Scientific note
Received: 01 May 2023
Accepted: 28 August 2023
DOI: https://doi.org/10.15446/agron.colomb.v41n2.108664
ABSTRACT: The estimation of the reference évapotranspiration is fundamental in defining irrigation projects. However, an estimation using the standard equation requires climate variables that are difficult to measure and are not very accessible. Thus, the objective of this study was to calibrate and validate alternative methods to estimate evapotranspiration that use simple variables and to compare performance with the standard Penman-Monteith method for the municipality of Nova Venécia, Espírito Santo, Brazil. For this, a 12-year time series (2008-2019) of meteorological data from the Instituto Nacional de Meteorología was used. The standard FAO-56 Penman-Monteith method was used to evaluate alternative methods: Hargreaves and Samani, Benevides and Lopes, Linacre, Hamon and Camargo. Method performance was analyzed by correlation coefficient, Willmott index, root mean square of normalized error, and performance index. Calibration improved the statistical indices, increasing the performance of the Hargreaves and Samani, Benevides and Lopes, and Linacre methods to "very good" in the rainy season and to "intermediate" in the dry season. They were superior to the Hamon and Camargo methods, which continued to show "tolerable" to "very poor" performance in both periods.
Key words: Alternative methods, agricultural meteorology, FAO-56 Penman-Monteith, irrigation.
RESUMEN: La estimación de la evapotranspiración de referencia es fundamental en la definición de proyectos de riego. Sin embargo, una estimación utilizando la ecuación estándar requiere variables climáticas difíciles de medir y poco accesibles. Por lo tanto, el objetivo de este estudio fue calibrar y validar métodos alternativos para estimar la evapotranspiración que utilizan variables simples y comparar el desempeño con el método estándar de Penman-Monteith para el municipio de Nova Venécia, Espírito Santo, Brasil. Para ello se utilizó una serie temporal de 12 años (2008-2019) de datos meteorológicos del Instituto Nacional de Meteorología. Se utilizó el método estándar FAO-56 Penman-Monteith para evaluar métodos alternativos: Hargreaves y Samani, Benevides y Lopes, Linacre, Hamon y Camargo. El desempeño del método se analizó mediante el coeficiente de correlación, el índice de Willmott, la raíz cuadrática media del error normalizado y el índice de desempeño. La calibración mejoró los índices estadísticos, aumentando el desempeño de los métodos de Hargreaves y Samani, Benevides y Lopes, y Linacre a "muy bueno" en época de lluvias y a "intermedio" en época seca. Estos fueron superiores a los métodos de Hamon y Camargo, que continuaron mostrando un desempeño "tolerable" a "muy pobre" en ambos períodos.
Palabras clave: Métodos alternativos, meteorología agrícola, FAO-56 Penman-Monteith, irrigación.
Introduction
Coffee cultivation is of significant importance to the world economy, with Brazil as the largest producer and exporter of coffee (Coffea spp.), corresponding to 37% of world production, and as the second largest producer of the species Coffea canephora (USDA, 2019; Belan et al., 2020). In addition, Brazil is also one of the largest producers of black pepper (Piper nigrum) (Carneiro et al., 2017).
The State of Espírito Santo is currently the second largest coffee producer and the first producer of Conilon coffee, the second producer of papaya, and the largest exporter and second producer of black pepper (Dadalto et al., 2016).
The municipality of Nova Venécia is located in the northwest region of the state of Espírito Santo; agriculture is one of the main activities of the region. According to the 2018 Agricultural Census, the municipality was the 9th largest producer of Conilon coffee (27,920 t) and the 5th largest producer of black pepper (4,200 t) nationally. One of the main factors contributing to this productive position is the use of irrigation, which according to this census covers approximately 15,000 productive hectares and is present in about 2,500 agricultural establishments (IBGE, 2018).
In irrigated agriculture, the quantification of the water consumption of the crops during development stages allows for the planning, dimensioning, and rational management of the irrigation. One of the techniques that helps to quantify the volume of water needed for irrigation is the determination of crop evapotranspiration (ETc), which reflects the measurement of the total amount of water lost to the atmosphere, resulting from the processes of soil evaporation and plant transpiration.
To determine ETc, it is necessary to estimate the Reference Evapotranspiration (ETo), which represents a standardized measure of the evapotranspiration rate of a location, considering the local climate variables. Then, ETo is corrected by the Crop Coefficient (Kc), which is a ratio between ETc and ETo. The value of Kc varies depending on the crop and its stage of growth.
The United Nations Food and Agriculture Organization (FAO) has defined the Penman-Monteith equation as the standard model, recommending it to estimate and calibrate different ETo methods (Allen et al., 1998). Studies have shown the efficiency and representativeness of this model to the factors that govern the process of evapotranspiration; however, its great disadvantage is related to the high number of meteorological variables required for its use, since most of the stations do not have enough sensors to collect all the variables, or the quality of the data collected is poor (Palaretti et al., 2014; Carvalho et al., 2015; Tanaka et al., 2016).
Faced with this problem, the use of simpler methods using few meteorological variables to estimate the ETo has become a viable solution (Fernandes et al., 2012; Sales et al., 2018). In this context, Santana et al. (2018) recommend that, before choosing the method to be used, an assessment of the climate adaptability to the region be made comparing its performance to the standard Penman-Monteith FAO model 56. This study is necessary because the methods were generally developed under climatic and crop management conditions different from that in which the model will be employed, making it necessary to calibrate the equations for the region in order to minimize the estimation errors (Pereira et al., 2009; Rigone et al., 2013).
Thus, the aim of this study was to calibrate and validate alternative methods for producers in the region that use only simple variables, comparing their performance with that of the standard method recommended by the FAO-56 Penman-Monteith, for the municipality of Nova Venécia, Espírito Santo State, Brazil.
Materials and methods
In this study, hourly data from the automatic meteorological station of the National Institute of Meteorology (INMET), located in the municipality of Nova Venécia, State of Espírito Santo, Brazil, were used. The station is located at latitude 18°41'43" S, longitude 40°24'27" W and has an altitude of 154 m a.s.l. Nova Venécia is located in the northern region of Espírito Santo (Fig. 1), bounded by latitudes 18°17'58" S and 18°56'48" S, and by longitudes 40°45'30" W and 40°17'46" W, covering a total area of 1,439,571 km2.

The northern region of the state is recognized as the main producer of Conilon coffee, standing out in this activity. In addition, this area also stands out for the production of papaya and black pepper.
The climate of Nova Venécia is classified by Köppen and Geiger (1936) and Peel et al. (2007) as tropical with dry season, with a temperature range from 11.8 to 18°C during the colder month and 30.7 to 37°C in the warmer month, reaching an annual average of 24°C. The rainy season is between the months of October to February, and the dry season between the months of March to September.
The data used in this study were collected from a meteorological station installed in the region in 2008, with a historical series of 11 years for producers in the region from 2008 to 2019. It is important to emphasize that, although the historical series is relatively short, local studies of this nature play a crucial role in facilitating the suitability of irrigation projects for the region. However, it is essential to use the results of this study with caution, considering the limitations of the historical series.
The meteorological variables used to estimate the ETo in mm d-1 were: maximum (Tx), minimum (Tn) and average (Tm) air temperature in °C; average dew point temperature (To) in °C; maximum relative humidity (URx), minimum (URn) and average (URm) humidity of the air at 2 m above ground level in %; global solar radiation (Rg) in MJ m-2 d-1; and wind speed at 2 m from ground level (U2) in m s-1, as shown in Table 1.

Prior to the estimates, the quality of the data was analyzed in order to eliminate measurement errors, based on the criteria proposed by Sales et al. (2018): Tx above 50°C; Tn below 0°C; Tx below Tn for the same day; Rg equal to zero and Rg greater than the extraterrestrial solar radiation. After the analysis, 3865 d remained with consistent data, corresponding to 92% of the data collected by the weather station.
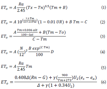
Daily values of ET0 were estimated for the dry and rainy periods, using the alternative methods of (HS) Hargreaves and Samani (1985) (Eq. 1); (BL) Garcia Benevides and López (1970) (Eq. 2); (Li) Linacre (1977) (Eq. 3); (Ho) Hamon (1961) (Eq. 4); (Ca) Camargo (1978) (Eq. 5) and (FAO-56 PM) standard method 56 from FAO Penman-Monteith (Allen et al., 1998) (Eq. 6).

where
A, B, C and D - adjusted coefficients;
Ra - solar radiation in absence of atmosphere (MJ m-2 d-1);
alt - altitude (m);
lat - latitude (degrees);
N- photoperiod (h);
Δ- tangent to the saturation pressure curve of water vapor (kPa ºC-1);
γ - psychrometric constant (0.0662 kPa ºC-1);
Rn - radiation balance (MJ m-2 d-1);
G - soil heat flux density (MJ m-2 d-1);
es - saturation pressure the surface temperature (kPa °C-1);
ea - vapor pressure of the air (kPa °C-1).
The data from the period from July 2008 to December 2015 were used to calibrate the parameter1 of the equations; the equations from January 20J6 to December 2019 were used to validate those parameters.
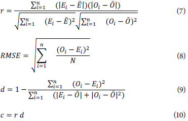
The parameter calibration was performed by minimizing the square sum of the error obtained by comparing the ETo estimated by the alternative methods and by the FAO-56 PM standard method, using the Solve activation within the Excel software and the open-source program R Core Team (2020). The performance of the alternative ETo methods was evaluated by the correlation coefficient (Eq. 7), the root of normalized mean square error (Loague & Green, 1991) (Eq. 8), Willmott's index of agreement (Willmott et al., 1985) (Eq. 9) and confidence coefficient (Camargo & Sentelhas, 1997) (Eq. 10).

where:
Ei -vaiue obtained by1 means of the alternative methods (mm d-1);
Oi-value estimated through the Penman-Monteith standard method (mm d-1);
E-mean of the estimated by means of the alternative methods (mm d-1);
O-mean of the estimated by means of the Penman-Monteith standard method (mm d-1);
n -number of values;
r -Pearson correlation index;
d -Willmott's index of agreement;
c -confidence coefficients.
The performance of alternative methods was classified based on the variation of the confidence index (c) as: "excellent" (c>0.85); "very good" (c between 0.76 and 0.85); "good" (c between 0.66 and 0.75); "intermediate" (c between 0.61 and 0.65); "tolerable" (c between 0.51 and 0.60); "poor" (c between 0.41 and 0.50) and "very poor" (c<0.40).
Results and discussion
During the period studied, the average annual rainfall was 862.73 mm, with a period of highest concentration between October and March, and a period of drought between April and September (Fig. 2). These results corroborate those reported by Alves et al. (2005) who observed a period of higher rainfall in the Southeast region of Brazil, occurring normally between October and March, with approximately 80% of the annual total. At the state level, Uliana et al. (2013) identified two distinct periods for Espírito Santo: the first between October and April, which concentrates a large part of the precipitation, and the second between May and September, with a marked decrease in rainfall.
Table 2 shows the descriptive statistics of the weather data collected in the town of Nova Venécia and used in the ET0 calculation. It shows that the dry and rainy periods are well defined with regular temperature and air humidity and with low variation, while data on wind speed and global solar radiation show high variation, similar to what was observed by Gurski et ai. (2016) in Curitiba, Paraná, Brazil.


Oliveira et al. (2017), studying the influence of meteorological elements on the reference évapotranspiration estimated by FAO-56 PM, observed that variations greater than 10% cause different behavior in the method estimates due to the high sensitivity of the equation, which was also observed by Lemos et al. (2010).
Table 3 shows the values of the original and calibrated coefficients during the dry period and rainy season in the study region. For accuracy purposes, the calibrated coefficients of the alternative methods were presented rounded to 4 decimal places.

Table 4 presents the average ET0 estimates, the root of normalized mean square error (RMSE), the Willmott's index of agreement (d), the Pearson correlation index (r), the confidence coefficients (c) and performance, obtained from the correlations between ET0 values by the FAO-56 PM method and those obtained by alternative methods during the dry and rainy periods. It shows that the average ET0 of the region is higher during the rainy season, with an average of 4.74 mm d'\ while in the dry period the average is 3.39 mm d4. This is because global solar radiation and air temperature are the variables with the greatest influence on ET0 calculations (Ismael et al, 2015) since the rainy period in Nova Venécia covers the spring and summer seasons and is characterized by high temperatures and high energy flow from solar radiation, while the dry period spans fall and winter seasons, which present milder conditions.

The calibrated equations presented better statistical parameters than the original equations (Tab. 4). In descending order, the best methods for estimating ET0 were: HS, BL, Li, Ho, and Ca.
The HS, BL and Li methods showed similar performance after calibration. In the rainy season (Tab. 4), the RMSE decreased by 0.03, 0.26, and 0.08 mm d-1 and the "c" index increased by 2.66, 11.76, and 8.57% in the respective methods, reclassifying them as "very good".
In the dry period (Tab. 4), the RMSE decreased by 0.02, 0.37, and 0.28 mm d-1 and the "c" index increased by 1.61, 52.50, and 37.77%, respectively, reclassifying them as "intermediate". While these methods performed best among those studied, the average error remained elevated, between 0.72<RMSE<0.76 mm d-1 during the rainy season and 0.63<RMSE<0.68 mm d"1 during the dry period. Sales et al. (2018), when calibrating these methods for the city of São Mateus, Espírito Santo State, found RMSE values equal to 24.6, 21.6, and 23.7%, respectively, but with a "d" index greater than 0.80, which indicates discrepant errors in some data pairs and loss of efficiency at some time of the year.
Therefore, the subdivision of the estimated period was recommended. By subdividing the data analysis period into dry and rainy seasons, it was possible to reduce the error; however a larger subdivision is preferred.
For the less precise methods Ho and Ca during the rainy season, RMSE decreased by 0.34 and 0.09 mm d-1 and the "c" index increased by 42.50 and 14.70%, reclassifying them as "tolerable" and "very poor", respectively, whereas in the dry period, RMSE decreased by 0.31 and 0.22 mm d-1 and the "c" index increased by 36.66 and 21.62%, reclassifying them as "poor". The high estimation error between 0.96<RMSE<1.11 mm d-1 during the rainy season and 0.75<RMSE<0.76 mm d-1 during the dry season demonstrates the inefficiency of the methods even after calibration.
According to Souza et al. (2019), as these methods only use the average air temperature as a variable in their equations, they have a certain dependency resulting in unsatisfactory performance, as observed in studies carried out in different regions of Brazil (Fanaya et al., 2012; Bezerra et al, 2014; Silva et al, 2017).
Figure 3 shows the average monthly évapotranspiration estimated by alternative methods in their original (Fig. ЗА) and calibrated (Fig. 3B) equations, compared to the FAO-56 PM. It shows graphically the effect of the RMSE decrease in the behavior of alternative methods over the periods of the year. It evidences the closeness of the calibrated equations to the FAO-56 PM, emphasizing an improvement in performance in the dry and rainy periods.


In addition, all methods presented index (d), (r), and RMSE values close to the series used to calibrate them, with an average variation of 2.19%, 5.12%, and 8.16%, respectively, in the rainy season and 7.27%, 13.57%, and 13.39%, respectively, in the dry season. This confirms the efficiency of the adjustments, making them reliable to use.
The regression analysis of the estimates performed by the HS, BL and Li methods showed dispersion closer to the 1:1 line than those performed by the Ho and Ca methods. This greater homogeneity of data can be verified graphically, by the decreased RMSE values and by the higher r and d indices, revealing the greater accuracy of ETo estimation in Nova Venécia in both periods of the year.
Conclusions
The HS, BL and Li methods presented the best performances for the region in both the dry and rainy season; the HS method is most interesting because it only requires the use of equipment that measures the air temperature and can be used to replace the standard FAO-56 PM model for estimating irrigation needs in the region.
Alternative methods for estimating ETo, calibrated for the municipality of Nova Venécia in Espirito Santo, Brazil, have a strong potential for use in irrigation projects, since they help in determining the volume of water needed to supply the crop through the use of simple and inexpensive equipment. This, in turn, can help reduce water consumption in agriculture, promote the efficient use of natural resources, as well as enhance the economic exploitation of crops.
Acknowledgments
The authors would like to thank the Federal Institute of Education, Science and Technology of Espírito Santo (IFES) for supporting research and the National Institute of Meteorology (INMET) for the availability of meteorological data.
Literature cited
Allen, R. G., Pereira, L. S., Raes, D., & Smith, M. (1998). Crop evapotranspiration-Guidelines for computing crop water requirements. FAO Irrigation and drainage paper 56. FAO. https://www.fao.org/37x0490e/x0490e00.htm
Alves, L. M., Marengo, J. A., Camargo, H. J., & Castro, C. (2005). Início da estação chuvosa na região Sudeste do Brasil: Parte 1 - Estudos observacionais. Revista Brasileira de Meteorologia, 20(3), 385-394.
Belan, L. L., Jesus Junior, W. C., Souza, A. F., Zambolim, L., Filho, J. C., Barbosa, D. H. S. G., & Moraes, W. B. (2020). Management of coffee leaf rust in Coffea canephora based on disease monitoring reduces fungicide use and management cost. European Journal of Plant Pathology, 156, 683-694. https://doi.org/10.1007/s10658-019-01917-6
Bezerra, J. M., Moura, G. B. D. A., Silva, Ê. F. F., Lopes, P. M. O., & Silva, B. B. (2014). Estimativa da evapotranspiração de referência diária para Mossoró (RN, Brasil). Revista Caatinga, 27(3), 211-220.
Camargo, A. P. (1978). O balanço hídrico no Estado de São Paulo. Secretaria de Agricultura do Estado de São Paulo.
Camargo, A. P., & Sentelhas, P. C. (1997). Avaliação do desempenho de diferentes métodos de estimativa da evapotranspiração potencial no Estado de São Paulo, Brasil. Revista Brasileira de Agrometeorologia, 5(1), 89-97.
Carneiro Junior, J. F., Lima, J. D., Silva, A. D., & Nascimento, M. N. C. F. (2017). Análise de mercado da pimenta do reino no período de 1990 a 2015. Tecnologia e Ciência Agropecuária, 11(6), 139-145.
Carvalho, D. F., Rocha, H. S., Bonomo, R., & Souza, A. P. (2015). Estimativa da evapotranspiração de referência a partir de dados meteorológicos limitados. Pesquisa Agropecuária Brasileira, 50(1), 1-11. https://doi.org/10.1590/S0100-204X2015000100001
Dadalto, G. G.; Silva, A. E. S.; Costa, E. B.; Galvêas, P. A. O., & Loss, W. R. (2016). Transformações da agricultura capixaba: 50 anos. CEDAGRO; Incaper.
Fernandes, J. L., Oliveira, J. B., Souza, A. L. M., Silva, G. S., & Caldas Izidio, N. S. (2012). Avaliação de métodos de estimativa da evapotranspiração de referência em Campos Sales-CE. Conexões-Ciência e Tecnologia, 6(3), 58-67.
Fanaya Júnior, E. D., Lopes, A. S., Oliveira, G. Q., & Jung, L. H. (2012). Métodos empíricos para estimativa da evapotranspiração de referência para Aquidauana-MS. Irriga, 17(4), 418-434. https://doi.org/10.15809/irriga.2012v17n4p418
García, J., & López, D. J. (1970). Fórmula para el cálculo de la eva-potranspiracion potencial adaptada al trópico (15oN a 15oS). Agronomia Tropical, Maracay, 20(5), 335-340.
Gurski, B. C., Souza, J. L. M., Jerszurki, D., Schäfer, R. F., & Schäfer, H. (2016). Métodos alternativos de estimativa da evapotranspiração de referência anual e nas diferentes estações do ano em Curitiba-PR, Brasil. Revista Cultura Agronômica, 25(2), 155166. https://doi.org/10.32929/2446-8355.2016v25n2p155-166
Hamon, W. R. (1961). Estimating potential evapotranspiration: Journal of the Hydraulics Division, 87(3), 107-120. https://doi.org/10.1061/JYCEAJ.0000599
Hargreaves, G. H., & Samani, Z. A. (1985). Reference crop evapotranspiration from temperature. Applied Engineering in Agriculture, 1(2), 96-99. https://doi.org/10.13031/2013.26773
Instituto Brasileiro de Geografia e Estatística, IBGE. (2018). Censo agropecuário, 2018. https://cidades.ibge.gov.br/brasil/es/nova-venecia/panorama
Ismael Filho, A., Borges, P. F., Araújo, L. S., Pereira, A. R., Lima, E. M., Silva, L. S., & Santos Junior, C. V. (2015). Influência das variáveis climáticas sobre a evapotranspiração. Gaia Scientia, 9(1), 62-66.
Köppen, G. W., & Geiger, M. R. (1936). Das geographische system der klimate. Verlag.
Lemos Filho, L. C. A., Carvalho, L. G., Evangelista, A. W. P., & Alves Júnior, J. (2010). Análise espacial da influência dos elementos meteorológicos sobre a evapotranspiração de referência em Minas Gerais. Revista Brasileira de Engenharia Agrícola e Ambiental, 14(12), 1294-1303. https://doi.org/10.1590/S1415-43662010001200007
Linacre, E. T. (1977). A simple formula for estimating evaporation rates in various climates, using temperature data alone. Agricultural Meteorology, 18(6), 409-424. https://doi.org/10.1016/0002-1571(77)90007-3
Loague, K., & Green, R. E. (1991). Statistical and graphical methods for evaluating solute transport models: overview and application. Journal of Contaminant Hydrology, 7(1-2), 51-73. https://doi.org/10.1016/0169-7722(91)90038-3
Oliveira, J. B., Barbosa, P. J. A., Nogueira, D. H., Araújo, E. M., & Arraes, F. D. D. (2017). Influência dos elementos meteorológicos sobre a evapotranspiração de referência em Tauá, no Ceará. Journal of Environmental Analysis and Progress, 2(4), 403-411. https://doi.org/10.24221/jeap.2.4.2017.1457.403-411
Palaretti, L. F., Mantovani, E. C., & Sediyama, G. C. (2014). Análise da sensibilidade dos componentes da equação de Hargreaves-Samani para a região de Bebedouro-SP. Revista Brasileira de Meteorologia, 29(2), 299-306. https://doi.org/10.1590/S0102-77862014000200012
Peel, M. C., Finlayson, B. L., & McMahon, T. A. (2007). Updated world map of the Köppen-Geiger climate classification. Hydrology and Earth System Sciences, 11(5), 1633-1644. https://doi.org/10.5194/hess-11-1633-2007
Pereira, D. R., Yanagi, S. N. M., Mello, C. R., Silva, A. M., & Silva, L. A. (2009). Desempenho de métodos de estimativa da evapotranspiração de referência para a região da Serra da Mantiqueira, MG. Ciência Rural, 39(9), 2488-2493. https://doi.org/10.1590/S0103-84782009000900016
R Core Team. (2020). A language and environment for statistical computing. R Foundation for Statistical Computing. https://www.rproject.org
Rigone, E. R., Oliveira, G. Q., Biscaro, G. A., Queiroz, M. V. B. M., & Lopes, A. S. (2013). Desempenho sazonal da evapotranspi-ração de referência em Aquidauana, MS. Revista Engenharia na Agricultura, 21(6), 547-562. https://doi.org/10.13083/reveng.v21i6.420
Sales, R. A., Oliveira, E. C., Lima, M. J. A., Gelcer, E. M., Santos, R. A., & Lima, C. F. (2018). Ajuste dos coeficientes das equações de estimativa da evapotranspiração de referência para São Mateus, ES. Irriga, 23(1), 154-167. https://doi.org/10.15809/ irriga.2018v23n1p154
Santana, J. S., Lima, E. F., Silva, W. A., Fernandes, M. C., & Ribeiro, M. I. D. (2018). Equações de estimativa da evapotranspiração de referência (eto) para a região de Balsas-MA. Enciclopédia Biosfera, 15(27), 1-14. https://doi.org/10.18677/EnciBio_2018A43
Silva, R. D., Aguiar e Silva, M. A., Canteri, M. G., Rosisca, J. R., & Vieira Junior, N. A. (2017). Reference evapotranspiration for Londrina, Paraná, Brazil: Performance of different estimation methods. Semina: Ciências Agrárias, 38(4), 2363-2374. https://doi.org/10.5433/1679-0359.2017v38n4SUPLp2363
Souza, T. S., Eichenberger, A. M. R., & Nascimento, P. S. (2019). Estudo comparativo de diferentes metodologias na determinação da evapotranspiraçao de referência em Feira de Santan-BA. Revista Brasileira de Climatologia, 25, 737-754. https://doi.org/10.5380/abclima.v25i0.68135
Tanaka, A. A., Souza, A. P., Klar, A. E., Silva, A. C., & Gomes, A. W. A. (2016). Evapotranspiração de referência estimada por modelos simplificados para o Estado do Mato Grosso. Pesquisa Agropecuária Brasileira, 51(2), 91-104. https://doi.org/10.1590/S0100-204X2016000200001
Uliana, E. M., Reis, E. F., Silva, J. G. F., & Xavier, A. C. (2013). Precipitação mensal e anual provável para o Estado do Espírito Santo. Irriga, 18(1), 139-147. https://doi.org/10.15809/irriga.2013v18n1p139
United States Department of Agriculture. USDA. (2019). Production, supply and distribution. https://apps.fas.usda.gov/psdonline/app/index.html#/app/downloads
Willmott, C. J., Ackleson, S. G., Davis, R. E., Feddema, J. J., Klink, K. M., Legates, D. R., O'Donnell, J., & Rowe, C. M. (1985). Statistics for the evaluation and comparison of models. Journal of Geophysical Research: Oceans, 90(C5), 8995-9005. https://doi.org/10.1029/JC090iC05p08995
Notes
Author notes
*Corresponding author: rodrigoamarodesalles@gmail.com
Conflict of interest declaration