Artículo original
Características clínicas, bioquímicas y complicaciones de los pacientes sometidos a la cirugía bariátrica con 18 meses de seguimiento en un hospital de alta complejidad**
Clinical, biochemical characteristics and complications in bariatric surgery patients in 18 months of follow-up in a highly complex hospital
Características clínicas, bioquímicas y complicaciones de los pacientes sometidos a la cirugía bariátrica con 18 meses de seguimiento en un hospital de alta complejidad**
Iatreia, vol. 32, núm. 1, pp. 16-24, 2019
Universidad de Antioquia
Recepción: 15 Noviembre 2017
Aprobación: 13 Julio 2018
RESUMEN
Objetivo: el objetivo de este estudio fue describir los cambios en las características clínicas, bioquímicas y las complicaciones de los pacientes sometidos a la cirugía bariátrica en 18 meses de seguimiento en un hospital de alta complejidad entre 2012 y 2016. Métodos: se realizó un estudio descriptivo, retrospectivo para evaluar las variables clínicas y bioquímicas, antes y después de la realización de la cirugía bariátrica (el bypass gástrico o manga gástrica).
Resultados: se estudiaron 59 pacientes, el 89,8 % fueron mujeres, con edad promedio de 41,8 ± 10,8 años. El 76,3 % se sometieron a bypass gástrico y el 23,7 % a manga gástrica. La media del porcentaje de peso perdido a los 18 meses fue de 81 % ± 22. Se presentó una reducción significativa de la circunferencia abdominal. El 100 % de los pacientes experimentaron cambios en las multimorbilidades.
Conclusión: se encontró una disminución significativa del porcentaje de exceso del índice de masa corporal, además se observó un cambio en las comorbilidades y modificación en los biomarcadores. No se presentó mortalidad a los 18 meses postquirúrgicos.
PALABRAS CLAVE: Biomarcadores+ Cirugía Bariátrica+ Complicaciones Postoperatorias+ Comorbilidad+ Derivación Gástrica Gastrectomía+ Obesidad+ Presión Arterial+ Peso Corporal.
SUMMARY
Objective: To determine the clinical and biochemical characteristics, as well as the complications of bariatric surgery in 18 months of follow-up in a highly complex hospital, between 2012 and 2016.
Methods: A descriptive, retrospective study was performed in patients undergoing bariatric surgery (gastric by-pass or gastric sleeve), where the clinical and biochemical characteristics, as well as the complications and post-intervention changes were evaluated in a before-after analysis.
Results: Fifty nine patients were studied, 89.8 % were women, with an average age of 41.8 ± 10,8. The 76,3 % underwent gastric bypass and 23.7 % gastric sleeve. The mean percentage of weight lost at 18 months was 81 % ± 22. There was a significant reduction in abdominal circumference. 100 % of patients experienced changes in multimorbidities. Conclusion: We found a significant decrease in the percentage of body mass index. In addition, a change in comorbidities and modification in biomarkers was observed. There was no post-operative mortality 18 months after surgery.
KEY WORDS: Arterial Pressure, Bariatric Surgery, Biomarkers, Body Weight, Comorbidity, Postoperative Complications, Gastrectomy, Gastric Bypass, Obesity.
INTRODUCCIÓN
El manejo de la obesidad se centra en la pérdida de peso y en mantenerla mediante un abordaje terapéutico integral basado en estrategias combinadas: recomendaciones nutricionales, incremento en la actividad física, medicamentos y modificación de hábitos en la conducta. Cuando esto falla, se indica la terapia quirúrgica para la obesidad (cirugía bariátrica). Se ha demostrado que la cirugía bariátrica es eficaz y segura para la pérdida de peso en pacientes con obesidad y mejora las multimorbilidades asociadas 1-2. En la actualidad, la cirugía bariátrica se realiza bajo un abordaje mínimamente invasivo por laparoscopia, se han descrito múltiples técnicas, pero dos se han destacado debido a sus resultados: el bypass gástrico y la manga gástrica 3-4. La efectividad del procedimiento quirúrgico se evalúa teniendo en cuenta los siguientes indicadores de resultado: el índice de masa corporal (IMC) perdido, el porcentaje perdido del exceso de índice de masa corporal (PPEIMC), los cambios en parámetros bioquímicos, resolución o mejoría de las multimorbilidades asociadas a la obesidad y las complicaciones presentadas 5-6. El Hospital San Vicente Fundación de Rionegro es una institución de alta complejidad, que brinda atención multidisciplinaria a pacientes candidatos a cirugía bariátrica, de la cual hasta el momento no se conocía el impacto. Fue por tanto, el objetivo de este estudio, describir los cambios en las características clínicas, bioquímicas y las complicaciones de los pacientes sometidos a la cirugía bariátrica para el manejo de la obesidad, en 18 meses de seguimiento en un hospital de alta complejidad entre 2012 y 2016.
MÉTODOS
Se realizó un estudio descriptivo, retrospectivo en el que se incluyeron todas las historias clínicas de los pacientes sometidos a cirugía bariátrica en el Hospital San Vicente Fundación de Rionegro entre enero de 2012 y enero de 2016. Para la realización de este procedimiento se cumplió con el protocolo institucional: los pacientes fueron evaluados antes del procedimiento por un equipo interdisciplinario que incluía psiquiatría, cirujano bariátrico, nutricionista y dietista, endocrinólogo y deportólogo. Posteriormente se tomaban las decisiones a través de la metodología de la junta médica. El seguimiento postoperatorio de los pacientes se realizó también por el equipo interdisciplinario en la misma institución. Los criterios de inclusión comprendieron todos los registros de pacientes sometidos a cirugía bariátrica, con seguimiento al mes y a los 3, 6, 12 y 18 meses posteriores a la intervención. Se excluyeron los pacientes con historias clínicas incompletas en donde faltaran más del 20 % de las variables de estudio. En el estudio se incluyeron variables demográficas, clínicas, bioquímicas y las multimorbilidades en los 18 meses de seguimiento, además de las complicaciones postquirúrgicas. Las complicaciones fueron definidas como lo establece el Ministerio de Salud y Protección Social y se clasificaron en postquirúrgicas: tromboembolia pulmonar, dehiscencias de sutura, sangrado, infección de la herida quirúrgica, eventraciones, úlceras marginales, fístula, filtración o estenosis del estoma y oclusiones precoces de intestino delgado; metabólicas: ferropenia, anemia, déficit de distintos oligoelementos y vitaminas, hipoalbuminemia, disminución de los niveles de paratohormona; y digestivas: diarrea, vómito, flatulencia, síndrome de Dumping, reflujo y estreñimiento. La información fue recolectada directamente por los investigadores a través de la aplicación de un formulario previamente diseñado. Para validar el instrumento de recolección y evitar errores tanto de comprensión como de constructo, se realizó una prueba piloto con 10 pacientes, los cuales fueron recolectados y analizados por los investigadores. Una vez recolectada la información se descargó en una base de datos tipo hoja de cálculo de Microsoft Excel® versión 2013. Para disminuir los riesgos por errores de trasferencia de los datos, se le realizó una doble verificación al 10 % del total de los formularios diligenciados, asimismo, se verificaron los datos extremos y atípicos de las variables. Para establecer la evolución de las multimorbilidades previamente existentes, se determinó mejoría cuando se redujo la cantidad de dosis de los medicamentos empleados o cuando los parámetros bioquímicos se encontraban dentro del rango aceptado como adecuado. La resolución se estableció cuando los pacientes llegaron a parámetros clínicos o bioquímicos normales sin necesidad de fármacos. Se calculó el IMC previa a la cirugía y durante el tiempo de seguimiento, se utilizó el PPEIMC como medida de pérdida ponderal, que ha demostrado ser un buen indicador para valorar la eficacia de la cirugía. Para obtener el PPEIMC se utilizó la siguiente fórmula: (IMC inicial-IMC actual)/(IMC inicial-IMC 25) *100. Tomando como IMC ideal 25 kg/m27,8. Para el análisis de los datos se utilizó la estadística descriptiva, utilizando para las variables cuantitativas la media con su desviación estándar o la mediana con su rango intercuartílico, según la homogeneidad de los datos por la prueba Kolmogorov-Smirnov. Para las variables cualitativas se utilizó la distribución de frecuencias absolutas y relativas de cada una de las categorías de las variables. Para determinar los cambios en las variables cuantitativas de distribución no normal se usó la prueba de Friedman para medidas repetidas, y para las de distribución normal se usó ANOVA. Para comparar variables pareadas de distribución no normal la prueba de Wilcoxon y para las muestras pareadas con distribución normal T de student pareada. La comparación de muestras independientes de distribución no normal se realizó con la U de Mann Whitney y para las de distribución normal la T de student no pareada. Se usó el estimador de Hodges-Lehman para determinar la diferencia de medianas para muestras relacionadas con los correspondientes intervalos de confianza. Para la comparación de las variables cualitativas se usó la prueba exacta de Fisher. Se consideró la diferencia como estadísticamente significativa si p < 0,05. Todos los análisis fueron realizados con el paquete estadístico SPSS (IBM Corp. Released 2012. IBM SPSS Statistics for Windows, Version 21.0, Licencia Universidad CES. Armonk, NY: IBM Corp.). Se obtuvo la autorización del Comité de Ética de la Investigación del Hospital San Vicente Fundación Rionegro y se garantizó la confidencialidad con respecto a la identificación de los pacientes incluidos.
RESULTADOS
De los 68 pacientes intervenidos hasta el año 2016, se excluyeron 9 por no tener completo el tiempo estipulado del seguimiento o por no contar con el registro completo en la historia clínica de las variables de interés. Se incluyeron 59 pacientes con una media para la edad de 41,8 ± 10,8 años, con un mínimo de 18 y un máximo de 64 años. El 89,8 % (n=53) fueron mujeres. El 76,3 % (n=45) se sometió a bypass gástrico y el 23,7 % (n=14) a manga gástrica. El 50,8 % (n=30) residían en el municipio de Medellín, el 25,5 % (n=15) vivían en otro municipio del Área Metropolitana y el 23,7 % (n=14) en el municipio de Quibdó. El 74,6 % (n=44) de los pacientes eran mestizos, el 23,7 % (n=14) negros y solo el 1,7 % (n=1) blancos. El IMC promedio preoperatorio fue de 42,7 ± 5,7 Kg/m² con un mínimo de 32,3 y un máximo de 58,1. El 66,1 % (n=39) de los pacientes tenían obesidad grado III, el 27,1 % (M=16) obesidad grado II y el 6,8 % (n=4) obesidad grado I. Los pacientes presentaron una circunferencia abdominal promedio antes de la cirugía de 121,4 ± 12,6 cm. El promedio de la presión arterial media antes de la cirugía fue de 98,92 ± 12,1. Antes de la cirugía, el 91,5 % (n=54) de los pacientes tenían multimorbilidades, las más frecuentes fueron osteoartrosis 62,7 % (n=37), hipertensión arterial 59,3 % (n=35), dislipidemia 32,2 % (n=19), síndrome de apnea obstructiva del sueño 18,6 % (n=11), hipotiroidismo 18,6 % (n=11) y depresión 16,9 % (n=10). Solamente el 8,5 % (n=5) tenían diabetes mellitus 2 (DM2) y 6,8 % (n=4) prediabetes (Tabla 1). El 27 % (n=16) de los pacientes tenían una comorbilidad, el 18,6 % (n=11) presentaban dos, el 30,5 % (n=18) tres, el 10,2 % (n=6) cuatro y el 5,1 % (n=3) presentaron cinco. Los parámetros bioquímicos pueden apreciarse en la Tabla 2.


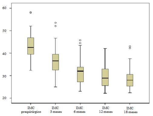
En la Figura 1 se puede observar una reducción significativa del peso, el 50 % de la población estudiada presentó un IMC prequirúrgico de 42 (39,3-46,8) Kg/m2 y finalizando a los 18 meses con 28,3 (25,4-31,7) Kg/m2 o menos, este cambio fue estadísticamente significativo. Al comparar el prequirúrgico con cada una de las mediciones el cambio también presentó diferencias estadísticamente significativas. Se puede apreciar que en los primeros meses tras la cirugía ocurre una rápida e importante pérdida de peso, estabilizándose entre los 12 y 18 meses. Dos de los pacientes presentaron valores atípicos de IMC, ambos iniciaron con 58 Kg/m2 y al final del estudio uno de estos pacientes logro un IMC de 30,6 Kg/m² y el otro de 42,2 Kg/m2. Además, como se aprecia en la Tabla 3, al calcular la mediana de la diferencia del IMC entre el prequirúrgico y cada una de las mediciones posteriores, hay diferencias significativas con relevancia clínica.


La media del PPEIMC a los 3 meses fue de 40 Kg/m2 ± 17, a los 6 meses fue de 66 ± 18 a los 12 meses de 75 ± 22, el último seguimiento de los 18 meses fue de 81 ± 24. Como se observa en la Figura 2, se presentó una reducción significativa de la circunferencia abdominal, empezando con una media prequirúrgica de 121 ± 12,6 cm y finalizando a los 18 meses con una media de 86,4 ± 11 cm, este cambio fue estadísticamente significativo al comparar el diámetro prequirúrgico con el valor a los 3 y 12 meses. El 50 % de los pacientes tenían la presión arterial sistólica de 120 mmHg (110-138) y diastólica de 77 mmHg (70-80) antes de la cirugía. dieciocho meses después de la intervención el 50 % de los pacientes tenían la presión arterial sistólica de 120 mmHg (110-130) y diastólica de 70 mmHg (70-80). No se presentaron cambios ni clínica ni estadísticamente significativos; es necesario aclarar que los pacientes estaban en tratamiento y control de hipertensión antes de la cirugía.

El 100 % de los pacientes que presentaban DM2, hipertensión arterial sistémica y dislipidemia experimentaron cambios. El 100 % de los prediabéticos logró resolución a los 3 meses, el 80 % (n=4) de los diabéticos logro resolución entre los 3 y 6 meses y el 20 % (n=1) presentó mejoría desde el sexto mes y logró disminuir la dosis de 2550 mg a 850 mg de metformina. De los pacientes con dislipidemia, el 95 % (n=18) presentaron resolución y el 5 % (n=1) continuó con atorvastatina 20 mg hasta el final del estudio, pero mejoró el HDL pasando de 36 mg/dL a 50 mg/dL. En cuanto a la evolución de las variables bioquímicas, los niveles de HDL aumentaron significativamente después del primer año posterior a la cirugía (p < 0,05), lo cual fue además clínicamente significativo. Se encontró también cambios estadísticamente significativos en los valores de los triglicéridos, glucemia y LDL, pero sin relevancia clínica, ya que los pacientes estaban controlados al ingreso del programa de cirugía bariátrica. El 6,8 % (n=4) de los pacientes presentaron complicaciones postquirúrgicas: sangrado de la herida quirúrgica (1,7 %), sangrado esplénico controlado durante la cirugía (1,7 %), trombosis de la vena esplénica (1,7 %), necesidad de reintervención de manga gástrica a bypass gástrico (1,7 %). El 40,7 % (n=24) presentaron complicaciones nutricionales y metabólicas, entre ellas la más común fue la deficiencia de vitamina D con un 23,7 % (n=14), el 16,9 % (n=10) deficiencia de vitamina B12, el 8,5 % (n=5) anemia, el 6,8 % (n=4) ferropenia y el 1,7 % (n=1) hiperparatiroidismo. El 39 % (n=23) de la población estudiada presentó complicaciones gastrointestinales, la más frecuente fue vómito en el 27,1% (n=16), seguido por distensión abdominal en un 13,6 % (n=8), diarrea en un 8,5 % (n=5), reflujo en el 6,8 % (n=4), estreñimiento en el 6,8 % (n=4), cólico en el 6,8 % (n=4), flatulencia en el 3,4 % (n=2) y síndrome de dumping en el 1,7 % (n=1). Ningún paciente falleció durante el periodo de seguimiento.
DISCUSIÓN
Según los resultados de este estudio se observa una reducción significativa del IMC lográndose los resultados esperados, que para el protocolo institucional están definidos como una disminución del PPEIMC del 50 % a 6 meses, y del 75 % a los 18 meses. Lo cual fue superior al encontrado en el estudio descriptivo de Aguilar et al., publicado en el año 2013, donde este promedio fue de 50,12 ± 12,7 a los 12 meses 8. En el 97 % (n=57) de los pacientes se cumplió con la meta pero en dos no se alcanzó, con una disminución en el 28,46 % y 37,23 %, respectivamente, a pesar del seguimiento por la nutricionista. Se detectó que tenían una regular adherencia nutricional con mayor consumo calórico de lo esperado, estos dos pacientes recibieron seguimientos adicionales por psiquiatría, nutrición y deportología. Este porcentaje de no cumplimento es inferior a lo encontrado en el estudio de Aguilar et al., donde describen un 39,7 % de fracaso posterior a la intervención (8. Todos los pacientes con prediabetes y DM2 presentaron mejoría en los síntomas y la mayoría resolvieron su enfermedad, lo cual concuerda con los resultados de un metaanálisis publicado por Buchwald et al., en el año 2009, en el cual se concluyó que el 78,1 % de los diabéticos sometidos a cirugía tuvieron una resolución completa de la DM2 8. En otros estudios se describe una mejoría del 80 al 97 %, independiente del tipo de intervención 8,9-12.
La mayoría de los pacientes lograron la resolución de la hipertensión y la dislipidemia, estos resultados son similares a los reportados por Aguilar et al. en el año 2013 8 , pero superiores a los descritos por Papaprietro et al. 10, donde se encontró una resolución de la hipertensión arterial de 52,6 % y de dislipidemia del 88,6 %. En el estudio de Sjostromet et al. se observó la resolución de la hipertensión en el 34 % de los pacientes a los dos años 13. La medición de la circunferencia abdominal es representativa de la cantidad de tejido adiposo visceral que posee un individuo y se relaciona con un mayor riesgo de presentar síndrome metabólico 14. En este estudio se encontró una reducción significativa de la circunferencia abdominal y no se encontraron estudios previos que contemplaran los cambios de esta variable posterior a la intervención. Los parámetros del perfil lipídico mostraron mejoría durante el seguimiento, los niveles de LDL y triglicéridos disminuyeron y el HDL aumentó significativamente al año de seguimiento, esto es similar a lo encontrado por otros autores 10-11. La normalización de estos parámetros sumados a la reducción de la circunferencia abdominal y los cambios en los valores de glucemia podrían reducir la presencia de síndrome metabólico y el riesgo cardiovascular en los pacientes sometidos a esta intervención. Con respecto a las complicaciones postquirúrgicas presentadas, corresponden con lo descrito por Ramírez et al.15 y Maluenda 12, donde los sangrados y la enfermedad tromboembólica se presentaron con baja frecuencia, esto puede deberse a una adecuada técnica quirúrgica y al control de los pacientes antes de someterse a la cirugía. Los dos pacientes que presentaron sangrado fueron leves, se corrigieron y no ameritaron un aumento de la estancia hospitalaria. En relación a las complicaciones nutricionales y metabólicas se evidencia una alta proporción, aunque es menor a lo encontrado por un estudio realizado en España 11, en el que se reportó una proporción del 80 % de esta deficiencia de los pacientes en el postquirúrgico. La ferropenia presentada en este estudio fue menor a lo reportado por otros autores, donde han encontrado que esta deficiencia se presenta de un 30-50 % de los casos 16, el hiperparatiroidismo secundario se presentó en un paciente, por la baja absorción del calcio, lo cual es menor a lo reportado por otros autores 11. Estas dos deficiencias se presentaron solo en los pacientes sometidos a derivación gástrica, lo cual se puede explicar por la exclusión del duodeno que se realiza en esta técnica. Según lo encontrado en nuestro estudio la anemia tuvo una baja proporción, lo cual difiere con otras investigaciones 11,16-17, donde describen que esta deficiencia es la más común presentándose en un 30-54,4 %. La deficiencia de vitamina B12 se ha reportado en un 26-70 % 16, en este trabajo se halló una proporción menor. Entre las complicaciones gastrointestinales, el vómito fue la presentación más frecuente. En el estudio realizado las complicaciones graves fueron muy bajas, no hubo casos de mortalidad y solo un paciente requirió reintervención. Aunque las complicaciones metabólicas a mediano plazo fueron frecuentes, se manejaron durante el seguimiento, predominando los beneficios al paciente sobre los riesgos de la intervención, lo que no afecto los indicadores de resultado. Por ser un estudio retrospectivo presentó algunas limitaciones: no se pudo obtener la totalidad de la información necesaria en cada una de las variables de seguimiento, no fue posible determinar la significanciy de los cambios obtenidos en los valores de albumina entre el pre-quirúrgico y los 12 meses de seguimiento. Además, el número reducido de pacientes hasta ahora intervenidos y el relativo corto periodo de seguimiento impiden obtener conclusiones más aplicables. En conclusión, la información obtenida de este estudio soporta la hipótesis de que la cirugía bariátrica tiene como desenlace una disminución significativa del PPEIMC, un cambio en las comorbilidades y modificación en los parámetros bioquímicos, que sumados a la reducción de la circunferencia abdominal, podrían disminuir la presencia de síndrome metabólico y, por consiguiente, del riesgo cardiovascular. Son necesarias investigaciones analíticas que incluyan un mayor número de pacientes, un seguimiento a largo plazo y una evaluación de la calidad de vida posterior a la intervención, que aporten conocimiento a la comunidad científica para el manejo integral de esta población.
AGRADECIMIENTOS
Al Hospital San Vicente Fundación de Rionegro por permitirnos realizar el proyecto de investigación y, a la profesora Lucelly López por su aporte en los análisis estadísticos.
REFERENCIAS BIBLIOGRÁFICAS
1. Fontana MA, Wohlgemuth SD. The surgical treatment of metabolic disease and morbid obesity. Gastroenterol Clin North Am. 2010 Mar;39(1):125-33. DOI 10.1016/j.gtc.2009.12.010.
2. Colombia. Ministerio de Salud. Guía de Práctica Clínica para la prevención, diagnóstico y tratamiento del sobrepeso y la obesidad en adultos [Internet]. Bogotá: Sistema General de Seguridad Social en Salud; 2016 [consultado Oct 4 de 2017]. Disponible en: Disponible en: http://gpc.minsalud.gov.co/gpc_sites/Repositorio/Conv_637/GPC_obesidad/gpc_obesidad_completa.aspx
3. Reoch J, Mottillo S, Shimony A, Filion KB, Christou NV, Joseph L, et al. Safety of laparoscopic vs open bariatric surgery: a systematic review and metaanalysis. Arch Surg. 2011 Nov;146(11):1314-22. DOI 10.1001/archsurg.2011.270.
4. Acquafresca PA, Palermo M, Duza GE, Blanco LA, Serra EE. [Gastric Bypass versus Sleeve gastrectomy: comparison between type 2 Diabetes weight loss and complications. Review of randomized control trails]. Acta Gastroenterol Latinoam. 2015 Jun;45(2):143-54.
5. Asociación colombiana de obesidad y cirugía bariátrica. Guías de manejo en cirugía bariátrica [Internet]. Bogotá: Distribuna.; 2014. Disponible en: http://www.anibalpimentel.com/DOCUMENTACION/56fe714a969bc.pdf
6. Mechanick JI, Youdim A, Jones DB, Garvey WT, Hurley DL, McMahon MM, et al. Clinical practice guidelines for the perioperative nutritional, metabolic, and nonsurgical support of the bariatric surgery patient--2013 update: cosponsored by American Association of Clinical Endocrinologists, The Obesity Society, and American Society for Metabolic & Bariatric Surgery. Obesity (Silver Spring). 2013 Mar;21 Suppl 1:S1-27. DOI 10.1002/oby.20461.
7. Consenso Colombiano. Manejo Nutricional del paciente con cirugía bariátrica y metabólica. RMNC. [Internet]. 2013;4(1):7-55. Disponible en: https://encolombia.com/medicina/revistas-medicas/nutricionclinica/mnc41/manejo-nutricional-paciente/
8. Aguilar FA, Cachón CV, González LMR. Eficacia de la cirugía bariátrica en el control de las comorbilidades metabólicas en pacientes con obesidad. Rev Bioméd [Internet]. 2013;24(2):59-64. Disponible en: http://www.medigraphic.com/pdfs/revbio/bio-2013/bio132d.pdf
9. Buchwald H, Estok R, Fahrbach K, Banel D, Jensen MD, Pories WJ, et al. Weight and type 2 diabetes after bariatric surgery: systematic review and metaanalysis. Am J Med. 2009 Mar;122(3):248-56.e5. DOI 10.1016/j.amjmed.2008.09.041.
10. Papapietro K, Díaz E, Csendes A, Díaz JC, Braghetto I, Burdiles P, et al. Evolución de comorbilidades metabólicas asociadas a obesidad después de cirugía bariátrica. Rev Méd Chile. 2005;133(5):511-16 . DOI 10.4067/S0034-98872005000500001.
11. Ocón Bretón J, Pérez Naranjo S, Gimeno Laborda S, Benito Ruesca P, García Hernández R. Eficacia y complicaciones de la cirugía bariátrica en el tratamiento de la obesidad mórbida. Nutr Hosp. 2005 NovDic;20(6):409-14.
12. Maluenda F. Cirugía bariátrica. Rev Méd Clín Condes. 2012;23(2):180-8. DOI 10.1016/S0716-8640(12)70296-1.
13. Sjöström L, Lindroos AK, Peltonen M, Torgerson J, Bouchard C, Carlsson B, et al. Lifestyle, diabetes, and cardiovascular risk factors 10 years after bariatric surgery. N Engl J Med. 2004 Dec;351(26):2683-93.
14. Elffers TW, de Mutsert R, Lamb HJ, de Roos A, Willems van Dijk K, Rosendaal FR, et al. Body fat distribution, in particular visceral fat, is associated with cardiometabolic risk factors in obese women. PLoS One. 2017 Sep;12(9):e0185403. DOI 10.1371/journal.pone.0185403.
15. Ramírez Rincón A, Velásquez Tirado JD, Tirado Otálvaro AF, Valencia ME, Díez Sepúlveda JC, Cañas CF, et al. Características clínicas y demográficas de pacientes sometidos a cirugía bariátrica en Medellín. Med UPB. 2016;35(2):81-8. DOI 10.18566/medupb.v35n2.a02.
16. Cánovas Gaillemin B, Sastre Martos J, Moreno Segura G, Llamazares Iglesias O, Familiar Casado C, Abad de Castro S, et al. Comparación de resultados previos y posteriores a la aplicación de un protocolo de actuación en cirugía bariátrica. Nutr Hosp . 2011;26(1):116-121.
17. Yupanqui H, Muñoz JM, Guerra L. Obesidad y cirugía bariátrica: Complicaciones clinicometabólicas. Acta Med Colomb. 2008;33(1):15-21.
Notas
Notas de autor
*Correspondencia: Aída Maired Builes-Gutiérrez; maidabuiles@gmail.com
Declaración de intereses