Suelos, fertilización y manejo de aguas
Diversity of arbuscular mycorrhizal fungi communities associated with cape gooseberry (Physalis peruviana L.) crops
Diversidad de comunidades de hongos formadores de micorrizas arbusculares asociados a los cultivos de uchuva (Physalis peruviana L.)
Diversity of arbuscular mycorrhizal fungi communities associated with cape gooseberry (Physalis peruviana L.) crops
Agronomía Colombiana, vol. 37, no. 3, pp. 239-254, 2019
Universidad Nacional de Colombia, Facultad de Agronomía
Received: 03 August 2018
Accepted: 03 December 2019
ABSTRACT: The diversity of arbuscular mycorrhizal fungi (AMF) communities in agricultural systems depends on biotic and abiotic factors as well as on cultural practices. This research aimed to evaluate the diversity of AMF present in an altitudinal transect cultivated with cape gooseberry (Physalis peruviana L.). A set of 13 soil samples from cape gooseberry plantations located in the Colombian Andean mountains in the provinces of Cundinamarca and Boyaca were collected during dry (0-20 mm/month) and rainy (150-330 mm/month) seasons between 1500 and 3000 m a.s.l., in order to establish the relationship between the altitudinal characteristics and AMF diversity. The evaluation of the abundance of spores and species and diversity indexes showed the presence of 46 AMF species in the dry season and 31 in the rainy season. This shows the high diversity of AMF in the tropical Andes with spore abundance between 20 and 120 spores 10 g-1 of soil in the rainy season and between 127 and 1531 spores 10 g-1 of soil in the dry season.
Key words: diversity, richness, Colombian Andes, Glomeromycota.
RESUMEN: La diversidad de las comunidades hongos formadores de micorrizas (HFMA) en sistemas agrícolas depende de factores bióticos y abióticos, así como de prácticas culturales. La investigación tuvo como propósito evaluar la diversidad de los HFMA presentes en un transecto altitudinal (1500 a 3000 msnm) cultivado con uchuva (Physalis peruviana L.). Se recolectaron 13 muestras compuestas de suelo de plantaciones de uchuva localizadas en Los Andes colombianos de los Departamentos de Cundinamarca y Boyacá, durante las temporadas seca (0-20 mm/mes) y lluviosa (150-330 mm/mes), para establecer la relación entre las características altitudinales y la diversidad de HFMA. La evaluación de la abundancia de esporas y especies e índices de diversidad evidenció la presencia de 46 especies de HFMA en época seca y 31 en época de lluvias. Esto muestra la alta diversidad de HFMA en los Andes tropicales, con una abundancia entre 20 y 120 esporas 10 g-1 de suelo en temporada de lluvias y entre 127 y 1531 esporas 10 g-1 de suelo en época seca.
Palabras clave: diversidad, riqueza, Andes Colombianos, Glomeromycota.
Introduction
One of the symbiotic associations with the greatest geographic and botanical distributions is the interaction between arbuscular mycorrhizal fungi (AMF), which covers more than 80% of plant species and is found in a great diversity of ecosystems (Brachmann and Parniske, 2006; Bonfante and Genre, 2008). A bi-directional exchange of nutrients is the basis of this association (Breuninger and Requena, 2004; Genre et al., 2005, 2008), which favors plant nutrition and plant tolerance to biotic or abiotic stress (Van der Heijden and Sanders, 2002; Smith and Read, 2008; Smith and Smith, 2011). To understand this complex symbiotic association, it is necessary to know the environment in which it is developed and the factors that affect the establishment and functioning of AMF communities. Many factors affect the dynamics of this symbiosis, such as geophysical factors (i.e. altitude) or the different stages of plant development that influence the composition of AMF communities (Husband et al., 2002a, b; Oehl et al., 2006; Senés et al., 2014). Senés et al. (2014) evaluated the composition of AMF communities in the Peruvian Andes in potato crops at four different altitudes from 2,658 to 4,075 m a.s.l., and they found a direct relationship between altitude and the community composition of AMF species. Some factors that affect the structure, diversity and distribution of AMF communities are soil microorganism populations (Garbaye, 1994; Gehring and Whitham, 2002), agricultural practices, such as logging, burning, use of fertilizer and tillage (Jansa et al., 2003), and indirectly microclimate and topography (Johnson, et al., 1992; Kernaghan, 2005).
Cape gooseberry (Physalis peruviana L.) belongs to the Solanaceae family and is distributed in the wild highlands of the South American Andes (Pérez, 1996; Trillos et al., 2008), its place of origin (Morton, 1987; Bartholomáus et al., 1990; Medina, 1991; Criollo and Ibarra, 1992; Chia et al., 1997). In Colombia, the optimal conditions for its cultivation include altitudes between 2300 and 2800 m a.s.l., temperatures between 13 and 17°C, relative humidity between 70 and 80%, and precipitation between 600 and 1100 mm/year (Fischer, 2000; Espinal et al., 2005). The interest in working with this plant species is based on the fact that the plant is native to the Andes and has a wide range of edapho-climatic adaptations (Fischer, 2000) that may be related to its ability to associate with AMF.
The objective of this study was to evaluate AMF diversity in Andean soils cultivated with cape gooseberry to determine if the composition of AMF communities is modulated by altitude. The possible effect of altitude on the establishment of AMF communities is fundamental for understanding symbioses and finding behavioral patterns in AMF communities that would allow a better management of agroecosystems.
Materials and methods
Soil sampling
Sampling was performed on an altitudinal transect between 1500 and 3000 m a.s.l. Composite samples of cape gooseberry rhizospheric soils were collected at 13 sites. At each site 4 kg (15 subsamples) of soils were collected at a depth of 0-20 cm, in duplicate, for physicochemical and AMF analysis (Tab. 1). From each sample, 200 g were taken for analysis of the abundance and diversity of AMF spores, in duplicate. The remaining soil was stored to be used as inoculum or as a source of spores for a plant tramp assay. Two samplings were carried out: one in the rainy season (150-330 mm/month) and the other in the dry season (020 mm/month).
Isolation and identification of AMF spores
For each sample, the number of spores 10 g-1 of soil was determined according to the methodology described by Gerdermann and Nicholson (1963), with modifications. The percentage of AMF colonization was estimated using the Trypan Blue differential staining methodology by Phillips and Hayman (1970) and Giovannetti and Mosse (1980) with modifications. The taxonomic classification of the AMF was performed at the species level based on the morphology of the spores. The spores were isolated and arranged in sheets with polyvinyl lactic acid-glycerin (PVLG) (Koske and Tessier, 1983) and, in some cases, with a mixture (1:1 v/v) of PVLG with Melzer (Brundrett et al., 1994). The isolated and identified spores corresponded to the two sampling periods, dry season (<20 mm/month) and rainy season (150-350 mm/month). The classification codes of Schenck and Pérez (1990) and INVAM (International Culture Collection of Vesicular Arbuscular Mycorrhizal Fungi (http://invam.caf.wvu.edu/cultures/cultsearch.htm)) were used, along with scientific publications as support for the genus or species classification (Morton and Benny, 1990; Blazkowski, 1991; Morton and Redecker, 2001; Schüffler et al., 2001; Oehl and Sieverding, 2004; Walker and Schüffler, 2004; Blaskowski et al., 2006, 2008; Sieverding and Oehl, 2006; Palenzuela et al., 2008; Alves Da Silva et al., 2009; Oehl et al., 2008, 2010, 2011 a, b, c, d; Goto, et al., 2011; Redecker et al., 2013).

Diversity index
Density (DE), richness (R), relative abundance (RA), isolation frequency (IF), Shanon-Wiener diversity index (H'), uniformity index (E), Simpson dominance index (D) and Simpson-Gini diversity index (Y) were used to determine AMF diversity in each sample and between all 13 samples collected. Indices were applied at the species level (Franke-Snyder et al., 2001; Zhang et al., 2004; Rodríguez et al., 2005; Zhao and Zhao, 2007; Kwasna et al., 2008; Chifflot et al., 2009).
Statistical analysis
Correlations were performed between spore diversity, abundance and richness of species. Multiple regressions were used for the diversity indexes and abundance and richness variables, as well as correlations between diversity variables, using the SAS program, version 10.
Results and discussion
AMF Communities
The presence of plant-AMF symbiotic associations was measured as percentages of colonization of cape gooseberry roots and the total number of spores present in the rhizosphere of the plant to verify the interaction of these AMF communities with the plant.
The results showed that the highest percentages of colonization occurred during the rainy season for most municipalities (Fig. 1), except for G1, A2 and A, with values between 7.4 and 68.5%. Municipalities G4, A1, C3 and G2 were noted for having a higher percentage of colonization, and lower values were seen in G1, A2 and Z2. In the dry season, the colonization range was between 2 and 22%. The higher values were recorded in G1, G4, A and A2, and the lowest were seen in G3, C1 and Z2 (Fig.1). In all samples evaluated, the presence of AMF associated with roots of cape gooseberry plants was registered, independent of colonization rates, demonstrating that it is a mycotrophic species.

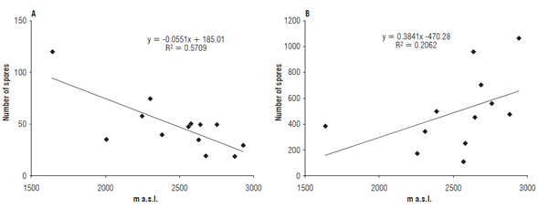
The number of spores varied between 20 and 120 spores 10 g-1 of soil during the rainy season. The higher spore number values were seen in municipalities A and C1, and the smallest amount was recorded in Z1. However, the dry season presented the highest spore values, between 170 and 1531 spores 10 g-1 of soil, in G3 and G4, respectively (Fig. 2).

During the rainy season, a negative correlation was observed in the number of spores, since the highest number of spores was recorded at the lowest altitudes. During the dry season, the correlation was positive, since a greater number of spores was observed at higher altitudes. These results agree with publications that show how, under water stress conditions, AMF sporulate by increasing the production of spores g-1 of soil (Caproni et al., 2003; Roveda et al., 2012; Pagano et al., 2013).
Taxonomic identification of AMF
A total of 46 species, grouped in 16 genera, 11 families and 5 orders, were taxonomically identified, illustrating the great diversity of AMF found in the Colombian Andean soils. The distribution of species and genera of AMF identified in each of the evaluated locations during dry and rainy seasons can be seen in Table 2. The results show 23 species for Alban, 12 for Mosquera, 25 for Zipacon and 35 for Granada, the latter presenting the greatest diversity of AMF species. Three types of spores that had not previously been described were found: two of them corresponded to the genus Glomus and the other was found from the genus Acaulospora (Personal communication from F. Oehl and E. Sieverding), which were isolated from the soils of Granada, Zipacon and Combita. In the altitudinal transect (16362675 m a.s.l.) of the province of Cundinamarca, between 4 and 18 species were found in the soils during the rainy season and between 18 and 33 were found in the dry season in consolidated zones of cape gooseberry production (more than 20 years). For the altitudinal transect of the province of Boyaca (2572 to 2869 m a.s.l.), between 6 and 13 species were identified in the rainy season and between 11 and 17 in the dry season, in a zone that is considered as new for cape gooseberry cultivation (between 5 and 7 years).

It is important to point out that five AMF species were not identified in soils of the consolidated zones of cape gooseberry production in Cundinamarca: Acaulospora sp2, A. scrobiculata, A. rehmii, A. colombiana and Paraglomus laccatum. In a recent crop production in the province of Boyaca, 13 AMF species were not identified: Glomus sp1 , Rhizoglomus fasciculatum, R. proliferum, Funneliformis geosporum, F. coronatus, F. monosporum, Septoglomus constrictum, Claroideoglomus walkerii, Acaulospora longula, A. morrowiae, Acaulospora sp1, Intraspora sp. and P. occultum. Mahdai et al. (2017) reported a higher density of AMF spores associated with a coffee crop (256 spores 100 g-1 soil) at higher altitudes (1400 m a.s.l.) as compared to lower altitudes (700 m a.s.l.) in the mountains of Saudi Arabia.
AMF species
The total number of species in the rainy season was 31, while in the dry season it was 46. Regardless of the sampling time, the highest number of species was observed in sample G4, followed by A, while the lowest values were observed in G1 and G3.

At the seasonal level, a high diversity in AMF communities was also observed, which was expressed as a higher number of spores, richness and relative abundance of species in the dry season compared to the wet season in which higher levels of root colonization were detected. Similar results have been obtained by several authors in the dry season (Pagano et al., 2013; Guadarrama et al., 2014; Rabelo et al., 2014) as well as in the wet season (Guadarrama and Álvarez-Sánchez, 1999). The seasonal variation of the communities was evident by the differences found in the number of species between the dry (46) and rainy (31) seasons, of which 32.6% of the species were not isolated in the rainy season. These results are in agreement with previous reports on seasonal variations of AMF communities (Courty et al., 2008; Davey et al., 2012; Bonfim et al., 2013; Guadarrama et al., 2014). Some authors have reported similar effects of the rainy season on root colonization to those obtained in the present study (Rabatin, 1979; Allen, 1983; Lodge, 1989; Miller, 2000; Miller and Sharitz, 2000), while other authors observed no effect (Bryla and Duniway, 1997; Ming and Hui, 1999). The presence of spores and the different levels of root colonization showed the existence of an active interaction between AMF and cape gooseberry plants in the Andean soils. The dry season increased the number of spores.
In the present study, a high number of spores was found in 10 g of soil, both in the rainy season (20-120 spores g-1) and dry season (170-1531 spores g-1). These values were higher than those reported by Jayachandran and Shetty (2003) for the wetlands of the Everglades (18-124 spores g-1) and by Lopes et al. (2013) in humid forests and pastures in Brazil (2.5 and 77.9 spores g-1), where the number of species varied between 31 and 46 for the rainy and dry seasons, respectively. These values are similar to those reported in the Chilean Andes (39 species) (Castillo, 2005; Castillo et al., 2005), in the Amazonian-pasture forest in Brazil (36 species) (Lopes et al., 2013), and in the forests of Mexico (37 species) (Violi et al., 2008). A lower diversity of species has been reported in the dunes in Brazil (25 species) (Stümer et al., 2013), forests (13-29 species) and pasture lands (18 species) of Mexico (Gavito et al., 2008; Fernandes et al., 2009; Guadarrama et al., 2014), tropical humid forests of Colombia (18 species) (Peña-Venegas et al., 2007), forests in Brazil (Aidar et al., 2004; Zandavalli et al., 2008; Moreira et al., 2009; Bonfim et al., 2013; Rabelo et al., 2014) and in general in various studies that have demonstrated a range of 12-26 species 10 g-1 of AMF (Wilson et al., 1992; Wang et al., 2008).
The high number of spores identified in the present study, associated with high species diversity from the ecological point of view, is a reflection of the history of the establishment of communities in a specific environment. It can be considered a reserve bank that may contains AMF adapted to various environmental conditions with the potential to associate with different hosts at a particular moment in time, with different growth strategies and adaptive mechanisms to the dynamic changes of the environment (Hijri et al., 2006; Oehl et al., 2006; Moebius-Clune et al., 2013). From the agronomic point of view, the high diversity represents the high potential presented by the Andean ecosystems for the establishment of symbiotic associations. Although this was an analysis of agroecosystems with semi-intensive use, AMF diversity was high, contrary to that reported by different authors on the reduction of AMF diversity in agricultural systems (Mason et al., 1992; Munyanziza et al., 1997; Cowden and Peterson, 2009).This study verified the presence of "generalist" species (according to Oehl et al., 2003). These are AMF species that can be isolated under different soil and climatic conditions, in contrast to "specialist" species that only occur under specific soil or climatic conditions. Generalist species can be isolated under different edaphic conditions and at different altitudes, showing their high tolerance for diverse soil and climatic conditions, including: G. macrocarpum; G. brouhtii; G. microcarpum, C. claroideum, C. luteum, E. infrequens and E. nevadensis. The existence of "generalist" species has been reported by different authors (Oehl et al., 2003, 2010; Castillo, 2005; Öpik et al, 2006; Guadarrama et al., 2007; Stümer and Siqueira, 2008). Glomus macrocarpum has been reported as a "generalist" species in several ecosystems and agroecosystems (Oehl et al., 2004; Castillo et al., 2005; Oliveira Freitas et al., 2014; Rabelo et al., 2014). Guadarrama et al. (2014) identified 10 species considered as generalist, while Rabelo et al. (2014) identified 4 generalist species among 40 identified species.
In the case of fungi of the genus Glomus, their predominance in diverse edaphoclimatic conditions was reported in several plant species (Gavito et al., 2008; Wang et al., 2008; Schnoor et al., 2011; Boonlue et al., 2012; Mahdhi et al., 2017). The high presence of species of the genus Glomus was probably associated with their high sporulation capacity favoring the colonization of roots in different environments, especially in environments with agronomic operations (Caprioni et al., 2003; Rabelo et al., 2014). This quality results in the species of this genus being more abundant in manmade systems, especially in agroecosystems like the one in the present study, where fungi of the order Glomerales and specifically species of the genus Glomus showed wide dispersion and high abundance in soils of the Colombian Andes.
Other species of fungal genera, such as Acaulospora and Glomus, predominate in the Chilean Andes (Castillo, 2005; Castillo, et al., 2005), showing similarity to those found in this study in Colombia, possibly because of the affinity of some of the edaphic characteristics, such as the presence of volcanic ash (allophane), soil acidity, low P contents in the soil and high organic matter (OM), although they differ in altitude and latitude. In contrast, in studies in the Peruvian Andes Sénes et al. (2014) found that Funneliformis mossseae was the most predominant species in both the soil and root of potato plants. This species is an early stage colonizer and seems to be adapted to frequent soil disturbances, such as contamination by hydrocarbons, fungicides, heavy metals, salinity, drought and cold climates (Abdel-Azeem et al., 2007; Huang et al., 2007; Zarei et al., 2010; Hassan et al., 2011; Krishnamoorthy et al, 2014).
The increment of the available phosphorus in the soil produced a reduction of AMF root colonization, which was previously reported by Jansa et al. (2009) and Selvam and Mahadevan (2002). Low levels of phosphorus in the soil favor and promote the establishment and development of symbiosis, and therefore, AMF multiplication. Phosphorus deficiency in the soil is one of the main activators of recognition signals between plants and HFMA (Ramírez and Rodriguez, 2010). It was found that 32% of AMF species, especially Glomerales, were favored by increasing the contents of this element in the dry season, while 17.4% were negatively affected in the wet season. This type of interaction has been previously reported (Jeffries et al., 1988; Sieverding, 1991; Oehl et al., 2003; Landis et al., 2004; Uhlmann, et al., 2004; Bashan et al., 2007), showing correlations between phosphorus contents and richness and abundance of AFM species. There are reports of the presence of HFMA in soils with high phosphorus contents (Davidson and Christensen, 1977; Allen and MacMahon, 1985), showing the great versatility of adaptation that AMFs have. The soils of the Andean region have high phosphorus fixation, so at relatively high phosphorus levels, but with low availability, the abundance of certain HFMA species can be favored.
The tolerance of some species to edaphoclimatic conditions is a desirable characteristic of species considered "generalist" since it allows species to be easily adapted to changes in the environment. This is a common situation in agro-ecosystems, where the edaphic environment is modified by cultural practices associated with crops. In addition, the identification and use of "generalist" species can facilitate the establishment of symbiosis under different conditions in cape gooseberry because of the high mobility of the crop as an escape mechanism for diseases. The high frequency of isolates along the altitudinal transect of some species showed the high adaptability of these species to conditions of biotic stress and strong changes in agroecosystems from practices such as fertilizer applications (Sturmer and Siqueira, 2008; Zangaro and Moreira, 2010). In this study, species such as G. macrocarpum were seen under rainfall conditions below 20 mm/month as well as with rainfall between 150 and 300 mm/month, while other species only occurred in the dry season.
In the case of AMF species considered as "specialists", because their presence is associated with specific conditions (climate, soil or both), it was found that R. agregatum, R. irregulare, G. sinuosum, two species of Glomus sp., F. coronatus, F. monosporum, S. hoi, S. constrictum, C. walkeri, E. nevadensis, Acaulospora sp, P. occultum and P. laccatum were exclusively associated with climate, while S. constrictum, C. walkierii, Acaulospora sp2 and P. laccatum were associated with the soil type, specifically soils cultivated with Physalis peruviana. These AMF characteristics, which present a "specialist" behavior for soil types, climate and moisture regimen, have been reported in AMF community analysis studies in tropical ecosystems, such as humid forests and semi-arid zones of Brazil and Africa, in tropical savannas and the Swiss Alps (Landis et al., 2004; Uhlmann et al., 2004; Lekberg et al., 2007; Oehl, et al., 2010). Although they are not ecologically similar to the Colombian Andes, they showed a trend of AMF behavior. Rabelo et al. (2014) identified 26 intermediate and 19 exclusive species or specialists in communities composed of 40 species. The identification of "specialist" species allows species to adapt to specific stresses, which can occur both in space and time because of anthropic intervention or global or local phenomena, such as climate change and variation.
Relative abundance and species richness of AMF
The relative abundance exhibited higher values in the dry season than in the rainy season, related to the greater number of species collected and identified at that time. A relative abundance of more than 71% was obtained for the sample from G4, whereas for that same sample in the rainy season, only 60% was reached. The samples from G1 and G3 had the lowest relative abundances. It is evident that in C1, A2 and G2, the relative abundance of the species was higher in the rainy season, while in the other samples it was always higher in the dry season (Fig. 4).

Species richness varied between 1.57 and 8.30 in the dry season and between 0.87 and 4.95 in the rainy season, reflecting the differences between the two sampling periods. The highest species richness values were observed in the samples from A and G4, and the lowest values in G1 and G3.
Frequency of species isolates in soil samples
In the rainy season, the frequency of isolation ranged between 7.6% from isolated species in a sample to 100% of isolated species in all samples. According to Oehl et al. (2003), this analysis allows the determination of "genera-list" species (15%), such as G. macrocarpum, G. brohutii, C. claroide, C. etunicatum, G. microcarpum, G. intraradices and E. infrequens, which were isolated from a high number of samples in rainy and dry seasons with a clear predominance of Glomus species in terms of isolation frequencies. The species that can be considered as "specialists" corresponded to 8.7% of the species: Septoglomus constrictum, Claroideoglomus walkierii, Acaulospora sp2 and Paraglomus laccatum, as they were isolated in a single sample and in one single season.
Of the total species 45.6% showed the highest frequency of isolation in the dry season (21), and only 4 showed higher frequency in the rainy season (Rhizoglomusproliferum, A. longula, A. rehmii and Archeospora tropeii). We observed that only 4 species (G. macrocarpum, Glomus sp2, Diversispora celata and Kuklospora colombiana) had the same frequency of isolation in the dry and rainy seasons, compared to the total species isolated in each season.
Only 32.6% of the species (15) were isolated in the dry season: Rhizoglomus agregatum, R. irregulare, G. sinuosum, two species of Glomus sp, F. coronatus, F. monosporum, Simioglomus hoi, S. constrictum, C. walkeri, E. nevadensis, Acaulospora sp, P. occultum and P. laccatum. These were "specialists" for the wet regime rather than for soil type or altitude. According to the scale proposed by Zhang et al. (2004), the dominant species in the rainy season were G. macrocarpum, G. brohutii, G. intraradices and C. claroi-deum, and in the dry season G. macrocarpum, G. brohutii, G. intraradices, G. microcarpus, F. mosseae, C. claraideum, C. etunicatum, E. infrequens, E.nevadensis, Pacispora sp. and Scutellospora sp. The rare species in the rainy season were C. drummondii and Ambispora sp., and for the dry season, they were S.constrictum, C. walkeri, A. longula, Acaulospora sp2, A.rehmi, Archeospora troppei, Ambispora appendicula and P. laccatum. Regardless of the season, G. macrocarpum, G. brohutii, G. intraradices and C. claroi-deum were dominant, and most of the rare species in the dry season were not isolated in the rainy season, except for A. longula, A. rehmi, Archeospora troppei and Ambispora appendicula.
Figure 5 shows the abundance of spores for each of the identified species in each community. We determined that although a species may be present in all evaluated communities, its abundance can vary widely.

Shannon-Wiener Index (H ')
In the rainy season, Shannon-Wiener diversity indexes were found between 1.33 and 2.8, considered as mean values according to Gove et al. (1999). The locations G4, A, Z1, C2 and A2 had mean levels of diversity related to the number of species found in the samples (Fig. 6A). In the dry season, the values were similar, with variations between 1.12 and 2.5 with the highest levels of diversity in A2, A1, C2, C1, M, G2 and Z1. It is interesting to observe how in the same location but in a different sampling area the levels of diversity may vary widely either by soil type or agronomic management of the lots.

Uniformity index
This index had a range between 0 and 1, with 1 as the maximum value when all species are present in equal abundance and it decreases when the dominance extent of a species or morphotype occurs (Hurlbert, 1971).
Two measures of uniformity were considered: between samples and inside each sample. Results are presented in Figure 6 (B and C). In the first case, for the rainy season differences in uniformity between the samples were observed when the identified species had variations between 0.06 in Z1 and 0.82 in G4, representing values of low uniformity for Z1 and high uniformity for G4 in relation to the other sampling sites according to Hurlbert (1971). This indicates that Z1 had few species with high disparity with the other samples. In the dry season, there was greater homogeneity between the samples with values between 0.29 (G4) and 0.65 (A2), showing a more homogeneous distribution of the species. When measuring the uniformity per sample (ratio of number of spores to total spores in the sample), in the rainy season, there was a low number of spores the values were very close to 1 in all of the samples reflecting similar values of spores per species in each of the samples. In the dry season, the values were high but with greater variations, with a range between 0.32 in G4 and 0.91 in G3, showing wide variations in the number of spores of each species present in the sample.
Simpson's Dominance Index:
Simpson's Dominance Index shows the highest values for samples G1, G3 and A1 during the rainy season and for Z2, G1 and G3 in the dry season, signifying that these samples had dominant species (Bouza and Covarrubias, 2005). This is consistent with the results of the Uniformity Index since these were the same samples that showed lower uniformity values (Fig. 6D).
The estimated diversity indexes corroborated the hypothesis of high diversity of AMF in these systems, with low-average levels of uniformity between and within the analyzed samples and with species dominance in some of the analyzed communities, especially in those that had a low number of species. The Shannon-Wiener diversity index values recorded for cape gooseberry (1.1 to 2.8) showed that, while the host affects AMF diversity (Vandenkoornhuyse et al., 2002), edaphic conditions and altitude also play an important role. This is evident in the ranges of diversity found in the evaluated altitudinal transect where the variations were mainly environmental and not from the host. However, the host component can be evaluated by comparing the values of the present study with those obtained by Helgason et al. (1998) and Tanja et al. (2004), who reported ranges from 0.4 in agricultural soils to 2.3 in forests, with higher values in cape gooseberry. It is important to consider the characteristics of the cape gooseberry crop since it is a species that is cultivated in agricultural fields but is also in the process of domestication. Cape gooseberry originated from Andean ecosystems, where the diversity centers of the species are found and has been adapted to these ecosystems with restrictive soil-climatic conditions, possibly through co-evolution processes with AMF. Additionally, these results indicate that the tropical Andes of Colombia are a niche with broad AMF diversity.
The previous results confirm the existence of high AMF diversity in the ecosystems of the tropical Andes. Although only cape gooseberry soils were sampled, the number of AMF species was higher to that identified with a greater variety of hosts as mentioned previously. The identification of "generalist" or "specialist" species is very important for the establishment of the AMF-cape gooseberry association since this is a "nomadic" crop that changes with location, soil, climate and altitude. Due to this, AMF species with high adaptability to different climatic and altitude conditions may have a greater possibility of establishing symbiosis than those affected by edaphic changes. Knowing the factors that can affect the abundance of species allows the creation of practices that favor the presence of species of interest for an ecosystem or an agroecosystem.
Conclusions
This research contributed to our knowledge of AMF diversity in the cape gooseberry (Physalis peruviana L.) production system in the evaluated altitudinal transect (1500-3000 m a.s.l.). It also determined the relationship between diversity, abundance and composition of communities with the characteristics of the soils in which these communities of fungi associated with cape gooseberry plants are established. This is the first time this kind of research has been carried out in the Andes.
The presence of spores and different levels of root colonization showed the existence of an active interaction between AMF and cape gooseberry plants in Andean soils. This high diversity can be considered as a reserve bank of AMF species adapted to the conditions in the Colombian Andes, which will allow the establishment of symbiotic associations for sustainable and competitive agricultural systems.
Acknowledgments
The authors would like to thank Dr. F. Oehl and Dr. E. Sieverding for their assistance in the identification of the AMF, Dr. Ian Sanders for his recommendation for the PhD internship at the Agroscope Research Center in Zurich and the managers of Agroscope, Zurich for their acceptance of the doctoral internship under the direction of Dr. Fritz Oehl.
Literature cited
Abdel-Azeem, A.M., T.S. Abdel-Moneim, M.E. Ibrahim, M.A.A. Hassan, and M.Y. Saleh. 2007. Effects of long-term heavy metal contamination on diversity of terricolous fungi and nematodes in Egypt: a case study. Water Air Soil Pollut. 186, 233-254. Doi: 10.1007/s11270-007-9480-3
Aguilar-Fernández, M., V.J. Jaramillo, L. Varela-Fregoso, and M.E. Gavito. 2009. Short-term consequences of slash-and-burn practices on the arbuscular mycorrhizal fungi of a tropical dry forest. Mycorrhiza 19, 179-186. Doi: 10.1007/s00572-009-0229-2
Aidar, M.P.M., R. Carrenho, and C.A. Joly. 2004. Aspects of arbuscular mycorrhizal fungi in an atlantic forest chronosequence in parque estadual turístico do Alto Ribeira (PETAR), SP. Biota Neotrop. 4, 1-15. Doi: 10.1590/S1676-06032004000200005
Allen, M.F. 1983. Formation of vesicular-arbuscular mycorrhizae in Atriplex gardneri (Chenopodiaceae): seasonal response in a cold desert. Mycologia 75, 773-776. Doi: 10.2307/3792769
Allen, M., and J.A. MacMahon. 1985. Importance of disturbance on cold desert fungi: comparative microscale dispersion patterns. Pedobiologia 28, 215-224.
Alves Da Silva, D., N. De Oliveira Freitas, G. Cuenca, M.L. Costa, and F. Oehl. 2008. Scutellosporapernambucana, a new fungal species in the Glomeromycetes with a diagnostic germination orb. Mycotaxon 106, 361-370.
Bashan, Y., T. Khaosaad, B.G. Salazar, J.A. Ocampo, A. Wiemken, F. Oehl, and V. Vierheilig. 2007. Mycorrhizal characterization of the boojum tree, Fouquieria columnaris, an endemic ancient tree from the Baja California Peninsula, Mexico. Trees 21, 329-335. Doi: 10.1007/s00468-007-0126-2
Blaszkowski, J. 1991. Polish Glomales VIII. Scutellospora nodosa, a new species with Knobby spores. Mycologia 83, 537-542. Doi: 10.2307/3760369
Blaszkowski, J., C. Renker, and F. Buscot. 2006. Glomus drummondii and Glomus walkeri, two new species of arbuscular mycorrhizal fungi (Glomeromycota). Mycol. Res. 110, 555-566. Doi: 10.1016/j.mycres.2006.02.006
Blaszkowski, J., B. Czerniawska, T. Wubet, T. Schafer, F. Buscot, and C. Renker. 2008. Glomus irregulare a new arbuscular mycorrhizal fungus in the Glomeromycota. Mycotaxon 106, 247-267.
Bonfante, P. and A. Genre. 2008. Plants and arbuscular mycorrhizal fungi: an evolutionary developmental perspective. Trends Plant Sci. 13, 492-498. Doi: 10.1016/j.tplants.2008.07.001
Bonfim, J.A., R.L.F. Vasconcellos, S.L. Stürmer, and E.J. Cardoso, 2013. Arbuscular mycorrhizal fungi in the Brazilian Atlantic forest: a gradient of environmental restoration. Appl. Soil Ecol. 71, 7-14. Doi: 10.1016/j.apsoil.2013.04.005
Boonlue, S., W. Surapat, C. Pukahuta, P. Suwanarit, A. Suwanarit, and T. Morinaga. 2012. Diversity and efficiency of arbuscular mycorrhizal fungi in soils from organic chili (Capsicum frutescens) farms. Mycoscience 53, 10-16. Doi: 10.1007/s10267-011-0131-6
Bouza, C. and D. Covarrubias. 2005. Estimación del índice de diversidad de Simpson en m sitios de muestreo. Revista Investigación Operacional 26, 187-197.
Brachmann, A. and M. Parniske. 2006. The most widespread symbiosis on earth. PLOS Biology 4, 239-240. Doi: 10.1371/journal.pbio.0040239
Breuninger, M. and N. Requena. 2004. Recognition events in AM symbiosis: analysis of fungal gene expression at the early ap-pressorium stage. Fungal Genet. Biol. 41, 794-80. Doi: 10.1016/j.fgb.2004.04.002
Brundrett, M., L. Melville, and L. Peterson. 1994. Practical methods in mycorrhiza research. Mycologue Publications. University of Guelph, Guelph, Canada.
Bryla, D.R. and J.M. Duniway. 1997. Water uptake by safflower and wheat roots infected with arbuscular mycorrhizal fungi. New Phytol. 136, 591-601. Doi: 10.1046/j.1469-8137.1997.00781.x
Caproni, A.L., A.A. Franco, R.L.L. Berbara, S.B. Trufem, J.R. Granha, and A.B. Monteiro. 2003. Arbuscular mycorrhizal fungi occurrence in revegetated areas after bauxite mining at Porto Trombetas, Pará State, Brazil. Pesq. Agropec. Bras. 38, 1409-1418. Doi: https://academicjournals.org/journal/AJMR/article-references/3D2A04A45943
Castillo, C. 2005. Biodiversidad y efectividad de hongos micorrízicos arbusculares en ecosistemas agro-forestales del Centro-Sur de Chile. PhD thesis, Universidad de La Frontera, Chile.
Castillo, C., F. Borie, R. Godoy, R. Rubio, and E. Sieverding. 2005. Diversity of mycorrhizal plant species and arbuscular mycorrhizal fungi in evergreen forest, deciduous forest and grassland ecosystems of Southern Chile. J. Appl. Bot. Food Qual. 80, 40-47.
Chia, C.L., M.S. Nishima, and D.O. Evans. 1997. Poha. CTAHR Fact Sheet. Horticultural Commodity No 3. University of Hawai, Manoa.
Chifflot, V., D. Rivest, A. Olivier, A. Cogliastro, and D. Khasa. 2009. Molecular analysis of arbuscular mycorrhizal community structure and spores distribution in tree-based intercropping and forest systems. Agri. Ecosys. Environ. 131, 32-39. Doi: 10.1016/j.agee.2008.11.010
Courty, P.E., A. Franc, and J. Garbaye. 2008. Temporal changes in the ectomycorrhizal community in two soil horizons of a temperate oak forest. Appl. Environ. Microbiol. 74, 5792-5801. Doi: 10.1128/AEM.01592-08
Cowden, C. and C. Peterson. 2009. A multi-mutualist simulation: applying biological market models to diverse mycorrhizal communities. Ecol. Model. 220, 1522-1533. Doi: 10.1016/j.ecolmodel.2009.03.028
Criollo, E.H. and C.V. Ibarra. 1992. Germinación de la uvilla (Physalis peruviana) bajo diferentes grados de madurez y tiempo de almacenamiento. Acta Hortic. 310, 183-187.
Davey, M.L., E. Heegaard, R. Halvorsen, M. Ohlson, and H. Kauserud. 2012. Seasonal trends in the biomass and structure of bryophyte associated fungal communities explored by 454 pyrosequencing. New Phytol. 195, 844-856. Doi: 10.1111/j.1469-8137.2012.04215.x
Davidson, D.E. and M. Christensen. 1977. Root-microfungal and mycorrhizal associations in a shortgrass prairie. pp. 279-287. In: Marshall, J.K. (ed.). The Belowground Eco systems: a synthesis of plant-associated processes. Colorado State University Press, Collins, USA.
De Carvalho, F., F. De Souza, R. Carrenho, F. De Souza Moreira, E. Da Conceicao, and G. Fernandes. 2012. The mosaic of habitats in the high-altitude Brazilian rupestrian fields is a hotspot for arbuscular mycorrhizal fungi. Appl. Soil Ecol. 52, 9-19. Doi: 10.1016/j.apsoil.2011.10.001
De Oliveira Freitas, R., E. Buscardo, L. Nagy, A.S. dos Santos Maciel, R. Carrenho, and R. Luizão. 2014. Arbuscular mycorrhizal fungal communities along a pedohydrological gradient in a Central Amazonian terra firme forest. Mycorrhiza 24, 21-32. Doi: 10.1007/s00572-013-0507-x
Espinal, C.F., H.J. Martínez, and Y. Peña. 2005. La cadena de los frutales de exportación en Colombia una mirada global de su estructura y dinámica 1991-2005. Work document no. 67. Ministerio de Agricultura y Desarrollo Rural, Observatorio Agrocadenas, Bogota. URL: URL: http://www.agrocadenas.gov.co/ (accessed 6 June 2017).
Fernández, M.A., V.J. Jaramillo, L. Varela-Fregoso, and M.E. Gavito. 2009. Short-term consequences of slash-and-burn practices on the arbuscular mycorrhizal fungi of a tropical dry forest. Mycorrhiza 19, 179-186. Doi: 10.1007/s00572-009-0229-2
Fischer, G. 2000. Crecimiento y desarrollo. In: Flórez, V.J, G. Fischer, and A.D. Sora (eds.). Producción, poscosecha y exportación de la uchuva (Physalis peruviana L.). Unibiblos, Universidad Nacional de Colombia, Bogota.
Franke-Snyder, M., D. Douds, L. Galvez, J. Phillips, P. Wagoner, L. Drinkwater, and J. Morton. 2001. Diversity of communities of arbuscular mycorrhizal (AM) fungi present in conventional versus low-input agricultural sites in eastern Pennsylvania, USA. Appl. Soil Ecol. 16, 35-48. Doi: 10.1016/S0929-1393(00)00100-1
Garbaye, J. 1994. Helper bacteria: a new dimension to the mycorrhizal symbiosis. New Phytol. 128, 197-210. Doi: 10.1111/j.14698137.1994.tb04003.x
Gavito, M.E., D. Pérez-Castillo, C.F. González-Monterrubio, T. Vieyra-Hernández, and M. Martínez-Trujillo. 2000. High compatibility between arbuscular mycorrhizal fungal communities and seedlings of different land use types in a tropical dry ecosystem. Mycorrhiza 19, 47-60. Doi: 10.1007/s00572-008-0203-4
Gehring, C.A. and T.G. Whitham. 2002. Mycorrhizae-herbivore interactions: population and community consequences. pp. 295-320. In: van der Heijden, M.G.A. and I.R. Sanders (eds.). Mycorrhizal ecology. Ecological studies 157. Springer, Berlin, Heidelberg. Doi: 10.1007/978-3-540-38364-2_12
Genre, A., M. Chabaud, T. Timmers, P. Bonfante, and D. Barkerb. 2005. Arbuscular mycorrhizal fungi elicit a novel intracellular apparatus in Medicago truncatula root epidermal cells before infection. Plant Cell 17, 3489-3499. Doi: 10.1105/tpc.105.035410
Genre, A., M. Chabaud, A. Faccio, D. Barker, and P. Bonfante. 2008. Prepenetration apparatus assembly precedes and predicts the colonization patterns of arbuscular mycorrhizal fungi within the root cortex of both Medicago truncatula and Daucus carota. Plant Cell 20, 1407-1420. Doi: 10.1105/tpc.108.059014
Gerdemann, J. and T. Nicholson. 1963. Spores of mycorrhizal Endogone species, extracted from soil by wet-sieving and decanting. Trans. Br. Mycol. Soc. 46, 235-244. Doi: 10.1016/S0007-1536(63)80079-0
Giovannetti, M. and B. Mosse. 1980. An evaluation of techniques for measuring vesicular arbuscular infection in roots. New Phytol. 84, 489-500. Doi: 10.1111/j.1469-8137.1980.tb04556.x
Goto, B., G.A. Silva, L. Maia, R.G. Souza, D. Coyne, A. Tchabi, L. Lawouin, F. Hountondji, and F. Oehl. 2011. Racocetra tropicana, a new species in the Glomeromycetes from tropical areas. Nova Hedwigia 92, 69-82. Doi: 10.1127/0029-5035/2011/0092-0069
Gove, J.H., G.P. Patil, B.F. Swinde, and C. Taille. 1994. Ecological diversity and forest management. pp. 409-462. In: Patil, G.P. and C.R. Rao (eds.). Handbook of statistics 12. Elsevier Science B.V., UK. Doi: 10.1016/S0169-7161(05)80014-8
Grime, P., L. Mackey, S.H. Hillier, and D.J. Read. 1987. Floristic diversity in a model system using experimental microcosms. Nature 328, 420-422. Doi: 10.1038/328420a0
Guadarrama, P. and F.J. Álvarez-Sánchez. 1999. Abundance of arbuscular mycorrhizal fungi spores in different environments in a tropical rain forest, Veracruz, Mexico. Mycorrhiza 8, 267-270. Doi: 10.1007/s005720050244
Guadarrama-Chávez, P., S.L. Camargo-Ricalde, L. Hernández-Cuevas, and S. Castillo. 2007. Los hongos micorrizógenos arbusculares de la región de Nizanda, Oaxaca, México. Bol. Soc. Bot. Mex. 81, 133-139. Doi: 10.17129/botsci.1770
Guadarrama, P., S. Castillo, J.A. Ramos-Zapata, L.V. Hernandez-Cuevas, and S.L. Camargo-Ricalde. 2014. Arbuscular my-corrhizal fungal communities in changing environments: the effects of seasonality and anthropogenic disturbance in a seasonal dry forest. Pedobiologia 57, 87-95. Doi: 10.1016/j.pedobi.2014.01.002
Hart, M. and J. Klironomos. 2002. Diversity of Arbuscular mycorrhizal fungi and ecosystem functioning. In: van der Heijden, M.G.A., and I.R. Sanders (eds). Mycorrhizal ecology. Springer, Berlin, Heidelberg. Doi: 10.1007/978-3-540-38364-2_9
Hassan, D.S., E. Boon, M. St-Arnaud, and M. Hijri. 2011. Molecular biodiversity of arbuscular mycorrhizal fungi in trace metal-polluted soils. Mol. Ecol. 20, 3469-3483. Doi: 10.1111/j.1365-294X.2011.05142.x
Helgason, T., T.J. Daniell, R. Husband, A.H. Fitter, and J.P.W. Young. 1998. Ploughing up the wood-wide web? Nature 394, 431. Doi: 10.1038/28764
Hijri, I., Z. Sykorova, F. Oehl, K. Ineichen, P. Mader, A. Wiemken, and D. Redecker. 2006. Communities of arbuscular mycor-rhizal fungi in arable soils are not necessarily low in diversity. Mol. Ecol. 15, 227-2289. Doi: 10.1111/j.1365-294X.2006.02921.x
Huang, H., S. Zhang, X.Q. Shan, B.D. Chen, Y.G. Zhu, and J.N. Bell. 2007. Effect of arbuscular mycorrhizal fungus (Glomus caledonium) on the accumulation and metabolism of atrazine in maize (Zea mays L.) and atrazine dissipation in soil. Environ. Pollut. 146, 452-457. Doi: 10.1016/j.envpol.2006.07.001
Hurlbert, S.H. 1971. The nonconcept of species diversity: a critique and alternative parameters. Ecology 52, 577-586. Doi: 10.2307/1934145
Husband, R., E.A. Herre, S.L. Turner, R. Gallery, and J.P.W. Young. 2002a. Molecular diversity of arbuscular mycor-rhizal fungi and patterns of host association over time and space in a tropical forest. Mol. Ecol. 11, 2669-2678. Doi: 10.1046/j.1365-294x.2002.01647.x
Husband, R., E.A. Herre, and J. Young. 2002b. Temporal variation in the arbuscular mycorrhizal communities colonizing seedlings in a tropical forest. FEMS Microbiol. Ecol. 42, 131-136. Doi: 10.1111/j.1574-6941.2002.tb01002.x
Jansa, J., A. Mozafar, G. Kuhn, T. Anken, R. Ruh, I.R. Sanders, and E. Frossard. 2003. Soil tillage affects the community structure of mycorrhizal fungi in maize roots. Ecol. Appl. 13, 1164-1176. Doi: 10.1890/1051-0761(2003)13[1164:STATCS]2.0.CO;2
Jansa, J., C. Thonar, and E. Frossard. 2009. Enhancement of symbiotic benefits through manipulation of the mycorrhizal community composition. Aspects Appl. Biol. 98, 9-15.
Jayachandran, K. and K. Shetty. 2003. Growth response and phosphorus uptake by arbuscular mycorrhizae of wet prairie sawgrass. Aquat. Bot. 76, 281-290. Doi: 10.1016/S0304-3770(03)00075-5
Jeffries, P., T. Spyropoulos, and E. Vardavarkis. 1988. Vesicular-arbuscular mycorrhizal status of various crops in different agricultural soils of northern Greece. Biol. Fertil. Soils. 5, 333-337. Doi: 10.1007/BF00262142
Johnson, N.C., D. Tilman, and D. Wedin. 1992. Plant and soil controls on mycorrhizal fungal communities. Ecology 73, 2034-2042. Doi: 10.2307/1941453
Kernaghan, G. 2005. Mycorrhizal diversity: cause and effect? Pedobiologia 49, 511-520. Doi: 10.1016/j.pedobi.2005.05.007
Koske, R.E. and B. Tessier. 1983. A convenient permanent slide mounting medium. Mycol. Soc. Am. Newsl. 34, 59.
Krishnamoorthy, R., K. Kim, C. Kim, and T. Sa. 2014. Changes of arbuscular mycorrhizal traits and community structure with respect to soil salinity in a coastal reclamation land. Soil Biol. Biochem. 72, 1-10. Doi: 10.1016/j.soilbio.2014.01.017
Kwaśna, H., G. Bateman, and E. Ward. 2008. Determining species diversity of microfungal communities in forest tree roots by pure-culture isolation and DNA sequencing. App. Soil Ecol. 40, 44-56. Doi: 10.1016/j.apsoil.2008.03.005
Landis, F.C., A. Gargas, and T.J. Givnish. 2004. Relationships among arbuscular mycorrhizal fungi, vascular plants and environmental conditions in oak savannas. New Phytol. 164, 493-504. Doi: 10.1111/j.1469-8137.2004.01202.x
Lekberg, Y., R.T. Koide, J.R. Rohr, L. Aldrich-Wolfe, and J.B. Morton. 2007. Role of niche restrictions and dispersal in the composition of arbuscular mycorrhizal fungal communities. J. Ecol. 95, 95-100. Doi: 10.1111/j.1365-2745.2006.01193.x
Li, Y., X. He, and L. Zhao. 2010. Tempo-spatial dynamics of arbuscular mycorrhizal fungi under clonal plant Psammochloa villosa Trin. Bor in Mu Us sandland. Eur. J. Soil Biol. 46, 295-301. Doi: 10.1016/j.ejsobi.2010.05.004
Lindahl, B., R. Nilsson, L. Tedersoo, K. Aberenkov, T. Carlsen, R. Kjoller, U. Kojalg, T. Pennanen, S. Rosendahl, J. Stenlid, and H. Kauserud. 2013. Fungal community analysis by high through put sequencing of amplified markers - a user's guide. New Phytol. 199, 288-299. Doi: 10.1111/nph.12243
Lodge, D.J. 1989. The influence of soil moisture and flooding on formation of VA-endo- and ectomycorrhizae in Populus and Salix. Plant Soil 117, 243-253. Doi: 10.1007/BF02220718
Lopes, P., J.O. Siqueira, and S.D. Stürmer. 2013. Switch of tropical Amazon forest to pasture affects taxonomic composition but not species abundance and diversity of arbuscular mycorrhizal fungal community. Appl. Soil Ecol. 71, 72-80. Doi: 10.1016/j.apsoil.2013.05.010
Mahdhi, M., T. Tounekti, T.A. Al-Turki, and H. Khemira. 2017. Composition of the root mycorrhizal community associated with Coffea arabica in Fifa Mountains (Jazan region, Saudi Arabia). J. Basic Microbiol. 57, 691-698. Doi: 10.1002/jobm.201700075
Mason, P. A., M.O. Musoko, and F.T. Last. 1992. Short-term changes in vesicular-arbuscular mycorrhizal spore populations in Ter-minalia plantations in Cameroon. pp. 261-267. In: Read, D.J., D.H. Lewis, A.H. Fitter, and L.J. Alexander (eds). Mycorrhizas in ecosystems. CAB International, UK.
Medina, M. 1991. El cultivo de la uchuva tipo exportación. Agricultura Tropical 28, 55-58.
Miller, P. 2000. Arbuscular mycorrhizal colonization ofsemi-aquatic grasses along a wide hydrologic gradient. New Phytol . 145,145-155. Doi: 10.1046/j.1469-8137.2000.00566.x
Miller, P. and R.R. Sharitz. 2000. Manipulation of flooding and arbuscular mycorrhizal formation influences growth and nutrition of two semi-aquatic species. Funct. Ecol. 14, 738-748. Doi: 10.1046/j.1365-2435.2000.00481.x
Ming, T. and C. Hui. 1999. Effects of arbuscular mycorrhizal fungi on alkaline phosphatase activities on Hippophae rhamnoides drought-resistance under water stress conditions. Trees 14, 113-115. Doi: 10.1007/PL00009757
Moebius-Clune, D.J., Z.U. Anderson, and T. Pawlowska. 2013. Arbuscular mycorrhizal fungi associated with a single agronomic plant host across the landscape: the structure of an assemblage. Soil Biol. Biochem. 64, 181-190. Doi: 10.1016/j.soilbio.2012.10.043
Moreira, M., D. Baretta, S.M. Tsai, and E.J. Cardoso. 2009. Arbuscular mycorrhizal fungal communities in native and in replanted Araucaria forest. Sci. Agric. 66, 677-684. Doi: 10.1590/S0103-90162009000500013
Morton, J. 1987. Cape Gooseberry. pp. 430-443. In: J. Morton (ed.). Fruits of warm climates. Florida Flair Books, Miami, USA.
Morton, J. and G. Benny. 1990. Revised classification of arbuscular mycorrhizal fungi (Zygomycetes): a new order Glomales, two new suborders Glomineae and Gigasporineae and two new families Acaulosporaceae and Gigasporaceae with an emendation of Glomaceae. Mycotaxon 37, 471-491.
Morton, J. and D. Redecker. 2001. Two new families of Glomales, Archaeosporaceae and Paraglomaceae, with two new genera Archaeospora and Paraglomus, based on concordant molecular and morphological characters. Mycologia 93, 181-195. Doi:10.2307/3761615
Munyanziza, E., H.K. Kehri, and D.J. Bagyaraj. 1997. Agricultural intensification, soil biodiversity and agro-ecosystem function in the tropics: the role of mycorrhiza in crops and trees. Appl. Soil Ecol. 6, 77-85. Doi: 10.1016/S0929-1393(96)00152-7
Oehl, F., E. Sieverding, P. Ineichen, P. Máder, T. Boller, and A. Wiemken. 2003. Impact of land use intensity on the species diversity of arbuscular mycorrhizal fungi in agroecosystems of Central Europe. Appl. Environ. Microb. 69, 2816-2824. Doi: 10.1128/AEM.69.5.2816-2824.2003
Oehl, F. and E. Sieverding. 2004. Pacispora, a new vesicular arbuscular mycorrhizal fungal genus in the Glomeromycetes. J. Appl. Bot. Food Qual. 78, 72-82.
Oehl, F., Z. Sykorová, D. Redecker, A. Wiemken, and E. Sieverding. 2006. Acaulospora alpina, a new arbuscular mycorrhizal fungal species characteristic for high mountainous and alpine regions of the Swiss Alps. Mycologia 98, 286-294. Doi: 10.1080/15572536.2006.11832701
Oehl, F., F. de Souza, and E. Sieverding. 2008. Revision of Scutel-lospora and description of five new genera and three new families in the arbuscular mycorrhiza-forming Glomeromycetes. Mycotaxon 106, 311-360.
Oehl, F., E. Lackzo, A. Bogenrieder, K. Stahr, R. Bösch, M.G.A. van der Heijden, and E. Sieverding. 2010. Soil type and land use intensity determine the composition of arbuscular mycorrhizal fungal communities. Soil Biol. Biochem. 42, 724-738. Doi: 10.1016/j.soilbio.2010.01.006
Oehl, F., J. Jansa, F. de Souza , and G. Silva. 2011a. Cetraspora helvetica, a new ornamented species in the Glomeromycetes from Swiss agricultural fields. Mycotaxon 114, 71-84. Doi: 10.5248/114.71
Oehl, F., D.K. Silva, L. Maia, N. Souza, H. Vieira, and G. Silva. 2011b. Orbispora ge. nov., ancestral in the Scutellosporaceae (Glomeromycetes). Mycotaxon 116, 161-169.
Oehl, F., Z. Sykorová, J. Blaszkowski, I. Sànchez-Castro, D. Coyne, A. Tchabi, L. Lawouin, F. Hountondji, and G. Silva. 2011c. Acaulospora sieverdingii, an ecological diverse new fungus in the Glomeromycota, described from lowland temperate Europe and tropical West Africa. J. Appl. Bot. Food Qual. 87, 47-53.
Oehl, F., G. Silva, B. Goto, and E. Sieverding. 2011d. Glomeromy-cota: Three new genera and glomoid species reorganized. Mycotaxon 116, 78-120. Doi: 10.5248/116.75
Öpik, M., M. Moora, J. Liira, and M. Zobel. 2006. Composition of root-colonizing arbuscular mycorrhizal fungal communities in different ecosystems around the globe. J. Ecol. 94, 778-790. Doi: 10.1111/j.1365-2745.2006.01136.x
Öpik, M., M. Zobel, J.J. Cantero, J. Davison, J.M. Facelli, I. Hiiesalu, T. Jairus, J.S. Kalwij, K. Koorem, M.E. Leal, J. Liira, M. Metsis, V. Neshataeva, J. Paal, C. Phosri, S. Põlme, Ü. Reier, Ü. Saks, H. Schimann, O. Thiéry, M. Vasar, and M. Moora. 2013. Global sampling of plant roots expands the described molecular diversity of arbuscular mycorrhizal fungi. Mycorrhiza 23, 411-430. Doi: 10.1007/s00572-013-0482-2
Pagano, M.C., R.B. Zandavalli, and F.S. Araújo. 2013. Biodiversity of arbuscular mycorrhizas in three vegetational types from the semiarid of Ceará State, Brazil. Appl. Soil Ecol. 67, 37-46. Doi: 10.1016/j.apsoil.2013.02.007
Palenzuela, J., N. Ferrol, T. Boller, C. Azcón-Aguilar, and F. Oehl. 2008. Otospora bareai, a new fungal species in the Glomero-mycetes from a dolomitic shrub land in Sierra de Baza National Park (Granada, Spain). Mycologia 100, 296-305. Doi: 10.1080/15572536.2008.11832484
Panwar, J. and J.C. Tarafdar. 2006. Distribution of three endangered medicinal plant species and their colonization with arbuscular mycorrhizal fungi. J. Arid Environ. 65, 337-350. Doi: 10.1016/j.jaridenv.2005.07.008
Peña-Venegas, C.P., G.L. Caronda, J.H. Arguelles, and A.L. Arcos. 2007. Micorrizas arbusculares del sur de la Amazonía Colombiana y su relación con algunos factores fisicoquímicos y biológicos del suelo. Acta Amaz. 37, 327-336. Doi: 10.1590/S0044-59672007000300003
Pérez, E. 1996. Plantas útiles de Colombia. Edición de Centenario, Cargraphics. Santander de Quilichao, Colombia.
Phillips, J.M. and D.S. Hayman. 1970. Improved procedures for clearing roots and staining parasitic and vesicular-arbuscular mycorrhizal fungi for rapid assessment of infection. Trans. Br Mycol. Soc. 55, 158-161. Doi: 10.1016/S0007-1536(70)80110-3
Rabatin, S.C. 1979. Seasonal and edaphic variation in vesicular-arbuscular mycorrhizal infection of grasses by Glomus tenius. New Phytol . 83, 95-102. Doi: 10.1111/j.1469-8137.1979.tb00730.x
Rabelo, P.C., D.K. Silva, A.C. Ferreira, B. Goto, and L. Maia. 2014. Diversity of arbuscular mycorrhizal fungi in Atlantic forest areas under different land uses. Agr. Ecosyst. Environ. 185, 245-252. Doi: 10.1016/j.agee.2014.01.005
Read, D.J. 1998. Plants on the web. Nature 396, 22-23. Doi: 10.1038/23822
Redecker, D., A. Schüler, H. Stockinger, S. Stümer, J. Morton, and C. Walker. 2013. An evidence-based consensus for the classification of arbuscular mycorrhizal fungi (Glomeromycota). Mycorrhiza 23, 515-531. Doi: 10.1007/s00572-013-0486-y
Rodríguez, N., C. Rivera-Calvo, and I. Paneque-Torres. 2005. Efecto de las tecnologías de extracción forestal sobre la diversidad de especies leñosas en ecosistemas de pinares naturales. Revista Chapingo 11, 125-131.
Roveda, G., A. Peñaranda, M. Ramírez, I. Baquero, and R. Galindo. 2012. Diagnóstico de la fertilidad química de los suelos de los municipios de Granada y Silvania para la producción de uchuva en Cundinamarca. Cienc. Tecnol. Agropec. 13, 179-188. Doi: 10.21930/rcta.vol13_num2_art:253
Schenck, N. and Y. Perez. 1988. Manual for the identification of VA mycorrhizal fungi. University of Florida, Gainesville, USA.
Schüßler, A., D. Scharzott, and C. Walker. 2001. A new fungal phylum, the Glomeromycota: phylogeny and evolution. Mycol. Res. 105, 1413-1421. Doi: 10.1017/S0953756201005196
Schnoor, T., I. Lekberg, S. Rosendahl, and P. Olsson. 2011. Mechanical soil disturbance as a determinant ofarbuscular mycorrhizal fungal communities in semi-natural grassland. Mycorrhiza 21, 211-220. Doi: 10.1007/s00572-010-0325-3
Selvam, A. and A. Mahadevan. 2002. Distribution of mycorrhizas in an abandoned fly ash pond and mined sites of Neyveli Lignite Corporation, Tamil Nadu, India. Basic Appl. Ecol. 3, 277-284. Doi: 10.1078/1439-1791-00107
Sénes-Guerrero, C., G. Torres, S. Pfeiffer, M. Rojas, and A. Schüßler. 2014. Potato-associated arbuscular mycorrhizal fungal communities in the Peruvian Andes. Mycorrhiza 24, 405-417. Doi: 10.1007/s00572-013-0549-0
Sieverding, E. 1991. Vesicular-arbuscular mycorrhiza management in tropical agrosystems. Deutsche Gesellschaft fur Technische Zusammenarbeit. Eschborn, Germany.
Sieverding, E. and F. Oehl. 2006. Revision of Entrophospora and description of Kuklospora and Intraspora, two new genera in them arbuscular mycorrhizal Glomeromycetes. J. Appl. Bot. Food Qual. 80, 69-81.
Souza, R.G., L. Maia, M.F. Sales, and S.F.B. Trufem. 2003. Diversidade e potencial de infectividade de fungos micorrízicos arbusculares em área de caatinga, na Região de Xingó, Estado de Alagoas, Brasil. Rev. Bras. Bot. 26, 49-60. Doi: 10.1590/S0100-84042003000100006
Smith, S.D. and D.J. Read. 2008. Mycorrhizal symbiosis. Academic Press, Amsterdam.
Smith, S.E. and F.A. Smith. 2011. Roles of arbuscular mycorrhizas in plant nutrition and growth: new paradigms from cellular to ecosystem scales. Annu. Rev. Plant Biol. 62, 227-250. Doi: 10.1146/annurev-arplant-042110-103846
Stover, H.J., R.G. Thorn, J.M. Bowle, M.A. Bernards, and C.R. Jacobs. 2012. Arbuscular mycorrhizal fungi and vascular plant species abundance and community structure in tallgrass prairies with varying agricultural disturbance histories. Appl. Soil Ecol. 60, 61-70. Doi: 10.1016/j.apsoil.2012.02.016
Stürmer, S.L. and J.O. Siqueira. 2008. Diversidade de fungos micor-rízicos arbusculares em ecossistemas Brasileiros. In: Moreira, F.M.S., J.O. Siqueira, and L. Brussaard (eds.). Biodiversidade do solo em ecossistemas Brasileiros. UFLA, Lavras, Brasilia.
Stürmer, S.L., R. Stürmer, and D. Pasqualini. 2013. Taxonomic diversity and community structure of arbuscular mycorrhizal fungi (Phylum Glomeromycota) in three maritime sand dunes in Santa Catarina state, south Brazil. Fungal Ecol. 6, 27-36. Doi: 10.1016/j.funeco.2012.10.001
Su, Y.Y. and L.D. Guo. 2007. Arbuscular mycorrhizal fungi in non-grazed, restored and over-grazed grassland in the Inner Mongolia steppe. Mycorrhiza 17, 689-693. Doi: 10.1007/s00572-007-0151-4
Tanja, R., K. Scheublin, P. Ridgway, J.P.W. Young, and M. van der Heijden. 2004. Nonlegumes, legumes, and root nodules harbor different arbuscular mycorrhizal fungal communities. Appl. Environ. Microbiol. 70, 6240-6246. Doi: 10.1128/AEM.70.10.6240-6246.2004
Trillos, O., J.M. Cotes, C.L. Medina, M. Lobo, and A. Navas. 2008. Caracterización morfológica de cuarenta y seis accesiones de uchuva (Physalis peruviana L.) en Antioquia (Colombia). Rev. Bras. Frutic. Jaboticabal. 30, 708-715. Doi: 10.1590/S0100-29452008000300025
Turrini, A., M. Agnolucci, M. Palla, E. Tomé, M. Tagliavini, F. Scan-dellari, and M. Giovannetti. 2017. Species diversity and community composition of native arbuscular mycorrhizal fungi in apple roots are affected by site and orchard management. Appl. Soil Ecol. 116, 42-54. Doi: 10.1016/j.apsoil.2017.03.016
Uhlmann, E., C. Gõrke, A. Petersen, and F. Oberwinkler. 2004. Arbuscular mycorrhizae from semiarid regions of Namibia. Can. J. Bot. 82, 645-653. Doi: 10.1139/b04-039
Vandenkoornhuyse, P., R. Husband, T. Daniell, I. Watson, J. Duck, A. Fitter, and J. Young. 2002. Arbuscular mycorrhizal community composition associated with two plant species in a grassland ecosystem. Mol. Ecol. 11, 1555-1564. Doi: 10.1046/j.1365-294X.2002.01538.x
van der Heijden, M.G.A., T. Boller, A. Wiemken, and I.R. Sanders. 1998a. Different arbuscular mycorrhizal fungal species are potential determinants of plant community structure. Ecology 79, 2082-2091. Doi: 10.1890/0012-9658(1998)079[2082:DAMFSA]2.0.CO;2
van der Heijden, M.G.A., J. Klironomos, M. Ursic, P. Moutoglis, R. Streitwolf-Engel, T. Boller, A. Wiemken, and I.R. Sanders. 1998b. Mycorrhizal fungal diversity determines plant biodiversity, ecosystem variability and productivity. Nature 396, 69-72. Doi: 10.1038/23932
van der Heijden, M.G.A. and I.R. Sanders. 2002. Mycorrhizal ecology. Springer, Berlin, Heidelberg.
Violi, H.A., A. Barrientos-Priego, S.F. Wright, E. Escamilla-Prado, J.B. Morton, J.A. Menge, and C.J. Lovatt. 2008. Disturbance changes arbuscular mycorrhizal fungal phenology and soil glomalin concentrations but not fungal spore composition in montane rainforests in Veracruz and Chiapas, Mexico. For. Ecol. Manage. 254, 276-290. Doi: 10.1016/j.foreco.2007.08.016
Walker, C. and A. Schüfiler. 2004. Nomenclatural clarifications and new taxa in the Glomeromycota Pacispora. Mycol. Res. 108, 979-982. Doi: 10.1017/S0953756204231173
Wang, Y.Y., M. Vestberg, C. Walker, T. Hurme, X. Zhang, and K. Lindstrom. 2008. Diversity and infectivity of arbuscular mycorrhizal fungi in agricultural soils of the Sichuan Province of mainland China. Mycorrhiza 18, 59-68. Doi: 10.1007/s00572-008-0161-x
Wilson, J., K. Ingleby, P.A. Mason, K. Ibrahim, and G.J. Lawson. 1992. Long-term changes in vesicular-arbuscular mycorrhizal spore populations in Terminalia plantations in Cote d'Ivoire. pp. 268-275. In: Read, D.J., D.H. Lewis, H.J. Fitter, and I.J. Alexander (eds.). Mycorrhizas in ecosystems. CAB International, London.
Zandavalli, R.B., S.L. Stürmer, and L.R. Dillenburg. 2008. Species richness of arbuscular mycorrhizal fungi in forests with Araucaria in Southern Brazil. Hoehnea 35, 63-68. Doi: 10.1590/S2236-89062008000100003
Zangaro, W. and M. Moreira. 2010. Micorrizas arbusculares nos biomas Floresta Atlântica e Floresta de Araucária. pp. 279-310. In: Siqueira, J.O., F.A. de Souza , E.J.B.N. Cardoso, and S.M. Tsai (eds.). Micorrizas 30 anos de pesquisa no Brasil. UFLA, Lavras, Brazil.
Zarei, M., S. Hempel, T. Wubet, T. Scháfer, G. Savaghebi, G.S. Jouzani, M.K. Nekouei, and F. Buscot. 2010. Molecular diversity of arbuscular mycorrhizal fungi in relation to soil chemical properties and heavy metal contamination. Environ. Pollut. 158, 2757-2765. Doi: 10.1016/j.envpol.2010.04.017
Zhang, Y., L.D. Guo, and R.J. Liu. 2004. Survey of arbuscular my-corrhizal fungi in deforested and natural forest land in the subtropical region of Dujiangyan, southwest China. Plant Soil 261, 257-263. Doi: 10.1023/B:PLSO.0000035572.15098.f6
Zhao, D. and Z. Zhao. 2007. Biodiversity of arbuscular mycorrhizal fugi in the hot-dry valley of the Jinsha River, southwest China. Appl. Soil Ecol. 37(2), 118-128. Doi: 10.1016/j.apsoil.2007.06.003
Author notes
*Corresponding author: mmramirez@agrosavia.co