PROTECCIÓN DE CULTIVOS
Response of various oil palm materials (Elaeis guineensis and Elaeis oleifera × Elaeis guineensis interspecific hybrids) to bud rot disease in the southwestern oil palm-growing area of Colombia
Respuesta de diferentes materiales de palma de aceite (Elaeis guineensis e híbrido interespecífico Elaeis oleifera נElaeis guineensis) a la pudrición de cogollo en la zona suroccicental palmera de Colombia
Response of various oil palm materials (Elaeis guineensis and Elaeis oleifera × Elaeis guineensis interspecific hybrids) to bud rot disease in the southwestern oil palm-growing area of Colombia
Agronomía Colombiana, vol. 34, no. 1, pp. 74-81, 2016
Universidad Nacional de Colombia

Received: 23 October 2015
Accepted: 28 March 2016
Funding
Funding source: Colombian Oil Palm Promotion Fund (FFP
Award recipient: Response of various oil palm materials (Elaeis guineensis and Elaeis oleifera נElaeis guineensis interspecific hybrids) to bud rot disease in the southwestern oil palm-growing area of Colombia
Abstract: Palms planted in an area with a high bud rot disease (BR) inoculum pressure were evaluated monthly for a six-year period to determine their tolerance, resistance, or susceptibility to the disease. Dura-type E. guineensisand OxG (E. oleifera .E. guineensis) interspecific hybrids Coari נLa Me were evaluated. Of the two types of genetic material evaluated, the progenies of the E. guineensis palms showed the highest levels of incidence, reaching 90% affected palms in less than two years of evaluation. Although the hybrids showed susceptibility, they had a lower degree of affectation than the dura-type palms. The severity assessment of both genetic materials showed that the dura-type palms had the highest degree of affectation, reaching the highest values after over two years of evaluation. However, the hybrids, which were not homogeneous in terms of the level of severity, did not exceed, on average, severity level 2. According to the scale, severity level 2 is indicative of tolerance to the disease.
Keywords: Phytophthora palmivora, disease tolerance, epidemiology, field experimentation, cultivar selection, oil crops.
Resumen: Durante 6 años se realizaron las evaluaciones mensuales de palmas sembradas en un sitio de alta fuente de inóculo de la enfermedad pudrición de cogollo para determinar su tolerancia, resistencia o susceptibilidad a la enfermedad. Se sembraron palmas E. guineensis tipo dura e híbridos interespecíficosOxG (E. oleifera .E. guineensis) Coari נLa Me. De los materiales evaluados, los códigos de las palmas E. guineensis alcanzaron los niveles más altos de incidencia, llegando a un 90% de sus palmas afectadas en menos de dos años de evaluación; frente a los híbridos que si bien presentaron susceptibilidad, el grado de afección no superó el de las palmas tipo dura. Al evaluar la severidad de ambos materiales, las palmas tipo durapresentaron los mayores grados de afección, alcanzando los valores más altos en poco más de 2 años de evaluación. Sin embargo, los cruzamientos de híbridos, que no fueron homogéneos entre ellos con respecto a la severidad, si presentaron características de tolerancia al no superar en promedio el grado 2 de severidad según la escala.
Palabras clave: Phytophthora palmivora, tolerancia a enfermedades, epidemiología, experimentación en campo, selección de cultivares, plantas oleaginosas.
Introduction
Bud rot disease (BR) has been a major limiting factor in the production of oil palm in Colombia for more than 20 years. The initial symptoms of the disease include drooping young fronds of diseased palms and loss of all or part of the spear leaves. The disease causes a significant reduction of leaves, leading to a reduction in light absorption and photosynthetic activity in addition to low biochemical activity and affected metabolic processes and photoassimilate production; this, in turn, affects bunch production and filling (Moreno-Chacón et al., 2013).
Several studies have shown that BR is caused by the oomycete Phytophthora palmivora, which is the causal agent of the initial lesions (Sarria et al., 2008; Torres et al., 2010). After this initial colonization by P. palmivora, fungi and bacteria enter tissues and continue the decomposition process and the rotting of the bud (Vélez et al., 2008).
According to Martínez and Torres (2007), the disease begins at the base of the spear and progresses downward through the central package of undifferentiated leaves, affecting the meristematic zone, thus inhibiting the normal development of leaves and reproductive structures.
The first studies on BR sought to identify the causal agent and it became evident that it was a threat to oil palm cultivation in general (Nieto, 1996). In the southwestern oil palm-growing area, there have been reports of BR since 1985 (Jiménez, 1991); however, in this region, before 2005, the presence of the disease did not require significant management efforts because the incidence of the disease did not exceed 1% (Martínez and Torres, 2007). It was only when the number of cases increased and developed into an epiphytotic that resources were made available to replace all of the oil palm trees in the affected areas. However, between 2006 and 2009, the incidence of the disease increased at an alarming rate, to the point that it was necessary to create an emergency plan because the reported cases reached 90% of the planted area, leading to a complete production debacle and a serious social and economic crisis in the area (Corredor et al., 2008).
Given this situation, the oil palm growers of Tumaco carried out eradication programs to replace diseased palms with genetic materials that are tolerant to BR (OxG hybrids). These hybrids are the result of crossing American oil palm Elaeis oleifera with pollen from African oil palm E. guineensis. Hybrids have intermediate traits of both parents, with particularly slow growth rates (approximately 20 cm/year), which lengthen the useful life of a plantation by up to 30 to 50 years (El Tiempo, 2009). Additional intermediate traits include partial resistance to BR (Zambrano, 2004; Bastidas et al., 2007) and low lipase activity (Cadena et al., 2013). As a result of the low lipase activity, free fatty acid production is slow; thus, harvesting cycles may be extended compared with those of E. guineensis (Corley and Tinker, 2015). Intermediate traits also include high productivity (Torres et al., 2004; El Tiempo, 2009) and better composition of the oil in terms of the iodine index (68-70) and concentrations of antioxidants, such as carotenoids, tocopherols, and tocotrienols (Cadena et al., 2013; Rincón et al., 2013).
To develop strategies to counteract the effects caused by BR in the area, Cenipalma used its genetic material as well as commercial hybrids for a field evaluation of genotypes with the potential to express traits related to tolerance or resistance to the disease. Because there are some plantations where a large percentage of palms have been eradicated because of the disease, different progenies can be planted in these areas to create a field that selects promising genetic materials; it is clear that these are growing areas with high inoculum pressure.
As part of the strategies to counter the ravages of the disease, we decided to evaluate different oil palm genetic materials to identify individuals with traits of resistance to the disease. This experiment evaluated the behavior of 10 progenies of interspecific OxG hybrids (Coari נLa Me) and 19 progenies of dura-type E. guineensis palms planted in a high inoculum BR site. The BR incidence and severity were assessed to find potential sources of resistance to the disease.
Materials and methods
The trial was carried out on the Palmas del Mira Plantation in the municipality of Tumaco (Nariño), in the southwestern oil palm growing area of Colombia. The region, based on historical information, was classified as a high inoculum BR site. A parcel of land was selected to test the behavior of the 29 progenies from the two types of genetic materials.
Dura-type E. guineensispalms (19 progenies) were selected from Cenipalma's breeding program. Additionally, 10 different interspecific hybrid progenies of E. oleifera and E. guineensis (Coari נLa Me) were selected. The seeds of the progenies were transported to Tumaco (Nariño) for the required pre-nursery and nursery stages. The progenies were transplanted in June, 2007 to the experimental field. On average, 15 palms were planted per progeny. The 29 progenies were randomized (both E. guineensis and interspecific hybrids) in each block under a complete randomized design with 15 replicates.
To assess the response of the various progenies to BR, the palms were left without prophylactic treatments so that the genetic expression of their potential resistance to the disease could be observed over time. The evolution of the BR in the progenies was measured by assessing the symptoms and health conditions of the palms that were exposed to the pathogen based on the severity scale developed by Martínez and Torres (2007). The identification of the best individuals from the two types of genetic materials, in an area that has historically shown a high number of reported cases of the disease, was performed using the screening selection method.
The disease severity scale (Martínez and Torres, 2007) describes the symptoms caused by the disease in young palms; therefore, it was necessary to extrapolate the data to the actual conditions. The scale has 5 levels (0 to 5) in terms of the percentage of the affected area. Level 0 (or a healthy palm) indicates no presence or symptoms of disease and, in ascending order depending on the affected area, the highest level of severity, level 5, indicates that 100% of the area is affected. After a detailed assessment, the palms that were severely affected by the disease were removed from the trial plots.
The affected plants were evaluated by assessing the dam- age in the specific area of the first spear leaf. The affected area was determined and the severity of tissue damage was recorded according to the scale.
The incidence and severity of the disease were assessed using incidence curves generated from the field data of monthly incidence records. Cumulative incidence curves were then plotted to analyze the trend of the disease in each group of palms.
With regard to the severity analysis, it was necessary to develop a formula to estimate the degree of damage caused in the palms. The Eq. 1 is shown below:
(1)Where,
IS: Level of severity
n: Number of plants affected by disease.
S: Associated level of severity
N: Total number of plants assessed
These are dimensionless values that affect the 0-5 range severity scale for BR that was developed by Martínez and Torres (2007). The generated data weighed the level of severity found in each palm per progeny.
Results
Cumulative incidence
Monthly plant health assessments were conducted over a six-year period on the hybrids and dura type progenies that were evaluated; the cumulative incidence and severity were calculated after 2,052 d of evaluation.
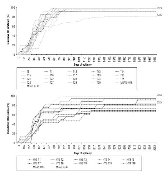
The first cases of the disease appeared in the third month after planting. Seven cases of disease symptoms were reported 99 d after planting. As the months progressed, the number of cases increased; the E. guineensis progenies were more affected than the interspecific hybrids. In the first year of the evaluation, the dura-type palms had 49% incidence of the disease, while the E. olifera .E. guineensis hybrids showed 37% of incidence. Although this is not indicative of resistance, it reflects the average performance of the 29 progenies that were evaluated (Fig. 1).

Subsequent evaluations confirmed the observations made during the first year of the experiment; by day 471 after planting, a marked difference was observed in terms of the increased cumulative incidence. The E. guineensis palms showed a considerable increase in the number of cases (cumulative incidence reached 70% in this month); while for the interspecific hybrids with historical cases of the disease, the cumulative incidence reached 61%. This trend remained unchanged, but after 2 years of exposure in an area with a high inoculum pressure, the dura-type palms exceeded 90% of the cases that were reported in all of the progenies; the hybrids reached 64% incidence (Fig. 2). This incidence is related to cases reported to date; however, this high incidence was not related to high severity, as was the case in the dura-type palms. In the interspecific hybrids, the palms spontaneously recovered from the disease; they appeared healthy in the following field assessment. On the contrary, in the dura palms, the severity increased with time up to the point to reach the highest values of the scale of severity and it was necessary to eradicate them. Thus, the final balance of eradication was 58% for E. guineensis and only 9% for the hybrids.

At this point, differences were identified regarding the adaptation of the two genetic materials; the E. guineensis palms were seriously affected by the disease (are susceptible to BR), while the hybrids, although differences in behavior were observed between them, showed what could be categorized as high resistant (HR), according to the terminology defined by the ISF (2012) (Fig. 3).

Subsequent evaluations showed a stabilization trend for both materials in their incidence curves. The cumulative incidence in the dura-type palms remained at 98% from day 880 after planting until 1,460 d after planting, when it increased to 99%; the incidence has remained unchanged until today (Fig. 4). The trend for the E. guineensis progenies became stable after two years of evaluation, (more precisely after day 809 of the evaluation), when 14 of the 19 dura- type progenies were completely affected by the disease and removed from the trial area.

By contrast, the E. oleifera .E. guineensis interspecific hybrids showed significant differences between them, which enabled individual analysis as part of the search for traits of resistance or tolerance to the disease.
Level of Severity
To assess the degree of damage caused by the pathogen, an analysis was conducted on the level of severity in each palm over time. The disease index was calculated by determining the progress of the disease over time for each progeny. For the evaluation of the disease, the severity was assessed over the 2,052 d of the evaluation.
Regarding the severity of the lesion, the differences in incidence were more significant for this variable. By day 407 of the evaluation, there was a distinct separation of the two disease progression curves for both types of genetic materials. In the first year of evaluation, the value for the E. guineensis progenies was 1.5 vs. 0.7 for the interspecific hybrids; by day 407, a significant difference in the response of each genetic material to the pathogen attack was observed (Fig. 5).

The progenies of the dura-type palms had a higher susceptibility to the disease, increasing the number of palms with high levels of severity (levels 3, 4 and 5 on the scale), as compared to the interspecific hybrid crosses, which did not exceed level 1 after 2 years of the evaluation (Fig. 5).
The analysis of the severity progress curves in both genetic materials showed that the E. guineensis palms reached the highest level of severity (level 5) by day 782 of the evaluation. This is significant in terms of the number of palms to be removed. By this time, the 10 hybrid progenies had not exceeded level 2 of severity according to the scale.
The differences among the hybrid progenies became evident after day 994 of the evaluation, when each hybrid showed a particular disease progress curve. Although they did not behave like the dura-type palms, there were differences in tolerance to the disease among these hybrids.
Discussion
The assessment of the two variables, incidence and severity, showed that, in both the dura-type E. guineensis palms and interspecific hybrids, the incidence was similar with slower growth in the case of the hybrids, but with the presence of the disease in all of the progenies. The incidence of the disease increased gradually in both genetic materials, but, after one and a half years of evaluation, the incidence curve for the dura-type palms showed a higher growth rate. Currently, there are no known sources of resistance to the BR in E. guineensis; therefore, this result with the dura-type palms was expected. These palms were greatly affected by the high inoculum pressure, to the point that, in less than two years, there was 90% incidence of the disease in all of the evaluated progenies.
The large difference between the E. guineensis progenies and OxG interspecific hybrids was in the level of severity reached by each of the two types of genetic materials that were evaluated and their corresponding progenies. The evaluation of this parameter showed large differences between the genetic materials; progenies of the same material showed even larger differences. Previous studies using epidemiological tools have shown the usefulness of severity as the most discriminating and differentiating factor for genetic materials that are resistant or susceptible to BR, as compared to the incidence variable (Navia et al., 2014).
The severity assessment showed a differential response in each of the hybrids. The degree of internal damage in these hybrids was less than in the E. guineensis palms; therefore, the hybrids had a lower susceptibility to the disease.
In the case of the dura palms, the severity progress curve reached the highest severity level (5) in two years for most of the progenies, leading to a high percentage of eradication. However, on average, the interspecific hybrids did not reach the level 2 of severity. Although differences were found among the OxG hybrids, the strong susceptibility of E. guineensis to the disease, as compared to the partial resistance of the interspecific hybrids, was clear.
Conclusion
Although the incidence analysis is important in the characterization of the response of palms to BR, the results indicate that the severity of the disease provides a more accurate assessment of the behavior and susceptibility of the progenies that were evaluated.
Therefore, the assessment of BR severity is a great tool for the analysis of differential behavior and it is essential to finding a feasible source of resistance to BR. Traits that are inherent to genetic materials with low levels of severity are sought in projects of this type and lead to new research studies that should be included in breeding programs.
Acknowledgments
The authors would like to thank the management and staff of the Palmas del Mira Plantation for their assistance in the various stages of this project. The research of Cenipalma is funded by the Colombian Oil Palm Promotion Fund (FFP) administered by Fedepalma.
Agradecimientos
The authors would like to thank the management and staff of the Palmas del Mira Plantation for their assistance in the various stages of this project. The research of Cenipalma is funded by the Colombian Oil Palm Promotion Fund (FFP) administered by Fedepalma.
Literature cited
Bastidas, S., E. Peña, R. Reyes, J. Pérez, and W. Tolosa. 2007. Comportamiento agronómico del cultivar híbrido RC1 de palma de aceite (Elaeis oleifera . Elaeis guineensis) x Elaeis guineensis. Corpoica Cienc. Tecnol. Agropecu. 8, 5-11.
Cadena, T., F. Prada, A. Perea, and H.M. Romero. 2013. Lipase activity, mesocarp oil content, and iodine value in oil palm fruits of Elaeis guineensis, Elaeis oleifera, and the interspecific hybrid O×G (E. oleifera . E. guineensis). J. Sci. Food Agric. 93, 674-680. Doi: https://doi.org/10.1002/jsfa.5940
Corley, R.V.H. and P.B. Tinker. 2015. The oil palm. 5th ed. Blackwell Science, Oxford, UK.
Corredor R., A., G. Martínez L., and A. Silva C. 2008. Problemática de la pudrición del cogollo en Tumaco e instrumentos para su manejo y la renovación del cultivo. Palmas 29(Special Issue), 11-16.
El Tiempo. 2009. Con un híbrido la hacienda La Cabaña logró desterrar la pudrición del cogollo en la palma. In: https://www.eltiempo.com/archivo/documento/CMS-6301768; consulted: April, 2016.
ISF, International Seed Federation. 2012. Definition of the terms describing the reaction of plants to pests and abiotic stresses for the vegetable seed industry. In: https://www.worldseed.org/our-work/plant-health/plant-disease-and-resistance/; consulted: April, 2016.
Jiménez O., O.D. 1991. Pudrición del cogollo en la palma aceitera en la región de Tumaco - Colombia. Palmas 12, 45-48.
Martínez L., G. and G.A. Torres L. 2007. Presencia de la pudrición de cogollo de la palma de aceite (PC) en plantas de vivero. Palmas 28, 13-20.
Moreno-Chacón, A.L., J.E. Camperos-Reyes, R.A. Ávila-Diazgranados, and H.M. Romero. 2013. Biochemical and physiological responses of oil palm to bud rot caused by Phytophthora palmivora. Plant Physiol. Biochem. 70, 246-251. Doi: 10.1016/j.plaphy.2013.05.026
Navia, E.A., R.A. Ávila, E. Daza, E.F. Restrepo, and H.M. Romero. 2014. Assessment of tolerance to bud rot in oil palm under field conditions. Eur. J. Plant Pathol. 140, 711-720. Doi: https://doi.org/10.1007/s10658-014-0491-9
Nieto P., L.E. 1996. Síntomas e identificación del agente causal del complejo pudrición del cogollo de la palma de aceite, Elaeis guineensis Jacq. Palmas 17, 57-60.
Rincón, S.M., P.A. Hormaza, L.P. Moreno, F. Prada, D.J. Portillo, J.A. García, and H.M. Romero. 2013. Use of phenological stages of the fruits and physicochemical characteristics of the oil to determine the optimal harvest time of oil palm interspecific OxG hybrid fruits. Ind. Crop. Prod. 49, 204-210. Doi: https://doi.org/10.1016/j.indcrop.2013.04.035
Sarria, G.A., G.A. Torres, H.A. Aya, J.G. Ariza, J. Rodríguez, D.C. Vélez, F. Varón, and G. Martínez. 2008. Phytophthorasp. es el responsable de las lesiones iniciales de la pudrición del cogollo (PC) en la palma de aceite en Colombia. Palmas 29(Special Issue), 31-41.
Torres V., M., L. Rey B., F. Gelves R., and L. Santacruz. 2004. Evaluación del comportamiento de los híbridos interespecíficos Elaeis oleifera x Elaeis guineensis en la plantación Guaicaramo S.A. Palmas 25(Special, Tome II), 350-357.
Torres, G.A., G.A. Sarria, F. Varon, M.D. Coffey, M.L. Elliot, and G. Martínez. 2010. First report of bud rot caused by Phytophthora palmivora on african oil palm in Colombia. Plant Dis. 94, 1163. Doi: https://doi.org/10.1094/PDIS-94-9-1163A
Vélez, D.C., C. Noreña, G. Sarria, G.A. Torres, F. Varón, and G. Martínez. 2008. Evaluación y cuantificación de estructuras de Phytophthora palmivora, el responsable de la pudrición del cogollo (PC) de la palma de aceite. Fitopatol. Colomb. 32, 45-50.
Zambrano R., J.E. 2004. Híbridos interespecíficos Elaeis oleifera HBK. x Elaeis guineenses Jacq.: una alternativa de renovación para la zona oriental de Colombia. Palmas 25(Special, tome II), 339-349.