para que los participantes se familiarizaran con la plataforma.
MATERIALES
A partir de la clasificación de compuestos elaborada en Güemes (2011), se seleccionaron tres grupos críticos de estímulos de acuerdo a la estructura argumental del verbo y a los roles temáticos que ocupa el referente de todo el compuesto. Se utilizó un diseño experimental para dividir los elementos críticos de acuerdo al referente del compuesto. Se consideraron tres clases: referente agentivo, como abrelatas, referente menos agentivo (aquellos con menos características de agente y con procesos metafóricos para la construcción del significado) como tragaluz o referente locativo (lugar en donde se produce la acción), como apoyabrazos. Se seleccionaron 36 estímulos para cada grupo (108 elementos críticos en total).
PARTICIPANTES
Colaboraron de manera voluntaria 102 hablantes de español de Argentina (74 mujeres y 28 hombres). El rango de edad de los sujetos se extendió de 18 a 65 años. Los participantes declararon no tener ni haber tenido problemas de lectoescritura y tener al menos 12 años de escolaridad cumplidos.
RESULTADOS
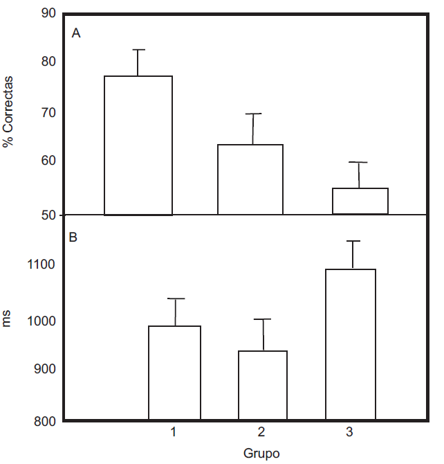
Los resultados de la evaluación de cada palabra fueron promediados para obtener un puntaje válido de aceptabilidad para cada una de ellas. Ese valor fue utilizado como norma subjetiva para la selección de los estímulos pertinentes para la prueba de decisión léxica. Se realizó una prueba estadística ANOVA de un factor para comparar las medias de score por grupo. Los resultados mostraron una disminución en el grado de aceptabilidad del compuesto en función del grupo al que pertenecía [F (2, 105) = 11.98, p < .01] (ver Gráfico 1).
EXPERIMENTO 2: PRUEBA DE DECISIÓN LÉXICA
MÉTODO
En el paradigma de decisión léxica los su - jetos deben decidir si la secuencia de letras que aparece en el centro de la pantalla conforma o no una palabra real. De esta manera, son recogidos los datos de los tiempos de respuesta, así como también el porcentaje de aciertos sobre los ítems. Se testearon tres grupos de compuestos de acuerdo al rol temático del referente.
La elección de los grupos de compuestos se basó en la clasificación de compuestos verbo -nombre llevada a cabo por Güemes (2011). En ese trabajo se recolectaron 1.042 compuestos verbo-nombre del español y se clasificaron de acuerdo a los roles temáticos proyectados por el verbo a partir de la propuesta de Dowty (1991) de los proto-Roles[3]. El Grupo 1 incluye a los verbos agentivos en los que el referente de todo el compuesto corresponde a un agente y el nombre a un paciente, ya que cumplen con todas las implicancias de los proto-Agentes y proto-Pacientes. Este tipo de compuestos presenta un alto grado de agentividad por parte del referente y afectación en términos de cambio de estado en el nombre que incorporan. Los verbos que presentan estos compuestos son, de acuerdo a la clasificación de predicados de Demonte (2002), de causación externa. Dentro de este grupo se pueden encontrar compuestos como cortaúñas, rompehielos, limpiavidrios. Todos ellos refieren a instrumentos (algo que V a N). El Grupo 2 incorpora compuestos que si bien presentan relaciones de tipo agente-paciente, no son tan prototípicas como las del Grupo 1, al no cumplir con todas las implicancias de los proto-Roles. Además de no presentar la característica prototípica de agentividad y afectación, estos compuestos pueden incluir procesos metafóricos o metonímicos en la construcción del significado. En este grupo se encuentran compuestos como chupacirios, metepatas, que refieren a nombres calificativos que hacen salientes características humanas o simplemente objetos que no se presentan en escenarios con un agente, como tragaluz, salvapantalla. Finalmente, el Grupo 3 incorpora compuestos que refieren a lugares (lugar en donde x hace V a N), cuyos predicados corresponden a verbos complejos de cambio de lugar / causación interna en la clasificación de Demonte. Ninguno de ellos presenta agentividad ni afectación en el sentido de cambio de estado. Entre ellos se encuentran compuestos como guardarropas, escurreplatos, posavasos.
PARTICIPANTES Y PROCEDIMIENTO
Treinta hablantes de español (20 mujeres y 10 hombres) de entre 19 y 34 años participaron de la prueba de decisión léxica de manera voluntaria. Todos los sujetos eran estudian tes universitarios con 12 años de escolaridad cumplidos y declararon no presentar problemas de lectura, visuales, psiquiátricos o neurológicos. La prueba fue administrada en un cuarto cerrado y silencioso del Labora torio de Lingüística y Neurobiología Experimental del Lenguaje y fue diseñada en Python ( www.python.org ). Se presentó en bloques de 120 palabras y las pausas eran autoadministradas por los sujetos. Los participantes debían responder con las dos teclas del teclado, lo más rápido posible pero acertadamente, si la secuencia presentada en la pantalla correspondía o no a una palabra real. Como variables comportamentales se registraron el porcentaje de aciertos y los tiempos de respuesta.
MATERIALES
Se evaluaron 480 palabras durante la prueba. Tres grupos de 25 compuestos verbonombre, 75 compuestos en total, constituye ron los ítems experimentales (Grupo 1: Prototípicos, Grupo 2: Menos prototípicos y Grupo 3: Locativos). Se conformaron cinco listas para evitar un efecto de priming entre los compuestos que presentaban partes similares (ya sea por repetición del elemento verbal o nominal). A cada participante se le presentó una lista sin repeticiones en un diseño de cuadrado latino. Los ítems experimentales no superaban el 20% de la prueba, el resto de la prueba fue completado con fillers de distinta naturaleza (palabras complejas de longitud similar y otros tipos de compuestos como nombre-nombre o adjetivo-nombre).
Las listas fueron balanceadas para que el 50% fueran palabras y el 50% no palabras; el orden de los estímulos era aleatorio.
Para la selección de estímulos experimentales se eligieron las palabras que obtuvieron puntajes de aceptabilidad por encima de la media (más de 2.70). Las palabras con un pun taje bajo en los scores de aceptabilidad no se tuvieron en cuenta en los resultados (el rango de aceptabilidad fue de 2.74 a 4.95). Esto garantizó que las palabras utilizadas duran te la prueba fueran pertinentes para la variedad del español utilizada en Argentina.
Todos los grupos de estímulos fueron controlados en longitud, frecuencia total, frecuencia y longitud de los constituyentes (ver Tabla 1). La frecuencia de los materiales fue obtenida a partir de la base de datos del BCBL (Basque Center on Cognition, Brain and Language). La medida de frecuencia utilizada fue la frecuencia por millón de palabras (frq).
La frecuencia del primer constituyente (verbal) presentaba diferencias entre los grupos 1, 3 y 2, ya que la frecuencia del Grupo 2 para el primer constituyente es más alta que para los otros grupos. La frecuencia del segundo constituyente es más alta para el Grupo 3. Estas diferencias en la frecuencia deberían ser un facilitador (menor tiempo de reacción) para el Grupo 3.
CONCLUSIONES
La cuestión de cómo se procesan e interpretan las palabras compuestas es esencial para comprender los procesos de formación del significado en el léxico mental. Numerosos estudios (Gagné, 2000; Libben, 1994, 1998) se han ocupado de indagar acerca de la naturaleza semántica de este tipo de producto morfológico. La mayor parte de estos estudios se enfocan en formas compuestas en las que el procesamiento se realiza a través de un núcleo que aporta los rasgos referenciales, ya que están basados en compuestos nombre-nombre, altamente productivos en lenguas como el inglés o el alemán. Por otra parte, otros trabajos han permitido esclarecer los factores relevantes en el procesamiento de los compuestos, como la transparencia, composicionalidad, frecuencia de los constituyentes o tamaño de la familia morfológica (Duñabeitia et al., 2007; Mondini et al., 2004). Sin embargo, hasta el momento no existe ningún estudio psicolingüístico que aborde las particularidades de los compuestos verbo-nombre para su procesamiento. Lo que revela el estado de la cuestión hasta el momento es que se necesita profundizar el estudio de los factores o rasgos morfosintácticos que regulan el acceso al significado, con el fin de comprender con mayor profundidad el funcionamiento de las palabras compuestas verbo-nombre en el léxico mental. En concordancia con investigaciones anteriores y con la intención de integrar los hallazgos sobre las palabras compuestas hasta el presente, este trabajo tuvo como objetivo hacer evidente el valor que tiene la estructura argumental del verbo y la proyección de los roles temáticos en el procesamiento e interpretación de los compuestos verbo-nombre. Una de las cuestiones más interesantes de estos ítems léxicos es la interpretación de los mismos. Al carecer de un núcleo que garantice la interpretación del referente, solamente se puede acceder al significado a partir de la relación que los lexemas mantienen entre sí. Se administró una prueba de decisión léxica en la que se contrastaban tres grupos de compuestos que diferían en su estructura argumental (agentivo, menos agentivo, locativo). A partir de los resultados del experimento llevado a cabo, se puede observar que las diferencias de tiempo no pueden ser explicadas por un efecto de frecuencia o de longitud. Por el contrario, las diferencias en longitud y frecuencia por constituyente podrían resultar en un efecto facilitador para el grupo menos prototípico, lo cual no fue consistente con los resultados. La única diferencia entre los estímulos es el tipo de estructura argumental que proyecta el verbo sobre el nombre. Así, los resultados principales de este trabajo pueden resumirse de la siguiente manera: (1) en una tarea de decisión léxica, cuando la estructura argumental que subyace a un compuesto verbo-nombre es manipulada y los demás factores son controlados (frecuencia, longitud), se encuentran diferencias en los tiempos de reacción de acuerdo con el tipo de estructura que presenta, (2) cuanto más prototípica es la estructura del compuesto (agente-paciente) menor es el tiempo de reacción frente al compuesto, (3) estas diferencias son significativas entre los grupos más prototípicos y los locativos y (4) las diferencias en los tiempos de reacción parecen indicar que la estructura argumental juega un rol en el procesamiento de estas unidades.
En resumen, la estructura argumental del verbo dentro de un compuesto verbo-nombre, al igual que otros rasgos morfológicos de los constituyentes, juega un rol relevante en el procesamiento del mismo. Los grupos que presentan una estructura temática agente-paciente son más prototípicos de la clase de verbo-nombre y por lo tanto, más fáciles de procesar. Los compuestos verbo-nombre que presentan estructuras locativas son más difíciles de procesar, lo que se traduce en un mayor tiempo de reacción. Los resultados sugieren que no solo a nivel cognitivo este tipo de información es clave para el procesamiento del léxico, sino que existen patrones preferenciales, esquemas más simples que el sistema identifica como patrones prototípicos. Asimismo, los resultados obtenidos aportan aún más evidencia de la descomposición durante la lectura de los compuestos. Por último, este estudio respalda la idea de que el procesamiento de la estructura argumental que tiene un lexema verbal no solo incide a nivel oracional, sino que también es parte de la organización del léxico mental.
El estudio realizado pone en evidencia que la estructura argumental está presente en el procesamiento de los compuestos verbo-nombre. Sin embargo, no permite distinguir si los patrones más prototípicos y productivos son el resultado de una preferencia general en la lengua por las relaciones semánticas que involucran un agente (i.e. si las relaciones agente-paciente son prototípicas para esta clase de palabras porque contienen en sí rasgos semánticos más simples a nivel lingüístico), o si por el solo hecho de ser más productivo, este patrón resulta más fácil de procesar. Esta cuestión solo se puede resolver con más investigaciones que respalden estos resultados en otro tipo de palabras (derivados nominales agentivos, por ejemplo) o asociando esta información sobre los compuestos con estudios a nivel oracional. El estudio de los compuestos verbo-nombre deja abierta la posibilidad de entender que las estructuras léxico-semánticas más prototípicas podrían dar cuenta de esquemas que están presentes no solo a nivel sintáctico, sino también en el procesamiento morfológico y a nivel cognitivo. Resulta crucial continuar con los estudios de los patrones semánticos que se proyectan en distintos niveles y estructuras, para hallar evidencias concluyentes sobre la construcción del significado desde una perspectiva cognitiva.






Referencias
Baayen, R.H., Dijkstra, T. & Schreuder, R. (1997). Singular and plurals in Dutch: Evidence for a parallel dual-route model. Journal of Memory and Language, 37, 94-117.
Beyersmann, E., Dunabeitia, J.A., Carreiras, M., Coltheart, M. & Castles, A. (2013). Early morphological decomposition of suffixed words: Masked priming evidence with transposed-letter nonword primes. Applied Psycholinguistics, 34(05), 869-892.
Bybee, J. (1995). Regular morphology and the lexicon. Language and Cognitive Processes, 10, 425-455. http://dx.doi.org/10.1080/01690969 508407111
Demonte, V. (2002). Preliminares de una clasificación léxico-sintáctica de los predicados verbales del español [Preliminary classification of lexical-syntactic verbal predicates in Spanish]. Ex oriente lux: Festchrift für Eberhard Gärtner zu Seinem, 60, 121-144.
Dowty, D. (1991). Thematic proto-roles and argument selection. Language, 67(3), 547-619. http:/ /dx.doi.org/10.2307/415037
Dressler, W. (2006). Compound types. En G. Libben & G. Jarema (Eds.), The representation and processing of compound words (pp. 23- 44). Oxford: Oxford University Press. http:// dx.doi.org/10.1093/acprof:oso/9780199228 911.003.0002
Duñabeitia, J.A., Perea, M. & Carreiras, M. (2007). The role of the frequency of constituents in compound words: Evidence from Basque and Spanish. Psychonomic Bulletin & Review, 14, 1171-1176.
Gagné, C. (2000). Relation-based combinations versus property-based combinations: A test of the CARIN theory and the dual-process theory of conceptual combination. Journal of Memory and Language, 42(3), 365-389.
Gagné, C. & Spalding, L. (2006). Conceptual combination: Implications for the mental lexicon. En G. Libben & G. Jarema (Eds.), The representation and processing of compound words (pp. 144-168). Oxford: Oxford University Press. http://dx.doi.org/0.1093/acprof:oso/9780199228911.003.0007
Güemes, M.M. (2011). Les noms composés VN (verbe + nom) en espagnol: Structure interne et interprétation [The names compounds (verb + noun) in Spanish: Internal structure and interpretation]. Tesis de Maestría no publicada. Paris: Université Paris VII-Paris Diderot.
Isel, F., Gunter, T.C. & Friederici, A.D. (2003). Prosody-assisted head-driven access to spoken German compounds. Journal of Experimental Psychology Learning Memory and Cognition, 29(2), 277-288. http://dx.doi.org/10.103 7/0278-7393.29.2.277
Jaichenco, V. & Wilson, M. (2013). El rol de la morfología en el proceso de aprendizaje de la lectura en español [The role of morphology in reading acquisition in Spanish]. Interdisciplinaria, 30(1), 85-100. http:/dx.doi.org/10.168 88/inerd.2013.30.1.5
Koester, D., Gunter, T.C., Wagner, S. & Friederici, A.D. (2004). Morphosyntax, prosody, and linking elements: The auditory processing of German nominal compounds. Journal of Cognitive Neuroscience, 16, 1647-1668 [pubmed: 15601526].
Koester, D., Gunter, T.C. & Wagne, S. (2007). The morphosyntactic decomposition and semantic composition of German compound words investigated by erps. Brain and Language, 102, 64-79. [pubmed: 17055044].
Koester, D., Holle, H. & Gunter, T.C. (2009). Electrophysiological evidence for incremental lexical-semantic integration in auditory compound comprehension. Neuropsychologia, 47, 1854-1864 [pubmed: 19428417].
Libben, G. (1998). Semantic transparency in the processing of compounds: Consequences for representation, processing, and impairment. Brain and Language, 61(1), 30-44.
Libben, G. (2005). Everything is psycholinguistics: Material and methodological considera tions in the study of compound processing. The Canadian Journal of Linguistics / La Revue Canadienne de Linguistique, 50(1), 267-283.
Libben G., Derwing, B.L. & de Almeida, R.G. (1999). Ambiguous novel compounds and models of morphological parsing. Brain and Language, 68, 378–386. [pubmed: 10433784].
Mondini, S., Luzzatti, C., Zonca, G., Pistarini, C. & Semenza, C. (2004). The mental representation of verb-noun compounds in Italian: Evidence from amultiple single-case study in aphasia. Brain and Language, 90(1-3), 470-477.
Nicoladis, E. (2006). Preschool children’s acquisition of compounds. En G. Libben & G. Jarema (Eds.), The representation and processing of compound words (pp. 96-124). Oxford: Oxford University Press. http://dx.doi.org/10.10 93/acprof:oso/9780199228911.003.0007
Real Academia Española (2009). Nueva gramática de la lengua española. Morfología y sintaxis [New grammar of the Spanish language. Morphology and syntax]. Madrid: Espasa.
Sandra, D. (1990) On the representation and processing of compound words: Automatic access to constituent morphemes does not occur. Quarterly Journal of Experimental Psychology A: Human Experimental Psychology, 42, 529-567.
Scalise, S. & Guevara E. (2006). Exocentric compounding in a typological framework. Lingue e Linguaggio, 5(2), 185-206.
Taft, M. (2004). Morphological decomposition and the reverse base frequency effect. The Quarterly Journal of Experimental Psychology, 57(A), 745-765 [pubmed: 15204131].
Varela, S. (1990). Composición nominal y estructura temática [Nominal composition and thematic structure]. Revista Española de Lingüística, 20(1), 55-81.
Villoing, F. (2003). Les mots composés VN du français: Arguments en faveur d’une construction morphologique [Compound words VN in French: Arguments for a morphological construction]. Cahiers de Grammaire, 28, 183-196.
Yoon, J. (2009). Constructional meanings of verbnoun compounds in Spanish: Limpiabotas vs. tientaparedes. Language Sciences, 31(4), 507- 530.
Yoon, J. (2014). The role of constructional meanings in novel verb-noun compounds in Spanish. Romance Perspectives on Construc tion Grammar, 15, 37.
Zwitserlood, P. (1994). The role of semantic transparency in the processing and representation of Dutch compound words. Language and Cognitive Processes, 9, 341-368. http://dx.doi.org/ 10.1080/0 1690969408402123
Libben, G. (1994). How is morphological decomposition achieved? Language and Cognitive Processes, 9(3), 369-391. http://dx.doi.org/1 0.1080/01690969408402124
Notas