Artículo original
Características laborales y académicas de los recursos humanos del sistema de salud en ocho países de Latinoamérica**
Labor characteristics and postgraduate studies of human resources in health in eight Latin American countries
Características laborales y académicas de los recursos humanos del sistema de salud en ocho países de Latinoamérica**
Iatreia, vol. 35, núm. 1, pp. 21-28, 2022
Universidad de Antioquia
Recepción: 25 Agosto 2020
Aprobación: 11 Diciembre 2020
RESUMEN
Introducción: la mayoría de las investigaciones muestran la situación de los recursos humanos del sistema de salud en países primermundistas, por lo que es necesario caracterizar nuestra realidad latinoamericana en este aspecto.
Objetivo: caracterizar el tipo de trabajo y la formación de posgrado de los recursos humanos del área de salud en ocho países de Latinoamérica.
Métodos: se realizó un estudio descriptivo a través de encuestas autoaplicadas sobre las características de los centros de labores y capacitaciones de posgrado que se han tenido.
Resultados: de las 1.283 personas que respondieron la encuesta, el 87,1 % laboraba en un hospital (salario promedio mensual: 840 dólares), el 23,3 % también lo hacía en una clínica (salario promedio mensual: 1.200 dólares). Además, solo el 20,5 % trabajaba en un establecimiento del primer nivel de atención (salario promedio mensual: 420 dólares). El 31,2 % había realizado un curso de posgrado, el 23,2 % un diplomado, el 17,8 % una maestría y, el 5,1 %, un doctorado.
Conclusiones: los recursos humanos en salud trabajan principalmente en hospitales con sueldos diferentes según el lugar donde laboran. Los médicos son los que tienen mayor remuneración, pero en el sector privado las diferencias son menos marcadas. Menos de la tercera parte han hecho cursos u otras actividades académicas culminadas hace ya varios años. Esto sirve para la mejora de las características laborales y de capacitación.
PALABRAS CLAVE: América Latina+ Capacitación Profesional+ Estudio Multicéntrico+ Fuerza Laboral en Salud+ Investigación sobre Servicios de Salud+ Sistemas de Salud.
SUMMARY
Introduction: Most research shows the situation of first world countries regarding human resources of health; therefore, it is necessary to characterize our Latin American reality.
Objective: To characterize the type of work and postgraduate training of health human resources in eight Latin American countries.
Methods: A descriptive study was carried out, through self-applied surveys on the characteristics of its work center, and post-graduate training that them has had.
Results: Of the 1283 people who responded to the survey, 87.1% worked in a hospital (average monthly salary: 840 dollars), 23.3% also worked in a clinic (average monthly salary: 1200 dollars). In addition, only 20.5% worked in an establishment of the first level of care (average monthly salary: 420 dollars). 31.2% had completed a post-graduate course, 23.2% had a diploma, 17.8% had a master’s degree and 5.1% had a doctoral degree.
Conclusions: The human resources in health work mainly in hospitals and the salaries are different according to the place where they work. The physicians are those who have higher remuneration, but in the private sector the salaries are more similar than in the other sectors. Less than a third have taken courses or other academic activities, having been completed several years ago. This serves to improve the work and training characteristics.
KEY WORDS: Health Services Research, Health Systems, Health Workforce, Latin America, Multicenter Study, Professional Training.
INTRODUCCIÓN
El personal sanitario es pieza clave para el cuidado de la salud pública, puesto que es la base de la promoción, prevención y control de las enfermedades. Muchos estudios internacionales muestran que si tienen un adecuado ambiente laboral y una continua actualización, pueden desenvolverse mejor y prestar un eficiente servicio a la comunidad (1,2). Las actualizaciones son llevadas a cabo por entidades públicas y privadas, que se encargan de hacer seguimiento a las problemáticas y necesidades del personal de la salud para que logren alcanzar un nivel académico sostenido (3).
La mayoría de las investigaciones que han mostrado las características laborales y académicas provienen de países desarrollados, como Estados Unidos (4-6). En América Latina son pocos los esfuerzos que han tratado de mostrar de manera multicéntrica las particularidades del personal de salud (7). Se han logrado reportar escasas publicaciones en Perú (8), Colombia, Brasil, Ecuador, Nicaragua y Puerto Rico (7), la gran mayoría con información reducida o de poco alcance a nivel latinoamericano (9). Esto se traduce en la necesidad de realizar un análisis situacional de los recursos humanos, que permita conocer la realidad y así poder plantear mejoras con base en dicho contexto, teniendo en cuenta que el recurso humano en salud sigue siendo un elemento de gran importancia para asegurar una atención de calidad (3,10).
Por lo anterior, el objetivo del presente estudio fue caracterizar el tipo de trabajo y la formación de posgrado de los recursos humanos de salud en ocho países de Latinoamérica.
MÉTODOS
Se realizó un estudio transversal descriptivo basal en ocho países (Venezuela, Ecuador, Colombia, Costa Rica, Honduras, Perú, Panamá y Paraguay) que contó con un total de 1.283 encuestados.
Se tomó en cuenta a todo el personal que fuese médico general, médico especialista, jefes de enfermería, odontólogos, técnicos (auxiliares de enfermería, trabajadores sanitarios de la comunidad) y administrativos, que laboraban en alguno de los centros en donde se realizó las encuestas y que hubiesen aceptado participar en la investigación. Se excluyó del estudio a estudiantes de pregrado y posgrado, a los que realizaban prácticas, guardianía, vendedores de medicamentos y médicos tradicionales (medicina alternativa).
Se recolectó la información mediante encuestas auto aplicadas a profesionales del sector de la salud en cada uno de los países descritos en el estudio. A dichos profesionales se les explicó previamente en qué consistía el proyecto y ellos voluntariamente contestaron la encuesta. El enfoque principal era sobre sus niveles de estudio, formación científica, salarios y expectativas del futuro.
Se indagó acerca de las características del lugar donde labora (lugar, horas de trabajo y monto de remuneración), así como capacitaciones de posgrado que han realizado (cursos, diplomados, maestrías o doctorados) en tres aspectos sobre la formación académicas: lo que ha realizado, hace cuántos años y si obtuvo título. También se adjuntaron variables sociales y laborales como lo son la ocupación (comparando a los médicos, enfermeras, técnicos y otros), la edad (tomada como variable cuantitativa) y el sexo (masculino o femenino).
Se calculó que se requería, como mínimo, a 82 personas por cada sede, para una potencia estadística del 90 %, nivel de confianza del 95 %, para una población infinita y para un máximo valor porcentual de 31 % en cualquiera de las características evaluadas. El muestreo fue no probabilístico, por conveniencia. Para el análisis de datos se evaluaron las variables descriptivas mediante las frecuencias y porcentajes. Para la evaluación de las variables cuantitativas primero se procedió con la evaluación de la normalidad de cada una, esto se realizó con la prueba estadística de Shapiro-Wilk, según la cual se describió cada variable con la mejor medida de tendencia central y de dispersión. Por último, se generaron gráficos de cajas y bigotes con el fin de poder explorar las variables cuantitativas contrastadas con las categóricas. Se realizaron todos estos procesos con el soporte del programa estadístico Stata, versión 11,1.
Los parámetros éticos en esta investigación fueron respetados acatando las decisiones autónomas y la capacidad de autodeterminación de las personas. Se tuvo en cuenta la obligación ética de no hacer daño ni causar perjuicios; se procuró a todo evento un bienestar, guiados siempre por los principios básicos de la integridad científica: honestidad, responsabilidad, cortesía y buena gestión de la investigación. Además, el proyecto fue presentado y aprobado por un comité de ética en Perú (n.º 17091-CIE/HONODOMANI) y otro en Honduras (EXE-2017-012-ext).
RESULTADOS
De los 1.283 encuestados, el rango de porcentajes de los médicos participantes fluctuó entre el 16,6-61,1 %, para las jefes de enfermería fue de 20,0-63,5 % y de las técnicas, 2,0-18,2 % (Tabla 1).

El 87,1 % (1.039) laboraba en un hospital (mediana de horas que labora al mes: 160 y de ingreso mensual: 840 dólares), el 23,3 % (255) también lo hacía en una clínica (mediana de horas que labora al mes: 80 y de ingreso mensual: 1.200 dólares). Además, el 20,5 % (220) trabajaba en un establecimiento de primer nivel de atención (mediana de horas que labora al mes: 160 y de ingreso mensual: 420 dólares) (Tabla 2).


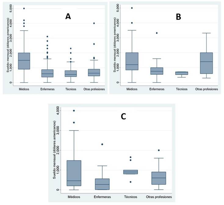
En la Figura 1 se muestra el gráfico de cajas y bigotes del sueldo mensual que recibían los profesionales según si laboraban en hospitales (A), clínicas (B) y primer nivel de atención (C). En esta se puede apreciar que los médicos eran los mejores remunerados en los hospitales, los médicos y otros profesionales en las clínicas y, la mediana del sueldo de los técnicos fue mayor en el primer nivel de atención.
El 31,2 % había realizado un curso de posgrado (mediana de años de término: cuatro), el 23,2 % un diplomado (mediana de años de término: tres), el 17,8 % una maestría (mediana de años de término: tres) y, el 5,1 %, un doctorado (mediana de años de término: seis). La gran mayoría había recibido el título/certificación por la actividad académica (rango de porcentajes: 75,1-96,0 %) (Tabla 3).

DISCUSIÓN
La gran mayoría de los encuestados laboraba en un hospital y unos cuantos lo hacían en una clínica o en el primer nivel de atención. Estos resultados son similares a otros de Latinoamérica, en donde gran parte de los recursos humanos se focalizan en los centros hospitalarios, dejando al primer nivel de atención con una menor cantidad de profesionales (11,12), como en el estudio realizado por Elorza et al. (13), donde se observa una distribución desigual de los recursos humanos en salud en el primer nivel de atención, principalmente, de médicos generales con mayor escases de estos en municipios con baja riqueza; lo anterior es equivalente a lo reportado en Argentina (14), donde la puerta de entrada al sistema de salud tiene grandes falencias en la distribución de sus profesionales sanitarios de manera equitativa, pues existe una necesidad de que hayan más médicos en dichos puestos. Esta es una situación presente en el ámbito mundial, en aquellas regiones con baja economía (15), que es diferente a lo encontrado en países desarrollados debido a que, el primer nivel de atención, es considerado como la base de todo el sistema de salud (16,17), tal como se ha dilucidado en China, donde la equidad en la fuerza laboral de salud ha venido aumentando a pasos agigantados en los últimos años, con énfasis en aquellos sitios en donde más necesidades existen (18,19); se ha tenido en mente el fortalecimiento de los puestos del primer nivel de atención.
Esta diferencia encontrada puede deberse a que en América Latina aún no se han logrado encaminar políticas enfocadas en un cambio en la visión de la atención médica clásica encauzada en el modelo flexneriano (20). Donde se tiende más a la subespecialización para tratar la enfermedad en lugar de prevenir su aparición, situación que provoca mayores costos al sistema de salud del gobierno, que termina delegando la prestación de los servicios a entes externosprivados, convirtiendo la salud en un negocio y, por tanto, al recurso humano de la salud en una víctima que se vende al mejor postor, dando como resultado el descuido de los sitios con baja economía que, por lo general, son los de mayores necesidades sanitarias.
Esto es concordante con lo demostrado en el presente estudio, ya que las clínicas eran las que brindaban mejores sueldos, seguidos de los hospitales y del primer nivel de atención. Se sabe que esta es una de las características principales del desánimo para el trabajo en el primer nivel de atención: la baja remuneración recibida, por lo que, como se dijo anteriormente, la fuerza laboral de salud estará más presente en los sitios de mayor pago.
Según un estudio realizado por el Banco Mundial en el 2008, el 58 % de las horas médicas de los especialistas estaban en el sector privado, dejando solo un 42 % en el ámbito público, debido a las diferencias abismales de remuneración entre lo privado y lo público (21,22). Son pocos los países latinoamericanos que han estandarizado los sueldos de los recursos humanos del área de la salud, generando que más profesionales se animen a laborar en el sector privado, ocasionando que los hospitales públicos y los puestos del primer nivel de atención queden relegados debido a que la estructura del sueldo en América Latina involucra una serie de componentes indirectos que se corresponden con beneficios cuantificables o no cuantificables (23).
En general, los médicos fueron los mejores remunerados. Sin embargo, las medianas de los sueldos no fueron tan diferentes en la práctica privada, siendo una característica de este tipo de trabajo, lo que provoca que muchos profesionales cualificados busquen trabajos en instituciones no gubernamentales. Sin remuneraciones competitivas o algún tipo de incentivo, se acrecienta la oferta de profesionales para el primer nivel de atención, así como a los hospitales públicos que, en muchas ocasiones, no cuentan con los recursos para competir con los incentivos económicos, académicos y personales ofrecidos por las entidades privadas (24). Esto genera un ciclo vicioso que se vuelve cada vez más profundo, donde los hospitales carecen de recursos humanos, pero las clínicas cuentan con más de lo requerido.
Son muchos los estudios que demuestran que, en general, el personal médico es el mejor pagado por sus servicios en comparación con los otros miembros del equipo de salud (25). Sin embargo, esto no quiere decir que dicho salario sea acorde con la actividad, esfuerzo y cantidad de horas que trabajan durante la semana, puesto que de corresponderse con ello, la remuneración debería ser mayor (25). De igual modo, es importante resaltar que en el área de la salud todavía existe una desigualdad de género en cuanto al pago reportado, donde las mujeres suelen verse afectadas por este hecho (25-27), que podría explicar por qué los médicos tienen un mayor sueldo en comparación con otras profesiones de su área; ya que, si bien el gremio médico suele mantener una proporción igualitaria entre mujeres y hombres titulados (26), las otras labores como jefe de enfermería y auxiliares de enfermería continúan teniendo un recurso humano predominantemente del género femenino (28), ocasionando que, por el sólo hecho de ser mujeres, su trabajo sea subvalorado y menor remunerado, lo que podría verse reflejado en un menor pago en comparación con el gremio médico que tiene igualdad de género en su profesión.
Por último, fue minoritario el porcentaje de profesionales que habían realizado alguna de las actividades académicas de posgrado y, si lo habían hecho, más de la mitad lo había realizado hace 3-6 años. Esto demuestra que aún es deficiente la educación continua que tienen los recursos humanos del sector de la salud latinoamericano; esto ha sido mostrado en un análisis llevado a cabo por Mejía et al. (29) en profesionales de la salud, donde se reveló que la educación continua tras el pregrado no es el fuerte en América Latina.
Incluso, existen reportes de que a pesar de que se realice un estudio de este tipo, son pocos los que llegan a consolidar lo aprendido para la mejora de algunas áreas descuidadas, como lo es la investigación (29,30). Por lo tanto, es recomendable la formación por competencias durante los posgrados (31).
Se tuvo un sesgo de selección ya que los encuestados no fueron seleccionados aleatoriamente, esto hace que los resultados no se puedan extrapolar a cada una de las realidades evaluadas. Sin embargo, este estudio puede ser tomado como base para futuras investigaciones por la gran cantidad de profesionales encuestados, así como por ser el primero en su tipo que se ha realizado en tantos países de Latinoamérica, logrando que los resultados puedan ser muy parecidos a la realidad. Los colegios profesionales y otras instituciones relacionadas de cada país deben ser los encargados de evaluar estos aspectos, puesto que les corresponde conocer la realidad si se pretende hacer intervenciones de mejora. Otro sesgo puede ser el de la información, a pesar de ello, esto fue mínimo a causa de que la encuesta era totalmente anónima, lo que brandaba confianza para que se respondiera con la verdad.
Con lo aquí presentado, se divisa la posibilidad de futuras investigaciones enfocadas en determinar las causas acerca del porqué los profesionales de la salud prefieren trabajar en clínicas u hospitales centrales en lugar de puestos de salud del primer nivel de atención, así como también, incursionar en estudios que determinen de qué manera la remuneración podría llegar a darse sin desigualdad de género. Otra línea que se podría desarrollar es aquella encargada de analizar posibles formas de incentivar una mejora en los sueldos y beneficios otorgados a los que trabajan en el primer nivel de atención, así como los incentivos para una educación continua tras el pregrado.
Por todo lo mencionado, se concluye que los recursos humanos evaluados trabajan en su mayoría en hospitales y los sueldos son diferentes según el lugar donde laboran. Los médicos son los que tienen una mayor remuneración, pero en el sector privado los sueldos se asemejan más que en los demás. Menos de la tercera parte han hecho cursos u otras actividades académicas, habiéndose culminados hace ya varios años.
REFERENCIAS BIBLIOGRÁFICAS
1. Almeida Filho N, Silva Paim J. La crisis de la salud pública y el movimiento de la salud colectiva en Latinoamérica. Cuad médico Soc. 1999;75:5-30.
2. Sachs JD. Macroeconomics and health: investing in health for economic development. Rev Panam Salud Publica. 2002;12(2):143-4. DOI 10.1590/S1020-49892002000800017.
3. Soto A. Recursos humanos en salud. Rev Peru Med Exp Salud Publica. 2011;28(2):173-4. DOI 10.17843/rpmesp.2011.282.480.
4. Goodman DC. Expanding the medical workforce. BMJ. 2007;335(7613):218-9. DOI 10.1136/bmj.39265.448715.80.
5. Goodman DC, Robertson RG. Accelerating physician workforce transformation through competitive graduate medical education funding. Heal Aff. 2013;32(11):1887-92. DOI 10.1377/hlthaff.2013.0451.
6. Cooper RA. States with more physicians have betterquality health care. Heal Aff. 2009;28(1):w91-w102. DOI 10.1377/hlthaff.28.1.w91.
7. Krishnaswami S, Nwomeh BC, Ameh EA. The pediatric surgery workforce in low-and middle-income countries: problems and priorities. Semin Pediatr Surg. 2016;25(1):32-42. DOI 10.1053/j.sempedsurg.2015.09.007.
8. Jiménez MM, Mantilla E, Huayanay-Espinoza CA, Gil K, García H, Miranda JJ. Mercado de formación y disponibilidad de profesionales de ciencias de la salud en el Perú. Rev Peru Med Exp Salud Publica. 2015;32(1):41-50. DOI 10.17843/rpmesp.2015.321.1573.
9. Zevallos L, Pastor R, Moscoso B. Oferta y demanda de médicos especialistas en los establecimientos de salud del ministerio de salud: brechas a nivel nacional, por regiones y tipo de especialidad. Rev Peru Med Exp Salud Publica. 2011;28(2):177-85. DOI 10.17843/rpmesp.2011.282.482.
10. Villarroel González SR. Planificación de recursos humanos de la salud en Chile: breve tránsito histórico de sus políticas públicas. Medwave. 2016;16(10):e6611. DOI 10.5867/medwave.2016.10.6611.
11. Yánez ÁC, Toffoletto MC. Reflexiones sobre los recursos humanos en enfermería y salud en América Latina: una revisión integradora. Rev Iberoam Educ Investi Enferm. 2016;6(1):78-87.
12. Buchan J, Couper ID, Tangcharoensathien V, Thepannya K, Jaskiewicz W, Perfilieva G, et al. Early implementation of WHO recommendations for the retention of health workers in remote and rural areas. Bull World Heal Organ. 2013;91(11):834-40. DOI 10.2471/BLT.13.119008.
13. Elorza ME, Moscoso NS, Lago FP. Acceso potencial a los recursos humanos del primer nivel de atención en la Provincia de Buenos Aires (Argentina). Horiz Santiario. 2016;15(3):123-33.
14. Ballesteros MS. Profesionales de la salud en el primer nivel de atención de la Argentina : Un análisis sobre las desigualdades jurisdiccionales. Geograficando. 2016;12(2):e015.
15. Makwero MT. Delivery of primary health care in Malawi. Af J Prim Heal Care Fam Med. 2018;10(1):e1-e3. DOI 10.4102/phcfm.v10i1.1799.
16. Chuenkongkaew WL, Negandhi H, Lumbiganon P, Wang W, Mahmud K, Cuong PV. Attitude towards working in rural area and self-assessment of competencias in last year medical students: A survey of five countries in Asia. BMC Med Educ. 2016;16(1):238. DOI 10.1186/s12909-016-0719-9.
17. Kuhlmann E, Groenewegen PP, Bond C, Burau V, Hunter DJ. Primary care workforce development in Europe: An overview of health system responses and stakeholder views. Health Policy (New York). 2018;122(10):1055-62. DOI 10.1016/j.healthpol.2018.07.021.
18. Zhu B, Hsieh C-W, Zhang Y. Incorporating spatial statistics into examining equity in health workforce distribution: an empirical analysis in the chinese context. Int J Env Res Public Heal. 2018;15(7):e1309. DOI 10.3390/ijerph15071309.
19. Zhu B, Fu Y, Liu J, Mao Y. Modeling the Dynamics and Spillovers of the Health Labor Market: Evidence from China’s Provincial Panel Data. Sustainability. 2018;10(2):333. DOI 10.3390/su10020333.
20. Pinilla AE. Educación en ciencias de la salud y en educación médica. Acta Med Colomb. 2018;43(2):61-5. DOI 10.36104/amc.2018.1365.
21. Albert C, Jara M. Crisis de médicos especialistas en la salud pública: las causas de un tumor de larga data. CIPER. 2015.
22. Urcullo G, Vacano J, Ricse C, Cid C. Health Worker Salaries and Benefits: Lessons from Bolivia, Peru and Chile. Final Report [internet]. [Consultado el 27 de junio de 2020]. Disponible en: Disponible en: https://cutt.ly/Mkk7RL2
23. Espinosa V, de la Torre D, Acuña C, Cadena C. Los recursos humanos en salud según el nuevo modelo de atención en Ecuador. Rev Panam Salud Publica . 2017;41:e52. DOI 10.26633/RPSP.2017.52.
24. Méndez CA, Torres A MC. Autonomía en la gestión hospitalaria en Chile: los desafíos para el recurso humano en salud. Rev Saúde Pública. 2010;44(2):366-71. DOI 10.1590/S0034-89102010000200019.
25. Zhang C, Liu Y. The salary of physicians in Chinese public tertiary hospitals: a national cross-sectional and follow-up study. BMC Heal Serv Res. 2018;18(1):661. DOI 10.1186/s12913-018-3461-7.
26. Miao Y, Li L, Bian Y. Gender differences in job quality and job satisfaction among doctors in rural western China. BMC Heal Serv Res. 2017;17(1):848. DOI 10.1186/s12913-017-2786-y.
27. Hannawi S, Al Salmi I. Time to address gender inequalities against female physicians. Int J Heal Plann Manag. 2018;33(2):532-41. DOI 10.1002/hpm.2476.
28. Bernalte Martí V. Minoría de hombres en la profesión de enfermería. Reflexiones sobre su historia, imagen y evolución en España. Enferm Glob. 2015;14(37):328-34. DOI 10.6018/eglobal.14.1.198631.
29. Mejia CR, Chacón JI, Garay Jaramillo E, Jorge Torrealba M, Delgado-García S, Aveiro Róbalo R, et al. Capacitaciones e investigación realizados por los recursos humanos en salud, Latinoamérica. Educ Med. 2018. En prensa. DOI 10.1016/j.edumed.2018.08.005.
30. Mejia CR, Valladares-Garrido MJ, Valladares-Garrido D. Baja publicación en revistas científicas de médicos peruanos con doctorado o maestría: frecuencia y características asociadas. Educ Med. 2018;19(Suppl 2):135-41. DOI 10.1016/j.edumed.2017.01.009.
31. Galindo-Cárdenas LA, López-Núñez JA, Arango-Rave ME, Vallejo-Merino I. Tendencias de la investigación sobre educación en los posgrados médicos. Iatreia. 2015;28(4):434-442. DOI 10.17533/udea.iatreia.v28n4a08.
Notas
Notas de autor
*Correspondencia: Felipe Serrano Torres; orconie1@hotmail.com
Declaración de intereses