SUELOS, FERTILIZACIÓN Y MANEJO DE AGUAS

Received: 10 September 2015
Accepted: 28 March 2016
DOI: https://doi.org/10.15446/agron.colomb.v34n1.52993
Funding
Funding source: University of Tolima
Award recipient: Temporal shifts of nitrite reducing communities in a rice field soil in Ibague (Colombia)
Abstract: Denitrification and nitrification are microbial processes that regulate the cycle of nitrogen and nitrous oxide, which is considered an important greenhouse gas. Rice field soils have been known to have strong denitrifying activities; however, the microorganism structure that is responsible for denitrification and the temporal variation of these communities in the agricultural soils of Ibague (Colombia) is not well known. In this study, the denitrifying community composition was compared between a rice field soil and an uncultivated soil at three different times during the year using a terminal restriction fragment length polymorphism analysis of the nirS functional gene, which codes the enzyme that reduces nitrite, one of the key steps in the denitrification process. The results showed changes in the richness, relative abundance and diversity of the operational taxonomic units between the soils and sampling times. The canonical correspondence analysis indicated that the moisture and the pH were the environmental factors that explained the observed changes in the nirS-type denitrifiers' community composition in the studied soils.
Keywords: denitrification, nitrogen cycle, soil microorganisms, nirS gene, diversity.
Resumen: La desnitrificación y la nitrificación son procesos microbianos que regulan el ciclo del nitrógeno y del óxido nitroso, el cual es considerado como un importante gas invernadero. Los suelos cultivados con arroz presentan una fuerte actividad desnitrificante, sin embargo, la estructura de los microorganismos responsables de la desnitrificación y la variación temporal de estas comunidades en suelos agrícolas de Ibagué (Colombia) no es muy conocida. En este estudio se comparó la composición de la comunidad desnitrificante entre un suelo cultivado con arroz y uno no cultivado, en tres épocas del año, usando el análisis del polimorfismo de los fragmentos de restricción terminal del gen funcional nirS que codifica la enzima que reduce el nitrito, uno de los pasos claves del proceso de desnitrificación. Los resultados mostraron cambios en la riqueza, abundancia relativa y diversidad de unidades taxonómicas operacionales entre los suelos y épocas de muestreo. El análisis de correspondencia canónica indicó que la humedad y el pH fueron los factores ambientales que explicaron los cambios observados en la composición de las comunidades desnitrificantes tipo nirS en los suelos estudiados.
Palabras clave: desnitrificación, ciclo del nitrógeno, microorganismos del suelo, gen nirS, diversidad.
Introduction
Denitrification is a microbial process that occurs predominantly in flooded soils with 60-90% pore-water (Bateman and Baggs, 2005). During this process, a sequential reduction of nitrate, nitrite, nitric oxide, and nitrous oxide to dinitrogen takes place under low oxygen conditions through different taxonomic groups, including bacteria, archaea and fungi (Laughlin and Stevens, 2002; Zumft and Kroneck, 2006). Some studies suggest that biocides and pesticides additions, changes in soil use and irrigation type could influence the diversity (Avrahami et al.,2002; Zhou et al., 2002, 2011), composition (Nüsslein and Tiedje, 1999), microbial stability (Girvan et al., 2005) and quantity of N2O emissions from soils (Senbayram et al., 2009).
Nitrogen plays an important role in agricultural production and different microbial communities regulate its transformation in the soil through the expression of functional genes within the resident microbial community. For denitrification, the genes that code for nitrite reductase (nirS and nirK) and nitrous oxide reductase (nosZ) have been used for accessing the denitrifying community diversity (Horn et al., 2006). The nirS gene has been widely used to detect the denitrifiers responsible for N2O production through nitrifier-denitrification and heterotrophic nitrification (Braker and Conrad, 2011) and also to determine that the nirS abundance is more related to the nitrate and organic carbon levels and soil water content than to N2O emissions (Dandie et al., 2011). Other researchers have reported the existence of a relationship between the nirS gene copy number and the N2O/(N2O+N2) molar ratio (Cuhel et al., 2010) and that the nirS, but not the nirK-type denitrifiers, is related to denitrifying activity, suggesting that the assembly of communities responds to distinct environmental gradients (Enwall et al., 2010). Moreover, it has been reported that nirS-type denitrifiers have the attributes for generating its own niches, which is not possible with the nosZ gene (Hallin et al., 2009), and that, with this functional gene, can be detected the nitrite reducers microorganisms laking of nitrite reductase, and consequently generating N2O as a denitrification final product (Jones et al., 2008). In general, studies of the denitrifier community diversity in soils have been developed with different molecular approaches, including the terminal restriction fragment length polymorphism (TRFLP) (Rösch and Bothe, 2005), RFLP (Priemé et al., 2002; Stress et al., 2004), cloning (Rösch et al., 2002), qPCR and RT-PCR (Kandeler et al., 2006; Philippot et al., 2009; Cuhel et al., 2010), functional microarrays (Berthrong et al., 2009) pyrosequencing (Palmer et al., 2012) and, more recently, stable isotopes probing (Ishii et al., 2011). But, despite advances in studies on the denitrifying diversity in soils, knowledge on how the structure of the community is related to its function is still scarce (Braker and Conrad, 2011).
In Colombia and specifically in the department of Tolima, a large part of the land is used for growing rice, sorghum and corn. These soils are classified as "Entichaplustolls", characterized by moderate levels of organic matter, low phosphorous, nitrogen and pH; and high levels of fertilization (IGAC, 2004). The soils in this area are influenced by strong temperature fluctuations (between 25 and 35°C) and by effects from the "Niño-Niña" event that alter the raindry seasons. The studies developed in Colombia involving microbial communities in agricultural areas have focused on the isolation of contaminant-degrading bacteria from soils (Arbeli and Fuentes, 2010), on the composition and enzymatic activity of soil communities (Vallejo et al., 2012), on characterization of microbial communities in relationship with agricultural practices (Avellaneda-Torres, 2014), on the study of microbial communities in the rhizosphere (Vanegas et al., 2013) and on activity of some nitrogen cycling microorganisms in soils with different uses (Cañon-Cortázaret al., 2012; Avellaneda-Torres, 2014). However, at present, there are no studies on the structure and temporal variation of denitrifiers despite their crucial role in the N2O emissions and nutrient recycling into the soil. Given the lack of studies in this area, the main objective of this research was to analyze the composition of nitrite reducing denitrifying communities in rice field soils at different times during the year, in comparison with uncultivated soils, and determine which environmental factors could drive its structure.
Materials and methods
Collection and manipulation of samples
Soils samples were taken at Ibague (Tolima) from an area cultivated with rice (4°25'30" N - 75°09'27.5" W), which was irrigated regularly and was in the growing phase during the different samplings. The other soil samples were taken from one non-agricultural area or control (4°25'29.3" N - 75°11'59" W), which was near the rice field with similar geomorphological conditions. The sampling was done during the rainy season (October 2008), samples denominated AL08 (agricultural area) and CL08 (control area); in the rain-dry transition (March 2009), samples denominated AT09 and CT09; and during the dry season (July 2009), samples denominated AS09 and CS09. For the soil sample collection, a 10 x 10 m quadrant was established in each area, from which six soil cores (2.5 cm diameter) were taken at random at a depth of 0-20 cm during each sampling time in the same quadrant. Subsequently, the samples were mixed, homogenized, sieved (for 4 mm diameter) and subdivided for the physical-chemical and molecular analyses (0.25 g sample) in sterile whirlpack bags that were frozen at -20C until their use.
Analysis of physical and chemical variables
The following parameters were determined according to the protocols described by IGAC (2006) for the soil analysis. The soil moisture was determined by drying samples at 100C for 48 h. The content of soil organic matter was reported as the difference between the dry weight (60C/24h) and weight of the residue after combustion at 450C. The content of total nitrogen was determined by the Kjeldahl method. The content of soil organic carbon was determined by combustion. Nitrate quantification was done with the spectrophotometric-selective electrode method and pH determination was done by the potentiometric method.
DNA extraction and amplification of the nitrite reductase gene
For the DNA extraction, triplicate samples of 0.25 g were homogenized for a total of 3 g of soil, from which DNA was extracted using a MoBio kit following the manufacturer's instructions. Subsequently, 10 ng L-1 of DNA were used to perform the nirS-gene amplification using the primers Cd3aF-FAM and R3cd (Michotey et al., 2000; Throbäck et al., 2004). The PCR protocol was standardized under the following conditions: 94°C-5 min, 10 cycles at 94°C- 30 s, alignment beginning at 58°C-30 s with subsequent declining of 0.5°C in each cycle, and extension at 72°C-40 s; the remaining 30 cycles were done at 94°C-30 s, 55°C-30 s and extension at 72°C-40 s. The mixture of PCR reagents (25 L) included: 200 M of dNTPs, 10 pmol of each primer, 1.25 U Red AccuTaq polymerase and 1 L (10 ng L-1) of DNA. The products of the three replicate PCRs were combined. The PCR-products were purified with the Quiaquick PCR purification kit (Qiagen, Chatsworth, CA) and quantified by spectrophotometry at 230, 260 and 280 nm.
Amplicon digestion
Purified nirS-amplicons (100 ng), marked with fluorescence, were digested with enzymes MspI and HaeIII at 37C-1 h following the manufacturer's instructions. The digested products were purified with columns AutoSeq G-50 (Amersham Biosciences, Piscataway, NJ). From 2 L of the digested product were mixed with 12 L of deionized formamide (Applera, Darmstadt, Germany) and 0.2 L of a DNA standard (50-1,000 pb marker X-Rhodamine, BioVentures, Murfreesboro, TN). TRFLP were separated by electrophoresis in a DNA 310 sequencer (Applied Biosystems, Foster City, CA). This analysis was performed in duplicate to verify reproducibility of the TRFLP on each assay and sample.
Analysis of TRFLP
From the electropherograms, the size (in base pairs) of each TRF marked with fluorescence was determined by comparison with the DNA internal standard using GeneScan 3.71 (Applied Biosystems). In this analysis, each TRF was equivalent to a specific operational taxonomic unit (OTU) within each sample and the fluorescence detected for each TRF corresponded to the abundance of each OTU within each sample. For the subsequent data analysis, only the TRF, with a fluorescence of > 70 units over the background fluorescence and > 69 bp over the size of primer dimers, was taken into account. The results obtained for all samples were normalized to the total units of fluorescence using the iterative standardization procedure described by Dunbar et al. (2001). The relative abundance of each TRF (%) was determined by calculating the ratio between the height of each TRF and the total height of the normalized TRFs from each sample.
Analysis of TRF in relation with the environmental parameters
Since the TRF patterns corresponded to different OTUs in each community, the richness, relative abundance and diversity of the OTUs were assessed within them. The diversity of each community was calculated using the Shannon diversity index. The similarity between the communities was calculated using the Bray Curtis index with Biodiversity Pro 4.0 (The Scottish Association for Marine Science, UK). The relationship between the nirS-gene composition and the soil environmental parameters was carried out through a correspondence canonical analysis (CCA) using PC-ORD version 4.01 (MjM Software, Gleneden Beach, OR).
Results
The nirS gene amplicons (490 bp) were successfully amplified for all of the DNA extracts obtained from the soil samples. The minor resolution for the structure of the nirS-communities in the soils was obtained with the HaeIII enzyme (16 OTUs, Fig. 1) in comparison with the enzyme MspI (21 OTUs, Fig. 2). The results showed that, although many nirS-OTUs were shared between the cultivated and uncultivated soils (75, 113, 116, 132, 136, 224 and 257), there were also unique OTUs in each sample and/or sampling time. For example, the OTU 210 was only observed in the transition time (AT09) and the OTUs 363 and 275 were only observed during the rainy season (AL08) in the cultivated soil. In the rice field soil, the OTU 116 presented a higher relative abundance (~ 70%) during the dry season, whereas the transitional period was dominated by OTU 190 (~ 35%). In the uncultivated soil, 50% of the nirS-community corresponded to OTUs 116 and 132, which were observed during the rainy season; while, in the transition time and dry season, the relative abundance of OTUs was mostly equally distributed among them, with the exception of a slight abundance (~ 25%) of OTU 257.


On the other hand, the wide distribution of some OTUs was also confirmed with the similarity analysis, which showed 86% relationship between the nirS-denitrifying communities between the rice field soil during the transition time (AT09) and the uncultivated soil during the rainy season (CL08). However, between both communities, the OTU's relative abundance variation and a higher richness of OTUs in the cultivated soil (10 OTU) than in the control soil (8 OTU) was observed. The communities inhabiting the cultivated area during the dry season (AS09) presented the lowest similarity (40%) and OTU richness (4) and diversity (H' = 0.69) (Tab. 1).

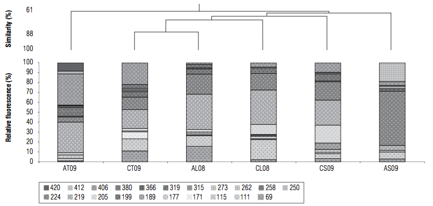
The digestion of the amplicons with the MspI enzyme (Fig. 2) generated a higher richness of the OTUs (21) distributed in the studied soils. The nirS-type denitrifier community profile obtained with this enzyme showed that both soils also share OTUs, had specific OTUs, and presented changes in the relative abundance (RA) of TRFs, like the ones observed using the HaeIII enzyme. From these OTUs, it was observed that nine (69, 111, 177, 205, 219, 224, 258, 315 and 406) of them were distributed in both soils (cultivated and control). In the rice field soil, the OTUs 420 (< 8% RA) and 380 (< 1% RA) were found only in the transition season; and OTU 412 was found in the dry season (~ 15% RA) and also in the transition time (< 2% RA). For the uncultivated soil, OTU 366 (< 1% RA) was typical of the dry season, OTU 189 was found during the rainy (1% RA) and dry seasons (5% RA); and OTU 199 (1% RA) appeared only in the rainy season.
The similarity analysis of the TRFs obtained from the nirS- type denitrifier community with the MspI enzyme showed a different association than the ones observed using enzyme HaeIII. In this case, for example, a greater similarity (88%) of communities was detected between samples CT09 and AL08, given that they shared 10 of 13 OTUs. This analysis confirmed that the nirS-type denitrifier communities in- habiting the agricultural soil during the dry season (AS09) were different from the other communities (63% similarity) given its lowest richness of OTUs (10) (Tab. 1) and the dominance of OTU 224 (60% RA), which confirmed the variability in the structure of this community between the different seasons analyzed.
The results of the chemical and physical parameters measured in each soil showed that the soil moisture values were between 4.5 and 17.7% for the rice field soil and 3.1 to 18.6% for the control soil; the highest value of the soil moisture was recorded during the transition season (18.6% in control soil). The quantity of organic matter ranged from 1.4 to 9.0% with the highest and lowest values recorded in the AS09 and AT09 samples, respectively (Tab. 2).

The soil organic carbon was also lower in the control soil (1.2 - 2.6%) when compared to the agricultural soil, where this parameter ranged between 0.8% (AT09 sample) and 5.2% (AS09 sample). This result was similar to the one observed for the soil organic nitrogen, which was higher in the cultivated soil during the dry and rainy seasons (0.4%). The pH varied between 5.2 (dry season) and 6.5 (transition time) in the agricultural soil; and between 5.7 (rainy season) and 6.4 (dry season) in the control soil. The nitrate concentration showed a slight decrease between the transition time until the dry season in the rice field soil, contrarily to the one observed for control soil, where a slight increase was detected.
In general, the results showed that the agricultural soil during the dry season (AS09) was characterized by the lowest percentage humidity, a low pH, and a high percentage of soil organic matter, carbon and organic nitrogen, while, during the transition time, the same area (AT09) was quantified by high values of moisture and pH, and low values of organic matter and organic nitrogen and carbon.
The results of the CCA showed a significant effect (P=0.010 by Monte Carlo permutation test) from the examined environmental variables on the nirS-type denitrifier community structure in both soils (Fig. 3). The data showed that the pH (correlation of 0.66) and soil moisture content (correlation of 0.58) explained 82.6% of the nirS-type denitrifier community structure found in each soil sample. The CCA grouped and separated the unique OTUs (380, 420 and 210) found in the agricultural soils in the AT09 sample, indicating that the nirS-type communities were characteristic of this area during this time; also, the CCA separated the OTU 412, which was detected only in the cultivated soil and was dominant in the AS09 sample. The OTUs 113, 116 and 224 were positioned around the AS09 sample, suggesting the importance of these OTUs in the structure of this community. The other OTUs were homogeneously distributed, suggesting that these denitrifiers were part of the permanent community which could be adapted to environmental changes during the year.

Discussion
The results showed that the nirS-type denitrifier community was diverse and occupied stable niches in both soils. The richness of the nirS-OTUs was similar to that reported for agricultural soils in China (Zhou et al., 2011; Yuan et al., 2012) and, in comparison with the other functional genes of denitrification, the richness was lower than previously reported for nirK communities in soils (Bremer et al., 2007) and similar to that reported for nosZ communities in forest soils (Rich et al., 2003). Although some studies have reported similarity in the composition of denitrifying communities between agricultural and natural areas (Dandie et al., 2011) observed in the present research, other studies have found greater diversity in cultivated areas (Enwall et al., 2005, 2010). This observation corroborates results found in this study in the rice field soil during the rainy and transition seasons, where a higher OTU richness was detected in both seasons when the rice was in the growing phase. Also, it has been suggested that soil cultivation may create new environmental niches that support a greater diversity (Zhou et al., 2002; Stress et al., 2004) despite the use of pesticides and herbicides (Griffiths et al., 2000), contributing to a major N2O emission by microbial communities inhabiting the so-called hotspots (Kong et al., 2010). One has to bear in mind that, in soils, it is usual the heterogeneity and the presence of many microhabitat and that in this case, our data are only a snapshot of the nirS-type community composition in specific points and times, for which is difficult to generalize the results. Likewise, although functional genes have helped in the understanding of the composition of this polyphyletic community, limitations exist in its use that are related to the amplification from the environmental DNA extracts, which could include DNA from dead microorganisms, DNA adsorbed by clays, variation in the number of copies of genes, presence of microorganisms in very low abundance that can't be detected, preferential amplification of specific DNA depending on the selected primer and formation of pseudo-terminal TRF (Egert and Friedrich, 2003). Currently, many of the technical limitations (DNA extraction, PCR amplification and T-RFLP analysis) have been minimized and diversity studies have focused on analyzing all functional genes (narG, nirS, nirK, nosZ, norB) in each denitrifying community; however, the biggest challenge has been to find a better way to relate the structure and function of these microbial communities in the environment.
In general, the results obtained with both tetrameric restriction endonucleases showed that the MspI enzyme produced a higher richness of OTUs than the HaeIII enzyme probably because in the environmental nirS-sequences predominate the appropriate restriction place for the first one (5'...C↓CGG3'), which has also been observed in other studies (Avrahami et al., 2002; Castro-González, 2014). The data indicated that the dry season had a stronger impact on the nirS-type denitrifier community structure inhabiting the soil cultivated with rice, which decreased the richness and diversity of the OTUs and favored the dominance of particular OTUs (224 and 116) that were probably better adapted to the conditions of water stress. The results also indicated that the nirS-type denitrifier community structure (richness and abundance) was mainly dependent on two environmental parameters, the soil moisture and pH. These data supported previous studies where the structure of the nirK and nirS denitrifier communities was strongly associated with the pH and soil water content in temperate agricultural soils (Enwall et al., 2010; Dandie et al., 2011), tropical soils (Carney and Matson, 2006); and even, on a continental scale (Fierer and Jackson, 2006; Lauber et al., 2009). Changes in pH has been associated with decreases in nosZ community diversity in native soils (Stress et al., 2004), with changes in the nirKand nosZ community compositions in soils exposed to intensive monoculture (Dell et al., 2010), with the niche separation of the nirS-type denitrifier communities (Stress et al., 2004; Enwall et al., 2010; Dell et al., 2010), and with the N2O/N2 ratio that is generated during the denitrification process (Philippot et al., 2009). However, pH and soil moisture change the richness, diversity and abundance of denitrifying communities in agricultural soils. In this respect, it has been reported that rice soils fertilized for decades (Chen et al., 2010) and hundreds of years (Bannert et al., 2011) presented less variation in the composition and diversity of the nirS-type than nirK-type denitrifier community; that the quality of irrigation water has impacted the composition of nirS and nirK communities (Zhou et al., 2011); that organic and chemical fertilization determine the abundance of nirS and nirKgenes in tropical soils (Hai et al., 2009), and that the soil organic carbon (Chen et al., 2012) and organic nitrogen (Seo et al., 2014) have controlled the composition of nirK, nirS and nosZ genes in rice field soils. In the same sense, and although the CCA did not show a significant contribution of organic matter content to the composition of community, this is a key factor for the denitrification, which is an anaerobic organoheterotrophic process. We speculate that perhaps the high levels of organic matter, organic carbon and organic nitrogen recorded in the agricultural soil during the dry season could favor the increase of the OTUs, and consequently slightly diminished the nitrate levels in the same area with respect to the other soil samples; however, this hypothesis awaits further detailed investigation because the results in general did not reveal a significant effect of nitrate and organic matter on the structure of the community. Our results are in accordance with some studies that demonstrated that even with nitrate additions, the changes in the structure, abundance and copy number of genes on the nirS-community were observed only when the anaerobic condition was fully developed in the anoxic rice soil after 20 d of incubation (Yuan et al., 2012); that the abundance and diversity of the nirScommunity presented less variation than the nirK community due to the effect of long-term additions of balanced mineral fertilizers (Chen et al., 2010) and that the activity of the nirS community and the composition of this community were correlated with the nitrate levels in a global study developed by Enwall et al. (2010). These reports, along with our data, suggest that the nitrate levels are more related to the activity and expression of functional genes than with the composition of these denitrifying communities.
The dominance of some OTUs in the agricultural soil during the dry season (AS09) could be explained by the presence of some denitrifying microorganisms with type r survival strategies, which are characterized by rapid responses to the availability of substrate with a high growth rate and therefore competes with carbon or nitrogen sources, as has been suggested by Stress et al. (2004) and Yoshida et al. (2009). On other hand, although Seo et al. (2014) reported that temporality does not affect the abundance of denitrifying genes of areas cultivated with rice, Castro et al. (2010) indicated that the precipitation changes if have a very strong effect on the composition of the microbial communities in soils favoring the abundance of some Acidobacteria during the dry season, which supports our observations. Likewise, Yoshida et al. (2009) and Yuan et al. (2012) also reported changes in the composition, diversity, and abundance of nirS and nirK genes in relation to the sampling time of rice field soils.
Conclusion
In general, the results of this study suggest that nirS-type denitrifier communities that inhabited a rice field soil and uncultivated soil in Ibague (Colombia) responded with changes in the relative abundance to soil chemical variations produced during each of the seasons, without affecting the diversity, except in the dry season. Our data suggested that the nirS-type denitrifier community from rice field soils could be severely affected if the area is subjected to a prolonged dry season because it could drastically diminish the diversity of this community.
Future studies should focus on the analysis of the impact of global warming on the diversity of microbial communities and how this might translate into changes in the function of the community, specifically in the N2O production and/ or denitrification.
Acknowledgements
Thanks to the office of research and scientific development of the University of Tolima for funding this research, to L. Londoño for her help in the DNA extraction and to Dr. G. Braker for supporting the TRFLP analysis.
Agradecimientos
Thanks to the office of research and scientific development of the University of Tolima for funding this research, to L. Londoño for her help in the DNA extraction and to Dr. G. Braker for supporting the TRFLP analysis.
Literature cited
Arbeli, Z. and C. Fuentes. 2010. Prevalence of the gene trzN and biogeographic patterns among atrazine-degrading bacterium isolated from 13 Colombian agricultural soils. FEMS Microbiol. Ecol. 73, 611-623. Doi: https://doi.org/10.1111/j.1574-6941.2010.00905.x
Avellaneda-Torres, L.M. 2014. Caracterización de comunidades microbianas asociadas a prácticas agrícolas y usos del suelo de la verada El Bosque-Parque Nacional Natural de los Nevados. PhD thesis. Doctorate in Agroecology, Faculty of Agronomy, Universidad Nacional de Colombia, Bogota.
Avrahami, S., R. Conrad, and G. Braker. 2002. Effects of soil ammonium concentration on N2O release and on the community structure of ammonia oxidizers and denitrifiers. Appl. Environ. Microbiol. 68, 5685-5692. Doi: https://doi.org/10.1128/AEM.68.11.5685-5692.2002
Bannert, A., K. Kleineidam, L. Wissing, C. Mueller-Niggemann, V. Vogelsang, G. Welzl, Z. Cao, and M. Schloter. 2011. Changes in diversity and functional gene abundances of microbial communities involved in nitrogen fixation, nitrification, and denitrification in a tidal wetland versus paddy soils cultivated for different time periods. Appl. Environ. Microbiol. 77, 6109-6116. Doi: https://doi.org/10.1128/AEM.01751-10
Bateman, E.J. and E.M. Baggs. 2005. Contributions of nitrification and denitrification to N2O emissions from soils at different water-filled pore space. Biol. Fert. Soils 41, 379-388. Doi: https://doi.org/10.1007/s00374-005-0858-3
Berthrong, S.T., C.W. Schadt, G. Piñeiro, and R.B. Jackson. 2009. Afforestation alters the composition of functional genes in soil and biogeochemical processes in South American grasslands. Appl. Environ. Microbiol. 75, 6240-6248. Doi: https://doi.org/10.1128/AEM.01126-09
Braker, G. and R. Conrad. 2011. Diversity, structure and size of N2O-producing microbial communities in soils-What matters for their functioning? Adv. Appl. Microb. 75, 33-70. Doi: https://doi.org/10.1016/B978-0-12-387046-9.00002-5
Bremer, C., G. Braker, D. Matthies, A. Reuter, C. Engels, and R. Conrad. 2007. Impact of plant functional group, plant species, and sampling time on the composition of nirk-type denitrifier communities in soils. Appl. Environ. Microbiol. 73, 6876-6884. Doi: https://doi.org/10.1128/AEM.01536-07
Cañon-Cortázar, R.G., L.M. Avellaneda-Torres, and E. Torres-Rojas. 2012. Microorganismos asociados al ciclo del nitrógeno en suelos bajo tres sistemas de uso: cultivo de papa, ganadería y páramo en el Parque los Nevados, Colombia. Acta Agron. 61, 371-379.
Carney, K.M. and P.A. Matson. 2006. The influence of tropical plant diversity and composition on soil microbial communities. Microb. Ecol. 52, 226-238. Doi: https://doi.org/10.1007/s00248-006-9115-z
Castro, H.F., A.T. Classen, E.E. Austin, R.J. Norby, and C.W. Schadt. 2010. Soil microbial community responses to multiple experimental climate change drivers. Appl. Environ. Microbiol. 76, 999-1007. Doi: https://doi.org/10.1128/AEM.02874-09
Castro-González, M. 2014. Evaluación de la comunidad desnitrificante tipo nosZ en la columna de agua de Isla del Sol, embalse de Prado, Tolima. Rev. Acad. Colomb. Cienc. Ex. Fis. Nat. 38, 385-392. Doi: https://doi.org/10.18257/raccefyn.134
Chen, Z., X. Luo, R. Hu, M. Wu, J. Wu, and W. Wei. 2010. Impact of long-term fertilization on the composition of denitrifier communities based on nitrite reductase analyses in a paddy soil. Microb. Ecol. 60, 850-861. Doi: https://doi.org/10.1007/s00248-010-9700-z
Chen, Z., J. Liu, M. Wu, X. Xie, J. Wu, and W. Wei. 2012. Differentiated response of denitrifying communities to fertilization regime in paddy soil. Microbiol. Ecol. 63, 446-459. Doi: https://doi.org/10.1007/s00248-011-9909-5
Cuhel, J., M. Simek, R.J. Laughlin, D. Bru, D. Cheneby, C.J. Watson, and I. Philippot. 2010. Insights into the effect of soil pH on N2O and N2 emissions and denitrifier community size and activity. Appl. Environ. Microbiol. 76, 1870-1878. Doi: https://doi.org/10.1128/AEM.02484-09
Dandie, C.E., S. Wertz, C.L. Leclair, C. Goyer, D.L. Burton, C.L. Patten, B.J. Zebarth, and J.T. Trevors. 2011. Abundance, diversity and functional gene expression of denitrifier communities in adjacent riparian and agricultural zones. FEMS Microbiol. Ecol. 77, 69-82. Doi: https://doi.org/10.1111/j.1574-6941.2011.01084.x
Dell, E.A., D. Bowman, T. Rufty, and W.T. Shi. 2010. The community composition of soil-denitrifying bacteria from a turfgrass environment. Res. Microbiol. 161, 315-325. Doi: https://doi.org/10.1016/j.resmic.2010.03.010
Dunbar, J., L.O. Ticknor, and C.R. Kuske. 2001. Phylogenetic specificity and reproducibility and new method for analysis of terminal restriction fragment profiles of 16S rRNA genes from bacterial communities. Appl. Environm. Microbiol. 67, 190-197. Doi: https://doi.org/10.1128/AEM.67.1.190-197.2001
Egert, M. and M.W. Friedrich. 2003. Formation of pseudo-terminal restriction fragments, a PCR-related bias affecting terminal restriction fragment length polymorphism analysis of microbial community structure. Appl. Environ. Microbiol. 69, 2555-2562. Doi: https://doi.org/10.1128/AEM.69.5.2555-2562.2003
Enwall, K., L. Philippot, and S. Hallin. 2005. Activity and composition of the denitrifying bacterial community respond differently to long-term fertilization. Appl. Environ. Microbiol. 71, 8335-8343. Doi: https://doi.org/10.1128/AEM.71.12.8335-8343.2005
Enwall, K., I.N. Throbäck, M. Stenberg, M. Söderström, and S. Hallin. 2010. Soil resources influence spatial patterns of denitrifying communities at scales compatible with land management. Appl. Environ. Microbiol. 76, 2243-2250. Doi: https://doi.org/10.1128/AEM.02197-09
Fierer, N. and R.B. Jackson. 2006. The diversity and biogeography of soil bacterial communities. Proc. Natl. Acad. Sci. USA 103, 626-631. Doi: https://doi.org/10.1073/pnas.0507535103
Girvan, M.S., C.D. Campbell, K. Killham, J.I. Prosser, and L.A. Glover. 2005. Bacterial diversity promotes community stability and resilience after perturbation functional. Environ. Microbiol. 7, 301-313. Doi: https://doi.org/10.1111/j.1462-2920.2005.00695.x
Griffiths, B.S., K. Ritz, R.D. Bardgett, R. Cook, S. Christensen, F. Ekelund, S.J. Sørensen, E. Bååth, J. Bloem, P.C. De Ruiter, J. Dolfing and B. Nicolardot. 2000. Ecosystem response of pasture soil communities to fumigation-induced microbial diversity reductions: an examination of the biodiversity-ecosystem function relationship. Oikos 90, 279-294. Doi: https://doi.org/10.1034/j.1600-0706.2000.900208.x
Hai, B., N.H. Diallo, S. Sall, F. Haesler, K. Shauss, M. Bonzi, K. Assigbetse, J.-L. Chotte, J.C. Munch, and M. Schloter. 2009. Quantification of key genes steering the microbial nitrogen cycle in the rhizosphere of sorghum cultivars in tropical agroecosystems. Appl. Environ. Microbiol. 75, 4993-5000. Doi: https://doi.org/10.1128/AEM.02917-08
Hallin, S., C.M. Jones, M. Schloter, and L. Philippot. 2009. Relationship between N-cycling communities and ecosystem functioning in a 50-year-old fertilization experiment. ISME J. 3, 597-605. Doi: https://doi.org/10.1038/ismej.2008.128
Horn, M.A., H.L. Drake, and A. Schramm. 2006. Nitrous oxide reductase genes (nosZ) of denitrifying microbial populations in soil and the earthworm gut are phylogenetically similar. Appl. Environm. Microbiol. 72, 1019-1026. Doi: https://doi.org/10.1128/AEM.72.2.1019-1026.2006
IGAC, Instituto Geográfico Agustín Codazzi. 2004. Estudio general de suelos y zonificación de tierras. Departamento del Tolima. Bogota.
IGAC, Instituto Geográfico Agustín Codazzi. 2006. Métodos analíticos del laboratorio de suelos. 6th ed. Bogota.
Ishii, S., S. Ikeda, K. Minamisawa, and K. Senoo. 2011. Nitrogen cycling in rice paddy environments: past achievements and future challenges. Microb. Environ. 26, 282-292. Doi: https://doi.org/10.1264/jsme2.ME11293
Jones, C.M., B. Stres, M. Rosenquist, and S. Hallin. 2008. Phylogenetic analysis of nitrite, nitric oxide, and nitrous oxide respiratory enzymes reveal a complex evolutionary history for denitrification. Mol. Biol. Evol. 25, 1955-1966. Doi: https://doi.org/10.1093/molbev/msn146
Kandeler, E., K. Deiglmayr, D. Tscherko, D. Bru, and L. Philippot. 2006. Abundance of narG, nirS, nirK, and nosZ gene of denitrifying bacteria during primary successions of a glacier foreland. Appl. Environ. Microbiol. 72, 5957-5962. Doi: https://doi.org/10.1128/AEM.00439-06
Kong, A.Y.Y., K. Hristova, K.M. Scow, and J. Six. 2010. Impacts of N different management regimes on nitrifier and denitrifier communities and N cycling in soil microenvironments. Soil Biol. Biochem. 42, 1523-1533. Doi: https://doi.org/10.1016/j.soilbio.2010.05.021
Lauber, C.L., M. Hamady, R. Knight, and N. Fierer. 2009. Pyrosequencing-based assessment of soil pH as a predictor of soil bacterial community structure at the continental scale. Appl. Environ. Microbiol. 75, 5111-5120. Doi: https://doi.org/10.1128/AEM.00335-09
Laughlin, R.J. and R.J. Stevens. 2002. Evidence for fungal dominance of denitrification and codenitrification in a grassland soil. Soil Sci. Soc. Am. J. 66, 1540-1548. Doi: https://doi.org/10.2136/sssaj2002.1540
Michotey, V., V. Méjean, and P. Bonin. 2000. Comparison of methods for quantification of cytochrome cd1-denitrifying bacteria in environmental marine samples. Appl. Environ. Microbiol. 66, 1564-1571. Doi: https://doi.org/10.1128/AEM.66.4.1564-1571.2000
Nüsslein, K. and J.M. Tiedje. 1999. Soil bacterial community shift correlated with change from forest to pasture vegetation in a tropical soil. Appl. Environ. Microbiol. 65, 3622-3626.
Palmer, K., C. Biasi, and M.A. Horn. 2012. Contrasting denitrifier communities relate to contrasting N2O emission patterns from acidic peat soils in arctic tundra. ISME J. 6, 1058-1077. Doi: https://doi.org/10.1038/ismej.2011.172
Philippot, L., J. Cuhel, N.P.A. Saby, D. Chèneby, A. Chronáková, D. Bru, D. Arrouays, F. Martin-Laurent, and M. Simek. 2009. Mappping field-scale spatial patterns of size and activity of the denitrifier community. Environ. Microbiol. 11, 1518-1526. Doi: https://doi.org/10.1111/j.1462-2920.2009.01879.x
Priemé, A., G. Braker, and M. Tiedje. 2002. Diversity of nitrite reductase (nirS and nirK) gene fragments in forested upland and wetland soils. Appl. Environ. Microbiol. 68, 1893-1900. Doi: https://doi.org/10.1128/AEM.68.4.1893-1900.2002
Rich, J.J., R.S. Heichen, P.J. Bottomley, K. Cromack Jr., and D.D. Myrold. 2003. Community composition and functioning of denitrifying bacteria from adjacent meadow and forest soils. Appl. Environ. Microbiol. 69, 5974-5982. Doi: https://doi.org/10.1128/AEM.69.10.5974-5982.2003
Rösch, C., A. Mergel, and H. Bothe. 2002. Biodiversity of denitrifying and dinitrogen-fixing bacteria in an acid forest soil. Appl. Environ. Microbiol. 68, 3818-3829. Doi: https://doi.org/10.1128/AEM.68.8.3818-3829.2002
Rösch, C. and H. Bothe. 2005. Improved assessment of denitrifying, N2-fixing, and total-community bacteria by terminal restriction fragment length polymorphism analysis using multiple restriction enzymes. Appl. Environm. Microbiol. 71, 2026-2035. Doi: https://doi.org/10.1128/AEM.71.4.2026-2035.2005
Senbayram, M., R. Chen, K.H. Mühling, and K. Dittert. 2009. Contribution of nitrification and denitrification to nitrous oxide emissions from soils after application of biogas waste and other fertilizers. Rapid Commun. Mass Spectrom. 23, 2489-2498. Doi: https://doi.org/10.1002/rcm.4067
Seo, J., I. Jang, G. Gebauer, and H. Kang. 2014. Abundance of methanogens, methanotrophic bacteria, and denitrifiers in rice paddy soils. Wetlands 34, 213-223. Doi: https://doi.org/10.1007/s13157-013-0477-y
Stress, B., I. Mähne, G. Avgustin, and J.M. Tiedje. 2004. Nitrous oxide reductase (nosZ) gene fragments differ between native and cultivated Michigan soils. Appl. Environ. Microbiol. 70, 301-309. Doi: https://doi.org/10.1128/AEM.70.1.301-309.2004
Throbäck, I.N., K. Enwall, A. Jarvis, and S. Hallin. 2004. Reassessing PCR primers targeting nirS, nirK, and nosZ gene for community surveys of denitrifying bacteria with DGGE. FEMS Microbiol. Ecol. 49, 401-417. Doi: https://doi.org/10.1016/j.femsec.2004.04.011
Vallejo, V.E., Z. Arbeli, W. Terán, N. Lorenz, R.P. Dick, and F. Roldan. 2012. Effect of land management and Prosopis juliflora (Sw.) DC trees on soil microbial community and enzymatic activities in intensive silvopastoral systems of Colombia. Agric. Ecosyst. Environ. 150, 139-148. Doi: https://doi.org/10.1016/j.agee.2012.01.022
Vanegas, J., G. Landazabal, L.M. Melgarejo, M. Beltran, and D. Uribe-Vélez. 2013. Structural and functional characterization of the microbial communities associated with the upland and irrigated rice rhizospheres in a neotropical Colombian savannah. Eur. J. Soil Biol. 55, 1-8. Doi: https://doi.org/10.1016/j.ejsobi.2012.10.008
Yoshida, M., S. Ishii, S. Otsuka, and K. Senoo. 2009. Temporal shifts in diversity and quantity of nirS and nirK in a rice paddy field soil. Soil Biol. Biochem. 41, 2044-2051. Doi: https://doi.org/10.1016/j.soilbio.2009.07.012
Yuan, Q., P. Liu, and Y. Lu. 2012. Differential responses of nirK- and nirS-carrying bacteria to denitrifying conditions in the anoxic rice field soil. Env. Microbial. Rep. 4, 113-122. Doi: https://doi.org/10.1111/j.1758-2229.2011.00311.x
Zhou, J., B. Xin, D.S. Treves, L.-Y. Wu, T.L. Marsh, R.V. O'Neill, A.V. Palumbo, and J.M. Tiedje. 2002. Spatial and resource factors influencing high microbial diversity in soil. Appl. Environ. Microbiol. 68, 326-334. Doi: https://doi.org/10.1128/AEM.68.1.326-334.2002
Zhou, Z.F., Y.-M. Zheng, J.-P. Shen, L.-M. Zhang, and J.-Z. He. 2011. Response of denitrification genes nirS, nirK, and nosZ to irrigation water quality in a Chinese agricultural soil. Environ. Sci. Pollut. Res. 18, 1644-1652. Doi: https://doi.org/10.1007/s11356-011-0482-8
Zumft, W.G. and P.M.H. Kroneck. 2006. Respiratory transformation of nitrous oxide (N2O) to dinitrogen by Bacteria and Archaea. Adv. Microb. Physiol. 52, 107-227. Doi: https://doi.org/10.1016/S0065-2911(06)52003-X