Artículo original
Calidad de la imagen de tomografía computarizada versus dosis en estudios híbridos: resultados preliminares en maniquí
Quality of computed tomography image versus dose in hybrid studies: preliminary results in phantom
Calidad de la imagen de tomografía computarizada versus dosis en estudios híbridos: resultados preliminares en maniquí
MediSur, vol. 20, núm. 2, pp. 272-284, 2022
Facultad de Ciencias Médicas de Cienfuegos, Centro Provincial de Ciencias Médicas Provincia de Cienfuegos.
Recepción: 12 Noviembre 2021
Aprobación: 08 Febrero 2022
RESUMEN
Fundamento: los estudios híbridos producen una dosis total de radiación que es resultado de la dosis proveniente del radiofármaco y la emitida por la tomografía computarizada, por eso la optimización es indispensable.
Objetivo: evaluar la relación de la dosis de tomografía computarizada con algunos parámetros de calidad de la imagen en protocolos de estudios híbridos.
Métodos: para evaluar la calidad de la imagen se emplearon los maniquíes de Catphan y de Livermore en 12 protocolos preestablecidos de un equipo de tomografía por emisión del fotón único Mediso. Los datos de los descriptores de dosis de cada estudio se obtuvieron del cabezal DICOM. Se compararon los parámetros de calidad de imagen clásicos como ruido y la MTF 50 % para el maniquí de Catphan, y otros como la relación contraste ruido, el promedio de números de Hounsfield y su desviación estándar en las regiones de interés de los órganos correspondientes, en el maniquí de Livermore. Se analizó la relación de estos parámetros de calidad con los descriptores de dosis de los diferentes protocolos.
Resultados: los parámetros relacionados con la calidad en el maniquí de Catphan no mostraron diferencias significativas (p<0,05) entre los diferentes protocolos para estudios híbridos. Se encontraron diferencias significativas entre los protocolos clínicos con diferentes calidades y el protocolo clínico estándar, para el maniquí antropomórfico, en la desviación estándar de los números de Hounsfield y en la relación contraste ruido (p<0,05).
Conclusiones: el estudio de la relación contraste ruido y la desviación de los números de tomografía computarizada en las regiones de interés pueden servir de parámetro cuantitativo para la optimización de dosis en escenario clínico.
Palabras clave: dosis de radiación+ tomografía+ tomografía computarizada axial por emisión de fotón simple.
ABSTRACT
Background: hybrid studies produce a total radiation dose that is the result of the dose imparted by the radiopharmaceutical and that emitted by the computed tomography, therefore optimization is essential.
Objective: to evaluate the relationship of the computed tomography dose with some image quality parameters in hybrid study protocols.
Methods: to evaluate the image quality, the Catphan and Livermore Phantom were used in 12 pre-established protocols of a Mediso single photon emission tomography equipment. The data for the dose descriptors for each study were obtained from the DICOM head. The classic image quality parameters such as noise and the MTF 50% for the Catphan manikin, and others such as the contrast-noise ratio, the average of Hounsfield numbers and their standard deviation in the regions of interest of the corresponding organs were compared, in Livermore's mannequin. The relationship of these quality parameters with the dose descriptors of the different protocols was analyzed.
Results: the quality-related parameters in the Catphan manikin did not show significant differences (p <0.05) between the different protocols for hybrid studies. Significant differences were found between the clinical protocols with different qualities and the standard clinical protocol, for the anthropomorphic manikin, in the standard deviation of the Hounsfield numbers and in the contrast-to-noise ratio (p <0.05).
Conclusions: the study of the contrast noise ratio and the deviation of the computed tomography numbers in the regions of interest can serve as a quantitative parameter for the optimization of doses in the clinical setting.
Key words: radiation dosage, tomography, tomography, emission-computed, single-photon.
Introduction
Desde la introducción comercial de los equipos híbridos de medicina nuclear combinados con tomografía computarizada (Computed Tomography, por sus siglas en inglés, CT), específicamente de la tomografia por emisión del fotón único (Single Photon Computer Tomography, por sus siglas en inglés, SPECT/CT) en 1999 y la tomografía por emisión de positrones (Positron Emission Tomography, por sus siglas en inglés, PET/CT) en 2000, se ha producido una consolidación tecnológica y un crecimiento sostenido de sus aplicaciones.1
Este rápido incremento trae a la palestra la preocupación por la dosis de radiación, que estas tecnologías pueden producir como resultado de la administración del radiofármaco y la tomografía computarizada. Por eso, los profesionales de la medicina nuclear tienen el deber de optimizar las exposiciones médicas, de forma tal que se cumplan los principios de la protección radiológica, especialmente el precepto básico de lograr dosis tan bajas como sean razonablemente alcanzables, para cumplir el objetivo clínico que se persigue (conocido como principio “as low as reasonably achievable”, ALARA por sus siglas en inglés). 2
Por tanto, materializar este principio pasa por la optimización de la actividad del radiofármaco a administrar y del procedimiento de CT que se desarrolla, sin perder o comprometer la calidad de la imagen que se requiere para cumplimentar la tarea diagnóstica concreta.
Los métodos de procesamiento de imágenes han evolucionado a la par de la tecnología médica y las ciencias de la informatización, que se entrelazan para producir alternativas cada vez más eficientes de reconstrucción y visualización de las imágenes médicas. Especialmente en CT, se ha aumentado la disponibilidad de métodos de procesamiento que sostienen los niveles de calidad de imagen requeridos para el diagnóstico, produciendo dosis al paciente cada vez más bajas. 3,4,5 Además, se han incorporado técnicas dinámicas de reducción de dosis que, a partir de la información que proveen las propias imágenes del paciente, ajustan de forma dinámica los parámetros de exposición para reducir la dosis que este recibe. 5,6
Por estas causas, estudiar la calidad de la imagen desde el punto de vista objetivo, en escenario clínico, se ha vuelto una necesidad imperiosa para la evaluación de estos métodos de optimización.
Este trabajo tuvo el objetivo de evaluar las características dosimétricas de los diferentes protocolos híbridos de CT y estudiar algunas de las métricas de calidad de imagen en condiciones genéricas y orientada a tareas, como vía de caracterización de la práctica clínica de este tipo de equipo (3 de los 4 SPECT/CT y el trimodal PET/SPECT/CT disponibles en el país); y como paso introductorio a estudios posteriores de optimización de la práctica clínica, que involucrarán al observador-evaluador.
MÉTODOS
Este estudio se realizó en el equipo híbrido SPECT/CT AnyScan SC, cuyo fabricante: es Mediso, con el número de serie: AS-504164-SC, del Departamento de Medicina Nuclear del Instituto Nacional de Oncología y Radiobiología (INOR).
Para comenzar este trabajo se realizaron los controles de calidad dosimétricos establecidos en el protocolo nacional del CECMED, 7 para los 12 protocolos híbridos preestablecidos por el fabricante, verificando que los parámetros descriptores son correctos y están en tolerancia. Todos son protocolos helicoidales, con 120kVp nominal, colimación de 20, factor de paso 1(pitch), tiempo de rotación 1s. (Tabla 1).

Los parámetros dosimétricos analizados fueron la exposición (mAs), el índice de Kerma en tomografía computarizada volumétrico, conocido también como índice de dosis en CT volumétrico (CTDIvol en mGy); el producto Kerma-Longitud, comúnmente denominado como producto dosis longitud (DLP en mGy*cm) y el estimado de dosis por tamaño específico del paciente (Size-Specific Dose Estimates, en mGy, por sus siglas en inglés SSDE).
Para el procesamiento y análisis de los indicadores de calidad de imagen genéricos en el maniquí de Catphan 503, se siguió la metodología empleada en el protocolo nacional para el control de calidad de estos equipos. 7 Estos parámetros fueron el ruido, el valor medio del número de Hounsfield (HU), la resolución espacial de alto contraste de forma visual (número de barras visualizadas) y a través de la función de transferencia modulada (MTF). Se estimó la resolución de bajo contraste de forma visual (número de esferas visualizadas) y a través de la escala de contraste en aire/acrílico (escala), la relación contraste ruido (RCR) se calculó en todos los insertos (diferentes materiales). Los datos fueron obtenidos a través del sistema ImageJ 1.53c en tres evaluaciones (http://imagej.net/).
El ruido se define como la variación del número CT en un área determinada sobre la imagen, usualmente su magnitud es indicada a través de la desviación estándar de los números CT de un medio uniforme en una región de interés dada; en este caso se define en la parte central del maniquí con una región del 40 %, allí también se evalúa el valor medio del número de Hounsfield como el promedio de los números de CT encontrados en esa región. Los datos de los descriptores de dosis de cada estudio se obtuvieron manualmente del cabezal DICOM visualizado en el propio ImageJ 1.53c.
Para estudiar la calidad de imagen tarea orientada se empleó el maniquí de tórax y abdomen conocido como Lawrence Livermore realistic phantom (Alderson Phantoms, http://www.rsdphantoms.com), en los mismos 12 protocolos. Los parámetros de calidad tarea-orientados estimados en este caso fueron el promedio de números de Hounsfield y su desviación estándar en cada región de interés anatómica definida y la relación contraste ruido (RCR) entre las mismas, aunque en el protocolo se analiza solamente en aire/acrílico. (Fig. 1)

La relación fue definida entre órganos y/o estructuras vecinas que son de interés clínico. En todos los casos fue estimada según la expresión(Fig.5)

Para este análisis se empleó la herramienta CaDICT desarrollada en MATLAB 2008b que obtiene de forma automática la información relacionada con los protocolos y las dosis de radiación que recibe el paciente, permite el trazado de hasta 25 regiones de interés (fijas o libres) en los cortes tomográficos seleccionados por el usuario para disponer de los números promedio de Hounsfield y su desviación estándar para cada región, permitiendo la salva automática de los resultados en una base de datos, en forma de fichero Excel para su procesamiento estadístico posterior.
Se establecieron como órganos de interés en tórax y abdomen: pulmones, hígado, corazón, mediastino, columna, músculos de la espalda e intestino (ver figura 1). Para este trabajo se trazaron regiones de interés circulares fijas de 75 pixeles aproximadamente (ROI) en los cortes tomográficos obtenidos de los diferentes protocolos, de esta forma se evita la variabilidad intraoperador y se homogeniza el manejo de datos. Para evaluar los protocolos de abdomen se emplearon 10 ROIs (Figura 1a y 1b); mientras que para los protocolos generales de baja dosis (LowDose-LD) y de tórax se utilizaron 15 (Figura 1a, 1c y 1d), cinco de las cuales son comunes a la región superior del abdomen.
Los promedios de las variables numéricas estudiadas se analizaron empleando la prueba de rangos con signo de Wilcoxon (no paramétrico, pareado) con nivel de confianza del 95 % y p<0,05 de significación estadística, y en la mayoría de los casos se tomó como referencia el protocolo de mayor dosis de radiación para cada aplicación (tórax T4 y abdomen A4). Se empleó el programa IBM SPSS Statistics 20 (IBM, Armonk, NY, http://www-01.ibm.com/software/analytics/spss/).
RESULTADOS
Maniquí de Catphan
El análisis de los indicadores dosimétricos y la mayoría de los parámetros de calidad de imagen genéricos obtenidos, para los 12 protocolos CT híbridos preestablecidos por el fabricante, empleando el maniquí de Catphan, mostró lo siguiente:
Desde el punto de vista numérico, no existen diferencias en los parámetros descriptores de dosis entre los diferentes protocolos de tórax y abdomen con calidades media, baja y CT diagnóstica, sino que se producen dosis mayores solo en los protocolos denominados “clínicos”. A pesar del aumento de la dosis en este tipo de protocolo, los parámetros genéricos de calidad de imagen como la MTF50% (p≥0,109), los números de CT (HU, p>0,368), la escala de contraste (p≥0,075) y la RCR (p≥0,119; ver tabla 2), no muestran diferencias significativas con los correspondientes de menor dosis (p>0,05). (Tabla 2).

El resultado de los números de Hounsfield promedio y su desviación estándar (DE), así como la relación contraste ruido (RCR) para cada material de referencia, en cada protocolo, se recogen en la figura 2a, 2b y 2c respectivamente. (Fig. 2)

El comportamiento de los números de Hounsfield fue lineal con el coeficiente de atenuación, con índices de correlación R2>0,995. (Fig. 3).

Maniquí de Livermore
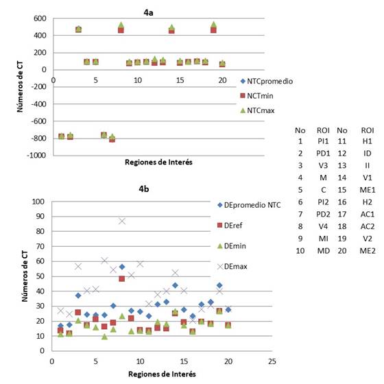
Los resultados del promedio de los números de CT encontrados en las imágenes del maniquí antropomórfico (NTCprom), así como el mínimo (NTCmin) y el máximo (NTCmax), en todos los protocolos, para todas las regiones de interés dibujadas se recogen en la figura 4a. Mientras que, en la figura 4b, se muestran las deviaciones estándar del NTCprom para todos los protocolos en la misma ROI (DEprom), además de los valores de la desviación estándar del NTC del protocolo de mayor dosis que fue empleado como referencia (DEref), el valor máximo (DEmax) y mínimo (DEmin) de la propia DEprom. Las desviaciones estándar del NTC mostraron diferencias significativas entre el protocolo de mayor dosis y los correspondientes de menor dosis (p<0,05 entre 0,019 y 0,037), observar la dispersión de los valores en el gráfico 3b. (Fig. 4).

Los resultados de la relación contraste ruido para las estructuras dibujadas en tórax y abdomen en los diferentes protocolos, se muestran en la tabla 3. En ella se refieren también los valores de p resultante de la comparación contra el protocolo especializado de mayor dosis (p), y de la comparación de los protocolos LowDose (LD1, LD2, LD3) contra su variante LD4 que no posee reducción de dosis general (p1). (Tabla 3).

Las diferencias de las RCR entre el protocolo de máxima dosis (T4-Toráx clínico y A4-Abdomen clínico) y el resto de los protocolos correspondientes a la misma región anatómica y los de baja dosis fueron significativas. Sin embargo, entre los protocolos dedicados de baja dosis (LD) no existieron diferencias significativas entre sí, como tampoco existen diferencias estadísticas en los indicadores de dosis (CTDIvol, SSDE), situación consistente con lo encontrado en el maniquí de Catphan en este caso.
DISCUSIÓN
Maniquí de Catphan
Los números de CT promedio para los materiales de referencia, si bien en su mayoría se encuentran dentro de los límites de tolerancia establecidos para cada material, 7 se nota una ligera tendencia a encontrarse en el límite inferior de cada uno de ellos. En el caso especial del aire, el valor medio obtenido para todos los protocolos es -975± 4 UH, se encuentra ligeramente por debajo del valor ±10 UH establecido. Esta situación no es infrecuente como corroboran algunos autores como Njiki y cols., P Barca y cols. que encontraron discrepancias de este orden en protocolos clínicos.5,8 En este caso se puede justificar, además, por la presencia de mayor ruido y menor dosis, que los protocolos habituales de control de calidad y de alta resolución. La linealidad de los números de Hounsfield mostró índices de correlación R2>0,995, indicando que el sistema responde de manera lineal y que esta ligera desviación en aire u otros materiales es aceptable.
A pesar del análisis estadístico de los resultados obtenidos en el maniquí de Catphan, los parámetros que mostraron diferencias numéricas con la dosis mayor, fueron el ruido y la relación contraste ruido. El ruido se incrementa prácticamente a la mitad con la disminución de los indicadores de dosis al 62 % en el estudio clínico, mientras que la relación contraste ruido también disminuye en proporción variada (ver figura 1c). Especialmente en el caso de los materiales de coeficientes de atenuación similares al fondo (bajo contraste) como el acrílico, la relación contraste ruido disminuye hasta alcanzar valores entre 27-51 % en los protocolos de tórax y en abdomen entre 31-45 %. Gharbi y cols., en protocolos especializados de tórax en este maniquí, obtuvieron una disminución de la RCR del 56 % frente a una reducción del 52 % de la dosis. 9
Este resultado estadístico indica que el cambio de protocolo híbrido de CT en tórax y abdomen en condiciones de calidades media, baja y CT diagnóstica, no brinda diferencias aparentes entre ellos (estadísticamente hablando), ni en la dosis ni en los índices genéricos de calidad de la imagen que produce del maniquí de Catphan; sin embargo, el impacto numérico en el ruido y las RCR de las estructuras de bajo contraste versus el protocolo de mayor dosis, no debe desestimarse y requiere mayor estudio.
Algo muy similar sucede en los protocolos generales de baja dosis (LowDose), donde todas las variantes arrojaron indicadores de dosis y parámetros de calidad muy similares (p>0,05). En este caso el cambio de protocolo a LD degradó aproximadamente la RCR al 81 % del protocolo T4 y al 30 % del valor encontrado para A4, con una dosis aproximada del 25 %. Esto indica que la gama de protocolos de CT para estudios híbridos disponible en este equipo no es extensa, y si se requiere visualizar detalles de bajo contraste en la imagen de CT del estudio híbrido, se deberá recurrir a estudios clínicos clásicos que muestren de forma tentativa mejor resolución de bajo contraste y menor ruido, es decir RCR5> y ruido<10UH como los encontrados por P. Barca y cols. y Grosser y cols. en estudios diagnósticos de CT para este maniquí. 8,10
Maniquí de Livermore
Las diferencias del promedio de los números de CT encontrados para cada ROI, en las imágenes del maniquí de Livermore, con los protocolos de tórax y abdomen de mayor dosis (A4 y T4 empleados como referencia) no fueron significativas (p>0,05 entre 0,074 y 0,788). La máxima discrepancia encontrada fue del 14 % para la estructura del músculo de la espalda (ME2). Este resultado es consistente con los encontrados anteriormente en el maniquí de Capthan, que no mostró diferencias significativas en este parámetro.
En el caso del ruido, contrario a los resultados encontrados en el maniquí de Catphan, las desviaciones estándar del número de CT mostraron diferencias significativas entre el protocolo de mayor dosis y los correspondientes de menor dosis (p<0,05 entre 0,019 y 0,037). El incremento del ruido en cada estructura, es similar al encontrado por Ki Baek Lee y cols. en el maniquí RS-330 para protocolos de tórax de 120kVp, para tejido blando.11
El rango de valores de relación contraste ruido para las estructuras de tórax y abdomen, a escala clínica, son menores que los encontrados en el maniquí de Catphan (máximo de 43,1 para la estructura ósea en protocolo de tórax, rango 25,0-43,1; equivale a 58 % RCR para ese tipo de protocolo). Este resultado confirma las diferencias entre las condiciones generales del maniquí de calidad de imagen Catphan y este maniquí que simula las condiciones de los tejidos humanos, resultados consistente a los expresados por otros autores.11,12,13
Sin embargo, entre los protocolos dedicados de baja dosis (LD) no existieron diferencias significativas entre sí, como tampoco existe en los indicadores de dosis (CTDIvol, SSDE), situación consistente con lo encontrado en el maniquí de Catphan en este caso.
Las diferencias encontradas en este indicador (RCR), que en este caso se considera tarea-orientado por la definición directa en estructuras o tejidos anatómicos de interés, tienen una amplia variación en la literatura de los últimos años, especialmente por la importancia que ha ganado la optimización de dosis, y las diversas definiciones matemáticas empleadas. Este término fue definido en maniquíes de control de calidad (donde el fondo es de material uniforme y en una sola región), y en su aplicación orientada a tareas clínicas, ha encontrado como sustituto, en algunas investigaciones científicas, una definición de ruido asociada a una sola estructura anatómica, que varía con el reporte de cada autor, al igual que sus resultados. 4,9,10,14
Para una definición tarea-orientada similar a la empleada en este trabajo, Muhammad y cols. reportan en maniquí antropomórfico CIRS 704 de pediatría (ATOM, 704 model CIRS, Norfolk, VA, USA) una RCR del 53 % para una dosis del 25 % del protocolo clínico de referencia del 100kVp y de 18 % para la reducción del 26 % en 80kVp, explicando la variabilidad que se puede encontrar en este parámetro con la dosis.12
Baek Lee y cols., por su parte, mostraron una reducción entre 82 %-86 % de la RCR para una disminución de dosis del 30 % entre diferentes protocolos de adultos de 120kVp de tórax.11 Datos que confirman la dependencia de este parámetro con los equipos y sus características propias, incluido sus protocolos de procesamiento.
Por otro lado, las condiciones clínicas en pacientes muestran un escenario mucho más variado que las condiciones del maniquí de calidad de imagen Catphan, donde los fondos son homogéneos y los rangos de densidades a estudiar mayor; por eso el estudio en maniquí antropomórfico puede traer a la luz mayor información sobre el comportamiento del sistema y la calidad de imagen, en un escenario más cercano al contexto clínico, situación expresada en ocasiones anteriores por otros autores. (9,10, 12,13)
Los antecedentes bibliográficos sobre esta temática no son extensos y los existentes muestran una gran variabilidad en sus resultados, señalando la importancia del estudio de estos parámetros para cada equipo y sus protocolos, durante las labores de optimización de dosis al paciente.
Se puede concluir que el uso del maniquí antropomórfico parece arrojar mayor información sobre los parámetros que pudieran relacionarse con la calidad de imagen, a partir de una definición orientada a la tarea clínica a resolver. El estudio de la relación contraste ruido y la desviación de los números de Hounsfield, en las regiones de interés, en escenario similar al clínico, pudiera servir de parámetro cuantitativo para los estudios de optimización de dosis, por la sensibilidad que puede mostrar a cambios de dosis.
Este trabajo evaluó las características dosimétricas de los diferentes protocolos híbridos de CT de este equipo SPECT/CT y su impacto en parámetros relacionados con la calidad de imagen en condiciones genéricas y tarea-orientados. Los resultados fueron controversiales, pues las diferencias entre los protocolos de menor dosis correspondientes a la misma zona de exploración (Abdomen A1-A2-A3; Tórax T1-T2-T3; General LD1-LD2-LD3) no mostraron diferencias entre sí, ni en los parámetros de calidad ni en los parámetros de dosis, en ninguno de los dos maniquíes. Sólo se encontraron diferencias dosimétricas y de los indicadores de calidad tarea-orientados (relación contraste ruido y la desviación de los números de Hounsfield en las regiones de interés en órganos), para el maniquí antropomórfico, entre los protocolos especializados de tórax con su análogo T4-tórax (clínico, sin reducción), de abdomen con su homólogo A4 - abdomen (clínico, sin reducción), y entre todos los de baja dosis con T4-tórax (clínico, sin reducción). Esto pudiera ser una consecuencia del propósito limitado, en cuanto a prestaciones clínicas, del diseño del CT del equipo híbrido para brindar solamente una imagen de localización anatómica y un mapa de atenuación satisfactorio; y no a desarrollar estudios de CT dedicados con alta calidad diagnóstica. Este resultado constituye un aporte importante de este trabajo, que llama la atención de los especialistas y tecnólogos a seleccionar y utilizar las técnicas de adquisición conociendo las limitaciones que poseen.
Los resultados encontrados en este trabajo tanto para los indicadores de dosis, como para los parámetros de calidad de imagen tarea-orientados, caracterizan preliminarmente los protocolos híbridos del CT de este equipo SPECT/CT, y han mostrado que el tema amerita un estudio más profundo a nivel clínico.
REFERENCIAS BIBLIOGRÁFICAS
1. Bebbington NA, Haddock B, Bertilsson H, Hippeläinen E, Husby HM, Tunninen VI, et al. A Nordic survey of CT doses in hybrid PET/CT and SPECT/CT examinations. EJNMMI Physics. 2019, 6:24
2. International Atomic Energy Agency. Radiation protection and safety in medical uses of ionizing radiation[Internet]. Viena: IAEA; 2018[citado 20/03/2021]. Disponible en: Disponible en: https://www-pub.iaea.org/MTCD/Publications/PDF/PUB1775_web.pdf
3. Brindhaban A. Effective Dose to Patients from SPECT and CT During Myocardial Perfusion Imaging. J Nucl Med Technol. 2020. 2020(48):143-7.
4. Katarian B, Althénb JN, Smedbyc Ö, Perssona A, Sökjerd H, Sandborg M. Assessment of image quality in abdominal computed tomography: Effect of model-based iterative reconstruction, multi-planar reconstruction and slice thickness on potential dose reduction. Eur J Radiol. 2020;122:108703
5. Njiki CD, Ndjaka Manyol JEM, Ebele Yigbedeck Y, William Abou'ou D, Clovis Yimele B, Sabouang JF. Assessment of Image Quality Parameters for Computed Tomography in the City of Yaound. Open Journal of Radiology. 2018;8:37-44.
6. Verdun FR, Racine D, Ott JG, Tapiovaara MJ, Toroi P, Bochud FO, et al. Image quality in CT: From physical measurements to model observers. Phys Med. 2015;31(8):823-43.
7. Centro para el Control Estatal de Medicamentos, Equipos y Dispositivos Médicos. Resolución 43/2021. Disposición reguladora E 95-21: Protocolo para el Control de Calidad a Equipos de Tomografía Computarizada[Internet]. La Habana: CECMED; 2021[citado 6/12/2021]. Disponible en: Disponible en: https://www.cecmed.cu/ultimas-regulaciones/protocolo-control-calidad-equipos-tomografia-computarizada
8. Barca P, Paolicchi F, Aringhieri G, Palmas F, Marfisi D, Fantacci ME, et al. A comprehensive assessment of physical image quality of five different scanners for head CT imaging as clinically used at a single hospital centre-A phantom study. PLoS ONE. 2021;16(1):e0245374.
9. Gharbi S, Labidi S, Mars M, Chelli M, Meftah S, Ladeb MF. Assessment of organ dose and image quality in head and chest CT examinations: a phantom study. J. Radiol Prot. 2018;38:807-18.
10. Grosser OS, Kupitz D, Ruf J, Czuczwara D, Steffen IG, Furth C, et al. Optimization of SPECT-CT Hybrid Imaging Using Iterative Image Reconstruction for Low-Dose CT: A Phantom Study. PLoS ONE. 2015;10(9):e0138658.
11. Baek Lee K, Woo Goo H. Quantitative Image Quality and Histogram-Based Evaluations of an Iterative Reconstruction Algorithm at Low-to-Ultralow Radiation Dose Levels: A Phantom Study in Chest CT. Korean J Radiol. 2018;19(1):119-29.
12. Muhammad NA, Kayun Z, Abu Hassan H, Wong JH, Ng KH, Karim MK. Evaluation of Organ Dose and Image Quality Metrics of Pediatric CT Chest Abdomen-Pelvis (CAP) Examination: An Anthropomorphic Phantom Study. Appl Sci. 2021;11:2047.
13. Jagoda P, Dzierma Y, Ziegenhain F, Speicher K, Rübe C, Buecker A, et al. Establishment of Submillisievert Abdominal CT Protocols With an In Vivo Swine Model and an Anthropomorphic Phantom. AJR. 2020;215:685-694.
14. Jensen JT, Telesmanich ME, Wagner-Bartak NA, Liu X, Rong J, Szklaruk J, et al. Based Iterative Reconstruction valuation of Abdominal CT Image Quality Using a New Version of Vendor-Specific Model. J Comput Assist Tomogr. 2017;41(1):67-74.
Notas de autor
*Autor para correspondência: adlinlopez2607@gmail.com
Declaración de intereses