Economy and rural development
Contribution of community-based companies to sovereignty and food security in the Central Highlands of Ecuador
Contribución de las empresas comunitarias a la soberanía y seguridad alimentaria en la Sierra Central del Ecuador
Contribution of community-based companies to sovereignty and food security in the Central Highlands of Ecuador
Agronomía Colombiana, vol. 41, no. 2, p. 1, 2023
Universidad Nacional de Colombia, Facultad de Agronomía
Received: 20 December 2022
Accepted: 01 May 2023
ABSTRACT: Popular and solidarity economy (PSE) organizations number around 5,280 throughout Ecuador, with the participation of 153,390 registered members. However, only 1.02% of these companies are community-based and operate in the food production and processing sector. This research aimed to determine the contribution of community-based companies (CBCs) to food sovereignty in the province of Tungurahua, using a mixed methodology including the use of interviews and surveys. The qualitative analysis integrated data on the features of this sector to observe their relationship with social, environmental, and economic dimensions using the RQDA package in R Studio. The results show that CBCs contribute to food sovereignty by adding value to locally produced products relevant to local traditions and culture. The social and environmental contributions of CBCs play a part in rural development. Thus, the promotion of CBCs in food production represents a mechanism through which to strengthen food sovereignty and preserve food production relevant to the local culture in these areas.
Key words: Community participation, sustainable development, RQDA, environment and territory.
RESUMEN: Las organizaciones de la economía popular y solidaria suman un total de 5,280 en todo el Ecuador, con una participación de 153,390 miembros que las conforman. Sin embargo, sólo el 1.02% es comunitario para el sector de la producción y transformación de alimentos. El propósito de este trabajo se centró en establecer la contribución a la soberanía alimentaria de las empresas de base comunitaria (EBC). Esta investigación siguió una metodología mixta y utilizó la entrevista y la encuesta como instrumentos de investigación para un grupo de EBC, relacionados con la producción de alimentos en la provincia de Tungurahua. El análisis incluyó variables que describen este sector, además de variables para observar su relación con las dimensiones social, ambiental y económica a través del paquete RQDA de R Studio. Los resultados mostraron que las EBC contribuyen a la soberanía alimentaria ya que se enfocan en dar valor agregado a productos que se producen localmente y que están relacionados con las tradiciones y la cultura de las comunidades. Así, también se incorporan componentes de contribución social y ambiental, que forman parte del desarrollo rural. Esto concluye que la promoción de las EBC para la producción de alimentos representa un mecanismo para fortalecer la soberanía alimentaria y preservar la producción de alimentos apegados a la cultura de los territorios.
Palabras clave: Participación comunitaria, desarrollo sostenible, RQDA, medio ambiente y territorio.
Introduction
Ecuador's favorable agroclimatic conditions have supported its agriculture production. A major part of this production is based on primary products. The supply, however, has not reduced unequal access and, in the period after the CO-VID-19 pandemic, has increased food insecurity by 12% from moderate to severe. The observed increase in poverty affects more than 41% of the rural population (INEC, 2021) and reached 60.1% in 2021 (Latin American Center for Rural Development, 2021). The average income of rural households was about USD 559 per month in 2021, while urban households made USD 896 per month (Banco Central del Ecuador, 2022). An analysis of urban-rural differences in the highlands of Ecuador has indicated a need for public policies that promote productive activities in the rural sector, focusing on strengthening organizational and community aspects at the regional level (North & Cameron, 2008).
The popular and social economy is an alternative to the traditional company production model. Furthermore, it is a practice where small producers constitute a company as partners and participate with the same contribution of inputs. Also, the political reform in Ecuador of 2008 introduced the framework for boosting a popular and solidarity economy (PSE). Under this reform, organizations had the institutional support to include public policies to the local socio-economic development that contribute to sovereignty and the food security of consumers. Among these are the elimination of limitations associated with access to resources such as information, credit, and technological inputs, which hamper their competitiveness within the global marketplace. The formulation and implementation of such policies can serve to bolster the resilience and competitiveness of these systems, making them more appealing and lucrative for all stakeholders involved. Additionally, associative practices -the strategic fostering of relationships among diverse entities such as public and private institutions, commercial sectors, and communities - have been identified as powerful catalysts for economic growth and regional social development (Ranaboldo & Arosio, 2016).
Locally, food sovereignty is recognized as a cultural nexus with the production and consumption of food, alongside the principles of food security, recovering the collective right to natural resources. Some Andean crops contribute to food sovereignty, in which origin and traditions promote their production. Potatoes or maize represent a base of family food and are part of a model of household farming production characterized by diversification and mixed crops. Food security, in this study, analyzes the availability of nutritional and healthy food in a local area. Significantly, maintaining connections to traditional agricultural practices contributes to the preservation of the environment and resilience in the face of multidimensional changes in the neoliberal economy (Resico, 2011).
Part of the new structure developed since the popular social economy is a Community-based Company (CBC) which is defined as a group of people who have a background in community practices. Likewise, associative promotions with an economic purpose are called community enterprises, social enterprises, or popular and or solidarity economy entities (PSE) (Camacho et al., 2005). Community-based companies (CBCs) participate in food security and sovereignty to promote the local production of crops associated with the cultural heritage of the Andean zone.
Moreover, CBC practices respond to the problem of declining incomes for small farmers and the gradual loss of cultivated areas with products related to the culture and customs of rural territories (Mota Botello et al., 2018). The self-organization of producers into networks that generate added value represents an opportunity to maintain traditions while bringing forth positive social, environmental, and economic impacts.
The common thread in these definitions is the involvement of multiple actors in the market economy to further local development (Giovannini, 2016). The main distinctive features of CBCs are their emphasis on solidarity, reciprocity, and cooperation (Superintendencia de Economía Popular y Solidaria, 2018).
According to Evert-Jan (2017), CBCs encompass employment, inclusion and entrepreneurship, with the participation of the community of family members of rural territories. This creates an opportunity for the development of rural areas, in that CBCs emerge from a local context, through groups or communities that implement business ideas that generate added value. Thus, the sustainable use of local resources is harnessed in support of social innovation, finding solutions to environmental problems, job creation, and support for knowledge, skills, and the supply of goods and services (Marín Pérez, 2012).
According to the United Nations Environment Program (UNEP), the adoption and application of sustainable food value chain systems can serve as effective mechanisms for breaking the cycle of poverty by offering a comprehensive approach to socioeconomic development. Nonetheless, their sustainability and effectiveness are often encumbered by an array of challenges and complexities. The success of these value chain systems is inextricably tied to the cooperation between various stakeholders involved in the chain. This cooperative effort must span the entire process, from primary production through to final consumption. It is critical, therefore, that all actors within the value chain collaborate effectively, ensuring the system's robustness and resilience. Moreover, there is an acute need for well-designed public policy interventions aimed at enhancing collective bargaining power and competency. By promoting interconnectivity and cooperation, these practices enable the sharing of resources and knowledge, leading to the evolution of more efficient and sustainable food value chain systems (Quiroz et al., 2021).
Food sovereignty involves communities applying their policies regarding the sustainable production and accessibility of nutritious food products (Medina Rey et al., 2021). In this context, food is a basic need that displays a relationship with the cultural identity of communities, as reflected in the origins of products and the people who provide them. The promotion of food sovereignty practices incorporates direct forms of producer-consumer relationships to strengthen rural development. Thus, there is an emphasis on short marketing circuits that focus on geographical proximity and enhance the social capital of communities (Ranaboldo & Arosio, 2016). These mechanisms play a role in food security and sovereignty, a vital tool for physical, social, and economic access to safe and nutritious food at all times (FAO, 2011).
Food CBCs operate through relationships that contribute to food sovereignty, promoting regional development, increasing the employment of both men and women, and absorbing local production, with positive consequences for the economy and environment. They are involved in the entire food production supply chain: production, transformation, distribution, marketing, and consumption, and are, thus, a key factor in supporting food sovereignty and security (Nusantoro, 2018). They also contribute to health, nutrition, socioeconomic development, equity, and the protection of the environment, since they are directly involved in the implementation of sustainable food systems and provide tangible benefits for the population (Soares et al., 2020). This contrasts with the food industry's focus on increasing production yields, extending the shelf life of food, and incorporating food additives for the transformation and production of processed and ultra-processed food products (Floros et al., 2010).
Finally, a fundamental divergence exists between industrial models and community-based food production. Firstly, CBCs operate through an integrated approach, actively participating in all aspects of the food production supply chain. This ranges from the initial stages of production and transformation to distribution, marketing, and ultimately consumption (Nusantoro, 2018). This analysis determines that a key characteristic of these enterprises is their commitment to food sovereignty, which they achieve by absorbing local production and fostering regional development. In addition, they also enhance employment opportunities for both men and women, leading to positive economic consequences.
The multifaceted involvement of CBCs in the food supply chain also allows them to actively contribute to health, nutrition, socioeconomic development, equity, and environmental protection. This is primarily achieved by implementing sustainable food systems, which inherently yield tangible benefits for the population at large (Soares et al., 2020). In essence, the focus of CBCs is not only on food production but also on the holistic betterment of the community, ensuring food security and making a significant contribution to overall societal well-being.
On the other hand, the industrial model of food production has a distinct focus. This model emphasizes increasing production yields and extending the shelf life of food, often through the use of food additives (Floros et al., 2010). These processes typically result in the production of processed and ultra-processed food products, which can potentially have adverse health impacts eventually. Consequently, while the industrial model may contribute to food availability, it may not necessarily enhance food sovereignty or security, and its impact on overall societal well-being may be less balanced.
In the context of the Central Highlands of Ecuador, this study examines the contributions of CBCs to food sovereignty, using data on food-producing CBCs and local impact indicators. The contrasting approaches between CBCs and industrial food production underscore the need for more sustainable and community-oriented methods of food production that directly contribute to societal well-being.
Materials and methods
Data collection
This study was conducted in December 2021 in the province of Tungurahua, in the Central Highlands of Ecuador. A non-experimental design with a mixed methodological approach using both descriptive and correlational analyses was used to understand the role of community enterprises in terms of their characteristics, contributions, and processes, with the primary data collected through an interview and a questionnaire.
The interview, which aimed to gather information on the contexts of operation and the characteristics of CBCs, was conducted at the beginning of the study and was used to inform the design of the questionnaire, which consisted of open-ended questions to gather information on the following aspects of operation: type of raw materials used, number of workers, target market, date of incorporation, and location (Tab. 1). The interview was carried out with the manager of one company.

Surveys were done on 21 CBCs using the database from the National Census from the Superintendencia de Economía Popular y Solidaria from Ecuador. The questionnaire had 24 semi-structured open and closed questions. A section regarding the classification of food products and their contribution to food security was designed using PAHO, World Health Organization (WHO), and FAO documents focusing on food classification and its health implications (OMS & OPS, 2015; Coronel Carbo & Marzo Páez, 2017). Hence, to analyze the contribution of CBCs to food sovereignty, the questionnaire was based on "The Six Pillars of Food Sovereignty" by Food Secure Canada (Food Secure Canada, 2020). The validation of questions was undertaken by experts, who contributed to their final formulation. The collection of information was done online, due to the restrictions caused by the COVID-19 pandemic.
Population and sample
For the determination of the population, a database was obtained from the Superintendent of Popular and Solidarity Economy in 2021, from which we extracted 275 popular and solidarity economy organizations focusing on agricultural, artisanal, industrial, and food production (Superintendencia de Economía Popular y Solidaria, 2021). Our sample was selected from this population of organizations using non-probabilistic convenience selection.
More specifically, only those community companies engaged in the production of value-added food products were selected. Twenty-one surveys were applied, with one interview at the beginning of the study to formulate and validate the questionnaire. Table 1 lists the twenty-one community-based enterprises in our sample.
Table 1 provides a dataset that serves as a comprehensive registry of industrial and agricultural organizations, primarily located within the Tungurahua province of Ecuador. Each entry in the dataset corresponds to an organization and provides a multi-faceted characterization of the entity in question.
The first aspect of characterization is the organization name, a vital identifier that often also offers a glimpse into the organization's operations or objectives.
The next aspect is location, which, given the rural nature of the regions in the dataset (Tisaleo, Pelileo, Quero, Am-bato, and Píllaro), could have implications for the type of agricultural or industrial activities the organizations are engaged in, or the markets they have access to.
The third aspect is the number of years since the organization constitution. This information serves as a proxy for the organization stability, its ability to withstand market dynamics, and its accumulated experience within its field of operation.
The dataset also provides insights into the financial backbone of the organizations as indicated by their economic capital expressed in USD. This refers to the total financial assets, net worth, or operational budget of each entity, which would, in turn, influence their ability to invest and expand.
The demographic or relational constitution of the membership of each organization is also included, with categories such as "Family Members," "Community Members," "Friends", or "Women." These affiliations could significantly influence the organization governance structure, decision-making process, and the alignment of its objectives.
Also included is the number of employees, providing an estimate of each organization size, the scope of its operations, and its contribution to local employment.
Lastly, the type of production undertaken by each organization is mentioned, segmented into minimally processed or raw goods, semi-processed goods, and fully processed goods. This classification not only sheds light on the kind of products each organization deals with but also points to the complexity and sophistication of the organization operations, its potential markets, and likely sources of revenue.
Data analysis
The data from surveys that provided qualitative information was processed using a Likert scale. Each response was given a numerical value and then quantified. This operation is frequently used in other similar studies ( Gutiérrez-Pérez et al., 2013; Akhtar et al., 2018) . Hence, information was analyzed with descriptive statistics. In the second stage, the database was administered using Excel. To understand the connection between a CBCs business and the contribution to food sovereignty, a qualitative analysis was applied and correlation analyses were conducted using R and R Studio (Mellado et al., 2020) (Tab. 2). Text analysis was completed using the RQDA package (Du§a, 2019).

In Table 2, the variables analyzed are presented. The social structure, information, and raw material are highlighted as characteristics of CBCs. The definition of these variables came from the interview where the experts developed the importance of the role of CBCs and the consumption of local raw material, the origin of a social organization, and the problems for obtaining technology and equipment.
Results
The results obtained in this research show that community companies in Tungurahua participate in food production through sustainable food system economic factors as well as financial development of small groups. The results highlight the added-value to local production, a direct and indirect benefit to local farmers. Additionally, consumers obtain healthy and nutritious food, thus contributing to food security and sovereignty.
Figure 1 shows the reasons these organizations were formed, which mainly involve the expansion of entrepre-neurship (50%) and the promotion of added value to local products (45%). Another main reason was the better commercial price received for products and, thus, generating a fair and direct income for producers, whose resources represent a benefit for organizations and the community (20%). Caring for the environment is also an important purpose of the CBCs in our sample, in addition to obtaining aid from public institutions and creating opportunities to access credit (10%).
We found community companies operating in five of the nine cantons of the province of Tungurahua. Most of the community enterprises are located in the cantons of Ambato, Tisaleo, and Pillaro, and to a lesser extent in the cantons of Pelileo and Quero. Organizations are mostly made up of community residents (70% of the CBCs), reflecting the empowerment of communities through such companies. The participation of family members, including women (30% of the CBCs) as managers, reflects the family structure. There appears to be no concentration of CBCs in areas of high population density, contrary to the distribution of SMEs and food industries (Zapatta & Isc, 2010).
Analysis of administration, production, and marketing processes

Figure 2 shows trends regarding factors of production, with 85% of community enterprises emphasizing that capital is one of the essential components for the acquisition of all types of assets needed to conduct productive activities.
Forty-five percent of CBCs companies stress the importance of technology for driving innovation, improving product quality, and lowering production costs. Likewise, 45% consider access to credit as a key resource to continue operations, while 15% consider land to be an indispensable resource in terms of food production from agricultural activities. Depending on the type of production and demand for the food products produced, the CBCs in our sample are made up of between 1 and 37 workers. In summary, capital was most commonly mentioned as being vital, compared to the other production factors.
Table 3 shows various difficulties faced by community-based companies in the processes of administration, production, and marketing. In terms of management, 36% of companies report facing obstacles related to leadership, organization, and knowledge. Meanwhile, production or processing presents difficulties for 20% of the CBCs in our sample. These processes are affected by a lack of resources to obtain raw materials and equipment, among others, as well as the situation caused by the COVID-19 pandemic, which caused production to become unstable and even paralyzed.


Marketing appears to present greater difficulties, with 44% of companies reporting issues in this area. The main problems faced are a large supply of related products, a lack of planning or strategies, and products without any identification or brand. Social and economic inclusion is a large way to successful due to the capital constraint. This limitation has been solved the support of national NGOs involved in the territory (i.e., Maquita or Heifer) and international cooperation.
Table 4 details the variety of food products produced by the CBCs in our sample and the raw materials used to produce them. The provenance of raw materials used by the organizations in our sample reflects their focus on the local economy. More specifically, 68% of community companies use raw materials from their local area, taking advantage of local crops for the welfare of the inhabitants of the communities. Hence, a 20% include the use of raw materials from a different province and 8% from a different territory. It should be noted that some of the community companies use the agroecology food production mode, bringing benefits to the population in terms of health and food sovereignty. Thus, the contribution of CBCs to food security and sovereignty is evident.

Table 4 shows the raw materials and products with a relationship to food sovereignty. The information shows that vegetables and animals are the most common primary product used for CBCs companies. In general, most of these raw materials are grown in the communities where community enterprises are located. The whole province of Tungurahua is characterized by high levels of agricultural activity, particularly the production of domestic species, and products such as milk, fruits, and vegetables that have high nutritional value for human consumption. Products of marine origin come from coastal provinces. All the raw materials indicated are processed to produce food products such as dairy, meat, cereals, preserves, condiments, oil, snacks, and beverages. Certainly, most products contribute favorably to nutrition, since their raw materials are produced ecologically and do not contain components that affect the health of consumers, such as substances from chemical products.
This dataset underscores the significant role popular and social economic companies play in strengthening food sovereignty in Ecuador by fostering local supply chains and economic stability (FAO, 2014). By processing a diverse range of primary products into market-ready goods, these entities boost local self-sufficiency, insulating communities from external market volatilities (Altieri, 2009). The data indicates a strong emphasis on food safety and demonstrates a clear commitment to food sovereignty, reflecting the alignment with sustainable development goals. Moreover, the economic capital and employment data point towards these organization potentials to contribute to rural livelihoods, further embedding the principles of food sovereignty within the local economies (Holt-Giménez et al., 2011).
The findings in this study align with the principles of effective food handling and safety protocols widely acknowledged in scientific literature. Effective food safety management involves rigorous controls, personnel hygiene, prevention of contamination in production areas, adequate cleaning and disinfection practices, and appropriate use of protective equipment (World Health Organization, 2006). Indeed, a study by Park et al. (2010) found that compliance with these protocols played a pivotal role in enhancing food safety and thereby contributing to food security.
The data presented also correlate food safety practices to food sovereignty, underscoring the importance of safe and responsible food production at the local level for self-sufficiency (Windfuhr & Jonsén, 2005). This view is reflected in the works of Claeys (2015), who argues that the ability to exercise control over local food systems and practices -a core principle of food sovereignty - is inherently tied to ensuring food safety standards.
Table 5 shows the level of production of processed food products in our sample. Added value is generated through processing for 77.8% of processed foods, followed by 16.7% of culinary ingredients and 5.5% of minimally processed foods. Our sample contained no community company focused on the production of ultra-processed foods, a benefit to consumers since consumption of these foods leads to chronic diseases. It was found that 83.3% of the food products produced by community companies contribute to food security, especially in terms of nutritional quality. Similarly, 100% of companies contribute to food sovereignty through practices that are beneficial in terms of environmental protection, local production, and food accessibility.

Table 6 presents the primary marketing strategies employed by CBCs. These strategies exhibit considerable heterogeneity and diversification, reflecting the dynamic nature of CBC practices. A key strategy employed by CBCs involves direct sales, which is the transfer of goods directly from producers to consumers. This mode of distribution facilitates personal engagement, supports local economies, and boosts food sovereignty by connecting consumers directly to the food production process.

Moreover, the CBCs actively participate in local entrepreneurship fairs, squares, markets, and other short marketing circuits, strengthening the local food system and enhancing the community's access to locally produced goods. These channels not only promote the fair trade of products but also generate valuable resources that directly benefit businesses and communities. By eliminating intermediaries, CBCs ensure a larger portion of the economic benefit stays within the local economy, boosting food sovereignty and self-sufficiency.
Likewise, marketing promotes better social relations between producers and consumers, who share information and have the desire to know details regarding the food products on offer, their benefits, and the production processes undergone by both the raw materials and the product itself. This then provides benefits for the producer through the generation of more income and for the consumer through the supply of healthy food.
Half of the companies in our sample (50%) also contribute to feeding the families of their own CBC members. Nevertheless, a large portion of the food products produced is destined for trade, reaching target markets of people of all ages.
The contribution of community enterprises to community development
Community enterprises generate positive impacts in terms of development in their communities, as detailed in Table 7. This is favorable for the inhabitants and therefore for the communities because rural areas are the most marginalized and tend to lack development opportunities.

Various social, economic, and environmental impacts are observed as a result of the improvement of opportunities for both men and women through trade, employment, and wealth creation. This involvement of inhabitants contributes to productive activities and their well-being overall. Community enterprises also show a sense of environmental responsibility in terms of the protection, conservation, and preservation of natural resources. Finally, their contribution to food sovereignty is evident in the extent of the production of food for self-consumption.
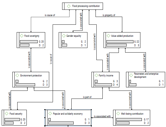
A text analysis showed that CBCs contribute to rural development, in terms of food security and sovereignty, and to social and environmental protection impacts, which generate added value in food production and processing (Fig. 3).
In Figure 3, each bar graph provides a specific amount of information about the fit of the proposed model, according to the variables observed.

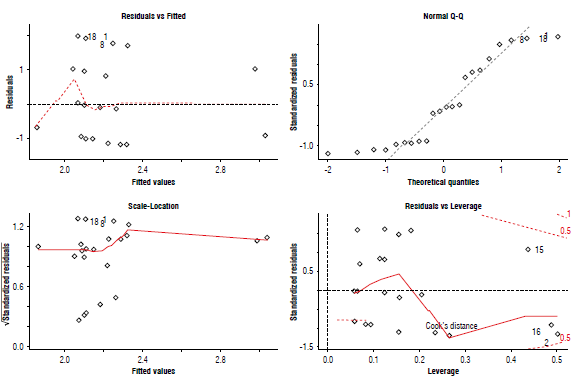
Figure 4 shows that the observed cases are distributed above the average of the residuals. In the Q-Qplot, the regression is expressed, reaching a slope greater than 1. From these diagnostic graphs, we can say that the model fits the assumption of homoscedasticity.

Discussion
Community enterprises represent an instrument for rural development. In Ecuador, progress in rural areas has been made through the promotion of agro-industrial enterprises and companies that provide opportunities and help address malnutrition, especially in Indigenous communities (Villafuerte & Represa, 2017). This is in line with Vázquez et al. (2018), who point out that social enterprises represent a social innovation that promotes entrepreneurship, while the added value improves the commercial value of products, benefiting stakeholders through the mechanisms of employment, sustainable exploitation of resources, and positive social and environmental impacts.
In the province of Tungurahua, Ecuador, the generation of added value by popular and solidarity economy (PSE) organizations made up of inhabitants is concentrated in communities in the cantons of Ambato, Tisaleo, Pillaro, Pelileo, and Quero. There is evidence of a specialization in products such as vegetable oil, snacks, dairy products, meat, cereals, beverages, and preserves, with 83.3% of food products contributing to food security. In addition, food security is ensured through the application of efficient management in terms of safety and hygiene measures that relate to the control, cleaning, and disinfection of equipment and the use of personal protective equipment, which is essential to avoid contamination during food processing.
Regarding the classification of food and beverages, there is a considerable production of processed food products (77.8%) consisting of dairy, beverages, preserves, and snacks. These products contribute to food security, provided that their consumption is moderate, due to their high content of salt, sugar, and fat, and that they are balanced in terms of macro- and micro-nutrients (FAO, 2013). Weaver et al. (2014) emphasize that both natural and processed foods contribute to food security by promoting the consumption of vital nutrients such as vitamins, minerals, and fiber. However, consumption of foods that contain excess sodium, sugars, and saturated fats must be limited. Minimally processed foods are 5.5% of total production. This category contributes significantly to food security since these products have not undergone extreme changes from their original state. No production of ultra-processed foods was observed; this is positive, as the nutritional composition of these is relatively unbalanced, which generates disadvantages for the health of consumers, including obesity (AESAN, 2020).
Based on the pillars of food sovereignty, which emphasize healthy food for all, the valorization of producers, direct marketing at fair prices, and positive impacts on nature (Food Secure Canada, 2012), this study has found that community companies contribute significantly to food sovereignty in the province of Tungurahua, Ecuador. By taking advantage of the use of raw materials from local areas, as well as agroecology, fair trade, a solidarity economy, direct marketing, care for the environment, and production of food for self-consumption, these enterprises provide sustainable development and improve the living conditions of the communities in which they operate.
Direct marketing between producer and consumer through different marketing channels, including entrepreneurship fairs and short marketing circuits, has advantages in terms of greater commercial prices for food products and positive impacts on the ecosystem by minimizing transport across long distances (ECLAC, 2014). Marketing channels allow CBCs to reach people of all ages and promote consumption habits that are beneficial for the health of the people of Tungurahua.
For the twenty-one community enterprises in our sample, capital was found to be a significant production factor (for 85% of enterprises), as capital is required to ensure competitiveness, security, and good performance (Kongtanajaruanun, 2017). Technology and access to credit were reported by 45% of the CBCs as being very important. A study conducted by García and Chávez (2020) obtained similar results when identifying the needs of 64 organizations in the Imbabura province (North of Ecuador). The results show that the main needs of organizations include sources of financing, implementation of technology, advice on business and marketing management, liquidity, and physical infrastructure. Undoubtedly, insufficient factors of production can cause many difficulties in terms of administrative processes, production, and marketing. There is evidence of cooperation with public institutions for economic resources, supplies, and machinery, as evidenced by Evert-Jan (2017), who found that social enterprises receive both financial and non-financial support such as machinery, training, and technology from governmental and non-governmental institutions. Wawire and Nafukho (2010) show that each person involved in a CBC fully fulfills their role through the implementation of strategies to generate and guarantee greater productivity in the productive processes, to propel the development of the community enterprise and the communities themselves.
Through their social, economic, and environmental contributions in the province of Tungurahua, companies generate positive impacts in terms of employment, trade, gender equality, decreased emigration, and care for the environment. As Ruiz (2015) points out, solidarity economy organizations promote the development of rural communities facing problems of poverty and marginalization, guaranteeing protection, equity, and well-being for community members.
Conclusions
The results suggest that the current trends in food production by CBCs are encouraging. Sustainable practices and production of foods that maintain a relationship with traditions and that are nutritionally adequate set a pattern for food production in the future. Although there are limitations in terms of the professionalization of CBCs, their organizational practices contribute to reducing food insecurity. In addition, the proliferation of by-products from Andean crops opens the door for new CBCs to be created in the future, thereby generating alternative economic channels for rural households.
Acknowledgments
The authors gratefully acknowledge support from the Technical University of Ambato (UTA) of Ecuador and, especially, from the Dirección de Investigación y Desarrollo DIDE.
Literature cited
AESAN. (2020). Impacto del consumo de alimentos "ultra-procesados" en la salud de los consumidores. https://www.aesan.gob.es/AECOSAN/docs/documentos/seguridad_alimentaria/evalu-acion_riesgos/informes_comite/ULTRAPROCESADOS.pdf
Akhtar, R., Afroz, R., Masud, M. M., Rahman, M., Khalid, H., & Duasa, J. B. (2018). Farmers' perceptions, awareness, attitudes, and adaptation behaviour towards climate change. Journal of the Asia Pacific Economy, 23(2), 246-262. https://doi.org/10.1080/13547860.2018.1442149
Altieri, M. A. (2009). Agroecology, small farms, and food sovereignty. Monthly Review, 61(3), Article 102. https://monthlyreview.org/2009/07/01/agroecology-small-farms-and-food-sovereignty/
Banco Central del Ecuador. (2022). Informe de la evolución de la economía ecuatoriana en 2021 y perspectivas 2022. Banco Central Del Ecuador. https://contenido.bce.fin.ec/documentos/Administracion/EvolEconEcu_2021pers2022.pdf
Camacho, P., Marlin, C., & Zambrano, C. (2005). Estudio regional sobre factores de éxito de empresas asociativas rurales. Ruralter. https://www.bantaba.ehu.eus/coop/files/view/Estudio%5fregional%5fde%5ffactores%5fde%5f%c3%a9xito%5fde%5fempresas%5fasociativas%2epdf?revision%5fid=66618&packag e%5fid=66603
Claeys, P. (2015). Food sovereignty and the recognition of new rights for peasants at the UN: a critical overview of La Via Campesinas rights claims over the last 20 years. Globalizations, 12(4), 452-465. https://doi.org/10.1080/14747731.2014.957929
Centro Latinoamericano para el Desarrollo Rural. (2021). La inseguridad alimentaria en el Ecuador, analizada por la óptica de la FAO y los hallazgos del proyecto Siembra Desarrollo. RIMISP. Centro Latinoamericano para el Desarrollo Rural. https://www.rimisp.org/noticia/la-inseguridad-alimentaria-en-el-ecuador-analizada-por-la-optica-de-la-fao-y-los-hallazgos-del-proyecto-siembra-desarrollo/
CEPAL. (2014). El Programa de alimentación escolar de Ecuador y la agricultura familiar: aprendizajes durante el proceso. La visión de las entidades convocantes. [Conference presentation]. Agricultura familiar y circuitos cortos: Nuevos esquemas de producción, comercialización y nutrición (p. 110). OPS. Santiago de Chile.
Coronel Carbo, J., & Marzo Páez, N. (2017). La promoción de salud para la creación de entornos saludables en América Latina y el Caribe. Medisan, 21(12), 3415-3423.
Crosson, P. (1986). Sustainable food production: interactions between natural resources, technology and institutions. Food Policy, 11(2), 143-156. https://doi.org/10.1016/0306-9192(86)90062-x
Duça, A. (2019). QCA with R. A comprehensive resource. Springer Cham. https://doi.org/10.1007/978-3-319-75668-4
Floros, J. D., Newsome, R., Fisher, W., Barbosa-Cánovas, G. V., Chen, H., Dunne, C. P., German, J. B., Hall, R. L., Heldman, D. R., Karwe, M. V., Knabel, S. J., Labuza, T. P., Lund, D. B., Newell-McGloughlin, M., Robinson, J. L., Sebranek, J. G., Shewfelt, R. L., Tracy, W. F., Weaver, C. M., & Ziegler, G. R. (2010). Feeding the world today and tomorrow: the importance of food science and technology. Comprehensive Reviews in Food Science and Food Safety, 9(5), 572-599. https://doi.org/10.1111/j.1541-4337.2010.00127.x
Food and Agriculture Organization - FAO. (2011). La seguridad alimentaria: información para la toma de decisiones. https://www.ipcinfo.org
Food and Agriculture Organization - FAO. (2013). El estado mundial de la agricultura y la alimentación. Food and Agriculture Organization. https://www.fao.org/publications/home/fao-flagship-publications/the-state-of-food-and-agriculture/es#:~:text=El%20estado%20mundial%20de%20la%20agricultura%20y%20la%20alimentaci%C3%B3n%20es,tecnolog%C3%ADas%20digitales%20en%20la%20agricultura
Food and Agriculture Organization - FAO. (2014). Strengthening sector policies for better food security and nutrition results: Food sovereignty. Policy Guidance Note, 11. https://www.fao.org/3/CA2281EN/ca2281en.pdf
Food Secure Canada. (2012). The six pillars of food sovereignty. Developed at Nyéléni 2007. https://nyeleni.org/DOWNLOADS/Nyelni_EN.pdf
Food Secure Canada. (2023, March 12). What is food sovereignty?https://foodsecurecanada.org/who-we-are/what-food-sovereignty
García Ibarra, V. J., & Chávez Rosero, J. R. (2020). Análisis de las necesidades de las organizaciones de la economía popular y solidaria de la zona 1. Sathiri: Sembrador 15(1), 36-50. https://doi.org/10.32645/13906925.929
Giovannini, M. (2016). Alternatives to development: the contribution of indigenous community enterprises in Chiapas. Journal of International Development, 28(7), 1138-1154. https://doi.org/10.1002/jid.3141
Gutiérrez-Pérez, C., Morales, H., & Limón-Aguirre, F. (2013). Valoraciones de calidad en alimentos orgánicos y de origen local entre consumidores de la red Comida Sana y Cercana en Chiapas. LiminaR: Estudios Sociales y Humanisticos 11(1), 104-117.
Holt-Giménez, E., Shattuck, A., Altieri, M., Herren, H., & Gliessman, S. (2012). We already grow enough food for 10 billion people... and still can't end hunger. Journal of Sustainable Agriculture, 36(6), 595-598. https://doi.org/10.1080/10440046.2012.695331
INEC. (2021). Encuesta nacional de empleo, desempleo y subempleo (Publication 29). Instituto Nacional de encuestas y Censos de Ecuador. https://www.ecuadorencifras.gob.ec/documentos/web-inec/EMPLEO/2021/Trimestre-enero-marzo-2021/Tri-mestral enero-marzo 2021_Mercado_Laboral.pdf
Kongtanajaruanun, R. (2017, January 11-13). Environmental factor analysis in marketing competition of food processing community enterprises in Chiang Mai Province. [Conference presentation]. ASAE 9th International Conference. AgEcon Search. https://ageconsearch.umn.edu/record/284826
Marín Pérez, J. A. (2012). Crecimiento y desarrollo de empresas comunitarias [Master dissertation, Instituto Politécnico Nacional]. Digital repository. https://www.repositoriodigital.ipn.mx/bitstream/123456789/17486/1/978-607-414-400-0.pdf
Medina Rey, J. M., Ortega Carpio, M. L., & Martínez Cousinou, G. (2021). ¿Seguridad alimentaria, soberanía alimentaria o derecho a la alimentación? Estado de la cuestión. Cuadernos de Desarrollo Rural, 18, 1-19. https://doi.org/10.11144/javeriana.cdr17.sasa
Mellado, B. H., Brandão, C., Peregrino, T. L., & dos Reis, F. J. C. (2020). Using Rqda in qualitative data analysis: a tool for researching chronic pelvic pain using thematic analysis. New Trends in Qualitative Research, 1, 153-170. https://doi.org/10.36367/ntqr.1.2020.153-170
Mota Botello, G., Mora Izquierdo, D., Gomez-Baggethun, E., & De Groot, R. (2018). La FAO y los 17 objetivos de desarrollo sostenible. Issues in Environmental Science and Technology, 2(14), 105-121.
North, L., & Cameron, J. (2008). Desarrollo rural y neoliberalismo. Quito: Corporación Editora Nacional.
Nusantoro, B. P. (2018). Food production: From farm to fork. In Md. Eaqub Ali, Nina Naquiah Ahmad Nizar (Eds.), Woodhead Publishing Series in Food Science, Technology and Nutrition, Preparation and Processing of Religious and Cultural Foods. (pp. 3-13). Woodhead Publishing. https://doi.org/10.1016/B978-0-08-101892-7.00001-8
OMS, & OPS. (2015). Alimentos y bebidas ultraprocesados en América Latina: tendencias, efecto sobre la obesidad e implicaciones para las políticas públicas. Departamento de Enfermedades no Transmisibles y Salud Mental. https://iris.paho.org/bitstream/handle/10665.2/7698/9789275318645_esp.pdf
Park, S. H., Kwak, T. K., & Chang, H. J. (2010). Evaluation of the food safety training for food handlers in restaurant operations. Nutrition Research and Practice, 4(1), 58-68. https://doi.org/10.4162/nrp.2010.4.1.58
Quak, E.-J. (2017). Actions between profit-making & aid: improving social entrepreneurship for food security. https://includeplat-form.net/publications/actions-between-profit-making-and-aid-improving-social-entrepreneurship/
Quiroz-Albán, G. M., Font-Aranda, M., & Sánchez-Briones, A. (2021) . Asociatividad un paradigma que fortalece el desarrollo sostenible. Polo del Conocimiento, 6(8), 220-241.
Ranaboldo, C., & Arosio, M. (2016). Circuitos cortos de comercialización: una mirada desde el enfoque territorial. Plataforma de Territorios y Paisajes Inclusivos Sostenibles FAO http://www.fao.org/in-action/territorios-inteligentes/articulos/colaboraciones/detalle/es/c/410218/
Resico, M. F. (2011). Introducción a la economía social de mercado (1st ed.). Edición latinoamericana. Konrad Adenauer Stiftung. https://www.kas.de/c/document_library/get_file?uuid=22412104-f255-886e-178f-8b32bf5bce06&groupId=252038
Ruiz Revelo, E. J. (2015). La economía social y solidaria como modelo de desarrollo emergente en el Ecuador [Undergraduate thesis, Pontificia Universidad Católica del Ecuador]. http://repositorio.puce.edu.ec/bitstream/handle/22000/10538/La economía social y solidaria como modelo de desarrollo emergente en el Ecuador - Emilia Ruiz.pdf?sequence=1
Soares, P., Almendra-Pegueros, R., Benítez-Brito, N., Fernández-Villa, T., Lozano-Lorca, M., Valera-Gran, D., & Navarrete-Muñoz, E. M. (2020). Sistemas alimentarios sostenibles para una alimentación saludable. Revista Española de Nutrición Humana y Dietética, 24(2), 87-89. https://doi.org/10.14306/renhyd.24.2.1058
Superintendencia de Economía Popular y Solidaria. (2018). Ley orgánica de la economía popular y solidaria y del sector financiero popular y solidario. Registro Oficial 444 de 10 -Mayo-2011. http://rfd.org.ec/repo/leyes3.pdf
Superintendencia de Economía Popular y Solidaria. (2021). Actualidad y cifras EPS - Diciembre 2021. https://www.seps.gob.ec/wp-content/uploads/Diciembre-2021.pdf
Vázquez Maguirre, M., Portales, L., & Velásquez Bellido, I. (2018). Indigenous social enterprises as drivers of sustainable development: insights from Mexico and Peru. Critical Sociology, 44(2), 323-340. https://doi.org/10.1177/0896920516688757
Villafuerte, J. S., & Represa, F. (2017). Seguridad alimentaria y cambio de matriz productiva en Ecuador: algunas reflexiones sobre la transición a un modelo más autosuficiente. Esbozos, (15), 77-86.
Wawire, N. H. W., & Nafukho, F. M. (2010). Factors affecting the management of women groups' micro and small enterprises in Kakamega District, Kenya. Journal of European Industrial Training, 34(2), 128-152. https://doi.org/10.1108/03090591011023989
Weaver, C. M., Dwyer, J., Fulgoni, V. L., King, J. C., Leveille, G. A., MacDonald, R. S., Ordovas, J., & Schnakenberg, D. (2014). Processed foods: contributions to nutrition. The American Journal of Clinical Nutrition, 99(6), 1525-1542. https://doi.org/10.3945/ajcn.114.089284
Windfuhr, M., & Jonsén, J. (2005). Food sovereignty: towards democracy in localized food systems. ITDG Publishing.
World Health Organization. (2006). Five keys to safer food manual. Department of Food Safety, Zoonoses, and Foodborne. https://apps.who.int/iris/bitstream/han-dle/10665/43546/9789241594639_eng.pdf
Zapatta, A., & Isch, E. (2010). Tierra y Agua: interrelaciones de un acceso inequitativo. Sistema de Investigación sobre la Problemática Agraria en el Ecuador. https://books.google.com.co/books/about/Tierra_y_agua.html?id=tuAIfAEACAAJ&redir_esc=y
Notes
Author notes
*Corresponding author: franco.crespo.ec@gmail.com
Conflict of interest declaration