Artículos
Inteligencia, funciones ejecutivas y rendimiento académico de adolescentes de 13 y 14 años de Resistencia (Chaco, Argentina)
Intelligence, Executive Functions and Academic Achievement in Adolescents of 13 and 14 years old
Inteligencia, funciones ejecutivas y rendimiento académico de adolescentes de 13 y 14 años de Resistencia (Chaco, Argentina)
Interdisciplinaria, vol. 38, núm. 3, pp. 83-102, 2021
Centro Interamericano de Investigaciones Psicológicas y Ciencias Afines

Recepción: 27 Enero 2020
Aprobación: 13 Mayo 2021
Resumen: El ámbito educativo, indudablemente, puede beneficiarse de los aportes de las neurociencias, enfoque desde el cual, en este estudio, se plantearon los objetivos de explorar la relación existente entre la capacidad intelectual (CI), las funciones ejecutivas (FE) y el rendimiento académico (RA) en adolescentes; analizar si la CI y las FE constituyen variables predictoras del RA, e indagar el funcionamiento ejecutivo de la muestra según la CI fuera baja o alta. Para ello, se realizó un estudio no experimental, transversal, descriptivo-correlacional, en el que participaron 36 sujetos de 13-14 años. Los instrumentos de evaluación utilizados fueron WISC-IV, BANFE-2 y el registro de calificaciones provisto por la institución educativa. Los datos obtenidos fueron sometidos a análisis descriptivos, de correlación y de regresión. Los resultados arrojaron correlación positiva significativa entre las variables CI y FE, y entre la prueba WISC-IV y RA, determinándose el CI como variable predictiva del RA, mientras que en relación con las FE evaluadas con BANFE-2 solo se encontró asociación estadísticamente significativa con las subpruebas correspondientes al área prefrontal anterior. Además se observaron diferencias significativas entre los grupos de alta y baja CI en las FE de planificación, memoria de trabajo (MT) y fluidez verbal, en favor del grupo de alto desempeño intelectual. La conclusión se centra en la importancia de involucrar los hallazgos sobre los diferentes procesos cognitivos en el diseño de las estrategias pedagógicas para favorecer al máximo el RA del estudiante. Finalmente, las limitaciones versaron en relación con el tamaño muestral, y se proponen futuras líneas de estudio que posibiliten generalizar los resultados.
Palabras clave: neurociencias, inteligencia, funciones ejecutivas, rendimiento académico, adolescentes.
Abstract: The study of the relationship between executive functions, intellectual abilities, and academic achievement plays an important role in the field of cognitive neuroscience, particularly for their implications in the educational field. Intelligence has been linked to executive functions. In fact, core aspects of intelligence, such as reasoning, problem-solving and planning, are often included in the wide range of frontal lobe functions and over laps with the so-called higher-level executive functions. In addition, executive functioning abilities are associated with skills put in play when participating in learning activities at school. In this sense, different studies have demonstrated that a lower performance on executive function measures typically is associated with a lower performance across different academic areas. The aim of this work was focused on the relationship between intelligence and executive functions, and their ability to predict academic achievement. In the present study, a non-experimental, transversal and descriptive-correlational design was implemented to explore the relationship between intellectual abilities, executive functions, and academic performance in a sample of 37 adolescents (17 girls) aged 13-14 years. The information was collected through the school reports of participants, and their performance on tests BANFE-2 (neuropsychological battery of the executive functions and frontal lobes) and WISC-IV (Wechsler intelligence scale for children 4th Ed.). Also, adolescents were classified into two groups (high- and low performers) based on their performance on the general intelligence score. Participants with IQ scores below the median were assigned to the low-performing group, while participants with IQ scores above the median were assigned to the high-performing group. The data obtained were subjected to descriptive, correlation and regression analyses. Results showed a pattern of positive and significant correlations between executive functions variables (BANFE-2) and intelligence scores (WISC-IV). The 69 % of significant correlations indicated a moderate – strong degree of association (i. e., 49
Keywords: neurosciences, intelligence, executive functions, academic performance, teenagers.
Introducción
Las neurociencias se definen como un campo interdisciplinar que proporciona información sobre cómo funciona el cerebro, en su desarrollo normal y patológico, posibilitando una mayor comprensión de la conducta humana. Por ello, el ámbito educativo no debería mantenerse ajeno a dicha información, pues el cerebro constituye la base del aprendizaje y todo aprendizaje transforma el cerebro (Portellano, 2018).
El procesamiento cognitivo complejo se vincula al desempeño óptimo de la corteza prefrontal, asiento de las funciones ejecutivas (en adelante, FE) que conjuntamente con otras habilidades cognitivas sustentan y fortalecen la inteligencia. En este sentido, la asociación entre FE y capacidad intelectual (en adelante, CI) ha sido analizada en una multiplicidad de estudios, entre ellos, los que reportan correlación FE y CI como la investigación efectuada por Arán-Filippetti et al. (2015) en la que participaron niños (7-10 años) y adolescentes (11-15 años), quienes hallaron que las FE se asocian tanto con la inteligencia cristalizada como con la inteligencia fluida de modo selectivo, dependiendo de la etapa del desarrollo evolutivo. De este modo, las correlaciones entre CI y FE resultaron entre bajas y moderadas en adolescentes, mientras que en los niños no solo fueron bajas, sino que se presentaron solamente en algunas funciones. Por su parte, Artigas-Pallarés et al. (2007), bajo la suposición de que los test de inteligencia involucran tareas de FE, plantearon que es razonable comprender que al menos una parte de los pacientes diagnosticados con capacidad intelectual límite (CIL, es decir, CI entre 71 y 84) pueda presentar un rendimiento menor en este tipo de pruebas. Esta hipótesis fue corroborada tras un estudio con 51 pacientes con CIL, quienes evidenciaron un marcado patrón disejecutivo con afectación en la totalidad de las actividades que evaluaron FE, y con una afectación aún mayor en la memoria de trabajo (en adelante MT), la planificación y la metacognición. Asimismo, Luque et al. (2014) hallaron evidencias de un menor desempeño en MT y la velocidad de procesamiento en niños con CIL, evaluados con la Escala WISC-IV. En otro estudio realizado con sujetos de 8 a 15 años con CI alto, se encontraron diferencias estadísticamente significativas en las FE de flexibilidad e inhibición, no así en la MT, lo cual sugiere que el perfil cognitivo de superdotación presenta un mejor funcionamiento ejecutivo en tareas que implican flexibilidad e inhibición (Sastre-Riba y Viana-Sáenz, 2016); en este punto se aprecia que CI y FE se encuentran ligadas.
Las FE se destacan junto a las funciones cognitivas de percepción, memoria, atención, lenguaje, razonamiento, etcétera, debido a que han evidenciado una estrecha relación con el rendimiento académico –en adelante, RA– (Pardos y González, 2018). Al respecto, Tamayo et al. (2018) hallaron una asociación estadísticamente significativa entre el desempeño de FE y el desarrollo de competencias escolares de estudiantes que egresan del nivel secundario. Por su parte, Korzeniowski (2018) expuso la existencia de una relación estrecha entre las FE y el RA, corroborada mediante estudios neuropsicológicos que han identificado predictores cognitivos específicos ligados a competencias académicas específicas. Relacionado con ello, Londoño-Ocampo et al. (2019), en un grupo de estudiantes de 7 a 14 años, observaron una relación estadísticamente significativa entre el RA bajo y un desempeño pobre –con exceso de errores y omisiones– en las pruebas neuropsicológicas que evaluaron las FE de planificación, automonitoreo, autocorrección y resolución de problemas, mientras que Bestué (2019) encontró que cuanto menor es el déficit en FE de adolescentes (12 a 18 años), el RA mejora. En la misma línea, Gordon et al. (2018) reportaron la influencia de la velocidad de procesamiento en el desempeño de tareas de FE como predictor de logro académico en escolares, mientras que, en población adolescente, Ramos-Galarza et al. (2017) documentaron que a mayor déficit en las FE, mayores dificultades conductuales asociadas significativamente con un RA bajo. También en estudiantes adolescentes, Cancela et al. (2019) hallaron relación estrecha entre las FE y la aptitud física, y determinaron la influencia de ambas variables sobre el RA.
La evidencia ha puesto de manifiesto las FE como variables predictoras del RA, lo que tiene sentido si se considera que los procesos subyacentes al funcionamiento ejecutivo –como las capacidades de organizar, planificar, dirigirse a una meta, pensar soluciones ante determinados conflictos o actividades, inhibir respuestas inadecuadas (emocionales o cognitivas), etcétera– se asocian directamente a aptitudes puestas en marcha constantemente cuando se realizan las tareas académicas o escolares. Muestra de ello, la revisión bibliográfica realizada por Stelzer et al. (2019), que permite visualizar cómo los factores cognitivos en estudiantes de primaria y secundaria van ligados a las actividades y aprendizajes académicos, como el conocimiento de las fracciones. De este modo, la atención predice este conocimiento a nivel conceptual y procedimental. Asimismo, en la etapa inicial de la enseñanza sistemática, el lenguaje y la inteligencia fluida posibilitan su conocimiento conceptual, mientras que en años de escolaridad avanzada, el ejecutivo central resulta predictor de dicho conocimiento. Asimismo, Magalhães et al. (2020) identificaron la flexibilidad cognitiva como componente clave para el RA, principalmente en estudiantes mayores (correspondientes a 4.° y 6.°), en los que se obtuvieron asociaciones significativas entre el desempeño en tareas de flexibilidad y resultados académicos. En otro estudio, García-Madruga et al. (2014) reportaron correlaciones positivas y significativas entre la FE de MT y la inteligencia fluida con la comprensión lectora, y detectaron ambas variables como predictoras del RA en una muestra de escolares de 3.°. Por su parte, Montes et al. (2020), tras una revisión sistemática de los estudios que vinculan las variables del RA y las FE, documentaron una producción variable entre los años 2000 y 2018, con un incremento considerable en los últimos años, con un predominio de estudios empíricos en los que se corroboran correlaciones significativas entre el constructo de FE con otras variables, como: Matemáticas, Lenguaje, Inglés, Ciencias, y las variables objeto de la presente investigación: Inteligencia y RA. Sin embargo, la revisión de los antecedentes derivó en el hallazgo de solo un estudio en el que se asociaron el RA, las FE y la inteligencia, de la que se consideró el plano emocional. En una muestra de escolares de 10 y 11 años, Mejía (2019) reportó asociación entre la inteligencia emocional y las FE, y entre las FE y el RA en matemáticas. En base a lo expuesto, ya que se observa una falta de estudios en adolescentes en los que se contemplen las variables de FE, CI y RA de forma conjunta, es que esta investigación se planteó los objetivos de: (1) explorar la relación existente entre CI, FE y RA; (2) determinar si la CI y las FE constituyen predictores del RA en adolescentes de 13 y 14 años de edad; y (3) analizar la muestra con alto y bajo desempeño en el WISC-IV en relación con el funcionamiento ejecutivo, a fin de proveer datos que posibiliten pensar las prácticas educativas y las estrategias pedagógicas para el nivel secundario, a la luz de nuevos aportes neurocientíficos.
Conforme a los objetivos, teniendo en cuenta la evidencia teórica y empírica hallada, se plantearon las hipótesis directrices de este estudio: (1) se presume asociación positiva entre CI, FE y RA; (2) las variables CI y FE evaluadas con WISC-IV y BANFE-2, en sus puntuaciones totales, constituyen predictivos del RA en adolescentes de 13-14 años; y (3) los estudiantes con alto desempeño en CIT (WISC-IV) presentan un mejor rendimiento en las tareas de FE, mientras que el grupo de bajo desempeño en CIT evidencian un rendimiento menor en relación a FE.
Inteligencia- Capacidad Intelectual (CI)
La inteligencia puede definirse como la “capacidad de un individuo para actuar con una finalidad, pensar racionalmente y relacionarse adecuadamente con el entorno” (Wechsler, 1944, p. 3). En la actualidad, los estudios confluyen en la aceptación de que la inteligencia presenta una estructura jerárquica con aptitudes más específicas agrupadas en dominios más amplios; en este punto, la inteligencia es concebida como una entidad global, que involucra la conducta del sujeto como un todo, y es –al mismo tiempo– específica al componerse de diferentes elementos o habilidades, tales como la comprensión verbal, el razonamiento abstracto, la organización perceptual, la memoria, la velocidad de procesamiento. Esta entidad global se encuentra representada por la CI (Wechsler, 2011).
Funciones ejecutivas (FE)
Conocer la estructura de las FE permite diseñar intervenciones preventivas eficaces para la estimulación cognitiva de niños que evidencian dificultades tempranas, orientar las intervenciones y evitar dificultades en relación con el RA y las habilidades sociales (Tirapu-Ustárroz et al., 2018). Las FE comprenden un conjunto de capacidades que permiten controlar, regular y planear las conductas y los procesos cognitivos, mediante las cuales se pueden desarrollar actividades independientes, propositivas y productivas (Lezak, 1994). Tirapu-Ustárroz et al. (2018) conceptualizan las FE como un conjunto de habilidades involucradas en actividades que son novedosas para la persona e implican una resolución creativa. Cada FE presenta una trayectoria evolutiva diferente, aunque en su mayoría los estudios coinciden en que el punto máximo lo alcanzan todas entre los 6 y 10 años de edad, continuando su desarrollo en edades posteriores. La inhibición y el control atencional maduran tempranamente, mientras que memoria de trabajo, planificación, categorización, metacognición, resolución de problemas, control de interferencia y fluidez verbal evolucionan en la adolescencia con auge entre los 15 y 19 años. Estos hechos evolutivos-madurativos representan la coordinación entre los diversos procesos cognitivos que, en simultáneo con cambios estructurales, funcionales y neuroquímicos de las redes neurales (sustrato de las FE), desembocan en un mejor desempeño (Korzeniowski, 2018).
Rendimiento académico (RA)
En el ámbito educativo, es frecuente el uso de términos como “RA”, “desempeño académico” y “capacidad académica” como sinónimos. Las diferencias entre sí se presentan en un plano semántico y su empleo indistinto va ligado a la complejidad conceptual que involucra definir RA. Cardona et al. (2016) han conceptualizado el RA como “la valoración cuantitativa y cualitativa del logro de competencia alcanzado en el proceso de enseñanza-aprendizaje, dentro de un contexto de desempeño específico” (p. 428) y, asimismo, plantean la existencia de múltiples factores que repercuten en el RA. En este punto, Villegas (2015), tras un análisis exhaustivo de las variables influyentes en el RA, observó que el mayor impacto lo presentaron las variables relacionadas con factores psicológicos, sociales, familiares, económicos, características del profesor y laborales.
Conforme a lo establecido por Garbanzo (2014), las notas académicas constituyen el mejor indicador para estimar el RA, pues representan los logros en los diferentes componentes del aprendizaje. En este sentido, el presente estudio toma, como referencia de RA, las calificaciones de los estudiantes.
Metodología
Se realizó una investigación no experimental, transversal, descriptiva-correlacional con fines exploratorios.
Participantes
La muestra se estableció por conveniencia y estuvo constituida por 37 adolescentes: 20 varones y 17 mujeres de 13 y 14 años de edad, estudiantes de 1.°, 2.° y 3.° de una institución de nivel secundario de educación, de gestión privada, en la Ciudad de Resistencia, Chaco, Argentina.
Instrumentos
Escala de Inteligencia para Niños de Wechsler - WISC-IV (Wechsler y Kodama, 1949; Wechsler, 2011)
Instrumento de aplicación individual para la evaluación de la capacidad cognoscitiva de niños desde los 6 años y 0 meses a 16 años y 11 meses de edad. Consta de 15 subpruebas y puntuaciones compuestas que representan el funcionamiento intelectual en dominios cognitivos específicos, así como una puntuación compuesta que representa la capacidad intelectual general. Proporciona una medida de CI total (CIT), un índice de comprensión verbal (ICV), un índice de razonamiento perceptivo (IRP), un índice de memoria operativa (IMO) y un índice de velocidad de procesamiento (IVP).
En el estudio de baremación local (Taborda et al., 2011), los coeficientes de fiabilidad de consistencia interna mostraron valores buenos y altos. Los coeficientes se encontraron dentro del rango .74-.88 para los subtest, mientras que oscilaron entre .86 y .95 para las puntuaciones compuestas. Los coeficientes de la estabilidad test-retest obtenidos mostraron valores buenos y adecuados. Los coeficientes se encontraron dentro del rango .70-.86 para los subtest, mientras que para las puntuaciones compuestas oscilaron entre .76 y .89. Por último, los coeficientes referidos al acuerdo entre calificadores independientes resultaron ser elevados (.96-.99).
Batería Neuropsicológica para evaluar las Funciones Ejecutivas y Lóbulos Frontales – BANFE-2 (Flores et al., 2014)
Se trata de un instrumento que agrupa un número importante de pruebas neuropsicológicas de alta confiabilidad y validez para la evaluación de los procesos cognitivos que dependen, principalmente, de la corteza prefrontal en sujetos de 6 a 80 años de edad. Está compuesta por 14 subpruebas, agrupadas según las bases neuroanatómicas-funcionales en las que se asientan: las que evalúan funciones complejas que dependen de la corteza orbitofrontal y de la corteza prefrontal medial (por ejemplo, control inhibitorio, capacidad para determinar relaciones riesgo-beneficio, toma de decisiones, capacidad para respetar límites y seguir reglas), de la corteza prefrontal dorsolateral (MT visoespacial, flexibilidad mental, planeación, planificación, secuenciación inversa, fluidez verbal), y de la corteza prefrontal anterior (productividad, capacidad de abstracción, capacidad de selección de sentido abstracto, metamemoria). La batería provee un índice global del desempeño y un índice para cada una de las tres áreas prefrontales evaluadas (orbitomedial, dorsolateral y prefrontal anterior). El instrumento tiene una concordancia entre aplicadores de .80, y una validez convergente y clínica (Flores et al., 2014).
Registro anual de calificaciones
En este documento la institución educativa asienta las calificaciones obtenidas por los estudiantes en cada uno de los espacios curriculares, detalladas por trimestre. En este estudio se consideraron las calificaciones correspondientes al primer trimestre del ciclo lectivo 2018, período coincidente con la administración de WISC-IV y BANFE-2. Las calificaciones varían de 1 a 10: un RA de excelente a muy bueno se corresponde con notas de 8 a 10; un RA regular o promedio involucra notas de 6 y 7, y un RA pobre, calificaciones de 5 a 1.
Procedimiento
En primera instancia, se mantuvieron reuniones con el equipo directivo de la escuela secundaria para explicar los alcances de la investigación y, una vez obtenidas las autorizaciones correspondientes para el ingreso al local escolar, se solicitaron los consentimientos informados a los tutores de los estudiantes. Luego, se procedió a la administración de las pruebas por parte de personal capacitado quienes, en el transcurso del horario escolar, administraron BANFE-2 y WISC-IV en jornadas diferentes. Posterior a ello, se realizaron las correcciones de las pruebas administradas y se elaboró una base de datos con las puntuaciones totales y las calificaciones obtenidas por los sujetos en cada uno de los espacios curriculares, a fin de someterlos a análisis estadísticos y finalmente interpretar los resultados y establecer conclusiones.
Aspectos éticos
Esta investigación contempla los artículos correspondientes a la sección 4 (Investigación) establecidos por el Código de Ética de la Federación de Psicólogos de la República Argentina (Fe.P.R.A., aprobado en 1999 y modificado en 2013) y, en específico, los puntos referidos a Divulgación y Publicaciones (sección 6). Al mismo tiempo, se tuvo presente la Ley de Protección Integral de los Derechos de las Niñas, Niños y Adolescentes N.° 26.061 (2005).
A nivel institucional, se obtuvieron las autorizaciones correspondientes por parte del personal directivo del colegio, lo cual posibilitó el acceso y el contacto con docentes, padres y estudiantes. Para la participación de los adolescentes se obtuvieron los consentimientos informados de sus tutores. Asimismo, mediante un manejo cuidadoso de la información personal, se efectuaron las acciones necesarias para respetar los derechos humanos.
Plan de análisis
Para llevar a cabo los objetivos, se optó por una muestra pareada, de tal manera que se seleccionó a aquellos sujetos que habían completado las pruebas WISC-IV, BANFE-2, y de los cuales se habían obtenido las calificaciones académicas.
Análisis descriptivos
Para caracterizar a la población de adolescentes que participaron del proyecto, se efectuaron análisis univariados de las variables sexo y edad. Para ello, se determinaron los tamaños de muestra, medianas, valores mínimos y máximos. Asimismo, se realizaron contrastes entre los puntajes obtenidos de ambos sexos para explorar si mujeres y varones tenían puntuaciones estadísticamente equivalentes. Para ello, se implementó la prueba no paramétrica . de Mann Whitney para muestras independientes. Por último, se determinaron las distribuciones de las puntuaciones obtenidas en los distintos rangos preestablecidos en cada prueba (i. e., WISC-IV y BANFE-2).
La muestra quedó conformada por 36 adolescentes (entre los que había 17 mujeres) y se optó por eliminar un caso dado que había obtenido una puntuación total en la batería WISC-IV inferior a 2 desvíos respecto a la media (Tabla 1). La edad media de varones y mujeres fue de 13.4 años (Mujeres: DE = .71, Mín-Máx = 12-14; Varones: DE = .96, Mín-Máx = 12-16). Los puntajes totales obtenidos en ambas pruebas resultaron ser similares entre varones y mujeres (WISC-IV: Z = 1.33, p = .183; BANFE-2: Z = 1.89, p = .59.
Con respecto a la distribución de las categorías a partir de las puntuaciones totales obtenidas en las pruebas WISC-IV y BANFE-2, se observó que la mayoría de los participantes se ubicaron por debajo de la categoría media. En cuanto a BANFE-2, la mayoría de la muestra (61 %) se ubicó entre las categorías alteración severa (44 %) y leve (17 %), mientras que la parte restante (39 %) entre las categorías normal (33 %) y normal alto (6 %). En WISC-IV se observó que el 33 % obtuvo una puntuación en la categoría medio, mientras que el 67 % obtuvo una puntuación inferior: medio bajo (22 %), inferior (22 %) y extremadamente bajo (17 %); por último, solo el 6 % obtuvo puntuaciones por encima de la categoría medio: medio alto (3 %) y superior (3 %).
| Pruebas | M | DE | Mín - Máx |
| BANFE-2 | |||
| Área Orbitomedial | 88.47 | 24.21 | 43 - 129 |
| Prefrontal Anterior | 87.17 | 20.86 | 50 - 128 |
| Dorsolateral (MT + FE) | 80.42 | 22.33 | 46 - 128 |
| Total FE | 77.81 | 22.80 | 44 - 124 |
| WISC-IV | |||
| ICV | 91.22 | 18.96 | 56 - 130 |
| IRP | 84.86 | 14.59 | 54 - 113 |
| IMO | 93.75 | 19.11 | 55 - 132 |
| IVP | 78.89 | 18.37 | 50 - 113 |
| CIT | 85.06 | 15.44 | 55 - 121 |
Análisis de correlación
Se realizó un análisis de correlación entre las variables relacionadas con diferentes pruebas: (i. e., WISC-IV vs BANFE-2) con el objetivo de identificar el grado de asociación entre ellas. Asimismo, se realizó un análisis de correlación entre las puntuaciones de las variables de RA (i. e., notas de las materias). Debido a las características no paramétricas en la mayoría de las variables incluidas, se ejecutó una correlación de Spearman.
Análisis de regresión
Los análisis de regresión simple se efectuaron con el objetivo de predecir el RA a partir de los puntajes en las distintas subpruebas de BANFE-2 y WISC-IV. Es decir, se generaron modelos utilizando el RA (e. g., nota en matemáticas) como variable dependiente y el desempeño cognitivo (e. g., puntuación en CIT) como variable independiente o predictora.
Análisis del funcionamiento ejecutivo según el desempeño en CI
El objetivo de este análisis fue explorar el funcionamiento ejecutivo de los participantes según su desempeño alto o bajo en el CI. En primer lugar, se seleccionaron y agruparon diferentes variables de las pruebas que integran BANFE-2 según un criterio de dominio cognitivo: planificación, flexibilidad mental, inhibición, MT, metamemoria y fluidez verbal. De este modo:
Planificación. Incluyó las pruebas Laberintos y Torre de Hanoi: Laberintos (atravesar), Laberintos planeación (sin salida), Laberintos (tiempo), Hanoi tres discos (movimientos), Hanoi tres discos (tiempo), Hanoi cuatro discos (movimientos), Hanoi cuatro discos (tiempo).
Flexibilidad mental. Incluyó la prueba Clasificación de Cartas: Cartas (aciertos), Cartas (perseveraciones), Cartas (tiempo), Cartas (error).
Inhibición. Incluyó la prueba Stroop: Stroop A (aciertos), Stroop A (error), Stroop A (tiempo), Stroop B (aciertos), Stroop B (error), Stroop B (tiempo).
MT. Incluyó las pruebas de Resta Consecutiva y MT Verbal, Ordenamiento Alfabético (Ordenamiento alfabético): Resta A (aciertos), Resta A (tiempo), Resta B (aciertos), Resta B (tiempo), Ordenamiento alfabético 1, Ordenamiento alfabético. 2, Ordenamiento alfabético 3.
Metamemoria. Incluyó la prueba Curva de Metamemoria: Metamemoria errores (+), Metamemoria errores (-).
Fluidez verbal (FV). Incluyó la prueba Generación de Verbos: FV aciertos, FV perseveraciones.
Una vez generadas las variables, se evaluaron los supuestos de normalidad y homocedasticidad. Al verificarse el no cumplimiento de tales supuestos para la mayoría de las variables, se procedió a implementar análisis no paramétricos. A fin de reducir el número de variables inicialmente generadas, se hizo una selección de ellas. Para ello, se realizó un análisis de correlación entre las variables según dominio cognitivo (i. e., las correlaciones fueron internas a cada dominio) mediante la prueba de Spearman. A pesar de la posibilidad de una redundancia en la información, se decidió no cruzar las correlaciones entre dominios debido al tamaño muestral bajo y a la imposibilidad de generar modelos complejos de análisis. Se identificaron aquellas variables con un alto y significativo grado de asociación (coeficiente de Spearman [rho] ≥ .50 y su valor de significación [p] < .05). En dichos casos, se seleccionó una sola de las variables asociadas en función a la que estaba mayormente asociada con las demás.
En segundo lugar, los participantes del estudio fueron clasificados en base a su puntuación total (i. e., alta o baja) en WISC-IV. Aquellos que habían obtenido una puntuación por encima de la mediana fueron asignados al grupo alto desempeño, mientras que aquellos que tenían puntuación por debajo de la misma fueron asignados al grupo bajo desempeño. Por último, se contrastó el desempeño de ambos grupos (i. e., alto y bajo) mediante la prueba no paramétrica para muestras independientes Mann Whitney. Todos los p-valores fueron sometidos a la corrección false Discovery rate (FDR – q < .05, función de Matlab fdr_bh.m) de Benjamini-Hochber (Benjamini y Hochberg, 1995) para controlar la proporción esperada de falsos positivos entre todos los contrastes considerados como significativos.
Resultados
Análisis de correlación
Los resultados de correlación entre las subpruebas de BANFE-2 y WISC-IV mostraron correlaciones significativas entre la mayoría de las subpruebas (Tabla 2). En todos los casos se encontraron correlaciones significativas positivas. El 69 % de las correlaciones significativas (p < .05) resultó tener un grado de asociación moderada/fuerte (i. e., 49 < r(35) < 73), mientras que el resto de las correlaciones mostró un grado de asociación débil (i. e., 37 < r(35)< 50). Asimismo, las subpruebas que estuvieron menos relacionadas con el resto de las subpruebas fueron las involucradas en el Área Orbitomedial, seguida por las incluidas en IMO e IRP. Por otro lado, tanto la puntuación total de la prueba WISC-IV como la de BANFE-2 mostraron ser las que mayormente se asociaron con las subpruebas de la BANFE-2 y de WISC-IV, respectivamente. Mientras que las puntuaciones totales (i. e., CIT y Total FE) mostraron tener mayor cantidad de asociaciones.
| BANFE-2 | WISC-IV | r | p |
| Área Orbitomedial | ICV | .42 | .010 |
| IRP | .14 | .429 | |
| IMO | .09 | .585 | |
| IVP | .27 | .106 | |
| CIT | .31 | .064 | |
| Prefrontal Anterior | ICV | .50 | .002 |
| IRP | .24 | .150 | |
| IMO | .37 | .027 | |
| IVP | .43 | .008 | |
| CIT | .53 | .001 | |
| Dorsolateral (MT + FE) | ICV | .58 | < .001 |
| IRP | .54 | < .001 | |
| IMO | .21 | .209 | |
| IVP | .62 | < .001 | |
| CIT | .73 | < .001 | |
| Total FE | ICV | .64 | < .001 |
| IRP | .50 | .002 | |
| IMO | .31 | .060 | |
| IVP | .47 | .004 | |
| CIT | .70 | < .001 |
Los resultados de correlación en el RA entre las distintas materias mostraron correlaciones significativas entre la mayoría de las disciplinas (Tabla 3). En todos los casos se encontraron correlaciones significativas positivas. El 72 % de las correlaciones significativas (p < .05) resultó tener un grado de asociación moderada, mientras que el resto de las correlaciones mostró un grado de asociación débil. Por otro lado, Educación Artística resultó ser la disciplina que se correlacionó de menor manera con el resto. En particular, Educación Artística mostró una correlación significativa solo con Educación Física, espacio curricular que más se asoció con el resto.
| r valor del índice de correlación (rho) p valor de significación | |||||||||
| 1 | 2 | 3 | 4 | 5 | 6 | 7 | 8 | 9 | |
| 1 | 1 1 | .74 < .001 | .62 < .001 | .29 .085 | .56 < .001 | .54 < .001 | .66 < .001 | .55 < .001 | .53 < .001 |
| 2 | 1 1 | .73 < .001 | .14 .402 | .58 < .001 | .63 < .001 | .72 < .001 | .55 < .001 | .60 < .001 | |
| 3 | 1 1 | .16 .337 | .52 .001 | .52 .001 | .64 < .001 | .58 < .001 | .53 < .001 | ||
| 4 | 1 1 | .39 .017 | -.08 .653 | .24 .158 | .15 .383 | .31 .067 | |||
| 5 | 1 | .47 .004 | .63 < .001 | .41 .014 | .51 .001 | ||||
| 6 | 1 1 | .60 < .001 | .48 .003 | .37 .027 | |||||
| 7 | 1 1 | .61 < .001 | .48 .003 | ||||||
| 8 | 1 1 | .40 .016 | |||||||
| 9 | 1 1 | ||||||||
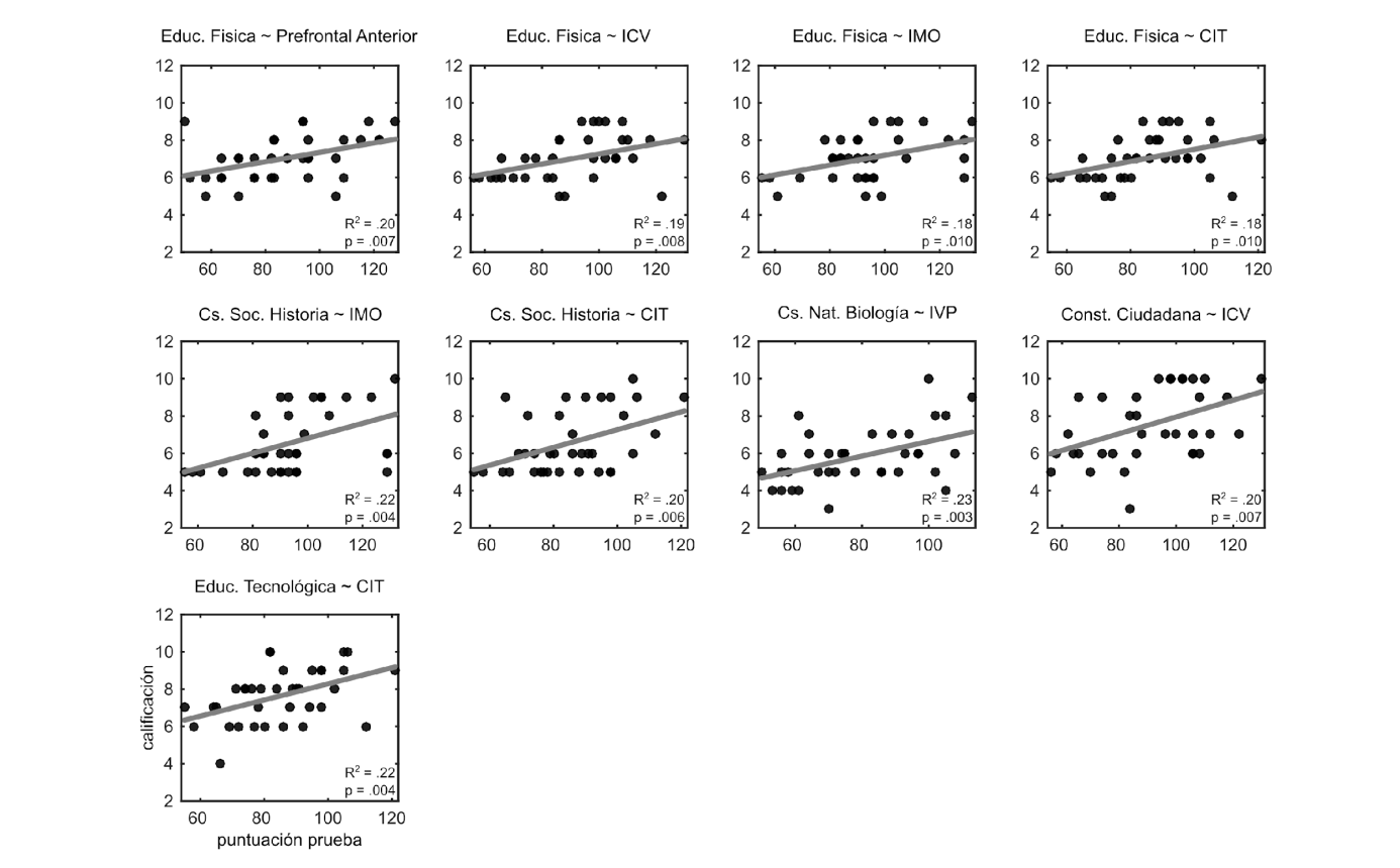
A continuación, se reportan los modelos que resultaron ser significativos y que cumplieron con los supuestos de independencia, homocedasticidad y normalidad (Figura 1). En general, los resultados mostraron un grado de asociación lineal mayor entre RA y WISC-IV, respecto a la relación del RA con la BANFE-2. Asimismo, se encontró que todas las relaciones lineales resultaron ser positivas, es decir que el desempeño cognitivo se relacionó positivamente con el RA. Las subpruebas de WISC-IV y BANFE-2 que mostraron predecir el RA se muestran en la Tabla 4.

| VD ~ VI | ß | t | IC 95% | R2 | F | p |
| Educ. Física ~ Pref. Ant. | .025 | 2.88 | .007 - .043 | .20 | 8.3 | .007 |
| Educ. Física ~ ICV | .027 | 2.81 | .008 - .047 | .19 | 7.9 | .008 |
| Educ. Física ~ IMO | .026 | 2.75 | .007 - .046 | .18 | 7.6 | .010 |
| Educ. Física ~ CIT | .033 | 2.74 | .008 - .057 | .18 | 7.5 | .010 |
| Soc. Historia ~ IMO | .040 | 3.07 | .014 - .067 | .22 | 9.4 | .004 |
| Cs. Soc. Historia ~ CIT | .048 | 2.91 | .014 - .081 | .20 | 8.5 | .006 |
| Cs. Nat. Biología ~ IVP | .039 | 3.17 | .014 - .064 | .23 | 10.0 | .003 |
| Const. Ciudadana ~ ICV | .045 | 2.89 | .013 - .077 | .20 | 8.4 | .007 |
| Educ. Tecnológica ~ CIT | .043 | 3.06 | .015 - .072 | .22 | 9.3 | .004 |
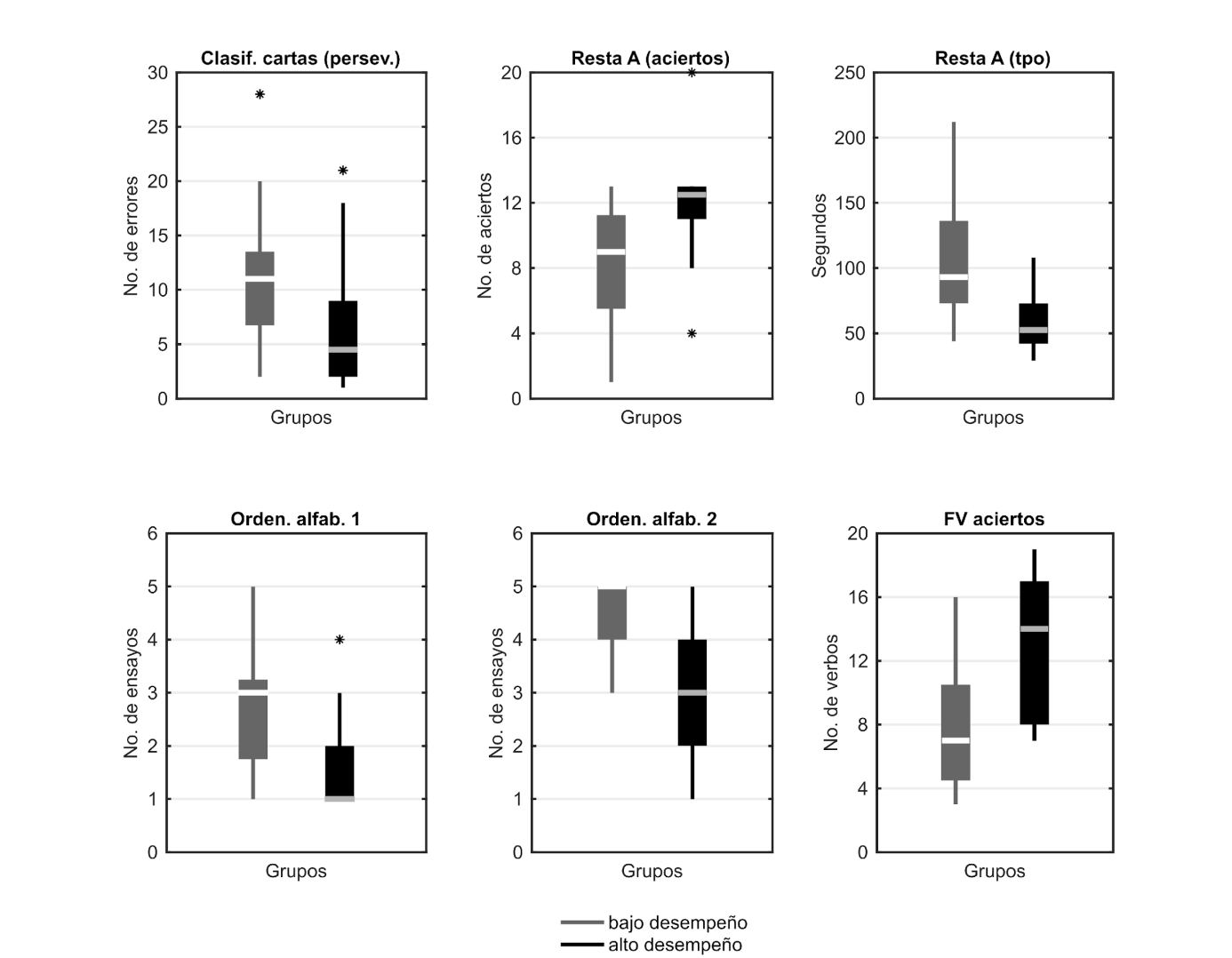
Funcionamiento ejecutivo según el desempeño en WISC-IV-CIT
Seguidamente se muestran los análisis descriptivos y de contraste (véase Tabla 5) según grupo de estudio (i. e., alto y bajo desempeño). A partir de los análisis de correlación de Spearman las variables de BANFE-2 seleccionadas e incluidas en el presente análisis fueron las siguientes: Laberintos (atravesar), Laberintos planeación (sin salida), Laberintos (tiempo), Hanoi tres discos (movimientos), Hanoi cuatro discos (movimientos) - Planificación; Clasificación cartas (perseveraciones), Clasificación de cartas(tiempo), Clasificación de cartas (error)- Flexibilidad mental; Stroop A (aciertos), Stroop B (aciertos), Stroop B (tiempo) - Inhibición; Resta A (aciertos), Resta A (tiempo), Ordenamiento alfabético 1, Ordenamiento alfabético 2 - MT; Metamemoria errores (+), Metamemoria errores (-) -Metamemoria; FV aciertos, FV perseveraciones -Fluidez verbal.
| Bajo desempeño | Alto desempeño | MW | TE | ||||||||
| Variable | n | Mdn | Mín. | Máx | n | Mdn | Mín | Máx | Z | p | r |
| Lab. (atravesar) | 17 | 1 | 0 | 6 | 18 | 0 | 0 | 6 | .34 | .821 | .057 |
| Lab. plan. (sin salida) | 17 | 2 | 0 | 12 | 18 | 2 | 0 | 10 | .42 | .821 | .071 |
| Laberintos (tpo) | 17 | 38 | 18 | 67 | 18 | 34 | 18 | 115 | 1.12 | .560 | .190 |
| Hanoi 3 discos (mov.) | 17 | 8 | 5 | 27 | 18 | 10 | 6 | 19 | .35 | .821 | .060 |
| Hanoi 4 discos (mov.) | 17 | 25 | 7 | 42 | 18 | 23 | 0 | 59 | .56 | .779 | .095 |
| Clasif. cartas (persev.) | 17 | 11 | 2 | 28 | 18 | 4.5 | 1 | 21 | 2.43 | .047 | .411 |
| Clasif. cartas (tpo) | 17 | 458 | 45 | 600 | 18 | 486 | 232 | 600 | .02 | .987 | .003 |
| Clasif. cartas (error) | 17 | 0 | 0 | 4 | 18 | 1 | 0 | 3 | .11 | .967 | .018 |
| Stroop A (aciertos) | 16 | 83 | 54 | 84 | 18 | 83 | 76 | 84 | .86 | .678 | .147 |
| Stroop B (aciertos) | 17 | 84 | 54 | 84 | 18 | 84 | 82 | 84 | 1.11 | .560 | .188 |
| Stroop B (tpo) | 17 | 93 | 78 | 196 | 18 | 94.5 | 59 | 125 | .79 | .678 | .134 |
| Resta A (aciertos) | 17 | 9 | 1 | 13 | 18 | 12.5 | 4 | 20 | 2.62 | .033 | .444 |
| Resta A (tpo) | 17 | 93 | 44 | 212 | 18 | 52.5 | 29 | 108 | 3.20 | .014 | .541 |
| Orden. alfab. 1 | 17 | 3 | 1 | 5 | 18 | 1 | 1 | 4 | 2.76 | .027 | .467 |
| Orden. alfab. 2 | 17 | 5 | 3 | 5 | 18 | 3 | 1 | 5 | 3.19 | .014 | .539 |
| Metam. errores (+) | 17 | 2 | 0 | 14 | 18 | 1.5 | 0 | 8 | .92 | .678 | .156 |
| Metam. errores (-) | 17 | 3 | 0 | 12 | 18 | 2 | 0 | 11 | 1.42 | .421 | .240 |
| FV aciertos | 17 | 7 | 3 | 16 | 18 | 14 | 7 | 19 | 2.97 | .019 | .501 |
| FV persev. | 17 | 0 | 0 | 1 | 18 | 0 | 0 | 1 | .68 | .725 | .115 |
Los resultados de los análisis de contraste arrojaron diferencias significativas entre los grupos de estudios en algunas de las variables de los dominios cognitivos planificación, MT y fluidez verbal (Figura 2). De manera particular, para la variable de clasificación de cartas (perseveraciones), la mediana del grupo bajo desempeño fue significativamente mayor a la del grupo alto desempeño. Por otro lado, para la variable de MT resta A (aciertos), la mediana del grupo bajo desempeño fue significativamente menor respecto a la del grupo alto desempeño. Asimismo, para las variables resta A (tiempo), ordenamiento alfabético 1 y 2 se encontró que la mediana en el grupo bajo desempeño fue significativamente mayor respecto a la del grupo alto desempeño. Por último, en cuanto a la variable de fluidez verbal FV aciertos, se encontró que la mediana fue significativamente menor en el grupo bajo desempeño respecto a la del grupo alto desempeño.

Discusión
Conforme a los objetivos de este estudio, se exploraron las relaciones existentes entre CI, FE y el RA de adolescentes de 13 y 14 años; se estudiaron las variables CI y FE como posibles predictoras del RA y se analizó el funcionamiento ejecutivo de la muestra agrupando los participantes según su desempeño fuera alto o bajo en WISC-IV.
La primera hipótesis involucró la presunción de asociación positiva entre la CI, las FE y el RA. Al respecto, los resultados mostraron una correlación positiva de moderada a fuerte entre las variables CI y FE, lo que supone que el incremento o la disminución en una de ellas involucraría un alto o bajo desempeño en la otra, respectivamente.
Se observó que el rendimiento en tareas que ponen en marcha las FE de planificación, MT y flexibilidad cognitiva se hallan principalmente ligadas al CI de los adolescentes de la muestra. Seguidas por aquellos dominios involucrados en la metacognición y que se vinculan con aspectos cognitivos del lenguaje. Por último, las vinculadas a la inhibición y toma de decisiones. Los resultados son congruentes con estudios que documentan dicha relación en la infancia y en la adolescencia tanto en poblaciones no clínicas (Arán-Filippetti et al., 2015; Injoque-Ricle et al., 2017; Sastre-Riba y Viana-Sáenz, 2016) como clínicas (Artigas-Pallarés et al., 2007; Luque et al., 2014). Por ejemplo, como el realizado por Sastre-Riba y Viana-Sáenz (2016) con sujetos superdotados intelectualmente, cuyo perfil cognitivo se vinculó a una ejecución óptima de actividades que involucraron las FE de flexibilidad mental e inhibición. Asimismo, un estudio con niños con CIL comprobó que aquellos con CI bajo presentaron un rendimiento pobre en tareas de MT y velocidad de procesamiento (Luque et al., 2014); con anterioridad y en sintonía Artigas-Pallarés et al. (2007) relacionaron CIL con disfunciones ejecutivas. Resultados interesantes obtuvieron Arán-Filippetti et al. (2015), quienes asociaron inteligencia fluida y cristalizada con los dominios ejecutivos, y sugirieron que la inteligencia y las FE son componentes de la cognición diferenciados, debido a que las correlaciones fueron bajas. Además, concluyeron que las FE serían un dominio cognitivo relativamente independiente en sujetos de 6 a 12 años; en tanto que en los adolescentes mostraron relación con las habilidades intelectuales, por lo que el desarrollo evolutivo sería una variable determinante. En sintonía, en otro estudio determinaron el poder predictivo de la edad y de la inteligencia en la FE planificación, en estudiantes de 6 a 13 años (Injoque-Ricleet al., 2017). Se ha abordado la relación entre inteligencia y FE en poblaciones de diferentes franjas de edad, por ejemplo, Maureira (2018) tras una revisión de 14 estudios empíricos realizados en sujetos sanos, reportó que en el 93 % de dichos estudios se presentó algún grado de relación o predictibilidad entre los constructos en cuestión; de este modo en escolares, adolescentes, universitarios, adultos y gemelos se exponen relaciones variables entre CI y FE; entre CI y planificación, inhibición y MT. Resultados diferentes se reportan en otros estudios en los que no se encontró asociación estadísticamente significativa entre la inteligencia y las FE (Montoya-Arenas et al., 2018).
Jara y Villegas (2016) consideran que el desarrollo esperable de las destrezas y habilidades escolares es paralelo al correcto funcionamiento de las FE. En este punto, explorar aquí las variables CI y FE como posibles predictoras del RA pusieron en escena resultados interesantes, confirmando tan solo parcialmente la hipótesis 2, en tanto que se observó un grado de asociación lineal mayor entre RA y WISC-IV, respecto a la relación entre RA y la BANFE-2, no pudiendo afirmarse que tanto FE (evaluadas con BANFE-2) como la CI (evaluadas con WISC-IV) son predictivas del RA, como podría esperarse. Conforme a lo expuesto, la CI sería una variable predictiva del RA en mayor medida que el desempeño de las FE, siendo mejor índice predictor la puntuación en CIT, seguido de ICV, IMO e IVP pertenecientes a la prueba WISC-IV, mientras que de la prueba BANFE-2 solo las pruebas incluidas en la subescala prefrontal anterior (i. e., metafunciones que involucran funciones ejecutivas más complejas tales como el razonamiento abstracto, planificación, predicción y monitoreo del desempeño) resultaron indicadores asociados al RA. Este resultado es consistente con lo hallado por Tamayo et al. (2018) que estudiaron las FE con BANFE-2 en adolescentes en relación a las competencias académicas; los resultados arrojaron correlación significativa baja entre las variables, evidenciando algún grado de asociación entre RA y FE. Mientras, en edad escolar, Fonseca et al. (2016) observaron correlaciones variables entre FE y RA, según diferentes rangos de edad, e informaron correlaciones fuertes entre asignaturas y MT, fluidez, planificación y flexibilidad en escolares de entre 6 y 9 años, y con inhibición en escolares de 10 años. Pero en niños de 7, 8 y 12 años las correlaciones fueron moderadas entre memoria, atención, planificación e inhibición con varias materias en cada edad. En este punto, Londoño-Ocampo et al. (2019) comprobaron la existencia de relación estadística significativa entre FE y edad, e informaron la asociación de un bajo RA con un desempeño por debajo en tareas que involucraban automonitoreo, planificación y resolución de problemas.
Por su parte, Villagómez et al. (2017) evaluaron MT, inhibición y habilidad verbal en relación al éxito académico en matemáticas, lenguaje, biología e historia en adolescentes, reportando correlaciones entre estas tres últimas y MT, y entre inhibición y lenguaje e historia. En congruencia, Korzeniowski (2018) analizó cómo determinadas FE se vinculan a ciertos dominios de la currícula, exponiendo que matemáticas se asocia a MT, inhibición, planificación y resolución de problemas, a la vez que las FE, en general, cumplen un papel esencial durante la adquisición y la comprensión de la lectura, además de propiciar el control cognitivo y la autorregulación del proceso de escritura. En relación a esto, una investigación con estudiantes universitarios ha reportado diferencias estadísticamente significativas en el funcionamiento ejecutivo dependiendo de su RA: aquellos cuyo RA fue alto, presentaron mejor desempeño en FE de fluidez verbal y flexibilidad, en contraste con quienes tuvieron RA promedio o bajo. Mientras, en las FE de MT y control inhibitorio, no se hallaron diferencias consistentes (Jiménez-Puig et al., 2019). En un grupo de adolescentes, Rojas-Rincón y Rincón-Lozada (2015) hallaron diferencias estadísticamente significativas entre el grupo de alto RA y el de bajo RA, en las FE fluidez, planeación y organización, observando que resultados favorables en las pruebas se asociaron a buenos resultados en RA. La vinculación entre el FE y el RA se ha estudiado ampliamente, quedando demostrada en poblaciones de diferentes nivel educativo, por ejemplo, en estudiantes de primaria (García et al., 2014; Gordon et al., 2018; Magalhães et al., 2020; Mejía, 2019) y de secundaria (Bestué, 2019; Cancela et al., 2019; Ramos-Galarza et. al., 2017;Rojas-Rincón y Rincón-Lozada, 2015).
En cuanto a la hipótesis 3 de este estudio, se comprobó que las diferencias en el desempeño entre el grupo de CI alto y CI bajo se presentaron en los dominios de FE (i. e., prefrontal dorsolateral) que estuvieron mayormente asociados con CI, a saber: MT, flexibilidad y fluidez verbal. En particular, se observó que en tareas de flexibilidad el grupo de bajo desempeño cometió mayor número de errores de perseveración que el de alto desempeño. Asociado a MT dicho grupo mostró mayor cantidad de aciertos (i. e., recuerdo de listas con mayor cantidad de elementos) y menor tiempo de ejecución, mientras que el grupo de bajo desempeño demoró más y los aciertos resultaron ser menores que el de alto desempeño. Con respecto a la fluidez verbal, la mediana fue significativamente menor en los sujetos del grupo de bajo desempeño en contraste con los de alto desempeño. En un estudio se reportaron resultados similares, López y Calero (2018) estudiaron FE en menores con CI alta y CI dentro del promedio, encontrando diferencias significativas entre estos grupos en MT, planificación y fluidez verbal; funciones cuyo mejor desempeño fue en los sujetos con CI alta; mientras que la FE flexibilidad no reveló diferencias intergrupales, de igual modo que en esta investigación. Además, los autores aclararon que el potencial de aprendizaje no presentó diferencias entre los grupos evaluados, aspecto ligado al RA que resultó vinculada a la CI de los participantes de este estudio.
Asimismo se observó que el desempeño en MT resultó ser el más relevante para diferenciar los adolescentes con alto y bajo CI, dado que se hallaron diferencias significativas en dos pruebas distintas (ordenamiento alfabético y resta consecutiva), y en diferentes aspectos como la cantidad de aciertos y los tiempos de ejecución. Este resultado es consistente con lo hallado por otros estudios tanto en adultos (Friedman et al., 2006) como en adolescentes (Duan et al., 2010; Arán-Filippetti et al., 2015) que muestran asociaciones más fuertes entre FE y CI en el componente MT, y otros que sugieren un rol explicativo central de la MT respecto de las dificultades encontradas tanto en niños y adolescentes con CI bajo (Artigas-Pallarés et al., 2007; Luque et al., 2014).
En concordancia con Korzeniowski (2018), se considera que tener claridad sobre el rol que tienen los diferentes procesos cognitivos, tanto los ligados a CI como a FE y demás dominios sobre las competencias académicas particulares a cada etapa de la educación, se constituye en punto de partida para la integración de las contribuciones de las neurociencias al ámbito educativo para, desde allí, potenciar prácticas educativas que deriven en la creación de ambientes cognitivamente estimulantes, considerando que favorecerían un mejor desarrollo de las FE (Londoño-Ocampo et al., 2019), y transversalmente, conforme a los resultados expuestos, al desempeño intelectual y académico.
Conclusión
Esta investigación procuró contribuir al estudio de las relaciones existentes entre FE, CI y RA en una muestra de adolescentes de una institución educativa de nivel secundario, intentando cubrir una parcela de conocimiento poco abordada, en tanto que la evidencia no ha arrojado resultados satisfactorios en el abordaje conjunto de las tres variables en población adolescente. En este sentido, se destacan los resultados, entendiendo la importancia de conocer la asociación entre CI y FE, para favorecer el RA en estudiantes de nivel secundario y, a la luz de ello, pensar las prácticas educativas/pedagógicas desde diseños curriculares basados en aportes neurocientíficos.
Siendo conscientes de las limitaciones en relación al número muestral, se insta al desarrollo de nuevas líneas de investigación que contemplen un mayor número de participantes, que permitan generar modelos complejos de análisis (e. g., modelos de mediación múltiple, modelos mixtos), y posibiliten un análisis más preciso y riguroso, en tanto que se observó que el desempeño ha sido inferior al promedio -tanto en WISC-IV como en BANFE-2- en gran porcentaje de la muestra participante pudiendo interferir en los resultados obtenidos.
Además, cabe resaltar que los resultados ligados a la totalidad de BANFE-2 no evidenciaron ser predictores del RA, mientras que la bibliografía actual ha establecido asociaciones entre algunas FE y el éxito académico, por lo que se considera que este aspecto también puede constituirse de interés en estudios venideros.
Referencias bibliográficas
Arán-Filippetti, V., Krumm, G.L. y Raimondi, W. (2015). Funciones Ejecutivas y sus correlatos con Inteligencia Cristalizada y Fluida: Un estudio en Niños y Adolescentes. Revista Neuropsicología Latinoamericana, 7(2), 24-33. https://doi.org/10.5579/rnl.2015.0213
Artigas-Pallarés, J., Rigau-Ratera, E. y García-Nonell, C. (2007). Capacidad de inteligencia límite y disfunción ejecutiva. Revista de Neurología 44(2), 67-69. https://doi.org/10.33588/rn.44S02.2006662
Benjamini, Y. y Hochberg, Y. (1995). Controlling the false discovery rate: a practical and powerful approach to multiple testing. Journal of the Royal Statistical Society: series B (Methodological), 57(1), 289-300. https://doi.org/10.1111/j.2517-6161.1995.tb02031.x
Bestué, M. (2019). Las Funciones Ejecutivas en la adolescencia y su relación con el rendimiento académico [Tesis de Maestría]. Universidad de Zaragoza, España.https://zaguan.unizar.es/record/87197/files/TAZ-TFM-2019-911.pdf?version
Cancela, J., Burgo, H. y Sande, E. (2019). Physical fitness and executive functions in adolescents: cross-sectional associations with academic achievement. Journal of Pshysical Therapy Science, 31(7), 556-562. https://doi.org/10.1589/jpts.31.556
Cardona, S., Vélez, J. y Tobón, S. (2016). Contribución de la evaluación socioformativa al rendimiento académico en pregrado. Educar, 52(2), 423-447. https://doi.org/10.5565/rev/educar.763
Duan, X., Wei, S., Wang, G. y Shi, J. (2010).The relationship between executive functions and intelligence on 11-to 12-year-old children. Psychological Test and Assessment Modeling, 52(4), 419. https://doi.org/10.1016/j.ecresq.2009.06.001
Federación de Psicólogos de la República Argentina- Fe.P.R.A. (aprobado 10/02/1999, modificado 30/11/2013). Código de Ética. http://fepra.org.ar/docs/C_ETICA.pdf
Flores, J., Ostrosky, F. y Lozano, A. (2014). BANFE-2 Batería Neuropsicológica de Funciones Ejecutivas y Lóbulos Frontales. 2° ed. México: El Manual Moderno.
Fonseca, G. P., Rodríguez, L. C. y Parra, J. H. (2016). Relación entre funciones ejecutivas y rendimiento académico por asignaturas en escolares de 6 a 12 años. Hacia la Promoción de la Salud, 21(2), 41-58. https://doi.org/10.17151/hpsal.2016.21.2.4.
Friedman, N. P., Miyake, A., Corley, R. P., Young, S. E., Defries, J. C. y Hewitt, J. K. (2006). Not all executive functions are related to intelligence. Psychological Science, 17(2), 172-179. https://doi.org/10.1111/j.1467-9280.2006.01681.x
García-Madruga, J., Vila, J., Gómez-Veiga, I., Duque, G. y Elosúa, M. (2014). Executive processes, reading comprehension and academic achievement in 3th grade primary students. Learning and Individual Differences, 35, 41-48. https://doi.org/10.1016/j.lindif.2014.07.013
Garbanzo, V. G. (2014). Factores asociados al rendimiento académico tomando en cuenta el nivel socioeconómico: Estudio de regresión múltiple en estudiantes universitarios. Revista Electrónica Educare, 18(1), 119-154. https://www.redalyc.org/pdf/1941/194128798005.pdf
Gordon, R., Smith-Spark, J., Newton, E. y Henry, L. (2018). Executive Function and Academic Achievement in Primary School Children: The Use of Task-Related Processing Speed. Frontiers in Psychology, 23. https://doi.org/10.3389/fpsyg.2018.00582
Injoque-Ricle, I., Barreyro, J. P., Calero, A. y Burin, D. I. (2017). Poder predictivo de la edad y la inteligencia en el desempeño de una tarea de planificación: Torre de Londres. Avances en Psicología Latinoamericana, 35(1), 107-116. https://doi.org/10.12804/revista.urosario.edu.co/apl/a.4116
Jara, V. N. F. y Villegas, E. A. A. (2016). Estudio comparativo del desempeño de las tareas de funciones ejecutivas de fluidez verbal, planificación e interferencia entre escolares de 6 a 9 años de edad asistentes al colegio de los Sagrados Corazones de la comuna de Hualpén con educación tradicional y al colegio Andes de la comuna de San Pedro de la Paz con educación holística de la Ciudad del Gran Concepción, Región del Biobío, año 2016. [Tesis de Licenciatura, Universidad del Desarrollo]. https://repositorio.udd.cl/handle/11447/1303
Jiménez-Puig, E., Broche-Pérez, Y., Hernández-Caro, A. A. y Díaz-Falcón, D. (2019). Funciones ejecutivas, cronotipo y rendimiento académico en estudiantes universitarios. Revista Cubana de Educación Superior, 38(2). http://scielo.sld.cu/scielo.php?script=sci_arttextypid=S0257-43142019000200015
Korzeniowski, C. (2018). Las funciones ejecutivas en el estudiante: su comprensión e implementación desde el salón de clases. [Resolución N° 56] Dirección General de Escuelas. http://www.mendoza.edu.ar/wp-content/uploads/2016/05/Las-funciones-ejecutivas-del-estudiante_-Dra.-Celina-Korzeniowski-2018_FINAL.pdf
Lezak, M. (1994). Neuropsychological Evaluation. New York: Oxford UniversityPress.
Londoño-Ocampo, L., Becerra-García, J., Arias-Castro, C. y Martínez-Bustos, P. (2019). Funciones ejecutivas en escolares de 7 a 14 años de edad con bajo rendimiento académico de una institución educativa. Revista Encuentros, 17(2), 11-23. https://doi.org/10.15665/encuent.v17i02.2037
López, R. L. y Calero, G., M. D. (2018). Sobredotación, talento e inteligencia normal: diferencias en funciones ejecutivas, potencial de aprendizaje, estilo cognitivo y habilidades interpersonales. Revista de Educación Inclusiva, 11(1), 91-112. https://www.revistaeducacioninclusiva.es/index.php/REI/article/view/332
Luque, D. J., Elósegui, E. y Casquero, D. (2014). Análisis del WISC-IV en una muestra de alumnos con Capacidad Intelectual Límite. Revista de Psicología, 23(2), 14-27. https://doi.org/10.5354/0719-0581.2014.36145
Magalhães, S., Carneiro, L., Limpo, T. y Filipe, M. (2020). Executive functions predict literacy and mathematics achievements: The unique contribution of cognitive lexibility in grades 2, 4, and 6. Child Neuropsychology, 26(3). https://doi.org/10.1080/09297049.2020.1740188
Maureira, C. F. (2018). Relación de la inteligencia con la personalidad, funciones ejecutivas y creatividad: una revisión del 2000 al 2017. Revista Electrónica de Psicología Iztacala, 21(4), 1453-1474. http://www.revistas.unam.mx/index.php/repi/article/view/68025
Mejía, R. A. (2019). Relación entre inteligencia emocional, funciones ejecutivas y rendimiento académico en escolares. Universidad Internacional de La Rioja, España. https://repositorio.pucesa.edu.ec/handle/123456789/2688
Montes, M. M., Flores, B. R. y Andrés, R. C. (2020). Revisión sistemática del efecto de las funciones ejecutivas en el rendimiento académico. Agora de Salut, 7(21), 205-215. https://doi.org/10.6035/AgoraSalut.2020.7.21
Montoya-Arenas, D., Aguirre-Acevedo, D., Díaz-Soto, C. y Pineda Salazar, D. (2018). Executive Functions and High Intellectual Capacity in School-Age. Completely Overlap? International Journal of Psychological Research, 11(1), 19-32. https://doi.org/10.21500/20112084.3239
Pardos, V. A. y González, R. M. (2018). Intervención sobre las Funciones Ejecutivas (FE) desde el contexto educativo. Revista Iberoamericana de Educación, 78(1), 27-42. https://doi.org/10.35362/rie7813269
Portellano, P. J. A. (2018). Neuroeducación y Funciones Ejecutivas. Madrid, España: CEPE - Ciencias de la Educación Preescolar y Especial.
Ramos-Galarza, C., Jadán-Guerrero, J., Paredes-Nuñez, L., Bolaños-Pasquel, M., Santillán-Marroquín, W. y Pérez-Salas, C. (2017). Funciones ejecutivas y conducta de estudiantes secundarios ecuatorianos. Revista Mexicana de Neurociencia, 17(6), 32-40. https://www.medigraphic.com/pdfs/revmexneu/rmn-2017/rmn176c.pdf
Rojas-Rincón, A. y Rincón-Lozada, C. (2015). Estudio descriptivo comparativo de las funciones ejecutivas frías y rendimiento académico en adolescentes. Revista Mexicana de Neurociencia, 16(1), 40-50. https://www.medigraphic.com/pdfs/revmexneu/rmn-2015/rmn151e.pdf
Sastre-Riba, S. y Viana-Sáenz, L. (2016). Funciones ejecutivas y alta capacidad intelectual. Revista de Neurología, 62(1), 65-71. https://doi.org/10.33588/rn.62S01.2016025
Senado y Cámara de Diputados de la Nación Argentina (2005, sancionada el 28/09, publicada el 26/10). Ley 26061. Ley de Protección Integral de los Derechos de las Niñas, Niños y Adolescentes. Buenos Aires, Argentina. http://www.jus.gob.ar/media/3108870/ley_26061_proteccion_de_ni_os.pdf
Stelzer, F., Andrés, M., Introzzi, I., Canet-Juric, L. y Urquijo, S. (2019). El conocimiento de las fracciones. Una revisión de su relación con los factores cognitivos. Interdisciplinaria, Revista de Psicología y Ciencias Afines, 36(2), 185-201. https://doi.org/10.16888/interd.2019.36.2.12
Taborda, A., Brenlla, M. y Barbenza, C. (2011). Adaptación argentina de la Escala de Inteligencia de Wechsler para Niños IV (WISC-IV). En D. Wechsler (2011), Escala de Inteligencia de Wechsler para Niños IV (WISC-IV) (pp. 37-55). Buenos Aires, Argentina: Paidós.
Tamayo, L. D. A., Merchán, M. V., Hernández, C. J. A., Ramírez, B., Sandra, M. y Gallo, R. N. E. (2018). Nivel de desarrollo de las funciones ejecutivas en estudiantes adolescentes de los colegios públicos de Envigado-Colombia. Revista CES Psicología, 11(2), 21-36. https://doi.org/10.21615/cesp.11.2.3
Tirapu-Ustárroz, J., Basuela-Herreras, E. y Cordero-Andrés, P. (2018). Modelo de Funciones Ejecutivas basado en análisis factoriales en población infantil y escolar: metaanálisis. Revista de Neurología 67, 215-225. https://doi.org/10.33588/rn.6706.2017450
Villagómez P. D. R., Pluck, G. y Almeida M., P. N. (2017). Relación entre la memoria de trabajo, inhibición de respuesta, y habilidad verbal con el éxito académico y el comportamiento en adolescentes. MASKANA, 8, 87-100. https://publicaciones.ucuenca.edu.ec/ojs/index.php/maskana/article/view/1879
Villegas, G. B. (2015). Factores que influyen en el rendimiento académico de estudiantes universitarios a distancia. Visión multivariante basada en BIPLOT y STATIS. [Trabajo de fin de Máster, Universidad de Salamanca]. https://gredos.usal.es/bitstream/handle/10366/128248/TFM_MAADM_Villegas_Barahona_Greibin.pdf?sequence=4yisAllowed=y
Wechsler, D. y Kodama, H. (1949). Wechsler intelligence scale for children (Vol. 1). New York: Psychological Corporation.
Wechsler, D. (2011). Test de Inteligencia para Niños WISC-IV: manual técnico y de interpretación. Buenos Aires, Argentina: Paidós.