Fisiología y tecnología poscosecha
Effect of deficit irrigation on the postharvest of pear variety Triunfo de Viena (Pyrus communis L.) in Sesquile (Cundinamarca, Colombia)
Efecto del riego deficitario en la poscosecha de pera variedad Triunfo de Viena (Pyrus communis L.) en Sesquilé (Cundinamarca,Colombia)
Effect of deficit irrigation on the postharvest of pear variety Triunfo de Viena (Pyrus communis L.) in Sesquile (Cundinamarca, Colombia)
Agronomía Colombiana, vol. 35, no. 2, pp. 238-246, 2017
Universidad Nacional de Colombia, Facultad de Agronomía
Received: 10 April 2017
Accepted: 20 July 2017
ABSTRACT: A technique settled to optimize the use of water resources is known as Controlled Deficient Irrigation (CDI), for which this experiment was carried out to determine the effect of a three water laminae: 100 (T1), 25 (T2) and 0% (T3) crop's evapotranspiration (ETc) on the rapid growth phase of the pear fruit variety Triunfo de Viena.The fruit quality (fresh weight variation, osmotic potential, color, acidity, soluble solids, CO2 emission, dry matter, volume, firmness, ripeness index and moisture content) was evaluated over a two-month storage period. The first quality measurement was taken 2 days after harvest (DAH 8), with significant differences between treatments according to the Duncan test (P≤0.05):the largest fruit size was achieved with 100% ETc, (its diameter and volume were 7.70 cm and 217.5 cm3, respectively.), the firmness was higher in the treatment without water (T3), with a value of 8.02 N; however, during the rest of the storage time, there were no significant differences, showing water restriction during the rapid growth phase of the fruit provided 100% water savings without compromising quality in terms of fresh weight, total titratable acidity, color index, total soluble solids and moisture content.
Key words: crop evapotranspiration, quality, storage, deficit.
RESUMEN: Una técnica para optimizar el uso del recurso hídrico es el Riego Deficitario Controlado (RDC), por esto se realizó un experimento para ver el efecto de tres láminas de agua correspondientes al 100 (T1), 25(T2) y 0% (T3) de la evapotranspiración del cultivo (ETc), en la fase de crecimiento rápido del fruto de pera variedad Triunfo de Viena. Se evaluó durante un periodo de almacenamiento de dos meses la calidad del fruto (variación del peso fresco, potencial osmótico, color, acidez, sólidos solubles, respiración, volumen, materia seca, firmeza, índice de madurez y contenido de humedad). La primera medición de calidad se realizó dos días después de la cosecha DDC con diferencia significativa entre tratamientos de acuerdo a la prueba de Duncan (P≤0.05) obteniendo el mayor tamaño de frutos con el 100% de la ETc. La firmeza fue mayor en el tratamiento que no se suministró agua (T3), sin embargo, durante el resto del tiempo de almacenamiento no se presentaron diferencias significativas, lo que demostró que la restricción hídrica durante la fase de crecimiento rápido del fruto permitió un ahorro del 100% del agua sin comprometer su calidad en términos de peso fresco, acidez total titublable, índice de color, solidos solubles totales y contenido de humedad.
Palabras clave: evapotranspiración de cultivo, calidad, almacenamiento, déficit.
Introduction
According to the World Association of Apples and Pears (WAPA), pear production in the southern hemisphere was 1,502,000 t for 2015-2016, 1.53% higher than the previous year. Argentina is the main producer with 716,000 t (Wapa 2015). Globally, China is the main producer with 15,696,676 T in 2013. Colombia in 2014, produced 23,634 t, being the main producer Boyacá Department (Minagricultura, 2014).
Colombia has 3,000 ha of planted deciduous trees (Diaz, 2016) , of which 1,490 are planted with pear trees (FAO-STAT, 2014); however, imports of fresh pears reached around 28,949 t in 2014 (WAPA, 2015), a significant figure since Colombia has suitable land and climates in the departments of Cundinamarca, Norte de Santander, Santander, Huila, Nariño and Putumayo (Miranda and Carranza, 2013).
The increase in the consumption of fresh fruits, especially pears, is beneficial to health due to the medicinal properties, since its components turn out to be antitussive, anti-inflammatory, antihyperglycemic and helps the diuretic activities of the human body (Li et al., 2014). Due to the above, the postharvest and the preservation of this fruit becomes very important.
One of the main constraints to food production is the availability of water, which is influenced by climate change and increased consumption in different areas. Agriculture requires high amounts of water, exceeding 70% worldwide (FAO, 2011; Kohli et al., 2010). In 2016, Colombia faced one of the most severe droughts in the first quarter because of the Niño phenomenon, which resulted in decreased rainfall and increased temperatures (IDEAM, 2016), leading to a decrease in the food production and to a rise in the market prices.
Water is vital for agriculture, so strategies that allow rational use must be incorporated. Localized irrigation is important for the development of crops, which consists in the specific application of water at the plant's root zone using emitters (Vélez et al., 2007). Another technique for the optimization of water resources is controlled deficient irrigation (CDI), which consists on a reduction of the irrigation lamina in those periods where the growth of the fruit is less sensitive to water decreases (Marsal et al., 2002) three irrigation treatments were established by irrigating at amounts 30% below (T70 but ensuring the appropriated supply in the rest of the phenological cycle of the tree (Díaz et al., 2016)"ISSN" : "2323-0118", "abstract" : "En Colombia las \u00e1reas de siembra en pera (Pyrus communis L., cv. Triunfo de Viena. Several studies have shown that CDI increases flowering and, hence, the number of fruits. A deficit imposed before the fruit growth period increases yield without causing negative effects on size and quality, as compared to normal irrigation (Wu et al., 2013; Molina, 2014; Diaz et al., 2016) Xinjiang, China, which is in an oasis around Taklimakan desert, to investigate the effects of regulated deficit irrigation (RDI.
This study aimed to evaluate the effect of irrigation laminae on the postharvest fruit quality of the Triunfo de Viena pear variety in order to obtain significant water savings.
Materials and methods
Flowering of the pear (Pyrus communis L.) crop started on October 26, 2015; CDI was used from day 61 after flowering (DAF) on December 26, 2015 to 140 DAF on March 14, 2016. The harvest was done on April 6, 2016 (163 DAF) at San Benito (Boitiva), located in the municipality of Sesquile, Cundinamarca (Colombia), 5°02'53.65 "N and 73°48'12.78" W, with an altitude of 2,595 m a.s.l. and an average annual temperature of 14°C.
The study plot had an area of 0.32 ha (22 rows of 6 to 9 trees each), with 18-year-old 'Triunfo de Viena' pears, planted in 1998 with a 4x4 framework and a drip irrigation system with 6 Turbo line emitters, 8l/h.
The experiment design used was randomized blocks, with three treatments and four replications (12 plots, each with 16 or 20 trees); the terrain slope was used as a block. The irrigation was determined based on crop evapotranspiration (ETc) (Allen et al., 1998). All plants were irrigated during the crop cycle with a 100% ETc irrigation lamina and, in the rapid growth stage of the fruits, the treatments were (T1) 100, (T2) 25 and (T3) 0% of the ETc, respectively.
After the harvest of each plot, 15 to 20 fruits were taken and stored in a cold room at 4°C and 80% relative humidity in the fruit and vegetable laboratory of the Universidad Nacional de Colombia, Bogota, and the following variables were determined: fresh weight with an electronic balance, PB3001 (Shanghai, China), (0.1 g precision), volume using a 600 ml graduated cylinder to observe the displaced water when the fruit was placed in the cylinder. Color with a Chromameter CR400 Konica Minolta (Tokyo, Japan). The color index (IC) was calculated with equation 1 (García et al., 2011).

Where:
a and b correspond to the variations between red-green and yellow-blue.
L represents the lightness and has a range of 0 (black) to 100 (white).
Moisture content of the fruits was measured three times per week in each treatment. Two mm slices were cut. The fresh weight (wf) was measured in each of the samples with an electronic balance, PB3001 (0.1 g precision). The samples were placed in an oven at 105°C for approximately two months and the dry weight (ws) was taken three times per week and the moisture content was calculated with equation 2. The water removed is the amount of water that the fruit is losing during drying.

The CO2 emission was recorded with the Vernier CO2 gas sensor (Vernier Software & Technology, Beaverton, OR, USA) and the LabQuest software, measurements were taken every 5 s for 900 s to obtain parameters A and B of the linear equation, representing the behavior of this variable. For the calculation of the respiration, an analysis of variance (ANOVA) of the linear equation A and B parameters was done each day and replaced in the linear function at 0, 100, 200, 300, 400, 500, 600 and 700 s, resulting in a graph for each treatment.
Total titratable acidity (TTA): 5 g of fruit juice was taken and 5 g of distilled water was added for a total of 10 g. Titration was carried out with a Titroline 6000 (SI Analytics) with 0.1N sodium hydroxide (NaOH). The acidity was calculated with equation 3 (Parra et al.,1998).

Where:
v: Volume of NaOH (mL)
N: Normality of (0.1N)
m: Sample mass (g)
f: Malic acid factor (0.067 meq L)
Total soluble solids (TSS): a fruit juice sample was placed in a portable digital refractometer (DR201-95; Krüss Optronic; Hamburg, Germany), with a measurement range of 0-95% and 0.2% precision.
Maturity Index (MI): using equation 4.

Where:
TSS: Total soluble solids
TTA: Total titratable acidity
Firmness of epidermis and pulp: measured with Brookfield Labs with 0.02% accuracy, 2 mm s-1 test speed, 2 mm diameter needle and Texture Pro V1.2 software (Brookfield Engineering Labs., Middleborough, MA, USA)
Osmotic potential (ψo): by extracting 10 μL of fruit juice using a Vapro 560 (Wescor, Logan, UT, USA), measured in 90 s, with a range of 20 to 3,200 mmol kg-1 at room temperature.
Statistical analysis was performed using the IBM SPSS 23 program, analysis of variance (ANOVA) and Duncan's mean comparison tests, with a significance level of 5%.
Results and discussion
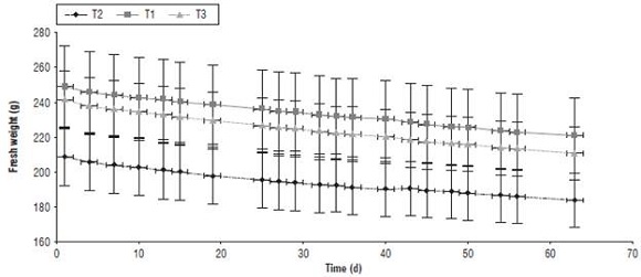
The fresh weight variation of the fruit during the study of the three treatments had a linear decrease (Fig. 1), with no significant difference between the treatments according to the Duncan test (P≤0.05). The average fresh fruit weights for day 1 were 248.53, 208.3 and 241.04 g for (T1) 100, (T2) 25 and (T3) 0% crop evapotranspiration (ETc), respectively; results higher than those reported by Díaz et al. (2016) and Molina (2014) in the same plot, which can be attributed to climatic conditions or physiological adjustments, In addition, these researchers used different irrigation sheets in their experimental designs, but the results are similar to those found by Parra et al. (1998). At 48 DAH, deterioration occurred in the T1 (100% Etc) fruits, due to the high content of water, making them more susceptible to attack by pathogens. Previous studies, have proven that the percentage of fruit damaged during storage is reduced when trees have been subjected to a water stress (Collado-González et al., 2013).

The osmotic potential in the treatments had a fluctuating and decreasing tendency (Fig. 2). T3 (0% Etc) had the highest (Fig. 2) |o because plants, when subjected to a water stress, adjust the osmotic pressure as a defense to decrease water loss (Torrecilla et al., 1996). With a higher \|/o plants minimize the water movement between cells and intercellular spaces (Keqing, 2004). There was no significant difference between the treatments according to the Duncan test (P≤0.05) in the |o, which shows that the CDI did not induce a significant osmotic adjustment in the fruits since this is a mechanism plants use to maintain turgency (Salvador et al., 1997), but apparently this mechanism was not transferred to the fruits, but possibly to the leaves of the tree. It has been shown in previous studies, that in the beginning of drought conditions, it is possible to modify the water potential gradients in different tree organs, affecting the water-tree relationship (Diaz et al., 2016). At the foliar level, ABA and other molecules are transported from the roots as signals to reduce the water loss in the leaves in the transpiration process, in addition, water stress can improve the photosynthetic efficiency through an osmotic adjustment in the leaves (Morandi et al., 2014). In others studies with CDI in two stages of fruit growth, a higher osmotic adjustment was found as compared to the non-deficit irrigation treatment (Marsal et al., 2000).

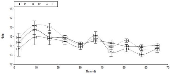
Statistically, the total soluble solids content during the post-harvest period in all three treatments was not significantly different, it was higher in T3 (0% Etc) (Fig. 3) and lower in T1 (100% Etc), with averages of13.67, 14.38 and 14.91°Brix, for T1, T2 and T3 respectively, similar values found by Wu et al. (2013), in Pyrus bretschneideri Rehd with applications of 60 and 40% ETc, and higher than those reported by Parra et al. (1998) with 12.67°Brix, Díaz (2015) with 12.21°Brix, with an irrigation lamina of 53% ETc, and Molina (2014) with 8.7°Brix, with an irrigation lamina of 55% ETc, in pear variety Triunfo de Viena.

There is statistical difference in the first measurement, T3 (0% Etc) had the highest values (Fig. 4), with averages of 0.32, 0.43 and 0.48% malic acid in T1 (100%), T2 (25%) and T3 (0%), respectively, at 2 DAH. This happens when the water stress increases the concentration of soluble solids in the maturation stage of the fruit; this is expected in climacteric fruits, because organic acids are used like respiration substrates or are transformed in sugars by gluconeogenesis, therefore it reduces the acidity in the ripening process (López et al., 2011). After day 2 DAH, the three treatments did not present significant differences and the total titratable acidity (TTA) decreased over time. The results indicate that, as the maturation process occurred, the malic acid was reduced, similar values (0.3%) to those found by Parra et al. (2006).

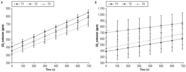
Figure 5A shows that at 2 DAH, the highest CO2 emission was in T1 (100% Etc) and the lowest was in T2(25% Etc). However, as storage time elapsed, T3 (0% Etc) had the highest emission value (Fig. 5B) and the lowest was T1 (100% Etc). Despite the behavior of the results, there was no significant difference between the control treatment T1 (100% Etc) and the other treatments, so it is possible to conclude that the water deficit did not affect this quality parameter in the fruit. In relation to previous studies, Díaz et al. (2016) concluded that the hydraulic stress affected the emission of CO2 in the fruits at the time of harvest. However, the respiratory process requires sugars or starches that are oxidized, with the consequent consumption of oxygen (O2) and production of carbon dioxide (CO2) (Arias and Toledo, 2000), in this experiment, treatment with mayor value of total soluble solids was the treatment T3 (0% Etc) that coincides with the greater emission of CO2, that is, it could be said that the higher the concentration of sugars the greater the emission of CO2 (Balaguera, 2015).

In general, the three treatments had a similar behavior regarding the color index (IC) of the epidermis as shown in figure 6, where there is an increase of the IC in the storage time. However, on day 37 DHA, a significant difference (P≤0.05) was found between T1 control treatment (100% Etc) and T3 deficiency irrigation treatment (0% Etc), with the highest index being the fruits were not subjected to water stress, values close to those found by Díaz et al. (2016) and Molina (2014).

The same was true of the pulp color index, presenting a significant difference on day 23 DHA, between treatment T1 (100% Etc) and T3 (0% Etc), obtaining a higher color index value for the fruits subjected to water stress (Fig. 7). This parameter had a decrease in the time of experimentation.

The above results agree with what was expected from the experimental units (climacteric fruits), since the change in coloration in the fruits of color to pear, is attributed to the production of ethylene; hormone responsible for the ripening process of fruits and the degradation of pigments (degradation of chlorophylls) (Defilippi et al., 2015).
The highest fruit volume and diameter were found in T1 (100%Etc) and the lowest in T3 (0% Etc), with significant differences according to the Duncan test (P≤0.05). Among these treatments at 2 DAH (data not shown), this difference was due this control treatment received a greater amount of water in the second stage of rapid growth of the fruit compared to the deficit irrigation treatments, coinciding with Marshall et al. (2000) who also found differences in the size of 'Barlett' pear fruits with irrigation lamina of 15% ETo. The results of these characteristics are similar to those obtained by Diaz et al. (2016).
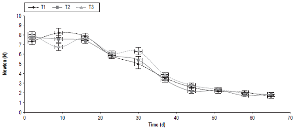
The firmness during the postharvest period decreased in all three treatments because the softening of the fruits was conditioned by the fact that cementing substances, that produce turgidity to fruits such as protopectins and pectins over time, become water-soluble peptic acids and other components (Parra et al., 2006). In addition, a significant difference (P≤0.05) was found between T1 control treatment (100% Etc) and T3 deficiency irrigation treatment (0% Etc) It is observed in figure 8 that T3 (0% Etc) presented the highest values of firmness, since it was the treatment subjected to a more intense water stress, the fruit has lower contents of water and for this the effect of a greater firmness (Wu et al., 2013). Caspari et al. (1996) found that by subjecting the Hosui pear variety in the growing stage to water stress, with a water laminae of 75% of the soil capacity, the firmness of the fruit was 37.5 N, which was higher than the control. Is not a value similar to those obtained in this study, but it is verified that the RDC does influence the firmness of the fruit.

The highest maturation index (MI) was in T1(100%Etc) and the lowest in T3 (0% Etc), with significant differences according to the Duncan test (P≤0.05) among these treatments at 2 DAH (Fig. 9). The behavior of this MI is the result of the ratio of soluble solids (which increase as the fruit matures) and titratable acidity (decreases with age) (Parra et al., 1998).The results obtained concur with the studies by Parra et al. (1998) and Diáz et al. (2016) in 'Triunfo de Viena' pear.

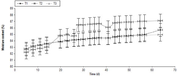
The moisture content of the three treatments was similar until day 28 (Fig. 10), significant differences (P≤0.005) between treatments T2 (25% Etc) with T1 (100% Etc) and T3 (0% Etc) were found. The moisture content obtained in the treatments are in accordance with the results of with Diaz et al. (2016), and with Marsal et al. (2000). As a contrast, in previous studies, it was found that deficient irrigation applied to pear crops reduces the moisture content of fruits (Molina, 2014), but in this research the treatment of deficient irrigation T3 (0%) showed no differences (T1) (100% Etc), these differences can be attributed to climatic conditions or possibly because the crop has physiologically adapted to water stress and has made osmotic adjustments or stomatal regulation; in addition, T3 (0%) showed a higher concentration of dry matter, otherwise T2 (25% Etc), which presented the lowest dry matter content (results not shown), because the restriction of water in a crop can increase the total soluble solids content and the dry matter percentage (Vélez et al., 2007), important characteristics in subjects quality.

Conclusions
The deficit irrigation applied to the crop in the rapid growth stage of the fruit did not affect the parameters of fruit quality in terms of fresh weight, osmotic pressure, total titratable acidity, color index, total soluble solids, moisture content and respiration during the storage time.
The first measurement of quality parameters is just after the harvest (day 2), and a difference between treatments sizes was observed, being the greater one for the treatment of the irrigation of 100% of the ETc; T1, it means, water stress affected the diameter of fruit. Otherwise, that same day the firmness was greater for the treatment where water was not supplied (T3), however during the rest of the storage time there were no differences between the three treatments.
In short, this research showed that it was not necessary to irrigate the crop in the stage of rapid growth of the fruit, because the quality of the fruit in general did not show abrupt changes with the T1 control treatment. This means that a farmer could save 100% of the irrigation, approximately 1,460 L per tree during this stage.
Literature cited
Allen, R., L. Pereira, D. Raes, and M. Smith. 1998. Crop evapotranspiration, guidelines for computing crop water requirements. Irrigatión and Drainage Paper 56. FAO, Rome, Italy.
Arias, C. and H. Toledo. 2000. Manual de manejo postcosecha de frutas tropicales (papaya, piña, plátano, cítricos). FAO, Rome, Italy.
Balaguera, L.H. 2015. Comportamiento poscosecha del fruto de uchuva (Physalisperuviana L.): efecto del 1-metilciclopropeno y de la refrigeración. Ph.D. thesis. Facultad de Ciencias Agrarias, Universidad Nacional de Colombia, Bogotá, Colombia.
Caspari, H.W., M.H. Behboudian, D.J. Chalmers, B.E. Clother, and F. Lenz. 1996. Fruit characteristics of Hosui' Asian pears after deficit irrigation. HortScience 31(1), 162.
Collado-González, J., Z.N. Cruz, P. Rodríguez, A. Galindo, F.G. Díaz-Baños, J. García De La Torre, and A. Gil-Izquierdo. 2013. Effect of water deficit and domestic storage on the procyani-din profile, size, and aggregation process in pear-jujube (Z. jujuba) fruits. J. Agric. Food Chem. 61(26), 6187-6197. Doi: 10.1021/jf4013532.
Defilippi, B., I.C. Torres, and I.O. Hernández. 2015. Maduración en Peras. Calidad y condición en postcosecha. Boletín Técnico Pomáceas 15(1), 1-8.
Díaz, D. 2015. Evaluación de la respuesta a la aplicación de riego deficitario controlado en cultivo de pera variedad triunfo de viena (Pyrus communis L.). M.Sc. thesis. Facultad de Ciencias Agrarias, Universidad Nacional de Colombia, Bogotá, Colombia.
Díaz, D., J. Vélez, and P. Rodríguez. 2016. Efecto de la aplicación de riego controlado en la producción y calidad del fruto de Pyrus communis L., cv. Triunfo de Viena. Acta Agron., 65(2), 156-163. Doi: 10.15446/acag.v65n2.49650.
FAOSTAT. 2014. FAO statistics database on the world wide web. In: FAOSTAT database, retrieved from: In: FAOSTAT database, retrieved from: http://www.fao.org/faostat/en/#data, consulted: December, 2016.
FAO. 2011. The state of food insecurity in the world. Rome. Retrieved from: Retrieved from: http://www.fao.org/docrep/014/i2330e/i2330e00.htm; consulted: December, 2016.
García, Y., A. García, A. Hernández, and J. Pérez. 2011. Estudio de la variación del Índice de Color durante la conservación de la piña variedad Cayena Lisa a temperatura ambiente. Rev. Cienc. Téc. Agr. 20(4), 13-16.
Salvador, P.V., L. Ocaña, J. Peñuelas, I. Carrasco, S. Dominguez, and I. Renilla. 1997. Relaciones hídricas y potencial de formación de raices en plántulas de estrés hídrico. Cuadernos de la S.E.C.F. 4, 81-92.
IDEAM. 2016. Fenómeno del niño. Retrieved from: http://www.ideam.gov.co/web/tiempo-y-clima/clima/fenomenos-el-nino -y-la-nina; consulted: December, 2016.
Keqing, X. 2004. Optimización del secado por aire caliente de pera (variedad Blanquilla). P.h.D. thesis. Departamento de Tecnología de Alimentos, Universidad Politécnica de Valencia, Valencia, Spain.
Kohli, A., K. Frenken, and C. Spottorno. 2010. Disambiguation of water use statistics. The AQUASTAT Programme of FAO, Rome, Italy.
Li, X., T. Wang, B. Zhou, W. Gao, J. Cao, and L. Huang. 2014. Chemical composition and antioxidant and anti-inflammatory potential of peels and flesh from 10 different pear varieties (Pyrus spp.). Food Chem. 152, 531-538. Doi: 10.1016/j.foodchem.2013.12.010.
López, G., C. Larrigaudiére, J. Girona, M.H. Behboudian, and J. Marsal. 2011. Fruit thinning in 'Conference' pear grown under deficit irrigation: Implications for fruit quality at harvest and after cold storage. Sci Hortic. 129 (1), 64-70. Doi: 10.1016/j.scienta.2011.03.007.
Marsal, J., M. Mata, A. Arbonés, J. Rufat, and J. Girona. 2002. Regulated deficit irrigation and rectification of irrigation scheduling in young pear trees: An evaluation based on vegetative and productive response. Eur. J. Agron. 17(2), 111-122. Doi: 10.1016/S1161-0301(02)00002-3.
Marsal, J ., H.F. Rapoport, T. Manrique, and J. Girona. 2000. Pear fruit growth under regulated deficit irrigation in container-grown trees. Sci Hortic. 85(4), 243-259. Doi: 10.1016/S0304-4238(99)00151-X.
Minagricultura. 2014. Red de Información y Comunicación del sector agropecuario. Retrieved from: Retrieved from: http://www.agronet.gov.co/estadistica/Paginas/default.aspx; consulted: December, 2016.
Miranda, D. and C. Carranza. 2013. Caracterización, clasificación y tipificación de los sistemas productivos de caducifolios con enfásis en duraznero, manzano, ciruelo y peral. pp. 87-113. In: Miranda, D., G. Fischer, and C. Carranza (eds.). Los frutales caducifolios en Colombia, situación actual, sistemas de cultivos y plan de desarrollo. Sociedad Colombiana de Ciencias Hortícolas, Bogotá, Colombia.
Molina, M. J. 2014. Efecto de la aplicación de tres láminas de riego en cultivo de pera variedad Triunfo de Viena (Pyrus communis L.). Universidad Nacional de Colombia, Bogotá, Colombia. Retrieved from: Retrieved from: http://www.bdigital.unal.edu.co/46218; consulted: December, 2016.
Morandi, B., P. Losciale, L. Manfrini, M. Zibordi, S. Anconelli, F. Galli, E. Pierpaoli, and L. Corelli, 2014. Increasing water stress negatively effects pear fruit growth by reducing firts its xylem and then its phloem inflow. J. Plant Physiol. 171 (16), 1500-1509. Doi: 10.1016/j.jplph.2014.07.005.
Parra, A., J. Hernandez, and J. Camacho. 2006. Estudio de algunas propiedades físicas y fisiológicas precosecha de la pera variedad Triunfo de Viena. Rev. Bras. Frutic. 28(1), 55-59. Doi: 10.1590/S0100-29452006000100017.
Parra, A., L. Sánchez, and C. Barragan. 1998. Características físicas y fisiológicas de la pera variedad Triunfo de Viena. Ing. Inv. 41, 33-44.
Vélez, J., D. Sebastiano, and J.R. Castel. 2007. Programación del riego en Citricos con base en sensores de medida del estado hidrico del suelo y de la planta. Ing. Agua, 14(2), 127-136. Doi: 10.4995/ia.2007.2907.
WAPA. 2015. Apple and pear imports by country and year (2003-2014). UN COMTRADE statistics. Retrieved from: Retrieved from: http://www.wapa-association.org/asp/page_1.asp?doc_id=446; consulted: 17 December, 2016.
Wu, Y., Z. Zhao, W. Wang, Y. Ma, and X. Huang. 2013. Yield and growth of mature pear trees under water deficit during slow fruit growth stages in sparse planting orchard. Sci. Hortic. 164 (17), 189-195. Doi: 10.1016/j.scienta.2013.09.025.