Division - Soil Processes and Properties
Ajmalicine Bioproduction in Catharanthus Roseus (L) G. Don Inoculated with Arbuscular Mycorrhiza and Fertilized with Nitrogen
Ajmalicine Bioproduction in Catharanthus Roseus (L) G. Don Inoculated with Arbuscular Mycorrhiza and Fertilized with Nitrogen
Revista Brasileira de Ciência do Solo, vol. 42, 2018
Sociedade Brasileira de Ciência do Solo
Received: 19 February 2017
Accepted: 21 February 2018
ABSTRACT: Catharanthus roseus (L) G. Don (Madagascar periwinkle) belongs to the Apocynaceace family and is widely spread throughout tropical and subtropical regions of the world. The plant produces several important alkaloids, such as ajmalicine and serpentine, which are used in the treatment of circulatory diseases. The potential of inoculation with arbuscular mycorrhizal fungi (AMF) and nitrogen fertilization to enhance the production of alkaloids was investigated in periwinkle. A greenhouse experiment was carried out to evaluate the effects of arbuscular mycorrhizal fungi and N fertilizer dosages on plant growth, production of ajmalicine, and nutrient content in roots. The concentration of ajmalicine was determined by reverse-phase high-performance liquid chromatography with UV detection. The experiment was designed in randomized blocks in a 4 × 4 factorial scheme with four microbiological treatments (control - without mycorrhiza; Claroideoglomus etunicatum; Rhizophagus intraradices; mixed inoculum - Rhizophagus clarus + Gigaspora margarita), and four N fertilizer dosages (15, 30, 60, and 120 mg kg-1) with four replications. Catharanthus roseus growth was higher when plants were inoculated with mixed inoculum (R. intraradices + G. margarita) and C. etunicatum. The mixed inoculum (R. intraradices + G. margarita) and C. etunicatum, combined with N fertilization, enhanced ajmalicine yield. Catharanthus roseus inoculated with mycorrhiza showed increased P absorption and reduced N content.
Keywords: periwinkle, Apocynaceae, alkaloids, plant nutrition.
INTRODUCTION
Besides being used in folk medicine for therapeutic purposes, plants are important sources of various pharmaceutical drugs. Although many of these compounds can be synthesized in the laboratory, the synthesis is complex, resulting in low yields and an unfeasible economic production. Among the various plant species, Catharanthus roseus G. L Don (periwinkle) contains more than 130 different terpenoid indole alkaloids (cyclic and nitrogen-containing compounds), several of which have important pharmaceutical uses, such as ajmalicine, found in roots and used as an antihypertensive (Almagro et al., 2015). Plants often produce alkaloids to defend themselves against adverse environmental conditions and external biological stimuli (Zeng et al., 2013).
The production of secondary plant metabolites is strongly dependent on the growing conditions, such as mineral nutrition and microorganism association (Ramakrishna and Ravishankar, 2011; Andrade et al., 2013). The inoculation of plants with arbuscular mycorrhizal fungi (AMF) can alter the production of secondary metabolites (Pedone-Bonfim et al., 2015). Some authors report that mycorrhizae plays a positive role in the accumulation of alkaloids in medicinal plants (Yu et al., 2010; De la Rosa-Mera et al., 2011).
Arbuscular mycorrhizal fungi are obligate biotrophs relying on C provided by their host plant rather than on dead organic matter (Smith and Smith, 2011). They play a central role in plant nutrition and growth in many agricultural systems. The AMF hyphal network is important in providing plants access to ions located far from the root surface. Studies using 15N tracer techniques have shown that AM hyphae can transport N from soil to roots (Tanaka and Yano, 2005; Jackson et al., 2008). Similarly, Smith and Smith (2011) suggested that AMF play a small role in plant N nutrition. However, AMF were responsible for increasing rice grain yield by 28.2 % and protein content by 7.4 % and reducing the C/N ratio, as AMF inoculation significantly increased N accumulation in rice plants (Zhang et al., 2017).
Studies have been conducted on the effect of N doses in periwinkle genotypes; for example, Sreevalli et al. (2004) concluded that N fertilization led to a significant increase in alkaloid contents in both the leaves and roots of all studied genotypes. At the highest N rate evaluated (150 kg ha-1), the alkaloid increments were 42 and 32 % in leaves and roots, respectively. Despite our knowledge of the beneficial effects of mycorrhizal fungi and N fertilization on increasing alkaloid contents in periwinkle plants, their combined effects regarding ajmalicine bioproduction remain unknown. This study aimed to evaluate the effects of different AMF species on the growth, mineral composition, and ajmalicine content in Catharanthus roseus subjected to different N fertilizer dosages.
MATERIALS AND METHODS
Growth conditions and experimental design
The experiment was performed in a greenhouse at Universidade Estadual do Norte Fluminense Darcy Ribeiro (UENF), from April to June, in Campos dos Goytacazes, RJ, Brazil. Maximum daily temperatures ranged from 24 to 37 °C, with a mean of 33.5 °C, with minimum daily temperatures from 13 to 22 °C and a mean of 16.8 °C. The experimental design was a randomized block design in a 4 × 4 factorial scheme, with four microbiological treatments: control (without fungi), mixed inoculum [Rhizophagus clarus (T.H. Nicolson & N.C. Schenck) C. Walker & A. Schüssler + Gigaspora margarita (W. N. Becker & I. R. Hall)] (isolate number 2), Claroideoglomus etunicatum (W. N. Becker & Gerd.) C. Walker & A. Schüssler (isolate number 3), and Rhizophagus intraradices (N. C. Schenck & G. S. Sm.) C. Walker & A. Schüssler (isolate number 5), and four N dosages: 15, 30, 60, and 120 mg kg-1 soil, with four replications. The experimental unit consisted of one pot containing 4 kg of substrate and four plants.
The soil used for the inoculum preparation of AMF, and as substrate, was classified as Latossolo Amarelo Distrófico coeso (Santos et al., 2013), which corresponds to an Oxisol (Soil Survey Staff, 2014); it was collected at a layer of 0.00-0.20 m, sieved, mixed with sand 1:1 (v/v), and sterilized twice in an autoclave at 121 °C for 1 h to eliminate indigenous AMF. After sterilization, the substrate exhibited the following chemical properties: pH(H2O) (ratio of 1:2.5 v/v) = 6.5; MO (Walkley and Black, 1934) = 12.41 g dm-3; P = 9 mg dm-3 (Mehlich-1); S = 11 mg dm-3 (monocalcium phosphate); K+ = 0.9 mmolc dm-3 (Mehlich-1); Ca2+ = 17 mmolc dm-3 (KCl 1 mol L-1); Mg2+ = 6.9 mmolc dm-3 (KCl 1 mol L-1); H+Al = 3 mmolc dm-3 (calcium acetate 0.5 mol L-1); Fe = 32 mg dm-3 (Mehlich-1); Cu = 0.36 mg dm-3 (Mehlich-1); Zn = 1.57 mg dm-3 (Mehlich-1); Mn = 59.3 mg dm-3 (Mehlich-1); B = 0.55 mg dm-3 (hot water).
In all treatments, 85 mg kg-1 K were added to the substrate in the form of K2SO4, along with 10 mg kg-1 P in the form of NaH2PO4.H2O; in the N treatments 15, 30, 60, and 120 mg kg-1 N were applied to the soil in the form of NH4NO3. After the fertilizers were applied and homogenized, the containers were irrigated to field capacity.
The species tested were obtained from the collection of the Soil Microbiology Sector at UENF, Brazil. For each inoculum multiplication, 15 seeds of Urochloa brizantha (Hochst. Ex A. Rich.) R. Webster were disinfected with 0.5 % sodium hypochlorite solution for 10 min, rinsed with deionized water, and sown in pots containing a mixture of soil, spores, hyphae, and colonized roots. After planting, the pots were kept in the greenhouse during a period of 120 days for fungal multiplication. A soil mixture containing colonized roots and spores of AMFs was used as inoculum and stored in a cold chamber at 4 °C until the beginning of the experiment. Catharanthus roseus seeds were sown in pots; after germination, five plants per pot were selected. Before sowing, 50 g of AMFs inoculum were added to each pot. The plants were irrigated daily using deionized water.
Biomass measurements and mycorrhizal colonization analysis
Plants were harvested after 90 days of growth under the treatments to evaluate the number of leaves, plant height, shoot, and root dry mass, mycorrhizal colonization in roots, and the N, P, K, and ajmalicine contents in roots, as well as the total yield (total content).
Plant height was determined with the aid of a ruler. Shoots and roots were dried in a forced convection oven at a temperature of 45 °C for 72 h; subsequently, leaf and root dry mass yield was determined.
Fine roots were harvested, washed with tap water, cut into 2-cm fragments, and stored in a 50 % ethanol solution before evaluation of root colonization. To determine mycorrhizal colonization, roots were stained according to the method described by Grace and Stribley (1991), with modifications (KOH 5 % at 80 °C). Ten root segments were randomly selected and spread onto a Petri dish; all AM fungal structures (hyphae, arbuscules, and vesicles) found in the roots were counted under a microscope. Colonization was estimated in terms of percentage.
Nutrient content
Shoots and roots were ground in a Wiley mill grinder and stored in tightly sealed Falcon conical centrifuge tubes. The N, P, and K root contents were determined after oxidation of plant material by sulfuric acid digestion, obtaining an extract from which N was determined by the Nessler method (Jackson, 1965), P was determined by the molybdate colorimetric method, and K by flame emission spectrophotometry (Malavolta et al., 1997).
Ajmalicine concentration
Ajmalicine extraction from roots was performed using 10 mg of roots and 1 mL of H3PO4 0.25 mol L-1. The material was homogenized prior to centrifugation at 1,400 g for 30 min. Subsequently, the resulting material was sonicated for 30 min, according to Hallard (2000). Ajmalicine determination was performed using a Shimadzu® HPLC equipment with a C18 Low TFA column and a PDA detector. The HPCL was performed under a 0.5 mL min-1 flow rate; the mobile phase consisted of solvent A (water, acetonitrile, and trifluoracetic acid, 79:21:0.01) and solvent B (water, acetonitrile, and trifluoracetic acid, 5:95:0.01).
The external standard method was used for the quantitative analysis of ajmalicine, with ajmalicine as reference. The standard curve points were 0.2, 0.4, 0.6, 0.8, and 1 mg mL-1 of ajmalicine. Solutions were prepared in H3PO4, injected in the same conditions as the samples, and analyzed at a wavelength of 254 nm.
Area data obtained in the chromatograms, for each standard concentration, were used, and equations were organized following the model y = a + bx, where y = concentration and x = area. Thus, the concentrations in mg mL-1 of ajmalicine were obtained.
Statistical analysis
The data were subjected to analysis of variance (F test) and to polynomial regression test, both at 5 % probability.
RESULTS
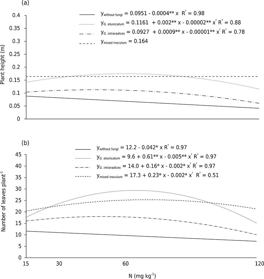
Interactions between fungal species and N dosages were observed for plant height and number of leaves. For all tested N fertilizer dosages, inoculation with C. etunicatum resulted in higher plants with more leaves. The best estimated N fertilization dosage for plant height was 61.25 mg kg-1 N, while for the number of leaves, the value was of 64.99 mg kg-1 N (Figures 1a and 1b). Increments obtained with C. etunicatum varied from 56 % for the lowest N dosage (15 mg kg-1) to 200 % for the highest N dosage (120 mg kg-1), as compared with the treatment without fungi (Figure 1a). For leaf number, the increments varied from 57 % for the lowest dosages to 119 % for the highest N dosages, as compared with the treatment without fungi (Figure 1b).

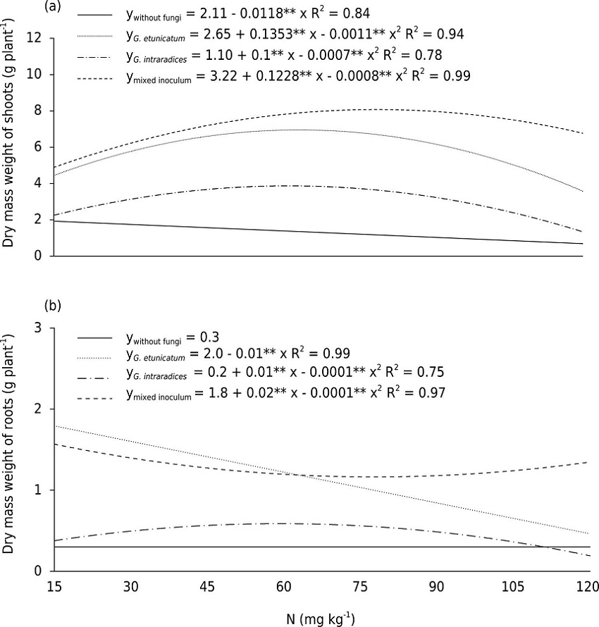
For all tested N dosages, inoculation with either the mixed inoculum or C. etunicatum increased periwinkle dry shoot and root mass weights (Figures 2a and 2b). In the case of dry shoot mass weight, the highest N dosage caused increments of 931 and 441 %, when combined with the mixed inoculum and C. etunicatum, respectively, when compared with the treatment without fungi (Figure 2a). For dry root mass weight, increments of 296 and 353 % were obtained, respectively, for inoculation with the mixed inoculum and C. etunicatum, at the lowest N dosages, and 745 and 197 % at the highest N dosages (Figure 2b).

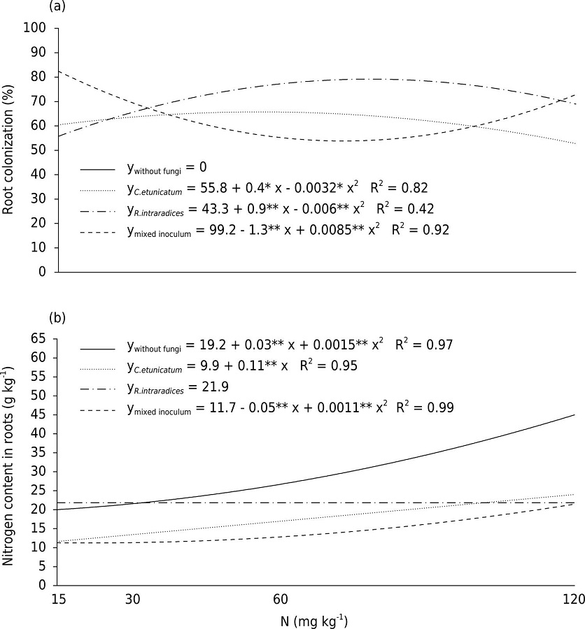
A significant interaction between the effects of AMF species and N fertilization was observed for ajmalicine root content and total content (Figures 3a and 3b). The lowest ajmalicine content (0.37 mg) was observed in plants inoculated with C. etunicatum and fertilized with 15 mg kg-1 of N, whereas the highest content (2.07 mg) was observed in non-inoculated plants fertilized with 120 mg kg-1 of N (Figure 3b). The highest total ajmalicine yield (total content) was observed in plants subject to the mixed inoculum fertilized with 69.63 mg kg-1 of N or plants inoculated with C. etunicatum fertilized with 63.57 mg kg-1 of N, with increases of 655 and 624 %, respectively, as compared to non-inoculated plants (Figure 3b). A significant interaction between the effects of fungal species and N fertilization was observed in root colonization, which ranged from 55.74 to 82.42 % in plants inoculated with R. intraradices and the mixed inoculum, respectively; the highest and lowest percentages were observed at 15 mg kg-1of N (Figure 4a).


Inoculating plants with the mixed inoculum and C. etunicatum reduced root N content by 44 and 37 %, respectively, at 15 mg kg-1 of N, whereas this parameter varied from 51 to 44 % at 120 mg kg-1 of N, compared to the non-inoculated control treatment (Figure 4b). Phosphorus (Figure 5a) and K contents in roots (Figure 5b) were positively affected by inoculation with AMF and N fertilization. At all N dosages, the inoculation treatments resulted in higher P contents. In the case of K, the increases in root contents were of 67, 105, and 79 % for plants inoculated with the mixed inoculum, C. etunicatum, and R. intraradices, respectively, at the highest evaluated N dosage (Figure 5b).

DISCUSSION
Data from the present study indicate the efficiency of the mixed inoculum (R. clarus + G. margartia) and C. etunicatum in enhancing plant growth at all N fertilization dosages. The increase in the production of dry mass can be attributed to a well-developed root system in plants inoculated with AMF, which in turn aided in improving both water and nutrient uptake (Augé et al., 2016; Zhang et al., 2017). Similarly, the inoculation of basil with G. fasciculatum resulted in significant increases in stem diameter, number of leaves, leaf area, and plant height (Rasouli-Sadaghiani et al., 2010), corroborating the periwinkle data described above.
Nitrogen is the nutrient responsible for vegetative growth (Marschner, 2012). However, in the present study, plants from the control treatment without AMF presented higher N contents regardless of N dosages, displaying, in turn, reduced growth. The increase in plant height, number of leaves, and dry mass weight of shoots and roots in plants from AMF treatments may be due to the increase in P and K contents, which was higher than those observed in plants from the inoculation control treatment, at all evaluated N dosages. Similar results have been obtained in sweet passionfruit by Riter Netto et al. (2014).
Mycorrhizae significantly contribute to plant nutrient uptake, particularly P (Smith and Smith, 2011), corroborating the data observed in this study, i.e., the highest P and K contents were found in plants inoculated with AMF.
Ajmalicine production in periwinkle roots was affected by the presence of mycorrhizal fungi as well as by N fertilization. Ajmalicine contents observed in the present study are comparable to those from other studies (Jaleel et al., 2008; Karthikeyan et al., 2008). Besides nutritional effects, mycorrhized plants exhibit metabolic changes, such as increased contents of primary and secondary metabolites ( Tejavathi et al., 2011). Mycorrhizal colonization may induce quantitative and/or qualitative changes in terpenoid contents (Kapoor et al., 2002; Freitas et al., 2004; Copetta et al., 2006; Kapoor et al., 2007; Jurkiewicz et al., 2010) and other secondary metabolites.
Alkaloid trigonelline may be an important regulator during signaling and stabilization events of arbuscular mycorrhizal fungi in symbiosis with leguminous plants (Rojas-Andrade et al., 2003), thus promoting morphological and physiological alterations in the mycelium (Zhi-lin et al., 2007). Strack and Fester (2006) demonstrated that roots of mycorrhized grasses may accumulate mycorradicine, a carotenoid formed by the methylerythritol phosphate pathway. Biosynthesis of alkaloids produced by Catharanthus roseus include the formation of secologanin (El-Sayed and Verpoorte, 2007), from the monoterpenoid geranyl pyrophosphate, indicating that mycorrhized plants may accumulate alkaloids such as ajmalicine.
One of the effects of mycorrhizal fungi on plant metabolism is the modification of the amino acid content (Moreira and Siqueira, 2006). In this regard, Takahashi (2001) reported that certain amino acids, such as serine, increased in plant shoots when tobacco plants were fertilized with 150 mg kg-1 urea and inoculated with R. clarus, while plants from the same treatment also presented the highest percentages of mycorrhizal colonization. Interestingly, serine is one of the substrates for tryptophan formation. In the biosynthesis of ajmalicine, one of the precursors is tryptamine, a monoaminic alkaloid chemically related to the amino acid tryptophan.
Studying Glomus fasciculatum, Glomus mosseae, and Rhizophagus intraradices, Ratti et al. (2010) found that the Glomus species provided increases in alkaloid contents in vinca plants, with the exception of R. intraradices. This is in accordance with the results observed herein, where this same species was not efficient in increasing alkaloid values.
Root N content led to the highest content of ajmalicine (2.07 mg) observed in plants from non-inoculated treatments fertilized with 120 mg kg-1 N. Evaluating alkaloid contents in leaves and roots of periwinkle genotypes grown under increasing N dosages, Sreevalli et al. (2004) concluded that N fertilization promoted significant increases in both leaf and root alkaloid contents in all studied genotypes. In this study, under the highest tested N dosage (150 kg ha-1), the increases in alkaloid contents were 42 and 32 % in leaves and roots, respectively. Freitas et al. (2016) reported that N deficiency reduced the ajmalicine content by 62 %. Lower P and K contents in dry root matter were observed in the same treatment. Phosphorus is an important component of different compounds of plant cells, including nucleotides used during energetic metabolism in plants (i.e. ATP) as well as in DNA and RNA; consequently, its content directly affects alkaloid production (Taiz and Zeiger, 2010). Accordingly, Mazzafera (1999) observed that, under P and K absence, caffeine content in coffee (Coffea arabica L.) plant leaves was lower compared to the contents in plants grown in a complete nutrient solution.
In our study, the mixed inoculum promoted increments in P content in plants fertilized with all N dosages compared to the non-inoculated controls. Jansa et al. (2008) observed that garlic plants colonized with a mix of inoculum (Glomus claroideum + Rhizophagus intraradices) presented a higher P content than plants inoculated with the same AMF species separately. Nevertheless, Janoušková et al. (2009) reported that inoculation with a mix of G. claroideum + G intraradices did not result in such increments compared to the separate species inoculum.
CONCLUSIONS
Catharanthus roseus growth is higher when plants are inoculated with mixed inoculum (R. intraradices + G. margarita) and C. etunicatum. The mixed inoculum (R. intraradices + G. margarita) and C. etunicatum, combined with N fertilization, enhanced ajmalicine yield. Catharanthus roseus, when inoculated with mycorrhiza, shows increased P absorption and reduced N content.
REFERENCES
Almagro L, Fernández-Pérez F, Pedreño MA. Indole alkaloids from Catharanthus roseus: bioproduction and their effect on human health. Molecules. 2015,20:2973-3000. https://doi.org/10.3390/molecules20022973
Andrade SAL, Malik S, Sawaya ACHF, Bottcher A, Mazzafera P. Association with arbuscular mycorrhizal fungi influences alkaloid synthesis and accumulation in Catharanthus roseus and Nicotiana tabacum plants. Acta Physiol Plant. 2013;35:867-80. https://doi.org/10.1007/s11738-012-1130-8
Augé RM, Toler HD, Saxton AM. Mycorrhizal stimulation of leaf gas exchange in relation to root colonization, shoot size, leaf phosphorus and nitrogen: a quantitative analysis of the literature using meta-regression. Front Plant Sci. 2016;7:1084. https://doi.org/10.3389/fpls.2016.01084
Copetta A, Lingua G, Berta G. Effects of three AM fungi on growth, distribution of glandular hairs, and essential oil production in Ocimum basilicum L. var. Genovese. Mycorrhiza. 2006;16:485-94. https://doi.org/10.1007/s00572-006-0065-6
De la Rosa-Mera CJ, Ferrera-Cerrato R, Alarcón A, Sánchez-Colín MJ, Muñoz-Muñiz OD. Arbuscular mycorrhizal fungi and potassium bicarbonate enhance the foliar content of the vinblastine alkaloid in Catharanthus roseus. Plant Soil. 2011;349:367-76. https://doi.org/10.1007/s11104-011-0883-y
El-Sayed M, Verpoorte R. Cataranthus terpenoid indole alkaloids: biosynthesis and regulation. Phytochem Rev. 2007;6:277-305. https://doi.org/10.1007/s11101-006-9047-8
Freitas MSM, Gama MC, Monnerat PH, De Carvalho AJC, Lima TC, Vieira IJC. Induced nutrient deficiencies in Catharantus roseus impact ajmalicine bioproduction. J Plant Nutr. 2016;39:835-41. https://doi.org/10.1080/01904167.2015.1047524
Freitas MSM, Martins MA, Vieira IJC. Produção e qualidade de óleos essenciais de Mentha arvensis em resposta à inoculação de fungos micorrízicos arbusculares. Pesq Agropec Bras. 2004;39:887-94. https://doi.org/10.1590/S0100-204X2004000900008
Grace C, Stribley DP. A safer procedure for routine staining of vesicular-arbuscular mycorrhizal fungi. Mycol Res. 1991;95:1160-2. https://doi.org/10.1016/S0953-7562(09)80005-1
Hallard DAC. Transgenic plant cells for the production of indole alkaloids [thesis]. Leiden: University of Leiden; 2000.
Jackson LE, Burger M, Cavagnaro TR. Roots, nitrogen transformations, and ecosystem services. Annu Rev Plant Biol. 2008;59:341-63. https://doi.org/10.1146/annurev.arplant.59.032607.092932
Jackson ML. Soil chemical analysis. New Jersey: Prentice Hall; 1965.
Jaleel CA, Gopi R, Kishorekumar A, Manivannan P, Sankar B, Panneerselvam R. Interactive effects of triadimefon and salt stress on antioxidative status and ajmalicine accumulation in Catharanthus roseus. Acta Physiol Plant. 2008;30:287-92. https://doi.org/10.1007/s11738-007-0119-1
Janoušková M, Seddas P, Mrnka L, van Tuinen D, Dvořáčková A, Tollot M, Gianinazzi-Pearson V, Vosátka M, Gollotte A. Development and activity of Glomus intraradices as affected by co-existence with Glomus claroideum in one root system. Mycorrhiza. 2009;19:393-402. https://doi.org/10.1007/s00572-009-0243-4
Jansa J, Smith FA, Smith SE. Are there benefits of simultaneous root colonization by different arbuscular mycorrhizal fungi? New Phytol. 2008;177:779-89. https://doi.org/10.1111/j.1469-8137.2007.02294.x
Jurkiewicz A, Ryszka P, Anielska T, Waligórski P, Białońska D, Góralska K, Tsimilli-Michael M, Turnau K. Optimization of culture conditions of Arnica montana L.: effects of mycorrhizal fungi and competing plants. Mycorrhiza. 2010;20:293-306. https://doi.org/10.1007/s00572-009-0280-z
Kapoor R, Chaudhary V, Bhatnagar AK. Effects of arbuscular mycorrhiza and phosphorus application on artemisinin concentration in Artemisia annua L. Mycorrhiza. 2007;17:581-7. https://doi.org/10.1007/s00572-007-0135-4
Kapoor R, Giri B, Mukerji KG. Glomus macrocarpum: a potential bioinoculant to improve essential oil quality and concentration in Dill (Anethum graveolens L.) and Carum (Trachyspermum ammi (Linn.) Sprague). World J Microb Biot. 2002;18:459-63. https://doi.org/10.1023/A:1015522100497
Karthikeyan B, Jaleel CA, Changxing Z, Manoharan MJ, Jothi S, Deiveekasundaram M. The effect of AM fungi and phosphorous level on the biomass yield and ajmalicine production in Catharanthus roseus. Eurasia J Biosci. 2008;2:26-33.
Malavolta E, Vitti GC, Oliveira SA. Avaliação do estado nutricional das plantas: princípios e aplicações. 2. ed. Piracicaba: Potafos; 1997.
Marschner H. Mineral nutrition of higher plants. 3rd. ed. London: Elsevier, 2012.
Mazzafera P. Mineral nutrition and caffeine content in coffee leaves. Bragantia. 1999;58:387-91. https://doi.org/10.1590/S0006-87051999000200018
Moreira FMS, Siqueira JO. Microbiologia e bioquímica do solo. 2a ed atual e rev. Lavras: Editora UFLA; 2006.
Pedone-Bonfim MVL, Silva FSB, Maia LC. Production of secondary metabolites by mycorrhizal plants with medicinal or nutritional potential. Acta Physiol Plant. 2015;37:27. https://doi.org/10.1007/s11738-015-1781-3
Ramakrishna A, Ravishankar GA. Influence of abiotic stress signals on secondary metabolites in plants. Plant Signal Behav. 2011;6:1720-31. https://doi.org/10.4161/psb.6.11.17613
Rasouli-Sadaghiani M, Hassani A, Barin M, Danesh YR, Sefidkon F. Effects of arbuscular mycorrhizal (AM) fungi on growth, essential oil production and nutrients uptake in basil. J Med Plants Res. 2010;4:2222-28. https://doi.org/10.5897/JMPR10.337
Ratti N, Verma HN, Gautam SP. Effect of Glomus species on physiology and biochemistry of Catharanthus roseus. Indian J Microbiol. 2010;50:355-60. https://doi.org/10.1007/s12088-010-0012-2
Riter Netto AF, Freitas MSM, Martins MA, Carvalho AJC, Vitorazi Filho JA. Efeito de fungos micorrízicos arbusculares na bioprodução de fenóis totais e no crescimento de Passiflora alata Curtis. Rev Bras Pl Med. 2014;16:1-9. https://doi.org/10.1590/S1516-05722014000100001
Rojas-Andrade R, Cerda-García-Rojas CM, Frías-Hernández JT, Dendooven L, Olalde-Portugal V, Ramos-Valdivia AC. Changes in the concentration of trigonelline in a semi-arid leguminous plant (Prosopis laevigata) induced by an arbuscular mycorrhizal fungus during the presymbiotic phase. Mycorrhiza. 2003;13:49-52. https://doi.org/10.1007/s00572-002-0201-x
Santos HG, Jacomine PKT, Anjos LHC, Oliveira VA, Oliveira JB, Coelho MR, Lumbreras JF, Cunha TJF. Sistema brasileiro de classificação de solos. 3a ed. Rio de Janeiro: Embrapa Solos; 2013.
Smith SE, Smith FA. Roles of arbuscular mycorrhizas in plant nutrition and growth: new paradigms from cellular to ecosystem scales. Annu Rev Plant Biol. 2011;62:227-50. https://doi.org/10.1146/annurev-arplant-042110-103846
Soil Survey Staff. Keys to soil taxonomy. 12th ed. Washington, DC: United States Department of Agriculture, Natural Resources Conservation Service; 2014.
Sreevalli Y, Kulkarni RN, Baskaran K, Chandrashekara RS. Increasing the content of leaf and root alkaloids of high alkaloid content mutants of periwinkle though nitrogen fertilization. Ind Crop Prod. 2004;19:191-5. https://doi.org/10.1016/j.indcrop.2003.09.005
Strack D, Fester T. Isoprenoid metabolism and plastid reorganization in arbuscular mycorrhizal roots. New Phytol. 2006;172:22-34. https://doi.org/10.1111/j.1469-8137.2006.01837.x
Taiz T, Zeiger E. Fisiologia vegetal. 5. ed. Porto Alegre: Artmed; 2010.
Takahashi D. Atividade de urease e concentração de aminoácidos em tabaco inoculado com fungos micorrízicos arbusculares [tese]. Piracicaba: Escola Superior de Agricultura “Luiz de Queiroz”; 2001.
Tanaka Y, Yano K. Nitrogen delivery to maize via mycorrhizal hyphae depends on the form of N supplied. Plant Cell Environ. 2005;28:1247-54. https://doi.org/10.1111/j.1365-3040.2005.01360.x
Tejavathi DH, Antha P, Murthy SM, Nijagunaiah R. Effect AM Effect of AM fungal association with normal and micropropagated plants of Andrographis paniculata Nees on biomass, primary and secondary metabolites. Int Res J Plant Sci. 2011;2:338-48.
Yu Y, Yu T, Wang Y, Yan XF. Effect of inoculation time on camptothecin content in arbuscular mycorrhizal Camptotheca acuminate seedlings. Chinese J Plant Ecol. 2010;34:687-94. https://doi.org/10.3773/j.issn.1005-264x.2010.06.008
Zeng Y, Guo L-P, Chen B-D, Hao Z-P, Wang J-Y, Huang L-Q, Yang G, Cui X-M, Yang L, Wu Z-X, Chen M-L, Zhang Y. Arbuscular mycorrhizal symbiosis and active ingredients of medicinal plants: current research status and prospectives. Mycorrhiza. 2013;23:253-65. https://doi.org/10.1007/s00572-013-0484-0
Zhang X, Wang L, Ma F, Yang J, Su M. Efects of arbuscular mycorrhizal fungiinoculation on carbon and nitrogen distribution and grain yield and nutrition alquality in rice (Oryza sativa L.). J Sci Food Agric. 2017;97:2919-25. https://doi.org/10.1002/jsfa.8129
Zhi-lin Y, Chuan-chao D, Lian-qing C. Regulation and accumulation of secondary metabolites in plant-fungus symbiotic system. Afr J Biotechnol. 2007;6:1266-71.
Author notes
* Corresponding author: E-mail: martasimonefreitas@hotmail.com