Soils, fertilization and management of water
Received: 06 July 2020
Accepted: 05 March 2021
DOI: https://doi.org/10.15446/agron.colomb.v39n1.88907
ABSTRACT: Rice biofertilization with Rhizobium increases the growth and yield of the crop. However, evidence for this has not been observed in Cuban rice cultivars. This research aimed to typify two Rhizobium isolates, considering the use of different carbon sources, their tolerance to stress conditions, and the ability to promote the growth and development of rice. Two Rhizobium sp. isolates (Rpr11 and 5P1) were used and their facility to grow on different carbon sources, pH, and salinity levels was determined. The effect of the inoculation of these bacteria on the growth and yield of rice was evaluated under controlled, greenhouse, and field conditions. Both isolates grew on mannitol, glycerol, maltose, and fructose at the highest concentrations of NaCl (1.0, 1.5 and 2.0%). The isolate 5P1 grew at all evaluated pH levels, especially at pH 5.0 and pH 8.0. The inoculation of both isolates increased the plant biomass and the potassium content. The plants inoculated with 5P1 had the highest contents of nitrogen, total chlorophyll, carbohydrates and proteins, and grain yield. This study is the first in Cuba that shows the beneficial effect of Rhizobium inoculation on the physiology and yield of rice.
Key words: Rhizobium, grass, salinity, acidity, growth, yield.
RESUMEN: La biofertilización de arroz con Rhizobium incrementa el crecimiento y rendimiento del cultivo. Sin embargo, en cultivares cubanos de arroz no se han observado tales evidencias. El objetivo de esta investigación fue tipificar dos aislamientos de Rhizobium considerando el uso de diferentes fuentes de carbono, su tolerancia a condiciones de estrés y la capacidad de promover el crecimiento y el desarrollo del arroz. Se emplearon dos aislamientos de Rhizobium sp. (Rpr11 y 5P1) y se determinó su capacidad para crecer en diferentes fuentes carbonadas, pH y niveles de salinidad. Se evaluó el efecto de la inoculación de estas bacterias sobre el crecimiento y rendimiento del arroz en condiciones controladas, de invernadero y de campo. Ambos aislamientos crecieron en manitol, glicerol, maltosa y fructosa y en las mayores concentraciones de NaCl (1.0, 1.5, y 2.0%). El aislamiento 5P1 creció en todos los niveles de pH, especialmente en pH 5.0 y pH 8.0. La inoculación de ambos aislamientos incrementó la biomasa y el contenido de potasio en las plantas. Las plantas inoculadas con 5P1 mostraron un mayor contenido de nitrógeno, clorofilas totales, carbohidratos y proteínas, y rendimiento del grano. Este estudio es el primero en Cuba que demuestra el efecto benéfico de la inoculación de Rhizobium en la fisiología y el rendimiento del arroz.
Palabras clave: Rhizobium, gramínea, salinidad, acidez, crecimiento, rendimiento.
Introduction
Rhizobia are bacteria that establish a symbiotic association with leguminous plants. As a result of complex molecular communication between the bacteria and the plant, nodules are formed on the roots or stem where rhizobia perform biological nitrogen fixation (Taiz et al., 2015). However, some studies reveal the beneficial effects of rhizobia on non-leguminous plants such as corn (Zea mays L.), lettuce (Lactuca sativa), tomatoes (Solanum lycopersicum) and wheat (Triticum spp.) (García-Fraile et al., 2012; Flores-Félix et al., 2013). Furthermore, rhizobia have been also found associated with rice (Oryza sativa L.) as rhizospheric and endophytic bacteria. The rhizobia-rice interaction differs in many ways from that established with leguminous plants. These differences are fundamentally related to gene induction, cell-cell signaling, the infection process, and bacteria distribution inside the vegetable tissue (Chen et al., 2015; Wu et al., 2018).
Bradyrhizobium, Sinorhizobium, Mesorhizobium, Azorhizobium and Rhizobium are rhizobia genera that have been mostly associated with rice. These microorganisms increase the growth of grass mainly by phytostimulation (production of indole acetic acid and gibberellins) and enhance physiological mechanisms such as photosynthesis (Yanni et al., 2001; Chi et al., 2005; Chen & Zhu, 2013). Previous studies report that rhizobia inoculation increases rice yield, even with lower doses of nitrogen than those recommended (Osorio Filho et al., 2016, Lemes dos Santos et al., 2019). However, studies about the potential of rhizobia strains to obtain inoculants that increase rice yields in Cuban cultivars and that decrease mineral fertilization are scarce.
In Cuba, rice is a prioritized crop since annual consumption is around 72 kg per capita, one of the highest in Latin America (Galán, 2017). However, imports are the main source for supplying the cereal in this country (FAO, 2019). Cuban rice cultivars INCA LP-5 and INCA LP-7 are widely distributed in the country (Galán, 2017) due to their positive characteristics that ensure high grain yields and resistance to diseases.
Only four reports about the rhizobia/non-leguminous crop interactions have been reported for Cuba. Two of them showed the beneficial effect of rhizobia inoculation on the growth and yield of corn. However, the rhizobia used in these trials were isolated from legume nodules and not from the crop's rhizosphere itself (Pérez-Pérez et al., 2019). The other two studies explored the rhizobia-rice interaction but did not show the effect of rhizobia inoculation on the physiology and yield of rice (Hernández Forte & Nápoles García, 2017, 2019). Therefore, Cuban rice cultivar biofertilization with Rhizobium could be an alternative for reducing contamination and improving rice yield production and soil fertility in the country.
About 30% of Cuban soils and 15% of the country's agricultural area are affected by acidity and salinity, respectively. Around 104,000 ha dedicated to rice cultivation in Cuba are affected by salinity (Mesa, 2003). To increase productivity, mineral fertilizers are irrationally used (Goulding, 2016; Toledo, 2016). The use of tolerant microorganisms for stressful soil conditions could be an alternative for decreasing the application of mineral fertilizers and increasing rice yields. This research aimed to typify two Rhizobium isolates, considering the use of different carbon sources as a nutrient, their tolerance to stress conditions, and the ability to promote the growth and development of rice.
Materials and methods
Biological material
We used two isolates, Rpr11 and 5P1, belonging to the genus Rhizobium (accession numbers: MT387213 and MT759831, respectively) from the bacteria collection of the Laboratory of Microbiology of the Department of Plant Physiology and Biochemistry at the National Institute of Agricultural Sciences (INCA), Cuba. Isolate Rpr11 was obtained from rice cultivar INCA LP-5 rhizoplane (Hernández Forte & Nápoles García, 2017) and isolate 5P1 from rhizospheric soil of rice cultivar INCA LP-7 plants. Both cultivars were cultivated under flood conditions, in a petroferric nodule ferruginous gleysol soil from Pinar del Río, Cuba (Hernández Jiménez et al., 2015). The isolates were inoculated on 5 ml of yeast-mannitol (YM) medium (Vincent, 1970) and kept under shaking conditions at 150 rpm for 16 h at 30°C. The optical density (OD) (X = 600 nm) of the inoculum was adjusted to 0.05.
Certified rice seed cultivars INCA LP-5 and INCA LP-7 were used in inoculation tests under controlled and greenhouse conditions. Seeds were disinfected and pre-germinated with 70% ethanol for 5 min and 6% (v/v) sodium hypochlorite for 30 min. Then, they were washed ten times with sterile distilled water, put onto plates with water agar medium (0.8%, m/v), and incubated at 30oC for 3 d in the dark (Hernández Forte & Nápoles García, 2019).
Rhizobium sp. growth on different carbon sources
Several multiplication tactics were carried out with the Rhizobium isolates. Microbial growth was determined in tubes with 4.5 ml of YM medium and in four variants where mannitol was replaced by maltose, lactose, glycerol and fructose (10 g L-1). Every medium was inoculated with 500 of inocula and incubated in a thermostated shaker (HEIDOLPH-UNIMAX-2010, Schwabach, Germany) at 150 rpm and 30°C for 24 h. The OD (X = 600 nm) was measured every 2 h for 24 h. Five replicates of each isolate were used in each culture medium with different carbon sources.
Rhizobium sp. growth at different pH and salinity levels
Tubes containing 4.5 ml of YM medium with three pH levels (4.0, 5.0, and 8.0) and three concentrations of sodium chloride (1.0%, 1.5%, and 2.0%) were used. The tubes were inoculated with 500 μl of inocula and incubated at 150 rpm at 30°C. Yeast-mannitol medium with pH 6.8 and 0.01% sodium chloride (Vincent, 1970) was used as a positive control. The inocula OD (λ = 600 nm) with different pH levels was determined every 2 h for 16 h, whereas the readings of inoculum with different concentrations of sodium chloride were performed every 2 h for 24 h. The pH and salinity of the culture medium were not controlled during the evaluation period. Three replicates were used for each isolate and for each pH and salinity condition.
Effect of Rhizobium sp. inoculation on rice growth
In vitro growth conditions
Disinfected and pre-germinated rice seeds were placed in pots with 0.21 kg of non-sterilized petroferric nodule ferruginous gleysol soil. Three seeds were placed in each pot. The chemical characterization of the soil showed a slightly acidic pH, medium organic matter content, high levels of phosphorus, adequate contents of calcium, magnesium, and sodium (Hernández et al., 2015), and a low potassium level (Paneque Pérez et al., 2010) (Tab. 1).

Rice seedlings of cultivars INCA LP-5 and INCA LP-7 were inoculated with 300 μl of Rhizobium sp. isolates Rpr11 and 5P1 at 5x109 colony-forming units (CFU) ml-1. Rice seedlings inoculated with sterile YM medium were considered as a negative control. Ten pots were used for each treatment in a completely randomized design. The pots were placed in trays containing diluted Hoagland nutrient solution (1:2). The plants were grown in a 12 h light/12 h dark photoperiod at 26°C/22°C (day/night) and 70% relative humidity. At 7 d after inoculation (DAI), two plants were removed leaving only one plant per pot.
At 50 DAI the following variables were evaluated: plant height (cm), root length (cm), shoot dry weight (g), and root dry weight (g). The content of N, P and K in shoots and roots (%) was also determined from three samples of 0.2 g of the dry weight of each plant part per treatment. The samples were digested with sulfuric acid (H2SO4) and the color was subsequently developed with Nessler's reagent to determine the N content and with molybdenum blue for P and K (Paneque Pérez et al., 2010).
Greenhouse conditions
Pots containing 1.2 kg of non-sterilized petroferric nodule ferruginous gleysol soil were used. The inoculation of the seedlings was carried out similarly to the test under controlled conditions. Two control treatments were used in the experiment. The negative control consisted of seedlings inoculated with sterile YM medium. As a positive control, the Herbaspirillum seropedicae Z67 strain was inoculated at the same volume and concentration as Rhizobium. Six pots were used for each treatment in a completely randomized design.
The plants were irrigated every other day with running water. Two plants were removed 7 DAI, leaving one plant per pot. At 70 DAI, the following variables were evaluated: plant height (cm), root length (cm), shoot dry weight (g), and root dry weight (g). The relative index of total chlorophyll content (SPAD) was measured in the flag leaf and other randomly chosen leaves, using a chlorophyll reader (SPAD-502, Konica Minolta, China). The total soluble carbohydrates (mg g-1) were determined by the anthrone technique (Leyva et al., 2008) and proteins (mg g-1 fresh weight) were quantified by the microLowry method (Sun, 1994) in leaves and roots. In all cases, six replicates were evaluated per treatment.
Field trial
A field experiment was carried out at the Basic Technological-Scientific Unit "Los Palacios" in Pinar del Rio, Cuba (22°44' N, 83°45' W). The experimental area has petroferric nodule ferruginous gleysol soil (Hernández et al., 2015) with the following chemical properties: pH (in water) of 6.46, 2.86% organic matter, 46.80 mg kg-1 of P2O5 and 0.18 cmolc kg-1 of K+.
Rice plants were obtained from certified INCA LP-7 rice seeds. The seeds were sown in plastic trays (60 cm length x 30 cm width x 3 cm depth) with a 5400 cm3 mixture of petroferric nodule ferruginous gleysol soil and organic matter (1:1). Triple superphosphate (27 g m2), urea (7 g m2) and potassium chloride (4 g m2) were applied to the mixture. After 5, 10 and 15 d, urea and potassium chloride were applied again at the same concentration. One thousand six hundred plants were cultivated in each tray and irrigation was carried out with permanent watering.
Fifty plants were collected at 28 d, and the roots were embedded into the inoculum base of the selected Rhizo-bium strain (5 x 109 CFU ml-1) for 10 min. Non-inoculated plants were used as a negative control of the experiment. The plants were taken to the plots (total area of 9 m2) and sowing was carried out with one plant per node, leaving 25 cm between plants.
Before transplantation and 10 d after transplantation, 20% of the recommended nitrogen fertilization (Ministerio de la Agricultura, 2014) was applied to the plants. Plants with 100% mineral fertilizer (Ministerio de la Agricultura, 2014) were used as positive controls and non-inoculated and non-fertilized plants were used as an absolute control. A randomized block design with three replicates for each treatment was used.
Fifteen plants were randomly selected and the tiller number was determined at 35, 42, 50, 57, 63, 71, 78, 85, 92, 99 and 105 d after transplanting. At 105 d, plants were harvested and the number of filled grains per panicle, the weight of 1000 grains (g), and yield (t ha-1) (14% grain moisture) were determined.
Statistical analysis
Absorbance values obtained in the growth tests and multiplication dynamics at different carbon sources, pH levels, and salinity, as well as the data from the inoculation tests under controlled and greenhouse conditions were subjected to the normality test (Bartlett test) and homogeneity of variance (Kolmogorov-Smirnov test). A simple classification analysis of variance was applied with the Tukey HSD (inoculation assay under controlled and greenhouse conditions) or Duncan (assay under field conditions) mean comparison tests forP<0.05. The Statgraphic Plus program version 5.0 was used for statistical processing of the data and Microsoft Excel 2010 for its representation.
Results
Rhizobium uses different carbon sources as nutrients
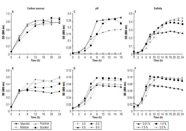
The results showed that isolate Rprll growth in glycerol was lower than in the rest of the carbon sources at 8 h. However, the isolate showed increased growth in this alcohol after 20 h. The isolate Rprll showed lower growth in maltose and fructose than in mannitol from 12 h to 20 h after which no differences were found between mannitol and fructose (Fig. 1A).

Mannitol and glycerol caused the highest growth of isolate 5P1 at 4 h. However, the bacteria increased the growth in fructose and maltose after 8 h. This isolate showed higher growth in fructose, maltose, and glycerol than in mannitol after 12 h. No differences were observed in the growth of 5P1 in fructose and maltose from 16 h to 20 h. This isolate showed greater growth in fructose than in the rest of the carbon sources at 24 h (Fig. 1B). It can be summarized that both isolates can use mannitol, glycerol, maltose, and fructose as carbon sources.
Rhizobium isolates tolerate acidity, basicity, and salinity conditions in the medium
The isolate Rprll showed the highest growth at pH 6.8 after 6 h. However, no differences were observed between pH 6.8 and pH 5.0 between 12 h and 14 h. The bacteria did not grow at pH 4.0 (Fig. 1C). The isolate 5P1 grew at the lowest pH levels, although this isolate could multiply at all the tested pHs. The most acidic condition allowed a better growth of this bacterium (Fig. ID).
Regarding the dynamics at different salinity levels, isolate Rprll showed higher growth in 1.0% and 1.5% of NaCl than did the control treatment from 12 h. Similar behavior was observed after 14 h, when the isolate had the greatest growth at 1.0%, 1.5% and 2.0%. The lowest bacterial growth occurred at 2.0% NaCl, from 6 h to 10 h. However, this isolate had the greatest growth in the last two hours of the assay (Fig. IE).
The isolate 5P1 showed a similar performance with increased growth in the most saline media after 10 h. No differences were displayed in the media with 1.0%, 1.5% and 2.0% of NaCl from 12 to 24 h (Fig. IF).
Rhizobium promotes the growth of rice plants under in vitro, greenhouse and field conditions
Under controlled conditions, an inoculation assay was carried out to determine the effect of inoculation with isolates Rprll and 5P1 on rice plant growth. The results showed that plants inoculated with isolates Rprll and 5P1 increased the root and shoot dry weight, respectively (Tab. 2).

The inoculation of Rhizobium sp. isolates increased the nutrient content in the shoot of rice plants (Fig. 2). Plants inoculated with isolate Rprll showed an increase in the potassium content (Fig. 2A), while those treated with 5P1 showed a higher nitrogen and potassium content than non-inoculated rice plants (Fig. 2B).

On the other hand, the results of the inoculation assay with the isolate 5P1 on the cultivar INCA LP-7 under greenhouse conditions showed that the inoculation increased plant height, root length, shoot dry weight, and relative index of total chlorophyll, total soluble carbohydrates, and total soluble protein contents (Fig. 3, Tab. 3).


The plant inoculation with 5P1 and H. seropedicae Z67 produced a similar beneficial effect on rice growth (Fig. 3, Tab. 3). However, the plants inoculated with 5P1 showed a higher total carbohydrate content in leaves than plants inoculated with the reference strain H. seropedicae Z67.
Inoculation with 5P1 under field conditions showed a higher tiller number than the absolute control plants. Fertilized plants showed the highest tiller number at all evaluation levels (Fig. 4).

The maximum tiller number of fertilized plants inoculated with 5P1 was observed at 71 d after transplanting, while in the absolute control plants it occurred at 78 d. Rice tillering decreased in all treatments and remained constant from 99 to 105 d after transplanting.
No differences were observed in the weight of 1000 grains between treatments. However, plants inoculated with 5P1 increased the number of filled grains per panicle and the grain yield by more than 80% compared to the control. The fertilizer treatment allowed the greatest increases of filled grains per panicle and grain yield (Tab. 4).

Discussion
Rhizobium sp. isolates Rpr11 and 5P1 are able to use different carbon sources, tolerate stress conditions, and promote growth of rice plants. Nutritional studies of microorganisms are essential for designing culture media that meets their physiological needs, allowing a greater multiplication of the active ingredient in the inoculum. Viability, effectiveness, and efficiency are the most important characteristics of these bioproducts (Praveen Biradar & Santhosh, 2018).
The rhizobia inoculum requires a minimum bacterial concentration of 108 CFU ml-1 or g-1 (De Gregorio et al., 2017). The carbon source choice is essential to increase bacterial growth and keep its viability in the inoculum. This is especially relevant for heterotrophic bacteria such as rhizobia (Zafar et al., 2017).
The results showed the versatility of two Rhizobium sp. isolates for growing in four carbon sources. It has been reported that rhizobia strains isolated from wild legumes (Genista microcephala and Argyrolobium uniflorum) grow in different sugars as a carbon source (Dekak et al., 2018). The use of different sugars as carbon and energy sources constitutes advantages for the bacteria since they can survive saprophytically to compete in the rhizosphere colonization.
The multiplication dynamics suggest that Rhizobium sp. isolates differ in their ability to use carbon sources, regardless of the fact that both belong to the Rhizobium sp. group. This is especially evident when bacterial growth was compared in the glycerol, maltose and fructose. Several bacteria prefer some sugars over others as carbon sources, since they have the necessary enzymes to oxidize them in the culture medium. Recent studies show the diversity of Rhizobium strains for using different carbon sources (Degefu et al., 2018; Dekak et al., 2018).
The growth of isolates 5P1 and Rprll in fructose and maltose as carbon sources offers the possibility of using relatively cheap raw materials to replace mannitol, the main component of the YM medium. The use of refined sugar, which is rich in fructose, could be an alternative for the industrial production of inocula with both rhizobia isolates. Chemical or enzymatic processing of starch as the main reserve material in plants constitutes a maltose source for this purpose (Wang et al., 2015).
Acidity and salinity affect rhizobia viability and the infection and colonization processes (Plá & Cobos-Porras, 2015; Shahid et al., 2018). However, inoculation with tolerant rhizobia improves the establishment of some crops in forest areas and perennial legumes such as pigeon pea (Cajanus cajan) (Manet et al., 2016; Sethi et al., 2019).
Most rhizobia grow optimally at a pH of 6-7. The methods used to isolate these bacteria confirm it (Koskey et al., 2018). Therefore, it is expected that the growth of both studied Rhizobium isolates would be lower at acidic pH than at pH 6.8. However, the growth of isolates Rpr11 and 5P1 at pH 5.0 and the isolate 5P1 at pH 4.0 demonstrates their tolerance to acidity. Usually, Rhizobium is a bacterium that acidifies the culture medium as it grows, and the pH of the culture medium may decrease with its growth. Therefore, isolates such as 5P1 could have higher tolerance to acidity conditions. Recent studies show the ability of Rhizobium to live under acid conditions (Pádua Oliveira et al., 2017; Tullio et al., 2019).
The synthesis of acid shock proteins and lipopolysac-charides and the proton exclusion to extracellular space explains the ability of bacteria to survive and multiply under acidic conditions (Geddes et al, 2014; Hawkins et al., 2017). This constitutes an additional advantage that allows plant growth-promoting bacteria (PGPB) to compete during rhizosphere colonization. This advantage is especially relevant because of rhizosphere acidification due to organic acids and proton production from root exudates (Conte & Walker, 2011).
The Rhizobium genus produces acids in the culture medium (Koskey et al., 2018) that could explain the growth of isolates Rpr11 and 5P1 at pH 8. However, the results showed that these bacteria displayed greater growth at pH 5.0 than at pH 8.0. Previous studies indicate a similar behavior of rhizobia strains from Desmodium triflorum nodules (Bécquer et al., 2017).
Salinity tolerance was another trait identified in the studied Rhizobium isolates. Around 9.30 % of Pinar del Río soils, the origin of these isolates, are affected by salinity (1.0% of salts approximately) (Mesa, 2003). In this research, the tolerance of two Rhizobium isolates to different NaCl concentrations (1.0, 1.5 and 2.0%) was studied. These concentrations are lower than those found in previous studies with rhizobia (Cardoso et al., 2017; Franzini et al., 2019; Nohwar et al., 2019) but higher than those found in the studied soils. NaCl is not the only salt that contributes to soil salinity (Shao et al., 2019); however, it is used in many PGPB characterization studies to determine the salt bacteria tolerance in the culture medium (Numan et al., 2018; Jiang et al, 2020).
Salinity decreases the colonization of roots by rhizobia (Tewari & Sharma, 2020). However, rhizobia tolerant to salinity could survive, grow, and effectively associate with their plant hosts (Yanni et al., 2016). This seems to be the case of isolate 5P1 that had the highest values of optical density when it was cultured at the highest concentration of NaCl. Tolerance to salinity may be due to a plasmid-mediated resistance and salt resistance can be rapidly transferred from tolerant to sensitive bacteria (Kajic et al, 2016).
Around 8000 ha dedicated to rice production in Cuba are affected by salt excess, a factor that decreases crop yield (Lamz Piedra & González Cepero, 2013). This is an opportunity to establish biofertilization strategies with salinity-tolerant microorganisms such as 5P1 and Rpr11. Isolating Rhizobium strains adapted to stressful conditions and increasing their concentration in these soils from their inoculation could have a positive ecological effect on ecosystems.
Isolate Rprll increases the growth of rice plants of the cultivar INCA LP-5 (Hernández Forte & Nápoles García, 2019). So, in this research the effect of inoculation of this bacterium on the nutrient content of rice plants was determined. The positive contribution of isolate 5P1 inoculation on the plant rice cultivar INCA LP-7 growth was shown for the first time. The acidity tolerance of both Rhizobium sp. isolates could explain their establishment on the slightly acidic petroferric nodule ferruginous glaysol soil used, which is similar to the soil where both bacterial isolates originated (Hernández Forte & Nápoles García, 2017). The non-sterilization of the soil used would suggest diverse interactions between the inoculated bacteria and the resident microbiota, which is a very important aspect in plant-microorganism interaction (Capek et al., 2018).
Growth promotion in non-leguminous plants such as rice, sorghum (Sorghum bicolor), and corn (Zea mays) when inoculated with rhizobia is already known (Solaiman et al., 2011; Bécquer et al., 2012; Singh et al., 2013). The production of indole acetic acid, gibberellins, and vitamins of the B group are some mechanisms that rhizobacteria use to increase plant height, shoot dry weight, and root dry weight in rice plants (Gopalakrishnan et al., 2015). Some of these mechanisms could explain the positive effects of inoculation with isolates Rpr11 and 5P1 in rice plants cv. INCA LP-5 and INCA LP-7, respectively.
The increase of root dry weight in rice plants cv. INCA LP-5 inoculated with isolate Rpr11 under controlled conditions could have favored greater potassium absorption, mainly when its concentration was low in petroferric nodule ferruginous gleysol soil. The inoculation of rice plants with strains of rhizobia causes the modification of the roots, favoring the expanded root architecture (Yanni & Dazzo, 2015). This allows us to explore a larger reservoir of nutrients from the existing resources in the rhizo sphere; and, thus, increase the absorption of nutrients and the dry weight of plants. Previous research reports that Rhizobium inoculation increases the nutrient content in plants since it promotes root growth and enhances the plant's ability to absorb it (Osorio Filho et al., 2016). This last case could be the mechanism used by isolate 5P1 which increased the potassium and nitrogen content in the rice shoot without promoting root growth.
Taiz et al. (2015) report that chlorophyll synthesis is closely related to nitrogen availability in soil and to the plant's ability to absorb it. Therefore, the increase of the nitrogen content in the shoot of rice plants cv. INCA LP-7 inoculated with isolate 5P1 could explain the increase of the chlorophyll content. A higher content of these molecules enhances photosynthesis, allowing the synthesis of carbohydrates (Degiovanni et al., 2010), an effect shown with the inoculation of isolate 5P1 in rice plants cv. INCA LP-7 under greenhouse conditions. The enhancement of photosynthesis is one of the main mechanisms that explains the growth promotion of rice inoculated with Rhizobium (Chi et al., 2010).
Photosynthesis also influences the synthesis of carbohydrates to provide a reduction power for nitrogen assimilation (Degiovanni et al., 2010). The positive effect of isolate 5P1 inoculation on the chlorophyll content and nitrogen absorption could explain the increase in the content of total soluble protein in rice plants. The proteomic analyses show that the inoculation of rice plants with rhizobia induces the production of plant proteins that contribute to a better yield compared to non-inoculated plants (Chi et al., 2010).
The nitrogen from the decomposition of soil organic matter enhanced with 5P1 could be one possible source of nitrogen that rice plants use to increase protein synthesis in leaves and roots. Previous studies demonstrate the positive effect of rhizobia inoculation as nitrogen-fixing bacteria on plant growth and yield. The inoculation of some Rhizobium strains allows an increase of dry matter in rice shoots with a decrease of 40% of the nitrogen dose (Osorio Filho et al., 2016; Lemes dos Santos et al., 2019). Therefore, the fixed nitrogen could also be another nitrogen source for rice plants inoculated with Rhizobium sp. isolate 5P1.
Regarding the effects of 5P1 inoculation on rice production areas in Cuba, the number of panicles and filled grains per panicle depends on the number of effective tillers, parameters that constitute some of the components that explain rice yield (Degiovanni et al., 2010). Therefore, the positive effect on the number of tillers could explain the increase in grain yield obtained in plants inoculated with isolate 5P1.
In rice, tillering requires high amounts of nitrogen (Degiovanni et al., 2010). This explains why fertilized treatment had the highest number of tillers and, therefore, the highest yield. Although the application of low doses of chemical fertilizer and the inoculation with the 5P1 strain did not surpass the fertilized treatment in any of the evaluated variables, they surpassed the control treatment. Similar results are described by Yanni and Dazzo (2010) who obtain a higher tillering in plants fertilized with N-fertilizers compared to the treatments inoculated with rhizobia. However, the combination of both treatments was even more effective. Previous research confirms that the application of PGPB such as Bacillus, Pseudomonas and Rhizobium to rice and wheat (Triticum aestivum L.) increases the tiller number and yields with low nitrogen fertilization under field conditions (Tan et al., 2015; Gusain & Sharma, 2019; Saber & Qader Khursheed, 2020).
The effect of Mesorhizobium sp. inoculation on rice has been previously studied. One study determined that the inoculation with this bacterium does not produce statistical differences between the control and inoculation treatments in the number of grains per panicle and grain yield when 60 kg ha-1 were used (Hahn et al., 2016). Other authors report that Mesorhizobium sp. associated with the recommended nitrogen dose provides the same rice grain yield as the recommended crop dose (Lemes dos Santos et al., 2019). Rice plants inoculated with isolate 5P1 allowed a higher number of grains per panicle than those obtained with Mesorhizobium sp. The action of PGPBs on rice plants is variable since several factors may contribute to the different responses of rice to PGPBs inoculation, such as the bacterial strain, edaphoclimatic conditions, and the specificity of the plant genotype (Buzo et al, 2019).
Yanni and Dazzo (2015) reported lower means of increased yield in five rice cultivars inoculated with Rhizobium le-guminosarum bv. trifolii than those obtained with isolated 5P1 in rice cv. INCA LP-7. These authors also emphasize the importance of looking for adequate concentrations of N-fertilizers and inoculum to ensure a balanced supply of nitrogen, since an excess of this element favors the overproduction of extra non-reproductive tillers that do not contribute to rice yield.
Therefore, the results of this study show the potential of the isolate 5P1 as promising bacteria for making a biofertilizer to inoculate rice, especially under acidity and salinity conditions.
Conclusions
This research revealed the potential of Rhizobium sp. associated with a Cuban rice cultivar to use multiple carbon sources as nutrients to tolerate acidity, basicity and salinity conditions and promote rice growth. This study is the first in Cuba to show the beneficial effect of Rhizobium inoculation on the physiology, growth and yield of a Cuban rice cultivar.
Literature cited
Bécquer, C. J., Ávila, U., Galdo, Y., Quintana, M., Álvarez, O., Puentes, A., Medinilla, F., & Mirabal, A. (2017). Selection of Bradyrhizobium sp. isolates due to their effect on maize under agricultural drought conditions in Sancti Spíritus, Cuba. Cuban Journal of Agricultural Science, 51(1), 129-138.
Bécquer Granados, C. J., Nápoles Gómez, J. A., Álvarez, O., Ramos, Y., Quintana, M., & Galdo, Y. (2012). Respuesta de diferentes variedades de cereales a la inoculación con Bradyrhizobium sp. Revista Mexicana de Ciencias Agrícolas, 3(1), 187-200. https://doi.org/10.29312/remexca.v3i1.1493
Buzo, F. S., Garé, L. M., Arf, O., Portugal, J. R., Meirelles, F. C., & Garcia, N. F. S. (2019). Interaction between thidiazuron and Azospirillum brasilense on yield characteristics and productivity of rice. Revista Brasileira de Engenharia Agrícola e Ambiental, 23(4), 244-249. https://doi.org/10.1590/1807-1929/agriambi.v23n4p244-249
Capek, P., Manzoni, S., Kastovská, E., Wild, B., Diáková, K., Bárta, J., Schnecker, J., Biasi, C., Martikainen, P. J., Alves, R. J. E., Guggenberger, G., Gentsch, N., Hugelius, G., Palmtag, J., Mikutta, R., Shibistova, O., Urich, T., Schleper, C., Richter, A., & Santrúcková, H. (2018). A plant-microbe interaction framework explaining nutrient effects on primary production. Nature, Ecology and Evolution, 2(10), 1588-1596. https://doi.org/10.1038/s41559-018-0662-8
Cardoso, A. A., Andraus, M. P., de Oliveira Borba, T. C., Garcia Martin-Didonet, C. C., & de Brito Ferreira, E. P. (2017). Characterization of rhizobia isolates obtained from nodules of wild genotypes of common bean. Brazilian Journal of Microbiology, 48(1), 43-50. https://doi.org/10.1016/j.bjm.2016.09.002
Chen, C., & Zhu, H. (2013). Are common symbiosis genes required for endophytic rice-rhizobial interactions? Plant Signaling and Behavior, 8(9), Article e25453. https://doi.org/10.4161/psb.25453
Chen, X., Miché, L., Sachs, S., Wang, Q., Buschart, A., Yang, H. Y., Vera Cruz, C. M., Hurek, T., & Reinhold-Hurek, B. (2015). Rice responds to endophytic colonization which is independent of the common symbiotic signaling pathway. New Phytologist, 208(2), 531-543. https://doi.org/10.1111/nph.13458
Chi, F., Shen, S., Cheng, H., Jing, Y., Yanni, Y. G., & Dazzo, F. B. (2005). Ascending migration of endophytic rhizobia, from roots to leaves, inside rice plants and assessment of benefits to rice growth physiology. Applied and Environmental Microbiology, 71(11), 7271-7278. https://doi.org/10.1128/AEM.71.11.7271-7278.2005
Chi, F., Yang, P., Han, F., Jing, Y., & Shen, S. (2010). Proteomic analysis of rice seedlings infected by Sinorhizobium meliloti 1021. Proteomics, 10(9), 1861-1874. https://doi.org/10.1002/pmic.200900694
Conte, S. S., & Walker, E. L. (2011). Transporters contributing to iron trafficking in plants. Molecular Plant, 4(3), 464-476. https://doi.org/10.1093/mp/ssr015
De Gregorio, P. R., Michavila, G., Muller, L. R., de Souza Borges, C., Pomares, M. F., de Sá, E. L. S., Pereira, C., & Vincent, P. A. (2017). Beneficial rhizobacteria immobilized in nanofibers for potential application as soybean seed bioinoculants. PLOS One, 12(5), Article e0176930. https://doi.org/10.1371/journal.pone.0176930
Degefu, T., Woldemeskel, E., Adem, M., Fikre, A., Amede, T., & Ojiewo, C. (2018). Morphophysiological diversity of rhizobia nodulating pigeon pea (Cajanus cajan L. Millsp.) growing in Ethiopia. African Journal of Biotechnology, 17(6), 167-177. https://doi.org/10.5897/AJB2017.16338
Degiovanni, V., Berrío, L. E., & Charry, R. E. (2010). Origen, taxonomía y morfología de la planta de arroz (Oryza sativa L.). In V. Degiovanni, C. P. Martínez, & F. Motta (Eds.), Producción eco-eficiente del arroz en América Latina (pp. 35-59). Centro Internacional de Agricultura Tropical.
Dekak, A., Chabi, R., Menasria, T., & Benhizia, Y. (2018). Phenotypic characterization of rhizobia nodulating legumes Genista microcephala and Argyrolobium uniflorum growing under arid conditions. Journal of Advanced Research, 14, 35-42. https://doi.org/10.1016/j.jare.2018.06.001
FAO. (2019). Food outlook: biannual report on global food markets. Food and Agriculture Organization of the United Nations. http://www.fao.org/3/CA6911EN/CA6911EN.pdf
Flores-Félix, J. D., Menéndez, E., Rivera, L. P., Marcos-García, M., Martínez-Hidalgo, P., Mateos, P. F., Martínez-Molina, E., Velázquez, M. D. L. E., García-Fraile, P., & Rivas, R. (2013). Use of Rhizobium leguminosarum as a potential biofertil-izer for Lactuca sativa and Daucus carota crops. Journal of Plant Nutrition and Soil Science, 176(6), 876-882. https://doi.org/10.1002/jpln.201300116
Franzini, V. I., Azcón, R., Ruiz-Lozano, J. M., & Aroca, R. (2019). Rhizobial symbiosis modifies root hydraulic properties in bean plants under non-stressed and salinity-stressed conditions. Planta, 249, 1207-1215. https://doi.org/10.1007/s00425-018-03076-0
Galán, A. I. (2017, March 28). Mayor producción de semillas para asegurar el programa de alimentos en Cuba. Ministerio de la Agricultura de Cuba. https://www.minag.gob.cu/node/167
García-Fraile, P., Carro, L., Robledo, M., Ramírez-Bahena, M. H., Flores-Félix, J. D., Fernández, M. T., Mateos, P. F., Rivas, R., Igual, J. M., Martínez-Molina, E., Peix, A., & Velázquez, E. (2012). Rhizobium promotes non-legumes growth and quality in several production steps: towards a biofertilization of edible raw vegetables healthy for humans. PLOS One, 7(5), Article e38122. https://doi.org/10.1371/journal.pone.0038122
Geddes, B. A., González, J. E., & Oresnik, I. J. (2014). Exopolysac-charide production in response to medium acidification is correlated with an increase in competition for nodule occupancy. Molecular Plant-Microbe Interactions, 27(12), 1307-1317. https://doi.org/10.0.4.70/MPMI-06-14-0168-R
Gopalakrishnan, S., Sathya, A., Vijayabharathi, R., Varshney, R. K., Gowda, C. L. L., & Krishnamurthy, L. (2015). Plant growth promoting rhizobia: challenges and opportunities. 3 Biotech, 5, 355-377. https://doi.org/10.1007/s13205-014-0241-x
Goulding, K. W. T. (2016). Soil acidification and the importance of liming agricultural soils with particular reference to the United Kingdom. Soil Use and Management, 32(3), 390-399. https://doi.org/10.1111/sum.12270
Gusain, Y. S., & Sharma, A. K. (2019). PGPRs inoculations enhances the grain yield and grain nutrient content in four cultivars of rice (Oryza sativa L.) under field condition. Journal of Pharmacognosy and Phytochemistry, 8(1), 1865-1870.
Hahn, L., de Sá, E. L. S., Osório Filho, B. D., Machado, R. G., Damasceno, R. G., & Giongo, A. (2016). Rhizobial inoculation, alone or coinoculated with Azospirillum brasilense, promotes growth of wetland rice. Revista Brasileira de Ciência do Solo, 40, Article e0160006. https://doi.org/10.1590/18069657rbcs20160006
Hawkins, J. P., Geddes, B. A., & Oresnik, I. J. (2017). Succinoglycan production contributes to acidic pH tolerance in Sinorhizobium meliloti Rm1021. Molecular Plant- Microbe Interactions, 30(12), 1009-1019. https://doi.org/10.1094/MPMI-07-17-0176-R
Hernández Forte, I., & Nápoles García, M. C. (2017). Rizobios residentes en la rizosfera de plantas de arroz (Oryza sativa L.) cultivar INCA LP-5. Cultivos Tropicales, 38(1), 39-49.
Hernández Forte, I., & Nápoles García, M. C. (2019). Rhizobia promote rice (Oryza sativa L.) growth: first evidence in Cuba. In D. Zúñiga, F. González, & E. Ormeño (Eds.), Microbial probiotics for agricultural systems: sustainability in plant and crop protection (pp. 155-168). Springer Nature. https://doi.org/10.1007/978-3-030-17597-9_10
Hernández Jiménez, A., Pérez Jiménez, J. M., Bosch Infante, D., & Castro Speck, N. (2015). Clasificación de los suelos de Cuba. Instituto Nacional de Ciencias Agrícolas.
Jiang, H., Wang, T., Chi, X., Wang, M., Chen, N., Chen, M., Pan, L., & Qi, P. (2020). Isolation and characterization of halotolerant phosphate solubilizing bacteria naturally colonizing the peanut rhizosphere in salt-affected soil. Geomicrobiology Journal, 37(2), 110-118. https://doi.org/10.1080/01490451.2019.1666195
Kajic, S., Hulak, N., & Sikora, S. (2016). Environmental stress response and adaptation mechanisms in rhizobia. Agriculturae Conspectus Scientificus, 81(1), 15-19.
Koskey, G., Mburu, S. W., Kimiti, J. M., Ombori, O., Maingi, J. M., & Njeru, E. M. (2018). Genetic characterization and diversity of Rhizobium isolated from root nodules of mid-altitude climbing bean (Phaseolus vulgaris L.) varieties. Frontiers in Microbiology, 9, Article 968. https://doi.org/10.3389/fmicb.2018.00968
Lamz Piedra, A., & González Cepero, M. C. (2013). La salinidad como problema en la agricultura: la mejora vegetal una solución inmediata. Cultivos Tropicales, 34(4), 31-42.
Lemes dos Santos, F., Bonilha da Silva, F., Saccol de Sá, E. L., Vian, A. L., Westphal Muniz, A., & Nunes dos Santos, R. (2019). Inoculation and co-inoculation of growth promoting rhizo-bacteria in irrigated rice plants. Revista Brasileira de Ciências Agrárias, 14(3), Article e5665.
Leyva, A., Quintana, A., Sánchez, M., Rodríguez, E. N., Cremata, J., & Sánchez, J. C. (2008). Rapid and sensitive anthrone-sulfuric acid assay in microplate format to quantify carbohydrate in biopharmaceutical products: method development and validation. Biologicals, 36(2), 134-141. https://doi.org/10.1016/j.biologicals.2007.09.001
Manet, L., Boyomo, O., Ngonkeu, E. L. M., Begoudé, A. D. B., & Sarr, P. S. (2016). Diversity and dynamics of rhizobial populations in acidic soils with aluminum and manganese toxicities in forest zones. International Journal of Agricultural Research, Innovation and Technology, 6(2), 12-23. https://doi.org/10.3329/ijarit.v6i2.31700
Mesa, D. (2003). Obtención de plantas resistentes a la salinidad para los suelos salinos cubanos. Revista Cubana de Ciencia Agrícola, 37(3), 217-226.
Ministerio de la Agricultura. (2014). Instructivo técnico del cultivo del arroz. Agencia de Cooperación Internacional del Japón, Instituto de Investigaciones de Granos.
Nohwar, N., Khandare, R. V., & Desai, N. S. (2019). Isolation and characterization of salinity tolerant nitrogen fixing bacteria from Sesbania sesban (L) root nodules. Biocatalysis and Agricultural Biotechnology, 21, Article 101325. https://doi.org/10.1016/j.bcab.2019.101325
Numan, M., Bashir, S., Khan, Y., Mumtaz, R., Shinwari, Z. K., Khan, A. L., Khan, A., & AL-Harrasi, A. (2018). Plant growth promoting bacteria as an alternative strategy for salt tolerance in plants: a review. Microbiological Research, 209, 21-32. https://doi.org/10.1016/j.micres.2018.02.003
Osorio Filho, B. D., Binz, A., Lima, R. F., Giongo, A., & Saccol de Sá, E. L. (2016). Promoção de crescimento de arroz por rizóbios em diferentes níveis de adubação nitrogenada. Ciência Rural, 46(3), 478-485. https://doi.org/10.1590/0103-8478cr20141066
Pádua Oliveira, D., Alves de Figueiredo, M., Lima Soares, B., Sti-vanin Teixeira, O. H., Dias Martins, F. A., Rufini, M., Peixoto Chain, C., Pereira Reis, R., Ramalho de Morais, A., de Souza Moreira, F. M., & Bastos de Andrade, M. J. (2017). Acid tolerant Rhizobium strains contribute to increasing the yield and profitability of common bean in tropical soils. Journal of Soil Science and Plant Nutrition, 17(4), 922-934. https://doi.org/10.4067/S0718-95162017000400007
Paneque Pérez, V. M., Calaña Naranjo, J. M., Calderón Valdés, M., Borges Benitez, Y., Hernández García, T. C., & Caruncho Contreras, M. (2010). Manual de técnicas analíticas para análisis de suelo, foliar, abonos orgánicos y fertilizantes químicos (1st ed.). Ediciones INCA.
Pérez-Pérez, R., Oudot, M., Serrano, L., Hernández, I., Nápoles, M. C., Sosa, D., & Pérez-Martínez, S. (2019). Rhizospheric rhizo-bia identification in maize (Zea mays L.) plants. Agronomía Colombiana, 37(3), 255-262. https://doi.org/10.15446/agron.colomb.v37n3.80189
Plá, C. L., & Cobos-Porras, L. (2015). Salinity: physiological impacts on legume nitrogen fixation. In S. Sulieman, & L. Tran (Eds.), Legume nitrogen fixation in a changing environment (pp. 35-65). Springer International Publishing. https://doi.org/10.1007/978-3-319-06212-9_3
Praveen Biradar, B. J., & Santhosh, G. P. (2018). Cell protectants, adjuvants, surfactant and preservative and their role in increasing the shelf life of liquid inoculant formulations of Pseudomonas fluorescens. International Journal of Pure and Applied Bioscience, 6(4), 116-122. https://doi.org/10.18782/2320-7051.6821
Saber, T., & Qader Khursheed, M. (2020). Improvement of wheat quality and soil fertility by integrates chemical fertilizer with rhizobial bacteria. Zanco Journal of Pure and Applied Sciences, 32(2), 178-191. https://doi.org/10.21271/ZJPAS.32.2.19
Sethi, D., Mohanty, S., & Pattanayak, S. K. (2019). Acid and salt tolerance behavior of Rhizobium isolates and their effect on microbial diversity in the rhizosphere of redgram (Cajanus cajan L.). Indian Journal of Biochemistry and Biophysics, 56, 245-252.
Shahid, S. A., Zaman, M., & Heng, L. (2018). Soil salinity: historical perspectives and a world overview of the problem. In S. A. Shahid, M. Zaman, & L. Heng (Eds.), Guideline for salinity assessment, mitigation and adaptation using nuclear and related techniques (pp. 43-53). Springer Open. https://doi.org/10.1007/978-3-319-96190-3_2
Shao, H., Chu, L., Lu, H., Qi, W., Chen, X., Liu, J., Kuang, S., Tang, B. , & Wong, V. (2019). Towards sustainable agriculture for the salt-affected soil. Land Degradation Development, 30(5), 574-579. https://doi.org/10.1002/ldr.3218
Singh, R., Malik, N., & Singh, S. (2013). Impact of rhizobial inoculation and nitrogen utilization in plant growth promotion of maize (Zea mays L.). Nusantara Bioscience, 5(1), 8-14. https://doi.org/10.13057/nusbiosci/n050102
Solaiman, A. R. M., Hossain, G. M. A., & Mia, M. A. B. (2011). Effect of Rhizobium on growth and biomass production of rice. Bangladesh Journal of Microbiology, 28(2), 64-68.
Sun, S. S. M. (1994). Methods in plant molecular biology and agricultural biotechnology; a laboratory training manual (1st ed.). Asian Vegetable Research and Development Center.
Taiz, L., Zeiger, E., Moller, I. M., & Murphy, A. (2015). Plant physiology and development (6th ed.). Sinauer Associates.
Tan, K. Z., Radziah, O., Halimi, M. S., Khairuddin, A. R., & Shamsuddin, Z. H. (2015). Assessment of plant growth-promoting rhizobacteria (PGPR) and rhizobia as multi-strain biofertilizer on growth and N2 fixation of rice plant. Australian Journal of Crop Science, 9(12), 1257-1264.
Tewari, S., & Sharma, S. (2020). Rhizobial exopolysaccharides as supplement for enhancing nodulation and growth attributes of Cajanus cajan under multi-stress conditions: a study from lab to field. Soil and Tillage Research, 198, Article 104545. https://doi.org/10.1016/j.still.2019.104545
Toledo, M. (2016). Manejo de suelos ácidos de las zonas altas de Honduras: conceptos y métodos (1st ed.). Instituto Interamericano de Cooperación para la Agricultura.
Tullio, L. D., Gomes, D. F., Silva, L. P., Hungria, M., & da Silva Batista, J. S. (2019). Proteomic analysis of Rhizobium freirei PRF 81T reveals the key role of central metabolic pathways in acid tolerance. Applied Soil Ecology, 135, 98-103. https://doi.org/10.1016/j.apsoil.2018.11.014
Vincent, J. M. (1970). A manual for the practical study of root-nodule bacteria (1st ed.). Blackwell Scientific Publications.
Wang, S., Li, C., Copeland, L., Niu, Q., & Wang, S. (2015). Starch retrogradation: a comprehensive review. Comprehensive Reviews in Food Science and Food Safety, 14(5), 568-585. https://doi.org/10.1m/1541-4337.12143
Wu, Q., Peng, X., Yang, M., Zhang, W., Dazzo, F. B., Uphoff, N., Jing, Y., & Shen, S. (2018). Rhizobia promote the growth of rice shoots by targeting cell signaling, division and expansion. Plant Molecular Biology, 97, 507-523. https://doi.org/10.1007/s11103-018-0756-3
Yanni, Y. G., & Dazzo, F. B. (2010). Enhancement of rice production using endophytic strains of Rhizobium leguminosarum bv. trifolii in extensive field inoculation trials within the Egypt Nile delta. Plant and Soil, 336, 129-142. https://doi.org/10.1007/s11104-010-0454-7
Yanni, Y. G., & Dazzo, F. B. (2015). Occurrence and ecophysiology of the natural endophytic Rhizobium-rice association and translational assessment of its biofertilizer performance within the Egypt Nile delta. In F. J. de Bruijn (Ed.), Biological nitrogen fixation (pp. 1125-1142). John Wiley & Sons, Inc. https://doi.org/10.1002/9781119053095.ch111
Yanni, Y., Rizk, R. Y., Abd El-Fattah, F. K., Squartini, A., Corich, V., Giacomini, A., de Bruijn, F., Rademaker, J., Maya-Flores, J., Ostrom, P., Vega-Hernandez, M., Hollingsworth, R. I., Martínez-Molina, E., Mateos, P., Velázquez, E., Wopereis, J., Triplett, E., Umali-García, M., Anarna, J. A., Rolfe, B. G., Ladha, J. K., Hill, J., Mujoo, R., Ng, P. K., & Dazzo, F. B. (2001). The beneficial plant growth-promoting association of Rhizobium legumino-sarum bv. trifolii with rice roots. Australian Journal of Plant Physiology, 28(9), 845-870. https://doi.org/10.1071/PP01069
Yanni, Y., Zidan, M., Dazzo, F., Rizk, R., Mehesen, A., Abdelfattah, F., & Elsadany, A. (2016). Enhanced symbiotic performance and productivity of drought stressed common bean after inoculation with tolerant native rhizobia in extensive fields. Agriculture Ecosystems and Environment, 232, 119-128. https://doi.org/10.1016/j.agee.2016.07.006
Zafar, M., Ahmed, N., Mustafa, G., Zahir, Z. A., & Simms, E. L. (2017). Molecular and biochemical characterization of rhizobia from chickpea (Cicer arietinum). Pakistan Journal of Agricultural Sciences, 54(2), 373-381. https://doi.org/10.21162/PAKJAS/17.5874
Notes
Author notes
* Corresponding author: riny@inca.edu.cu