Revisiones
Intervenciones psicológicas para mejorar la adherencia al tratamiento antirretroviral: Revisión sistemática y metaanálisis
Psychological interventions to improve adherence to antiretroviral treatment: Systematic review and meta-analysis
Intervenciones psicológicas para mejorar la adherencia al tratamiento antirretroviral: Revisión sistemática y metaanálisis
Interdisciplinaria, vol. 40, núm. 2, 2023
Centro Interamericano de Investigaciones Psicológicas y Ciencias Afines

Recepción: 03 Marzo 2021
Aprobación: 04 Enero 2023
Resumen: El VIH es una enfermedad crónica que afecta a los receptores CD4 del sistema inmunológico. El Tratamiento Antirretroviral (TARV) es vital para disminuir la carga viral, pero su éxito depende del grado de adherencia al mismo. El objetivo de este estudio fue revisar los factores asociados a la eficacia de las intervenciones psicológicas para incrementar la adherencia al TARV y agregar los hallazgos en estimaciones cuantitativas de su impacto en la adherencia. La revisión de la literatura fue realizada desde agosto de 2017 hasta abril de 2020 en PubMed, EBSCO y Springer Link, utilizando los siguientes criterios de elección de los estudios: (1) que estuvieran publicados en revistas indexadas con revisión por pares, (2) que fueran experimentales o cuasiexperimentales, (3) que emplearan técnicas para el incremento de la adherencia, (4) que estuvieran publicados en español o inglés, (5) que reportaran los estadísticos necesarios para el cálculo del tamaño de efecto. De los 15 estudios seleccionados (. total = 1669), se obtuvieron 38 tamaños del efecto. El cálculo de los tamaños de efecto individuales y global se realizó usando el programa Comprehensive Meta-Analysis (Biostat, 2011, v. 2.2.064). Todos los tamaños de efecto fueron calculados usando la diferencia estandarizada de medias y un modelo de efectos aleatorios. El tamaño de efecto global fue moderado (. = 0.56, . = 38, IC95 % = 0.39 - 0.72, . < .001), mostrando que las intervenciones fueron significativamente superiores al grupo de comparación. Debido a la alta heterogeneidad de los estudios (I. = 82.25), se analizaron 12 variables moderadoras, de las cuales 11 fueron significativas (. < .005). Los resultados del análisis de variables moderadoras indican un mayor efecto en el incremento de la adherencia al TARV en intervenciones con marcos teóricos basados en el apoyo social por pares y con metodologías adaptables a la vivencia cotidiana de la persona.
Palabras clave: VIH, adherencia, tratamiento antirretroviral, metaanálisis, intervenciones psicológicas.
Abstract: HIV is a chronic disease that affects the CD4 receptors of the immune system, so it is necessary for people with the virus to be under Antiretroviral Treatment (ART) to reduce the viral load in the body. The success of ART is related to adherence to treatment, understood as: the intake of antiretroviral drugs, follow-up of medical controls and implementation of healthy lifestyles. There are personal, social and health systems problems that prevent people from adhering to ART in an adequate way. This situation has become a public health problem because inappropriate taking of drugs often leads to drug resistance. In this way, it is necessary to implement effective psychological interventions aimed at increasing adherence to ART, to contribute to a better use of antiretrovirals and to the improvement of the quality of life of people with HIV. Accordingly, the objective was to review the factors associated with the efficacy of psychological interventions, to increase adherence to ART and to aggregate the findings in quantitative estimates of its impact on adherence. For this purpose, meta-analysis was used as a research technique that allows a quantitative analysis of results by calculating specific statistics. The literature search and review were carried out from August 2017 to May 2019 in the PubMed, Academic Search Complete (EBSCO Host) and Springer Link databases, for the identification of experimental studies that met the eligibility criteria (studies published in peer-reviewed indexed journals, experimental or quasi-experimental research, using techniques to increase adherence, published in Spanish and English and reporting the necessary statistics for effect size calculation). Of the 15 studies (total n = 1669) selected, 38 effect sizes were obtained. The calculation of the individual and global effect size was performed using the Comprehensive Meta-Analysis software (Biostat, 2011, v. 2.2.064). All the effect sizes were calculated using the standardized mean difference and a random effects model. To find out if individual effect sizes were homogeneous and therefore represent a similar measure of treatment efficacy, the Cochran Q homogeneity test was applied; based on this, the I. was calculated. Also, it was performed a publication bias calculation, the objective of which was to estimate the number of non-significant effect sizes that are required for a reduction of the global effect size to a smaller and non-significant one. The overall effect size was moderate (. = 0.56, . = 38, 95 % CI = 0.39 - 0.72, . < .001) and presented high heterogeneity (I. = 82.25). Twelve moderator variables were analyzed (year of publication, percentage of men, average age, measurement time, number of sessions / interactions, duration of sessions, total duration of intervention, economic remuneration for intervention, place where the intervention was carried out, type of intervention, intervention modality and adherence measurement), of which 11 were significant (all but intervention modality: individual vs. group therapy). The results suggest that the success of an intervention proposal to improve adherence to ART will be related to its ability to consider the components of the environment and the social situation in which the person with HIV develops, as well as their intrinsic characteristics in interaction with their context. Likewise, it is necessary to consider that the presence of adherence barriers should be treated specifically in young people and adults, as well as in men and women. Finally, it is more important to establish interventions aimed not only to increase adherence, but maintaining it, which is why it is considered necessary to propose studies aimed at maintaining adherence, as well as offering practical tools for people to make better decisions about their health.
Keywords: HIV, adherence, antiretroviral treatment, meta-analysis, psychological interventions.
Introducción
Datos de ONUSIDA (2019) indican que para el año 2018 en el mundo existían 37.9 millones de personas portadoras del Virus de Inmunodeficiencia Humana (VIH), de las cuales 23.3 millones se encontraban bajo tratamiento antirretroviral (TARV). Para lograr la supresión viral, lo que quiere decir que haya una cantidad baja del virus en el organismo (ONUSIDA, 2014), las personas con VIH deben ser capaces de implicarse adecuadamente en la elección, inicio y cumplimiento del TARV, acciones que han sido descriptas por la Organización Panamericana de la Salud como adherencia (OPS, 2011). La falta de adherencia a menudo conduce a fallas en el tratamiento que pueden provocar que las cepas virales se vuelvan más resistentes. Esto contribuye a la progresión del SIDA, lo que implica un aumento en las tasas de hospitalización y de mortalidad (Mbuagbaw et al., 2015).
La información de cómo se debe dar la evaluación y apoyo en la adherencia a nivel de servicios o programas a nivel mundial es escasa (Kahana, Rohan, Allison, Frazier y Drotar, 2013;OPS, 2011) y supone una de las áreas de acción de profesionales en psicología de la salud (Sarafino y Smith, 2011). Dichos profesionales pueden incidir en distintas etapas, desde la preparación para el inicio del TARV hasta el asesoramiento para el mantenimiento de la adherencia.
Ante la escasez de información sistematizada, los metaanálisis (MA) suponen un tipo de abordaje investigativo que logra integrar gran cantidad de información sobre un tema para llegar a conclusiones válidas y objetivas sobre qué es lo que dice la evidencia del mismo (Jiménez y Salazar, 2016). Se ha dado un gran desarrollo de MA que agrupan información variada sobre técnicas para mejorar la adherencia a los TARV. Por ejemplo, Locher, Mersserli, Gaab y Gerger (2019) reportaron un tamaño de efecto (TE) de .30 (IC95 % = .20–.40, p ≤ .0001) al examinar la eficacia de intervenciones psicológicas para mejorar la adherencia y resultados clínicos en personas adultas en el corto plazo, mostrando que las intervenciones psicológicas fueron significativamente superiores al cuidado habitual para mejorar la adherencia, aunque su efecto puede ser considerado pequeño. De igual manera, Pellowski et al. (2018) evaluaron la eficacia de intervenciones conductuales en mujeres y obtuvieron como resultado que dichas intervenciones mejoraron significativamente la adherencia al TARV (d = .84, IC95 % = .21-1.47, p = .01).
Otros MA (Palacio et al., 2016; Shah, Watson y Free, 2019) se han enfocado en la eficacia de técnicas específicas. Por ejemplo, Palacio et al. (2016) encontraron un TE moderado a alto (SMD = .70, IC95% = .15-1.25, p < .01) en el uso de la entrevista motivacional en comparación con el grupo control, utilizando el cálculo de la diferencia de medias estandarizada para estudios que reportaban adherencia como un continuo. En el caso de los estudios que reportaron adherencia de forma categórica, el cálculo de riesgo relativo (RR = 1.17, IC95 % = 1.05-1.31, p < .01) fue mayor para la entrevista motivacional con relación al grupo control. Asimismo, se ha visto en estudios como el de Shah et al. (2019), que las estrategias con el uso de teléfonos móviles tienen un efecto moderado (SMD = .42, IC95 % = .03-.81, p = .04) en el incremento de la adherencia al TARV.
La mayor parte de estos MA utilizan el cálculo de la diferencia de medias estandarizada para la generación de sus resultados y los TE encontrados van de moderados a altos, pero no es usual que se incluya el cálculo de variables moderadoras. El objetivo de este estudio fue revisar los factores asociados a la eficacia de las intervenciones psicológicas para incrementar la adherencia al TAR y agregar los hallazgos en estimaciones cuantitativas de su impacto en la adherencia.
Resumen
El VIH es una enfermedad crónica que afecta a los receptores CD4 del sistema inmunológico. El Tratamiento Antirretroviral (TARV) es vital para disminuir la carga viral, pero su éxito depende del grado de adherencia al mismo. El objetivo de este estudio fue revisar los factores asociados a la eficacia de las intervenciones psicológicas para incrementar la adherencia al TARV y agregar los hallazgos en estimaciones cuantitativas de su impacto en la adherencia. La revisión de la literatura fue realizada desde agosto de 2017 hasta abril de 2020 en PubMed, EBSCO y Springer Link, utilizando los siguientes criterios de elección de los estudios: (1) que estuvieran publicados en revistas indexadas con revisión por pares, (2) que fueran experimentales o cuasiexperimentales, (3) que emplearan técnicas para el incremento de la adherencia, (4) que estuvieran publicados en español o inglés, (5) que reportaran los estadísticos necesarios para el cálculo del tamaño de efecto. De los 15 estudios seleccionados (n total = 1669), se obtuvieron 38 tamaños del efecto. El cálculo de los tamaños de efecto individuales y global se realizó usando el programa Comprehensive Meta-Analysis (Biostat, 2011, v. 2.2.064). Todos los tamaños de efecto fueron calculados usando la diferencia estandarizada de medias y un modelo de efectos aleatorios. El tamaño de efecto global fue moderado (d = 0.56, n = 38, IC95 % = 0.39 - 0.72, p < .001), mostrando que las intervenciones fueron significativamente superiores al grupo de comparación. Debido a la alta heterogeneidad de los estudios (I2 = 82.25), se analizaron 12 variables moderadoras, de las cuales 11 fueron significativas (p < .005). Los resultados del análisis de variables moderadoras indican un mayor efecto en el incremento de la adherencia al TARV en intervenciones con marcos teóricos basados en el apoyo social por pares y con metodologías adaptables a la vivencia cotidiana de la persona.
Palabras clave: VIH, adherencia, tratamiento antirretroviral, metaanálisis, intervenciones psicológicas
Abstract
HIV is a chronic disease that affects the CD4 receptors of the immune system, so it is necessary for people with the virus to be under Antiretroviral Treatment (ART) to reduce the viral load in the body. The success of ART is related to adherence to treatment, understood as: the intake of antiretroviral drugs, follow-up of medical controls and implementation of healthy lifestyles. There are personal, social and health systems problems that prevent people from adhering to ART in an adequate way. This situation has become a public health problem because inappropriate taking of drugs often leads to drug resistance. In this way, it is necessary to implement effective psychological interventions aimed at increasing adherence to ART, to contribute to a better use of antiretrovirals and to the improvement of the quality of life of people with HIV. Accordingly, the objective was to review the factors associated with the efficacy of psychological interventions, to increase adherence to ART and to aggregate the findings in quantitative estimates of its impact on adherence. For this purpose, meta-analysis was used as a research technique that allows a quantitative analysis of results by calculating specific statistics. The literature search and review were carried out from August 2017 to May 2019 in the PubMed, Academic Search Complete (EBSCO Host) and Springer Link databases, for the identification of experimental studies that met the eligibility criteria (studies published in peer-reviewed indexed journals, experimental or quasi-experimental research, using techniques to increase adherence, published in Spanish and English and reporting the necessary statistics for effect size calculation). Of the 15 studies (total n = 1669) selected, 38 effect sizes were obtained. The calculation of the individual and global effect size was performed using the Comprehensive Meta-Analysis software (Biostat, 2011, v. 2.2.064). All the effect sizes were calculated using the standardized mean difference and a random effects model. To find out if individual effect sizes were homogeneous and therefore represent a similar measure of treatment efficacy, the Cochran Q homogeneity test was applied; based on this, the I2 was calculated. Also, it was performed a publication bias calculation, the objective of which was to estimate the number of non-significant effect sizes that are required for a reduction of the global effect size to a smaller and non-significant one. The overall effect size was moderate (d = 0.56, n = 38, 95 % CI = 0.39 - 0.72, p < .001) and presented high heterogeneity (I2 = 82.25). Twelve moderator variables were analyzed (year of publication, percentage of men, average age, measurement time, number of sessions / interactions, duration of sessions, total duration of intervention, economic remuneration for intervention, place where the intervention was carried out, type of intervention, intervention modality and adherence measurement), of which 11 were significant (all but intervention modality: individual vs. group therapy). The results suggest that the success of an intervention proposal to improve adherence to ART will be related to its ability to consider the components of the environment and the social situation in which the person with HIV develops, as well as their intrinsic characteristics in interaction with their context. Likewise, it is necessary to consider that the presence of adherence barriers should be treated specifically in young people and adults, as well as in men and women. Finally, it is more important to establish interventions aimed not only to increase adherence, but maintaining it, which is why it is considered necessary to propose studies aimed at maintaining adherence, as well as offering practical tools for people to make better decisions about their health.
Keywords: HIV, adherence, antiretroviral treatment, meta-analysis, psychological interventions
Metodología
Para el desarrollo y reporte de este metaanálisis se siguieron las pautas y recomendaciones aplicables del PRISMA-IPD Development Group (Stewart et al., 2015). Sin embargo, no se registró previo a su realización.
Revisión de literatura
La búsqueda y revisión de la literatura fue realizada desde agosto de 2017 hasta abril de 2020 en las bases de datos PubMed, Academic Search Complete (EBSCO Host) y Springerlink, con la utilización de las palabras clave: “adherence AND antiretroviral therapy”, “adherence to antiretroviral AND psychological therapy”, “randomized control trial AND HIV AND adherence”, “motivational interviewing AND ART”. Adicionalmente, se realizó un proceso de búsqueda secundaria en las referencias bibliográficas de los artículos.
Selección de los estudios
Para la selección de los estudios se definieron los siguientes criterios: (1) que estuvieran publicados en revistas indexadas con revisión por pares, (2) que el diseño aplicado en las investigaciones fuera experimental o cuasi-experimental, (3) que se emplearan técnicas para el incremento de la adherencia como tratamiento, (4) que estuvieran publicados en idiomas español e inglés, (5) que reportaran los estadísticos necesarios para el cálculo del tamaño de efecto (media, desviación estándar y tamaño de la muestra para cada grupo).
Análisis de variables moderadoras
Se codificaron las siguientes variables moderadoras (VM): año de publicación, país, lugar donde se realizó la intervención, sexo, porcentaje de hombres, edad promedio, escolaridad, cantidad de ingresos económicos de la persona que vive con VIH (PVVIH), comorbilidad con enfermedad mental, PVVIH con empleo, porcentaje en condición de desempleo, consumo de sustancias psicoactivas, etnia, tiempo con diagnóstico (Dx) VIH, conteo CD4, carga viral (log), tiempo de consumo de TARV, diseño de investigación, tiempo de medición, tipo de intervención, modalidad de intervención, cantidad de sesiones/interacciones, duración de sesiones, frecuencia de sesiones, persona encargada de intervención, duración total del periodo de intervención, medición de adherencia y retribución económica por intervención. La estrategia de codificación se define en la Tabla 1. Esta codificación fue realizada por la primera autora.
| Característica o variable | Escala de medición | Estrategia de codificación |
| Autor | NA | Cita |
| Año de publicación | Continua | Año de publicación |
| País | Categórica | País donde se realizó el estudio |
| Lugar donde se realizó la intervención | Categórica | 0: Clínica VIH 1: Hospital 2: Casa PVVIH 3: Centro de investigación Recodificación 0: Clínica VIH 1: No Clínica VIH |
| Sexo | Categórica | 0: Hombre 1: Mujer 2: Mixto |
| Porcentaje de hombres | Continua | Porcentaje |
| Edad promedio | Continua | Media de edad en años |
| Escolaridad | Categórica | 0: primaria 1: secundaria incompleta 2: secundaria completa 3: universitaria incompleta 4: NA |
| Cantidad ingresos económicos PPLHIV | Categórica | 0: < $100 1: $500-$1000 2: < $10,000 3: NA |
| Comorbilidad con enfermedad mental | Categórica | 0: Sí 1: No 3: NA |
| PPLHIV con empleo | Categórica | 0: Sí 1: No 3: NA |
| Porcentaje en condición de desempleo | Continua | Porcentaje |
| Consumo de sustancias psicoactivas | Categórica | 0: Sí 1: No 3: NA |
| Etnia | Categórica | 0: Afroamericana 1: Blanca 2: Hispana 3: Mala y 4: NA |
| Tiempo con Dx VIH | Continua | Media de años |
| Conteo CD4 | Continua | Media de conteo |
| Carga viral | Continua | Media de log10 |
| Tiempo de consumo de TARV | Continua | Media de meses |
| Diseño de investigación | Categórica | 0: RCT 1: Pilot study 2: Two arm RCT |
| Tiempo de medición | Continua | Cantidad de meses |
| Tipo de intervención | Categórica | 0: Psicoeducación 1: Apoyo social por pares 2: Combinación de estrategias Recodificación 0: Psicoeducación 1: No Psicoeducación |
| Modalidad de intervención | Categórica | 0: Individual 1: Grupal 2: Familiar 3: En pareja 4: Mixto Recodificación 0: Individual 1: Grupal |
| Cantidad de sesiones/interacciones | Continua | Número de sesiones/interacciones |
| Duración de sesiones | Continua | Duración en minutos |
| Frecuencia de sesiones | Categórica | 0: Diaria 1: Semanal 2: Quincenal 3: Una al mes 4: Dos al mes 5:NA |
| Persona encargada de intervención | Categórica | 0: Pares 1: Profesional en salud 2: Plataforma tecnológica |
| Duración total del periodo de intervención | Categórica | Duración en semanas |
| Medición de adherencia | Categórica | 0: Autorreporte 1: Conteo manual 2: Dispositivo electrónico Recodificación 0: Autorreporte 1: Métodos de conteo |
| Retribución económica por intervención | Continua | Total en dólares |
| Número de participantes | Continua | Total de participantes en el estudio |
| Calidad | Continua | Se asignó para cada criterio “0” como la ausencia y “1” como presencia (presenta medida pretest y postest, grupo control, aleatorización de los grupos y especifica el manejo de muerte experimental) |
Cálculo del tamaño del efecto, heterogeneidad de tamaños del efecto y variables moderadoras
El cálculo de los TE individual y global fue realizado utilizando el software Comprehensive Meta-Analysis (Biostat, 2011, v. 2.2.064). Todos los TE fueron calculados usando la diferencia de medias estandarizada y un modelo de efectos aleatorios. Para ello se emplearon las medias y desviaciones estándar pretest y postest, así como el tamaño de muestra de cada grupo (experimental y control). Este cálculo evalúa el efecto del tratamiento con respecto a un grupo de comparación como una medida de cambio en unidades de desviación estándar (Lakens, 2013). Para su interpretación se siguió la recomendación de Cohen (1988), según la que un TE de .2 corresponde a un efecto pequeño, .5 a un efecto medio y .8 a un efecto grande.
Se hizo una revisión de cada TE para verificar su dirección. En todos los casos un tamaño de efecto positivo indica un incremento en la adherencia al TARV, mientras que un TE negativo indica una disminución. La significancia de todos los TE fue obtenida mediante un intervalo de confianza de 95 % (IC95 %). Se llevó a cabo un test . con el fin de determinar la significancia de todos los TE; de igual forma, se obtuvo el valor de . para el valor de . calculado. Para conocer si los TE individuales eran homogéneos, y por lo tanto representaban una medida similar de la eficacia del tratamiento (Thomas y Nelson, 2007), se aplicó el test de homogeneidad . de Cochran. Con base en este, se calculó el I., que representa en qué porcentaje los TE individuales son heterogéneos; un 25% indica baja heterogeneidad, 50% media y 75% alta (Borenstein, Hedges, Higgins y Rothstein, 2009). Las variables moderadoras continuas fueron analizadas utilizando meta regresión, mientras que las variables categóricas, con el análisis de homogeneidad entre grupos (DeCoster, 2009).
Cálculo de sesgo
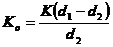
El sesgo de publicación se presenta cuando los estudios con resultados clínica o estadísticamente positivos muestran una mayor tendencia a ser publicados (Ahmed, Sutton y Riley, 2012). Tomando en cuenta lo anterior, se realizó el cálculo de sesgo de publicación, cuyo objetivo es estimar la cantidad de tamaños de efecto no significativos que se requieren para que haya una disminución del TE global a uno más pequeño y no significativo (Thomas y Nelson, 2007). La ecuación utilizada para este análisis es la propuesta por Hedges y Olkin (1985).

Donde K. es el número de estudios que se necesitan para reducir el TE a uno más pequeño y no significativo, K es el número de TE incluidos en el metaanálisis, d. es el TE global y d. es el valor de un TE no significativo (TE = .20). Adicionalmente, se utilizó un gráfico de embudo y la regresión de Egger para la evaluación del sesgo.
Resultados
En total, 15 de 32 estudios reunieron los criterios de elegibilidad. En la Figura 1 se resume el proceso de selección. Todos los estudios incluidos obtuvieron 4 de 4 en la escala de calidad.

De los 15 estudios elegidos, ocho fueron realizados en Estados Unidos, dos en Sudáfrica, uno en China, uno en Malasia, uno en India, uno en Tailandia y uno en Brasil. La muestra total, tomando en cuenta todos los estudios, es de 1669 participantes. Seis estudios abordaron población adulta media, cinco estudios, población adulta joven, tres estudios, personas adolescentes y un estudio, niños y niñas. La escolaridad de los participantes incluyó primaria (n = 1), secundaria incompleta (n = 3), secundaria completa (n = 3), universitaria incompleta (n = 2) y seis estudios no la reportaron. En promedio, el 6.56 % de los participantes por estudio eran hombres (DE = 2.09).
Trece estudios fueron ensayos aleatorios controlados (RCT), la cantidad de sesiones / interacciones osciló entre 4 y 364 (M = 51.84, DE = 91.07) con una duración entre 1.5 y 120 minutos (M = 35.17, DE = 29.58) y una frecuencia diaria (n = 4), semanal (n = 2), quincenal (n = 3), mensual (n = 3) o no la reportaron (n = 3). Nueve de los estudios utilizaron una intervención basada en psicoeducación, cuatro estudios una basada en apoyo social por pares, un estudio empleó recordatorios mediante SMS y uno utilizó una intervención multimedia por computadora. En 11 estudios quien se encargaba de la intervención era un profesional en salud y las intervenciones eran de tipo individual (n = 6), en pareja (n = 2), familiares (n = 1), grupales (n = 2) o tenían una estrategia mixta (n = 4). En 13 de los 15 estudios se encontró un incremento en la adherencia estadísticamente significativo. Las tablas 2 y 3 presentan la descripción de cada uno de los estudios.
| Autor Año | País | N | Grupo etario | % Hombres | Diseño | Escolaridad | Tipo de intervención | Cantidad/duración/ frecuencia de sesiones | Persona encargada de intervención | Modalidad de intervención | Resultados |
| Basso et al. 2012 | Brasil | 121 | Adultez media | 62.50 | Randomized controlled trial | Primaria | Psicoeducación | 4/60minutos/ quincenal | Profesional en salud | Individual | Adherencia: GI > GC a los 30 y 60 días |
| Belzer et al. 2013 | EE.UU. | 37 | Adolescencia | 57.89 | Randomized behavioral trial | __ | Apoyo social por pares | 120/5/diaria | Profesional en salud | Individual | Adherencia: GI > GC a las 24 y 48 semanas** |
| Berrien, et al. 2004 | EE.UU. | 34 | Niñez | __ | Randomized pilot clinical study | __ | Psicoeducación | 8/__/__ | Profesional en salud | Familiar | Adherencia: GI > GC** |
| Bogart et al. 2017 | EE.UU. | 215 | Adultez media | 72.90 | Randomized controlled trial | Universidad incompleta | Apoyo social por pares | 6/60/__ | Pares | Mixto | Adherencia: GI > GC** |
| Garofalo et al. 2016 | EE.UU. | 105 | Adolescencia y adultez joven | 80.40 | Randomized controlled trial | Universidad incompleta | Psicoeducación | 364/__/diaria | Plataforma tecnológica | Individual | Adherencia: GI > GC ** a los 3 meses |
| Horvath et al. 2013 | EE.UU. | 123 | Adultez media | 100 | Randomized controlled trial | Secundaria completa | Apoyo social por pares | __/__/diaria | Plataforma tecnológica | Mixto | Adherencia: GI > GI ** |
| Jones et al. 2013 | India | 80 | Adultez joven | 61.80 | Randomized control clinical trial | __ | Psicoeducación | 3/60/una cada mes | Profesional en salud | Grupal | Adherencia: GI > GC ** |
| Kaihin et al. 2014 | Tailandia | 46 | Adolescencia | 43.50 | Pilot study | Secundaria completa | Psicoeducación | 8/120/semanal | Profesional en salud | Grupal | - Adherencia: GI>GC *** |
| Kalichman et al. 2011 | EE.UU. | 40 | Adultez media | 62 | Two-arm randomized trial | __ | Psicoeducación | 4/45/quincenal | Profesional en salud | Individual | Adherencia: GI > GC ** en el seguimiento de 4 meses |
| Peltzer et al. 2012 | Sudáfrica | 152 | Adultez joven | 30.30 | Two-arm randomized controlled | Secundaria incompleta | Psicoeducación | 3/60/una cada mes | Profesional en salud | Mixto | - Adherencia: ambos GI y GC mejoraron ** |
| Remien et al. 2004 | EE.UU. | 215 | Adultez media | __ | Randomized controlled trial | __ | Psicoeducación | 4/45/__ | Profesional en salud | En pareja | Adherencia: GI > GC a las 20 semanas** |
| Robbins et al. 2015 | Sudáfrica | 55 | Adultez joven | __ | Pilot study | __ | Combinación de estrategias: Intervención multimedia por computadora | 6/__/semanal | Profesional en salud | En pareja | Adherencia: GI > GC ** |
| Sabin et al. 2010 | China | 68 | Adultez joven | 74% | Randomized controlled trial | Secundaria incompleta | Psicoeducación | __/10/una cada mes | Profesional en salud | Individual | Adherencia: GI > GC ** |
| Simoni et al. 2007 | EE.UU. | 136 | Adultez media | 49.30% | Randomized controlled trial | Secundaria completa | Apoyo social por pares | 6/60/dos cada mes | Pares | Mixto | Adherencia: GI > GC |
| Surajudeen et al. 2017 | Malaysia | 242 | Adultez joven | 32.10% | Randomized controlled trial | Secundaria incompleta | Combinación de estrategias: recordatorios SMS y llamadas telefónicas | 168/1,5/diaria | Profesional en salud | Individual | Adherencia: GI > GC ** a los 6 meses |
Cálculo del TE
De los 15 estudios seleccionados se obtuvieron 38 tamaños del efecto. El tamaño del efecto global fue de .56 (n = 38, IC95 % = .39 - .72, p < .001), mostrando que las intervenciones fueron significativamente superiores al grupo de comparación. El valor del cálculo de K0 indica que son necesarios 68 tamaños del efecto no significativos para reducir el tamaño del efecto a .2. El cálculo del test Q de Cochran obtuvo un valor de 208.44 (GL = 37, p < .001; I2 = 82.25), lo que indica que presenta alta heterogeneidad. En la Figura 2 se muestra el diagrama de bosque (forestplot) para los TE individuales y el TE global. Se puede observar que todos los TE indican un efecto positivo de los tratamientos.

Nota: TE: Tamaño del efecto, ICI: Intervalo de confianza inferior, ICS: Intervalo de confianza superior
Análisis de VM
Las VM se analizaron con el fin de estudiar posibles causas de la presencia de heterogeneidad de los TE. Las VM elegidas para el análisis fueron las siguientes: (1) año de publicación, (2) porcentaje de hombres, (3) edad promedio, (4) tiempo de medición, (5) cantidad de sesiones / interacciones, (6) duración de sesiones, (7) duración total de intervención, (8) retribución económica por intervención, (9) lugar donde se realiza la intervención, (10) tipo de intervención, (11) modalidad de intervención y (12) medición de la adherencia. Las demás VM codificadas fueron excluidas de los análisis debido a que no existían suficientes estudios que las reportaran, por lo que la medida no representaría adecuadamente el efecto de la variable sobre la adherencia. Como se puede observar en las Tablas 3 y 4, se encontraron efectos significativos en gran cantidad de VM.
| Estadístico para cada variable | Meta-regresión | |||||||||||
| Variable | n | d | ICI | SCI | Q | I2 | Z | Intercepto | Pendiente | Q | gl | p |
| Año de publicación | 38 | 0.56 | 0.39 | 0.73 | 208.44 | 82.25 | 6.44 | -60.54 | 0.03 | 13.54 | 1 | p < .001 |
| % de hombres | 33 | 0.56 | 0.38 | 0.74 | 167.37 | 80.88 | 6.08 | -0.13 | 0.00 | 15.74 | 1 | p < .001 |
| Edad promedio | 32 | 0.58 | 0.38 | 0.77 | 182.65 | 83.03 | 5.78 | 1.17 | -0.02 | 20.34 | 1 | p < .001 |
| Tiempo de medición | 38 | 0.56 | 0.39 | 0.73 | 208.44 | 82.25 | 6.44 | .16 | 0.07 | 23.99 | 1 | p < .001 |
| Cantidad de sesiones/interacciones | 35 | 0.59 | 0.40 | 0.77 | 203.49 | 83.29 | 6.32 | .37 | 0.00 | 16.23 | 1 | p < .001 |
| Duración de sesiones | 33 | 0.55 | 0.38 | 0.73 | 173.69 | 81.58 | 6.15 | 1.00 | -0.01 | 47.90 | 1 | p < .001 |
| Duración total de intervención | 38 | 0.55 | 0.38 | 0.73 | 208.44 | 82.25 | 6.44 | .16 | 0.02 | 26.13 | 1 | p < .001 |
| Retribución económica | 25 | 0.38 | 0.26 | 0.51 | 51.07 | 53 | 6.09 | -0.10 | 0.00 | 35.97 | 1 | p < .001 |
| Estadístico para cada variable | Homogeneidad entre grupos | ||||||||
| Variable | n | d | ICI | SCI | Z | Q | gl | p | |
| Lugar donde se realiza intervención | 38 | 0.36 | 0.26 | 0.47 | 6.59 | 8.15 | 1 | p < .001 | |
| Clínica VIH | 20 | 0.32 | 0.20 | 0.43 | 5.46 | ||||
| No clínica VIH | 18 | 0.88 | 0.88 | 0.51 | 4.67 | ||||
| Tipo de intervención | 38 | 0.51 | 0.36 | 0.67 | 6.35 | 2.55 | 1 | p = .01 | |
| Psicoeducación | 21 | 0.43 | 0.23 | 0.62 | 4.32 | ||||
| No psicoeducación | 17 | 0.70 | 0.42 | 0.98 | 4.92 | ||||
| Modalidad de intervención | 38 | 0.48 | 0.32 | 0.64 | 6.05 | 3.06 | 1 | p = .08 | |
| Individual | 21 | 0.70 | 0.41 | 0.98 | 4.75 | ||||
| Grupal | 17 | 0.39 | 0.21 | 0.58 | 4.14 | ||||
| Medición de adherencia | 38 | 0.44 | 0.31 | 0.57 | 6.44 | 4.42 | 1 | p = .04 | |
| Autorreporte | 17 | 0.80 | 0.44 | 1.16 | 4.35 | ||||
| Métodos de conteo | 21 | 0.38 | 0.24 | 0.53 | 5.20 | ||||
Análisis del impacto potencial del sesgo
Como se muestra en la Figura 3, la distribución de los TE es asimétrica. Esto se confirma con los resultados de la regresión de Egger (t(36) = 3.03, p = .005), por lo que el sesgo debe ser tomado en consideración.

Discusión
El MA realizado permitió obtener un TE moderado para las intervenciones analizadas (d = .56); de manera general, se puede inferir que las intervenciones propuestas en los estudios incluidos contribuyeron a un aumento en la adherencia al TARV. Este TE es superior al encontrado en estudios como el de Locher et al. (2019), quienes reportaron un tamaño de efecto de .3. Asimismo, a diferencia de Locher et al. (2019), en este MA se encontraron múltiples variables moderadoras significativas.
Los factores relacionados con la eficacia incluyeron el año de publicación, sexo y edad de la persona con VIH; tipo, modalidad, duración total, cantidad y duración de sesiones; locación y retribución económica por participar en el estudio; tipo y tiempo de medición. Estos aspectos evidencian la multicausalidad asociada al éxito de las intervenciones.
En cuanto al año de publicación, no existe evidencia en la literatura sobre el efecto que podría tener en el incremento de la adherencia; por el contrario, en los últimos 50 años las tasas de adherencia se han ubicado alrededor del 50 % (en escala de 0 % a 100 %), sin evidencia de un cambio sustancial en las mismas (Nieuwlaat et al., 2014). No obstante, a la luz de los resultados de este MA es posible hipotetizar que, en el caso de la TARV, el efecto de las intervenciones podría estar asociado con la mejora en las técnicas para promover adherencia con el paso del tiempo, lo cual podría generar un incremento pequeño pero sistemático en los tamaños del efecto.
Con relación a las VM relacionadas con la persona con VIH, como el porcentaje de hombres, en este MA se encontró un efecto significativo, según el que a mayor porcentaje de hombres se observa una mayor adherencia. Kahamba et al. (2017) en un estudio realizado en Tanzania encontraron que la desigualdad de género es un factor asociado al seguimiento deficiente del TARV en mujeres. El riesgo a ser víctimas de violencia intrafamiliar si revelan su estado de VIH positivo, la dependencia económica y las responsabilidades domésticas les impiden tomar sus medicamentos a tiempo y asistir a citas programadas.
Incluso en escenarios donde convergen otras barreras en la adherencia como el consumo de sustancias, se ha encontrado que las mujeres son menos tendientes a mantener la adherencia que los hombres (Tapp et al., 2011). Por esa razón, se ha visto la necesidad de que las intervenciones se diseñen desde un enfoque individualizado que incluya estrategias de afrontamiento específicas (Puskas y Hogg, 2015).
De igual manera, se encontró que la edad es una variable que moderó la adherencia, con un decrecimiento de esta a medida que aumenta la edad de las personas participantes de los estudios. Se ha visto que condiciones como el vivir solo, la comorbilidad y la cantidad de píldoras al día dentro del esquema de TARV son predictores de mala adherencia en población adulta (Koyra, 2018). Estos aspectos se vuelven más delicados en la etapa de la adultez mayor, en la que las personas son más propensas a los olvidos, existe un mayor riesgo de que ocurran interacciones medicamentosas y pueden llegar a recibir menor apoyo social de familiares y amigos (InfoSida, 2020).
Por otra parte, en cuanto a las características de las intervenciones, se encontró que tuvieron un mayor impacto en la adherencia (d ≥ .70) las relacionadas con apoyo social y estrategias conductuales de recordatorios, las de modalidad individual, las realizadas fuera de clínicas de VIH (hospitales públicos, casa de la persona con VIH y centros de investigación) aquellas en las que se brindaba retribución económica y las de mayor duración en semanas, pero con sesiones más cortas. Al respecto, Arístegui et al. (2014) indican que la presencia de una red de apoyo social se ha asociado con mejoras en la adherencia, mientras que la falta de una red de apoyo familiar y social ha demostrado ser sistemáticamente un obstáculo para la promoción de la salud.
En cuanto a la locación de las intervenciones (entendida como el lugar en el que se realiza el estudio), las personas con VIH incluidas en los estudios revisados en este MA asistían a una u otra locación según la investigación de la que formaban parte, pero muchas de estas correspondían a los lugares donde habitualmente recibían la atención médica y su régimen de TARV, e incluso en algunos casos las intervenciones fueron realizadas en sus propios hogares. En este sentido, se ha visto que la organización de áreas de atención exclusivas para personas con VIH podría promover la estigmatización, en donde se puede dar que las personas sientan temor a ser vistas y/o identificadas como personas con VIH, lo que impacta en el compromiso con sus cuidados y tratamiento (Arístegui et al., 2014). De esta manera, dado que las locaciones no relacionadas específicamente a clínicas de VIH tuvieron un efecto mayor (d = .88), este hallazgo podría ser de utilidad en el manejo de intervenciones dentro de los servicios de salud al destacar la importancia de reconocer la percepción de los espacios de atención para proponer intervenciones más oportunas.
En el caso de la retribución económica por participar en la intervención, el resultado obtenido es contrario a los reportados por estudios como el de Omonaiye et al. (2018), quienes no encontraron efecto en la adherencia con el uso de incentivos financieros o materiales. Sin embargo, a partir de los resultados en este MA, se considera que el componente económico pudo haber resultado motivante para la asistencia a las sesiones de intervención y el cumplimiento de regímenes, pues muchos de los estudios brindaban retribución económica por la asistencia a la totalidad de sesiones.
Por su parte, factores propiamente relacionados con las sesiones, como su cantidad y duración, demostraron ser determinantes en la adherencia al TARV. Se observaron mejores resultados de adherencia en intervenciones con mayor cantidad de sesiones, pero más cortas. A partir de los resultados obtenidos en este MA se podría intuir que las intervenciones más cortas podrían adaptarse de una mejor forma al estilo de vida de las personas con VIH y sus labores diarias de trabajo, estudio, etc., mientras que el acompañamiento por un número mayor de semanas podría facilitar la instauración de hábitos.
En este sentido, Kleeberger et al. (2004) mencionan que la adherencia tiende a decrecer con el tiempo, por lo que se deben incluir aspectos relacionados con el tratamiento como parte de la dinámica cotidiana de las personas, utilizando estrategias que tomen en cuenta el mantenimiento en el tiempo. En la misma línea, se ha encontrado que las intervenciones cuyas estrategias no se adaptan al estilo de vida de las personas se asocian con mayor prevalencia de fallas en la adherencia (Grimes et al., 2002).
Con respecto a las variables relacionadas con la medición de adherencia (tipo de medición y tiempo), se encontró que los métodos de autorreporte tuvieron un efecto mayor (d = .80) que los de conteo (d = .38) y que la adherencia tendió a incrementar cuando se tomaba en un corto plazo de tiempo respecto de la línea base. Es necesario tomar en cuenta que, en el caso de este estudio, los métodos de autorreporte se usaban de forma general mediante cuestionarios y escalas, y que los métodos de conteo en su mayoría corresponden a dispositivos electrónicos (MEMs, por sus siglas en inglés), los cuales están propensos a fallar o a no dar datos precisos o consistentes (Wendel et al., 2001).
La OPS (2011) señala que “se ha demostrado una correlación entre la adherencia auto-referida y la efectividad antirretroviral” (p. 8). En concordancia con los resultados obtenidos en este MA, puede ser que su relación con el aumento de la adherencia se deba a la sencillez, facilidad de comprensión y aplicación dentro de la práctica clínica. No obstante, se considera imprescindible tomar en cuenta la calidad de los constructos que subyacen a los instrumentos de autorreporte, así como la combinación de métodos de medición de adherencia y su relación con el incremento de esta.
En cuanto al tiempo de medición, los resultados obtenidos coinciden con los reportados por Costa et al. (2018), los cuales “apuntan a una mayor adherencia (80 %) en el marco de tiempo más corto y menor adherencia (55 %) en el periodo de tiempo más largo” (p. 8). En este sentido, los datos obtenidos en las mediciones en un periodo más corto de tiempo podrían ser más precisos, pues son menos tendientes a la muerte experimental, las estrategias de intervención pueden estar más presentes en el repertorio conductual de las personas y un marco de tiempo más largo podría representar una mayor oportunidad de aparición de barreras de adherencia. De esta manera, según los resultados obtenidos con este MA y lo que indica la literatura al respecto (Arístegui et al., 2014; Costa et al., 2018;Kleeberger et al., 2004; Niewlaat et al., 2014;OPS, 2011), se debe poner especial atención a los detalles de las intervenciones para promover la adherencia a la TARV. De manera general, se considera necesario generar intervenciones que sean ajustadas a las necesidades sociales y condiciones de vida de las personas con VIH, además de propiciar que sean sostenibles a largo plazo.
Conclusiones
Los resultados obtenidos en este MA sugieren que el éxito de una propuesta de intervención para mejorar la adherencia a la TARV estaría relacionado con su capacidad para tomar en cuenta los componentes del entorno y la situación social en que se desarrolla la persona con VIH, así como sus características intrínsecas en interacción con su contexto. En este sentido, es necesario prestar especial atención a los detalles relacionados con características como la extensión (en su totalidad y en cada sesión) y locación de las intervenciones, así como incluir el apoyo social y las estrategias conductuales de recordatorios como parte de estas. Asimismo, es necesario considerar que la presencia de barreras de adherencia debe tratarse de manera específica en personas jóvenes y adultas, así como en hombres y mujeres. De esta manera, es preferible partir desde la caracterización de las personas con VIH más allá de agotar esfuerzos y recursos en el desarrollo de metodologías innovadoras que, al no ser adaptadas, pueden llegar a fracasar.
En esta misma línea, la literatura propone partir de un enfoque en el que se busque mejorar la calidad en la prestación de los servicios existentes como una alternativa más práctica y efectiva para mejorar la adherencia al TARV (Kanters et al., 2016); es decir, enfocarse en realizar ajustes a las metodologías existentes en lugar de proponer nuevos abordajes. De igual forma, se ha visto que resulta más importante establecer intervenciones orientadas al mantenimiento de la adherencia en lugar de simplemente al incremento de la misma, por lo que se considera necesario plantear estudios dirigidos al mantenimiento de la adherencia, así como a ofrecer herramientas prácticas para que las personas tomen mejores decisiones sobre su salud. Se considera que un punto de partida puede ser elaborar estudios específicos (desde abordajes cuantitativos, cualitativos y mixtos) con el fin de evaluar el comportamiento individual de las variables moderadoras incluidas en este MA, más específicamente para determinar cómo las características personales (como el sexo y la edad) y las barreras a la adherencia relacionadas con las características de las intervenciones (por ejemplo, su duración y locación) influyen en la adherencia de las personas con VIH.
Finalmente, un elemento a destacar a nivel de análisis de las VM es que debe tomarse en cuenta la existencia de sesgo de publicación a la hora de hacer una adecuada interpretación de los datos en este estudio, así como los resultados individuales de cada variable moderadora. Asimismo, es importante señalar el hecho de que varias de las pendientes correspondientes a las variables continuas son cercanas a cero, lo que sugiere que la contribución de cada una de estas variables al tamaño del efecto es pequeña. No obstante, este es un valor que no se suele reportar en las revisiones meta-analíticas, por lo que no se ha podido hacer comparación de estos valores con la literatura existente.
Este metaanálisis es considerado un acercamiento investigativo no intervencional en materia de salud, que se enmarca desde un enfoque de derechos humanos y cumple con requisitos de valor social y científico, de acuerdo con lo indicado en la Ley Reguladora de Investigación Biomédica de Costa Rica (Ley N° 9234, 2014).
Referencias
Ahmed, I., Sutton, A. J. y Riley, R. D. (2012). Assessment of publication bias, selection bias, and unavailable data in meta-analyses using individual participant data: a database survey. British Medical Journal, 344, 1-10. https://doi.org/1.1136/bmj.d7762
Arístegui, I., Dorigo, A., Bofill, L., Bordatto, A., Lucas, M., Fernández, G. et al. (2014). Obstáculos a la adherencia y retención en los sistemas de salud público y privado según pacientes y personal de salud. Actualizaciones en SIDA e Infectología, 22(86), 71–78. https://pubmed.ncbi.nlm.nih.gov/26878024/
*Basso, C., Santa, E., Magalhaes, J., Paiva, V. y Battistela, M. (2012). Exploring ART Intake Scenes in a Human Rights-Based Intervention to Improve Adherence: A Randomized Controlled Trial. AIDS Behavior, 17, 181–192. https://doi.org/1.1007/s10461-012-0175-4
*Belzer, M., Naar-King, S., Olson, J., Sarr, M., Thornton, S., Kahana, S., Gaur, A. y Clark, L. (2013). The Use of Cell Phone Support for Non-adherent HIV-Infected Youth and Young Adults: An Initial Randomized and Controlled Intervention. AIDS Behavior, 1-11. https://doi.org/1.1007/s10461-013-0661-3
*Berrien, V., Salazar, J., Reynolds, E. y McKay, K. (2004). Adherence to Antiretroviral Therapy in HIV-Infected Pediatric Patients Improves with Home-Based Intensive Nursing Intervention. AIDS PATIENT CARE and STDs, 18(6). https://doi.org/1.1089/1087291041444078
*Bogart, L., Mutchler, M., McDavitt, B., Klein, D., Cunningham, W., Goggin, C. et al. (2017). A Randomized Controlled Trial of Rise, a Community-Based Culturally Congruent Adherence Intervention for Black Americans Living with HIV. Annals of Behavioral Medicine, 51(6), 868–878. https://doi.org/1.1007/s12160-017-9910-4
Borenstein, M., Hedges, L. V., Higgins, J. P. y Rothstein, H. R. (2009). Introduction to meta-analysis. John Wiley & Sons.
Cohen, J. (1988). Statistical power analysis for the behavioral sciences (2nd ed.). Hillsdale, NJ: Lawrence Erlbaum.
Costa, J., Torres, T., Coelho, L., Luz, P. (2018). Adherence to antiretroviral therapy for HIV/AIDS in Latin America and the Caribbean: Systematic review and meta-analysis. Journal of the International AIDS Society, 21(1), e25066. https://doi.org/1.1002/jia2.25066
DeCoster, J. (2009). Meta-Analysis Notes. http://www.stathelp.com/notes.html
*Garofalo, R., Kuhns, L., Hotton, A., Muldoon, A. y Rice, D. (2016). A randomized controlled trial of personalized text message reminders to promote medication adherence among HIV-positive adolescents and young adults. AIDS Behavior, 20(5), 1049–1059. https://doi.org/1.1007/s10461-015-1192-x
Grimes, R., Lal, L. y Lewis, S. (2002). Frequency and medical history items, drug interactions, and lifestyle characteristics that may interfere with antiretroviral medications. HIV Clinical Trials, 3(2),161–167. https://doi.org/1.1310/C1HV-Y1TA-RH80-B9K0
Hedges, L. V. y Olkin, I. (1985). Statistical methods for meta-analysis. San Diego, CA: Academic Press.
*Horvath, K., Oakes, M., Rosser, S., Danilenko, G., Vezina, H., Amico, K. et al. (2013). Feasibility, Acceptability and Preliminary Efficacy of an Online Peer-to-Peer Social Support ART Adherence Intervention. AIDS Behavior, 17, 2031–2044. https://doi.org/1.1007/s10461-013-0469-1
INFOSIDA (junio, 2020). El VIH y las personas mayores. https://infosida.nih.gov/understanding-hiv-aids/fact-sheets/25/80/el-vih-y-las-personas-mayores
Jiménez, J. y Salazar, W. (2016). El meta-análisis: Guía práctica para el investigador. Manuscrito no publicado. Escuela de Educación Física y Deportes Universidad de Costa Rica.
*Jones, D., Sharma, A., Kumar, M., Waldrop-Valverde, D., Nehra, R., Vamos, S. et al. (2013). Enhancing HIV Medication Adherence in India. Journal of the International Association of Providers of AIDS Care, 12(5), 343–348. https://doi.org/1.1177/1545109712446177
Kahamba, J., Massawe, F., Nombo, C. y Jeckoniah, J. (2017). How Gender Affects Adherence to Antiretroviral Therapy in Tanzania. Measure Evaluation. https://www.measureevaluation.org/resources/publications/wp-17-196
Kahana, S. Y., Rohan, J., Allison, S., Frazier, T. W. y Drotar, D. (2013). A meta-analysis of adherence to antiretroviral therapy and virologic responses in HIV-infected children, adolescents, and young adults. AIDS and Behavior, 17(1),41-60. https://doi.org/10.1007/s10461-012-0159-4
*Kaihin, R., Kasatpibal, N., Chitreechuer, J, y Grimes, R. (2015). Effect of an Empowerment Intervention on Antiretroviral Drug Adherence in Thai Youth. Behavioral Medicine, 41(4), 186-194. https://doi.org/1.1080/08964289.2014.911717
*Kalichman, S., Kalichman, M., Cherry, C., Swetzes, C., Amaral, C., White, D. et al. (2011). Brief Behavioral Self-Regulation Counseling for HIV Treatment Adherence Delivered by Cell Phone: An Initial Test of Concept Trial. AIDS PATIENT CARE and STDs, 25(5), 303-331. https://doi.org/1.1089/apc.201.0367
Kanters, S., Park, J., Chan, K., Ford, N., Forrest, J., Thorlund, K., Nachega, J. y Mills, E. (2016). Use of peers to improve adherence to antiretroviral therapy: a global network meta-analysis. Journal of the International AIDS Society, 19, 21141. https://doi.org/1.7448/IAS.19.1.21141
Kleeberger, C., Buechner, J., Palella, F., Detels, R., Riddler, S. y Godfrey, R. (2004). Changes in adherence to highly active antiretroviral therapy medications in the Multicenter AIDS Cohort Study. AIDS, 18(4), 683-688. https://journals.lww.com/aidsonline/Fulltext/2004/03050/Changes_in_adherence_to_highly_active.13.aspx
Koyra, H. (2018) Adherence to Antiretroviral Therapy among Adult Persons Living with HIV/AIDS in Southern Ethiopia. International Journal of Virology and AIDS, 5, 038. https://doi.org/10.23937/2469-567X/1510038
Lakens, D. (2013). Calculating and reporting effect sizes to facilitate cumulative science: a practical primer for t-tests and ANOVAs. Frontiers in Psychology, 4. https://doi.org/10.3389/fpsyg.2013.00863
Ley N° 9234. Asamblea Legislativa de la República de Costa Rica, 22 de abril del 2014.
Locher, C., Messerli, M., Gaab, J. y Gerger, H. (2019). Long-Term Effects of Psychological Interventions to Improve Adherence to Antiretroviral Treatment in HIV-Infected Persons: A Systematic Review and Meta-Analysis. AIDS Patient Care and STDs, 33(3), 131–144. https://doi.org/1.1089/apc.2018.0164
Mbuagbaw, L., Sivaramalingam, B., Navarro, T., Hobson, N., Keepanasseril, A., Wilczynski, N. et al. (2015). Interventions for Enhancing Adherence to Antiretroviral Therapy (ART): A Systematic Review of High Quality Studies. AIDS PATIENT CARE and STD, 29(5), 248-266. https://doi.org/1.1089/apc.2014.0308
Nieuwlaat, R., Wilczynski, N., Navarro, T., Hobson N., Jeffery, R., Keepanasseril, A., Agoritsas, T., Mistry, N., Iorio, A., Jack, S., Sivaramalingam, B., Iserman, E., Mustafa, R., Jedraszewski, D., Cotoi, C. y Haynes, R. (2014). Interventions for enhancing medication adherence. Cochrane Database of Systematic Reviews, 11(CD000011). https://doi.org//1.1002/14651858.CD000011.pub4
Omonaiye, O., Nicholson, P., Kusljic, S. y Manias, E. (2018). A meta-analysis of effectiveness of interventions to improve adherence in pregnant women receiving antiretroviral therapy in sub-Saharan Africa. International Journal of Infectious Diseases, 74, 71–82. https://doi.org/1.1016/j.ijid.2018.07.004
ONUSIDA (2014). 90-90-90 Un ambicioso objetivo de tratamiento para contribuir al fin de la epidemia de SIDA. Ginebra: Suiza. www.unaids.org/sites/default/files/media_asset/90_90_90_es.pdf
ONUSIDA (2019). Trend of New Infections. http://aidsinfo.unaids.org/
Organización Panamericana de la Salud (OPS) (2011). Experiencias Exitosas en el Manejo de la Adherencia al Tratamiento Antirretroviral en Latinoamérica. Washington, D. C.: OPS.
Palacio, A., Garay, D., Langer, B., Taylor, J., Wood, B. y Tamaris, L. (2016). Motivational Interviewing Improves Medication Adherence: A Systematic Review and Meta-analysis. Journal of General Internal Medicine, 31(8), 929–994. https://doi.org/1.1007/s11606-016-3685-3
Pellowski, J., Price, D., Harrison, A., Tuthill, E., Myer, L., Operario, D. y Lurie, M. (2018). A Systematic Review and Meta-analysis of Antiretroviral Therapy (ART) Adherence Interventions for Women Living with HIV. AIDS and Behavior, 23(8), 1998-2013. https://doi.org/1.1007/s10461-018-2341-9
*Peltzer, K., Ramlagan, S., Jones, D., Weiss, S., Fomumdam, H. y Chanetsa, L. (2012). Efficacy of a lay health worker led group antiretroviral medication adherence training among non-adherent HIV-positive patients in KwaZulu-Natal, South Africa: Results from a randomized trial. SAHARA-J: Journal of Social Aspects of HIV/AIDS, 9(4), 218-226. https://doi.org/1.1080/17290376.2012.745640
Puskas, C. y Hogg, R. (2015). Unlocking adherence: is gender the key? The Lancet, 2, E2-E3. https://doi.org/1.1016/S2352-3018(14)00033-2
*Remien, R., Stirratt, M., Dolezal, C., Dognin, J., Wagner, G., Carballo-Dieguez, A., El-Bassel, N., Jung, T. (2005). Couple-focused support to improve HIV medication adherence: a randomized controlled trial. AIDS, 19, 807–814. https://doi.org/1.1097/01.aids.0000168975.44219.45
*Robbins, R., Mellins, C., Leu, C., Rowe, J., Warne, P., Abrams, E., Witte, S., Stein, D. y Remien, R. (2015). Enhancing Lay Counselor Capacity to Improve Patient Outcomes with Multimedia Technology. AIDS Behavior, 19, 163–176. https://doi.org/1.1007/s10461-014-0988-4
*Sabin, L., Bachman, M., Hamer, D., Xu, K., Zhang, J., Li, T., Wilson, I. y Gill, C. (2010). Using Electronic Drug Monitor Feedback to Improve Adherence to Antiretroviral Therapy Among HIV-Positive Patients in China. AIDS Behavior, 14, 580–589. https://doi.org/1.1007/s10461-009-9615-1
Sarafino, E. y Smith, T. (2011). Health Pychology: Biopsychosocial Interaction. Wiley y Sons.
Shah, R., Watson, J. y Free, C. (2019). A systematic review and meta-analysis in the effectiveness of mobile phone interventions used to improve adherence to antiretroviral therapy in HIV infection. BMC Public Health, 19, 915. https://doi.org/1.1186/s12889-019-6899-6
*Simoni, J., Pantalone, D. & Huang, B. (2007). A Randomized Controlled Trial of a Peer Support Intervention Targeting Antiretroviral Medication Adherence and Depressive Symptomatology in HIV-Positive Men and Women. Health Psychology, 26(4): 488–495. https://doi.org/10.1037/0278-6133.26.4.488
Stewart, L. A., Clarke, M., Rovers, M., Riley, R. D., Simmonds, M., Stewart, G. y Tierney, J. F. (2015). Preferred reporting items for systematic review and meta-analyses of individual participant data: the PRISMA-IPD statement. JAMA, 313(16), 1657-1665. https://doi.org/10.1001/jama.2015.3656
*Surajudeen, A., Rampal, L., Ibrahim, F., Radhakrishnan, A., Shahar, H., Othman, N. (2017) Mobile phone reminders and peer counseling improve adherence and treatment outcomes of patients on ART in Malaysia: A randomized clinical trial. Plos One 12(5): 1-16. https://doi.org/10.1371/journal.pone.0177698
Tapp, C., Milloy, M. J., Kerr, T. et al. (2011) Female gender predicts lower access and adherence to antiretroviral therapy in a setting of free healthcare. BMC Infect Dis 11, 86. https://doi.org/10.1186/1471-2334-11-86
Thomas, J. R. y Nelson, J. K. (2007). Métodos de investigación en actividad física. Paidotribo.
Wendel, C., Mohler, M., Kroesen, K., Ampel, N., Gifford, A. y Coons, S. (2001). Barriers to use of electronic adherence monitoring in an HIV clinic. The Annals of Pharmacotherapy, 35(9), 1010-1015. https://pubmed.ncbi.nlm.nih.gov/11573846/