Investigación original
Caracterización del perfil biomédico y deportivo en futbolistas profesionales*
Characterization of the biomedical and sports profile in professional soccer players
Caracterización del perfil biomédico y deportivo en futbolistas profesionales*
Iatreia, vol. 35, núm. 4, pp. 404-413, 2022
Universidad de Antioquia
Recepción: 27 Julio 2021
Aprobación: 29 Septiembre 2021
Resumen
Introducción: caracterizar los deportistas es fundamental. En fútbol profesional se efectúa, aunque no de forma estandarizada. Esta investigación es la primera fase de un modelo de evaluación y seguimiento.
Objetivo: describir el perfil de las variables del control biomédico y deportivo en un equipo de futbolistas profesionales.
Métodos: estudio descriptivo en 32 futbolistas. Variables agrupadas en: 1) identificación; 2) antecedentes deportivos; 3) antropométricas; 4) monitoreo del entrenamiento; 5) fuerza; 6) GPS. Las mediciones se efectuaron según protocolo estandarizado. Se presentan las medias y desviaciones estándar (DE), medianas y rango intercuartíl (RIQ), y frecuencias relativas. En componentes claves se efectúan análisis por posición de juego.
Resultados: la edad media fue 24,0 ± 4,6. El tiempo como profesional fue de 5,5 años. Las lesiones ligamentarias y musculares fueron los antecedentes más comunes con 31,5 % y 22,9 %, respectivamente; el 71,0 % ocurrieron en competencia. Los arqueros y delanteros tuvieron mayores porcentajes de masa adiposa. Defensas y volantes presentaron las mayores distancias recorridas con 64.560 y 64.386 metros, respectivamente. Los defensas y delanteros alcanzaron las mayores frecuencias de sprint (>27km/h). Los mayores desequilibrios de fuerza lo registraron los arqueros (50 % rodilla izquierda), seguidos de un 33,0 % en los volantes. Se evidenció alta heterogeneidad en los valores de creatina quinasa (CPK).
Conclusión: un modelo estandarizado e interdisciplinario permite determinar el estado nutricional y antecedentes, monitorizar la carga y perfil de juego, evaluar los desequilibrios y marcadores de sobrecarga muscular; con miras a reducir el riesgo de lesiones y aumentar el rendimiento.
Palabras clave: Antropometría+ Creatina Quinasa+ Fuerza Muscular+ Fútbol+ Sistemas de Información Geográfica.
Summary
Introduction: Characterizing athletes is essential. In professional soccer it is done, although not in a standardized way. This research is the first phase of an evaluation and monitoring model.
Objective: To describe the profile of the variables of biomedical and sports control in a team of professional soccer players.
Methods: Descriptive study in 32 soccer players. Variables were grouped in: 1) identification; 2) sports background; 3) anthropometry; 4) training monitoring; 5) strength; 6) GPS. Measurements were made according to standardized protocol. The means and standard deviations (SD), medians and interquartile range (IQR) and relative frequencies are presented. Analysis by playing position is carried out on key components.
Results: The mean age was 24.0 ± 4.6. The time as a professional was 5.5 years. Ligament and muscle injuries were the most common antecedents with 31.5% and 22.9%, respectively; 71.0% occurred in competition. Goalkeepers and forwards had higher percentages of fat mass. Defenders and midfielders had the longest distances covered with 64.560 and 64.386 meters, respectively. Defenders and forwards reached the highest sprint frequencies (>27km /h). The greatest strength imbalances were recorded by goalkeepers (50% left knee), followed by 33.0% in midfielders. High heterogeneity was evidenced in creatine kinase (CPK) values.
Conclusion: A standardized and interdisciplinary model allows determining nutritional status and antecedents, monitoring load and playing profile, evaluating imbalances and muscle overload markers; with the aim of reducing the risk of injury and increasing performance.
Keywords: Anthropometry, Creatine Kinase, Geographic Information Systems, Muscle Strength, Soccer.
Introducción
Los jugadores profesionales pierden en promedio 37 días por lesión durante una temporada (1), situación que genera efectos en salud, costos y limita la consecución de altos logros. Investigaciones recientes indican un aumento del riesgo de lesiones, en especial cuando los jugadores tienen menos de 4 días de recuperación entre partidos; lo que indica que la fatiga residual impacta significativamente las tasas de incidencia. Para evitar lesiones, se debe monitorizar la carga de entrenamiento y competencia (2).
Caracterizar a los deportistas es fundamental. El interés por la mejora deportiva ha llevado al análisis de los factores determinantes del desempeño, generando modelos de evaluación que permiten depurar las variables, aplicar pruebas de laboratorio, test y tecnologías (3). El alto rendimiento es el resultado de diversos factores: la condición genética, el entrenamiento, la nutrición y estado de salud del deportista. El control biomédico se orienta al análisis de estos factores, con el fin de determinar el perfil y posibilidades de cada jugador (4). La valoración funcional consiste en la evaluación objetiva de las capacidades físicas de un individuo para realizar una tarea (5).
En el control biomédico el trabajo interdisciplinario es clave, posibilitando modelos preventivos de condiciones como el sobreentrenamiento y las lesiones. A la par, se debe tener en cuenta que las demandas en el fútbol varían con la edad, el nivel de competición, la posición y el estilo de juego (6). Así, se requieren diferentes perfiles de condición física, táctica y técnica; de ahí, la importancia de caracterizar al deportista, optimizando procesos y evitando errores. La pregunta de investigación fue: ¿Cuál es el perfil biomédico y deportivo en futbolistas profesionales de un equipo colombiano en la pretemporada 2020-I?
Métodos
Diseño: estudio epidemiológico descriptivo. El protocolo fue avalado por el Comité de Ética Instituto de Investigaciones Médicas Facultad de Medicina; UdeA, y contó con autorización de las Directivas del Equipo. Todos los participantes firmaron consentimiento informado. Se siguió un protocolo estandarizado para el control biomédico y deportivo. Criterios de inclusión: futbolistas profesionales de sexo masculino, edad ≥18 años, firma del consentimiento informado y deportistas evaluados en la pretemporada. Criterios de exclusión: futbolistas de las categorías inferiores, presencia de lesiones en la pretemporada 2021-I (rehabilitación). Deportistas que no hicieron parte de la pretemporada. Unidad de análisis: futbolistas profesionales del Deportivo Independiente Medellín (DIM). No se efectuó un muestreo probabilístico. Se realizó en toda la plantilla profesional (N=32). Variables (componentes): 1) Identificación. 2) Antecedentes deportivos. 3) Antropométricas. 4) Monitoreo entrenamiento. 5) Fuerza. 6) GPS.
Técnicas e instrumentos
Antropometría: fue realizada por la nutricionista del equipo (certificación: ISAAK II). El peso: se midió antes del entrenamiento y con la menor cantidad de ropa; se empleó una báscula SECA (Ref: 874). La talla: se valoró sin calzado, garantizando los puntos de contacto y posición del cuerpo; se utilizó un tallímetro SECA (Ref: 213). Se calculó el índice de masa corporal (IMC) por medio de la fórmula de Quetelet: (IMC= Peso kg/Talla m2). Pliegues cutáneos (#8): subescapular, tríceps, bíceps, suprailíaco, supraespinal, abdominal, muslo frontal y pantorrilla; se utilizó un adipómetro de policarbonato CESCORF. Perímetros (# 9): cabeza, brazo relajado, brazo contraído, antebrazo máximo, tórax mesoesternal, cintura, cadera, muslo medio y pantorrilla; se empleó una cinta métrica LUFKIN (Ref: W606PM 2m). Diámetros (#6): biacromial, tórax transverso, tórax AP, biileocrestideo, humeral, femoral; se utilizó un antropómetro de huesos cortos (18cm) y largos (60 cm) CESCORF. Los puntos de referencia y técnica para las mediciones fueron los establecidos por la International Standards for Anthropometric Assessment (ISAAK) (7). Se determinó el estado nutricional por 5 componentes: masa adiposa, masa muscular, masa residual, masa ósea y piel.
Variables de monitoreo por telemetría (GPS): distancia total recorrida, aceleraciones, desaceleraciones, distancia en sprint 1 (24-27 km/h), distancia en sprint 2 (>27 km/h) y metros recorridos por minuto. Se tomaron las mediciones durante el entrenamiento. El dispositivo se encendió al momento de iniciar la actividad y se detuvo al momento de salir del campo. Se utilizó un dispositivo GPS Catapult (Ref: Vector S7-4 GHz). La instalación del dispositivo fue realizada por el preparador físico del equipo.
Test de 1 repetición máxima (1-RM): llevada a cabo por el preparador físico del equipo, quien dirigió un calentamiento en bicicleta (5 min), posteriormente ejercicios con Theraband (3 series/8 repeticiones). Fueron utilizadas máquinas de extensores y de flexores de rodilla (marca: Sport-Fitness). Los evaluados efectuaron movimientos concéntricos en posición sentada, con ajustes de banco de 0º a 90º para flexión de rodilla y de 90º a 0º para extensión de rodilla (8). Allí, realizaron 3 series de 2 repeticiones (carga 4 a 8 kg), indicando la técnica de movimiento. Se inició la prueba con el 60 % del peso corporal para extensores y el 30 % para flexores.
Control bioquímico: la toma de muestras se efectuó en las primeras horas de la mañana (antes de iniciar entrenamiento), a cargo de los médicos del equipo, previa asepsia y antisepsia. Se tomó la muestra con lanceta en la zona central de la yema del dedo índice. Dicha muestra se dispuso en una tirilla y fue procesada en un dispositivo de diagnóstico cuantitativo de parámetros de química clínica (marca: ReflotronPlus).
Registro de la información: historia clínica del Departamento Médico. Formato estandarizado elaborado por el staff (Excel Microsoft Windows 10.0).
Análisis estadístico
Se evaluó la calidad de los datos. Se analizaron datos faltantes y valores extremos. Se empleó la función de identificación de datos atípicos, procediendo a su verificación y ajuste. En variables cuantitativas se verificó el supuesto de normalidad (prueba Shapiro-Wilk). En la exploración de datos se emplearon estadísticos de tendencia central, dispersión y posicionamiento. Variables con distribución normal se presentan con la media y desviación estándar (DE). Variables no normales, se describen con la mediana y el rango intercuartílico (RIQ). En variables cualitativas se emplean frecuencias absolutas y relativas. Las estimaciones puntuales de medias y porcentajes para la caracterización de los futbolistas se acompañan del intervalo de confianza del 95 % (IC 95 %). La CPK se analizó el primer día de pretemporada (inicial) y al final (control posterior a un partido). Esto por sus implicaciones para el control biomédico como referente de tolerancia y respuesta a la carga. El equilibrio de fuerza entre flexores y extensores de rodilla se definió por medio de un cociente entre los valores del test. El punto de corte para desequilibrio fue: 0,6. Se presentan las proporciones de jugadores con desequilibrios en el patrón de fuerza, según posición de juego. Se analizaron los perfiles de actividad de los jugadores (monitoreo GPS), según posición de juego. Para los análisis se empleó el programa SPSS (versión 23.0).
Resultados
Se efectuó la caracterización en 32 futbolistas. Las variables demográficas y deportivas se presentan en la Tabla 1. La edad promedio fue 24,0 ± 4,7 años. Predominaron los jugadores diestros 68,8 %. El 50 % presentó una edad profesional entre 2 y 9 años. Con relación a la posición de juego, la mayoría fueron volantes y defensas 37,5 % y 34,4 %, respectivamente. Al considerar los antecedentes de lesiones, el 31,5% fueron ligamentarias, el 22,9 % musculares y 7 de cada 10 lesiones ocurrieron en competencia.
Características antropométricas
Son registradas en la Tabla 2. Según posición de juego, la talla media fue mayor en los arqueros 185,7 ± 0,9 centímetros. Las tallas fueron similares en volantes y delanteros. El IMC mayor se halló en arqueros 25,5 ± 2,4. En las demás posiciones de juego los valores del IMC fueron similares (clasificación normal). En la sumatoria de pliegues los valores más altos corresponden a los delanteros y arqueros 62,8 ± 8,8 y 60,3 ± 19,0 milímetros, respectivamente. En concordancia, los porcentajes de masa grasa superiores fueron hallados en estos jugadores (valores del 21 %). Arqueros y defensas presentaron los porcentajes de masa muscular mayores 52,3 % y 51,0 %, respectivamente.

Fuerza flexores-extensores
Se encontró un mayor desequilibrio en los volantes y arqueros 33 % y 25 %, respectivamente. En el desequilibrio en rodilla izquierda predominaron los arqueros con un 50 %, seguidos por un tercio de los volantes. En promedio la quinta parte de los jugadores presentaron desequilibrio de fuerza en rodilla derecha o izquierda (ver Figura 1).


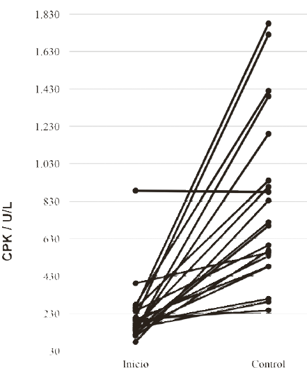
Control bioquímico
Se tomaron muestras para CPK (inicial y control). La Figura 2 presenta el comportamiento de la variable en los jugadores monitorizados. Se aprecia la heterogeneidad, con incrementos importantes en algunos futbolistas, y, en otros, sin cambios sustanciales. Análisis adicionales por posición de juego, indicaron que los defensas y los volantes presentaron un cambio mayor, con relación al valor inicial (incrementos 4 a 5 veces del valor inicial).
GPS
La Tabla 3 muestra el resultado de las variables de monitoreo por GPS, según posición de juego. Los defensas y los volantes recorrieron las mayores distancias con 64.560 y 64.386 metros, respectivamente. Los delanteros lograron la mayor distancia en sprint 1 (24-27 km/h). En sprint 2 (>27 km/h), los defensas alcanzaron los valores mayores. Los arqueros no registraron velocidades en sprint 1 y 2. En cuanto a las acciones de alta intensidad (aceleraciones/desaceleraciones), los defensas fueron quienes lograron obtener una mayor frecuencia de acciones, seguidos de los delanteros.


Discusión
La caracterización antropométrica del deportista es primordial. La estructura y la composición corporal son factores que influyen en la condición física y el desempeño (9). Entre los métodos de campo, la toma de medidas sigue siendo la técnica más usada, económica y práctica (10). Sutton et al. (11), concluyeron que los porcentajes de masa magra y masa adiposa (cuando no se incluyen datos de los porteros), son variables útiles para diferenciar futbolistas de la población general. Además, mencionan la relevancia de controlar variables antropométricas durante la temporada.
Nuestros resultados concuerdan con otras investigaciones (11-13), que utilizaron técnicas de espesor de pliegues cutáneos e informaron diferencias significativas en la composición según posición de juego. La mayoría de ellas entre porteros y jugadores de campo. Los porteros fueron los jugadores más altos, pesados y con un mayor porcentaje de masa grasa (12,13); y sólo se informan diferencias antropométricas menores entre los jugadores de campo.
Consistentemente, entre los jugadores de campo de nuestra investigación, los defensores constituyeron el grupo más alto y pesado. Igual que otros autores (11), en los volantes se identificaron valores más bajos en peso, talla y kg de masa magra; sin embargo, cuando se convierten los valores absolutos a relativos, las diferencias no son evidentes.
La CPK fisiopatológicamente está asociada al daño muscular producto de actividades de alta intensidad; de ahí, su uso como parámetro indicativo de sobrecarga (14) y cuando se vincula a GPS su control es mayor (15). Si bien su correlación con daño muscular es clara, debe tenerse presente que existen individuos con aumentos desproporcionados, como es el caso de aquellos con mayor cantidad de fibras tipo 2 (16); por ello, en la literatura científica no existe consenso sobre los valores referentes para determinar sobrecarga muscular o riesgo de lesión (14,17,18). Sin embargo, se ha demostrado que la CPK tiende a elevarse con respecto a los valores de pretemporada y semanas antes de una lesión (19). También, se evidenció la heterogeneidad de este marcador, con incrementos de hasta 5 veces el valor inicial, en tanto que otros jugadores presentaron variaciones mínimas; este hallazgo es compatible con estudios internacionales (17,20) y nacionales (19). Actualmente, se reconoce la utilidad de hacer un control periódico individual, tomando como referencia niveles basales de cada jugador, para obtener un perfil propio.
Fueron evaluados los desequilibrios de fuerza entre flexores y extensores de rodilla. La fuerza muscular puede ser determinada por dinamometría isocinética (estándar de referencia) (21). Sin embargo, el equipo tiene alto costo, limitando su utilización en la práctica médica (22).
La prueba de una repetición máxima (1-RM) es de uso común, es una medida válida, confiable, simple y económica, permitiendo evaluar los cambios en situaciones que no son de laboratorio (8). Un estudio (22) comparó las medidas de la relación isquiotibiales/ cuádriceps (H/Q), obtenidos mediante dinamometría, y la prueba de 1-RM. Aunque estas pruebas evalúan diferentes tipos de contracción muscular, los resultados mostraron alta correlación. (r = 0,89), sin diferencias significativas entre métodos.
Una revisión sistemática (23) que incluyó 32 estudios de calidad metodológica moderada a excelente, concluyó que la prueba de 1-RM tiene confiabilidad testretest buena a excelente; justificando su aplicación cuando no se cuenta con máquinas isocinéticas. En nuestra investigación se encontró que el mayor porcentaje de desequilibrio lo registran los arqueros, la mitad de ellos en la rodilla izquierda, seguidos de un tercio de los volantes (bilateral).
Existe controversia frente a la utilidad de la evaluación de los desequilibrios de fuerza como factor de riesgo de lesiones. Un estudio (24) de cohorte con seguimiento de 4 años, realizado en 614 futbolistas, indicó que no es compatible el uso de pruebas isocinéticas para determinar la relación entre la diferencia de fuerza y las lesiones en isquiotibiales, argumentando que el valor clínico de estas pruebas es limitado. Otros investigadores (25), indican que se puede asumir que la fuerza muscular (evaluada isocinéticamente) y los desequilibrios juegan un papel clave en las lesiones musculares, con tasas de lesión aumentadas significativamente en sujetos con desequilibrios de fuerza, comparativamente con quienes no mostraron desequilibrio en la pretemporada. Otro aspecto es el punto de corte para definir la presencia de desequilibrio; la literatura indica que la aplicación de diferentes valores de corte para la razón H/Q afecta la sensibilidad y especificidad de la prueba como herramienta predictiva de lesiones musculares (26). Por lo general, los estudios en fútbol, utilizan dos umbrales (H/Q = 0,60 y 0,47) para los movimientos concéntricos de flexión-extensión de rodilla. En nuestro estudio el punto de corte utilizado fue 0,6. Así, el 75% y 68,8 % de los jugadores no presentó desequilibrios en pierna derecha e izquierda, respectivamente.
El monitoreo por GPS se ha hecho frecuente en el fútbol, empleándose para identificar perfiles de actividad de los jugadores; también, como herramienta para mantener el equilibrio entrenamiento/recuperación, maximizando el rendimiento y minimizando el riesgo de lesiones (27). Las distancias recorridas se analizaron con dos variables: la distancia total recorrida (absoluta) y la distancia recorrida en metros por minuto (relativa). Las distancias promedio recorridas fueron similares a las halladas por otros autores (28-31). Al comparar por posiciones de juego, en nuestro estudio los defensas fueron los que mayor distancia absoluta y relativa recorrieron, seguidos por volantes y delanteros. En los defensas de nuestro estudio las distancias relativas recorridas difieren con las reportadas en otra investigación durante las sesiones de entrenamiento en pretemporada (42 m/min vs. 66,7 m/min) (29).
Considerando las acciones de alta intensidad (aceleraciones/desaceleraciones y sprints), de forma similar a otros autores (29), los defensas logran mayor número de acciones en velocidad en sprint y aceleraciones/ desaceleraciones. Sin embargo, el análisis de estas variables plantea una dificultad al momento de realizar comparaciones con otros estudios, dado que los datos de las variables del GPS son reportados de diferentes formas. Un metanálisis reciente (32), concluyó que hay poca uniformidad en la presentación de resultados en las variables GPS de alta intensidad. Las situaciones descritas exigen precaución al hacer comparaciones. En los arqueros hay evidencias limitadas, en nuestro estudio la distancias recorridas fueron menores y fueron escasas las acciones de alta intensidad, lo que concuerda con lo reportado por otros autores (33).
En cuanto a las limitaciones debe señalarse que es un estudio transversal con alcance descriptivo. Además, se adelantó el estudio en una población pequeña, lo cual incrementa la imprecisión en las estimaciones y restringe los análisis por covariables. El potencial de inferencia es limitado, pues solo se trabajó con un equipo de futbol profesional.
Son fortalezas de la investigación efectuada que las evidencias corresponden con la primera fase de un modelo estandarizado de evaluación y seguimiento. Adicionalmente, la definición de variables para la evaluación, clasificación y monitoreo se realizó por un staff, considerando lineamientos internacionales FIFA-UEFA, criterios estadísticos y epidemiológicos.
Conclusión
Un modelo estandarizado e interdisciplinario permite determinar el estado nutricional y los antecedentes, monitorizar la carga y perfil de juego, evaluar los desequilibrios y marcadores de sobrecarga muscular; con miras a reducir el riesgo de lesiones y aumentar el rendimiento.
Agradecimientos
A los futbolistas, directivas y departamento médico del Deportivo Independiente Medellín (DIM). Al Posgrado Medicina Aplicada a la Actividad Física y el Deporte Facultad de Medicina; UdeA (Grupo GRINMADE). Al Grupo de Epidemiología Facultad Nacional de Salud Pública; UdeA.
Referencias
Ekstrand J, Hägglund M, Waldén M. Injury incidence and injury patterns in professional football: The UEFA injury study. Br J Sports Med. 2011;45(7):553-8. DOI 10.1136/bjsm.2009.060582.
McCall A, Pruna R, Van der Horst N, Dupont G, Buchheit M, Coutts AJ, Et al. Exercise-Based Strategies to Prevent Muscle Injury in Male Elite Footballers: An Expert-Led Delphi Survey of 21 Practitioners Belonging to 18 Teams from the Big-5 European Leagues. Sports Med. 2020 Sep;50(9):1667-1681. DOI 10.1007/s40279-020-01315-7.
García Manso JM. Hacia un nuevo enfoque teórico del entrenamiento deportivo. Infocoes. 1997;2(2):3-14.
Viru AA, Viru M. Biochemical monitoring of sport training. Barcelona: Human Kinetics; 2001.
Rodríguez FA. Bases metodológicas de la valoración funcional. Ergometría. En: González Iturri JJ, Villegas JA, coord. Valoración del deportista. Aspectos biomédicos y funcionales. Monografías FEMEDE n.º6 Pamplona: Federación española de medicina del deporte, 1999;(6):229-71.
Carbonell A, Aparício V, Delgado M. Valoración de la condición física en futbolistas de categoría cadete. Rev Kronos. 2009;(15):101-6.
International Society for Advancement of Kinanthropometry. International Standards for anthropometric Assessment. Potchefstroom: International Society for the Advancement of Kinanthropometry; 2001.
Seo DI, Kim E, Fahs CA, Rossow L, Young K, Ferguson SL, Et al. Reliability of the one-repetition maximum test based on muscle group and gender. J Sports Sci Med. 2012 Jun 1;11(2):221-5.
Nikolaidis PT, Ruano MA, de Oliveira NC, Portes LA, Freiwald J, Leprêtre PM, et al. Who runs the fastest? Anthropometric and physiological correlates of 20 m sprint performance in male soccer players. Res Sports Med. 2016 Oct-Dec;24(4):341-351. DOI 10.1080/15438627.2016.1222281.
Ackland TR, Lohman TG, Sundgot-Borgen J, Maughan RJ, Meyer NL, Stewart AD, et al. Current status of body composition assessment in sport: review and position statement on behalf of the ad hoc research working group on body composition health and performance, under the auspices of the I.O.C. Medical Commission. Sports Med. 2012 Mar 1;42(3):227-49. DOI 10.2165/11597140-000000000-00000.
Sutton L, Scott M, Wallace J, Reilly T. Body composition of English Premier League soccer players: influence of playing position, international status, and ethnicity. J Sports Sci. 2009 Aug;27(10):1019-26. DOI 10.1080/02640410903030305.
Matković BR, Misigoj-Duraković M, Matković B, Janković S, Ruzić L, Leko G, Kondric M. Morphological differences of elite Croatian soccer players according to the team position. Coll Antropol. 2003;27 Suppl 1:167-74.
Arnason A, Sigurdsson SB, Gudmundsson A, Holme I, Engebretsen L, Bahr R. Physical Fitness, Injuries, and Team Performance in Soccer. Med Sci Sports Exerc. 2004;36(2):278-85.
Meyer T, Meister S. Routine blood parameters in elite soccer players. Int J Sports Med. 2011 Nov;32(11):87581. DOI 10.1055/s-0031-1280776.
Bertschy M, Howard JT, Oyama S, Cheever K. Reduced Injury Prevalence in Soccer Athletes Following GPS Guided Acclimatization. Int J Exerc Sci. 2021 Aug 1;14(7):1070-7.
Wong ET, Cobb C, Umehara MK, Wolff GA, Haywood LJ, Greenberg T, et al. Heterogeneity of serum creatine kinase activity among racial and gender groups of the population. Am J Clin Pathol. 1983 May;79(5):5826. DOI 10.1093/ajcp/79.5.582.
Lazarim FL, Antunes-Neto JM, da Silva FO, Nunes LA, Bassini-Cameron A, Cameron LC, et al. The upper values of plasma creatine kinase of professional soccer players during the Brazilian National Championship. J Sci Med Sport. 2009 Jan;12(1):85-90. DOI 10.1016/j. jsams.2007.10.004.
Brancaccio P, Maffulli N, Limongelli FM. Creatine kinase monitoring in sport medicine. Br Med Bull. 2007;81-82:209-30. DOI 10.1093/bmb/ldm014.
Osorio JJ, Méndez EA, Aguirre-Acevedo D, OsorioCiro J, Calderón JC, Gallo-Villegas JA. Creatine phosphokinase and urea as biochemical markers of muscle injuries in professional football players. Asian J Sports Med. 2018;9(4). DOI 10.5812/asjsm.60386.
Silva JR, Rebelo A, Marques F, Pereira L, Seabra A, Ascensão A, Magalhães J. Biochemical impact of soccer: an analysis of hormonal, muscle damage, and redox markers during the season. Appl Physiol Nutr Metab. 2014 Apr;39(4):432-8. DOI 10.1139/apnm-2013-0180.
Abernethy P, Wilson G, Logan P. Strength and power assessment. Issues, controversies and challenges. Sports Med. 1995 Jun;19(6):401-17. DOI 10.2165/00007256-199519060-00004. Erratum in: Sports Med 1995 Sep;20(3):205.
Sabino GS, Felício DC, Guimarães CQ, Da Graça Azevedo Abreu BJ, De Brito Vieira WH. Validity analysis of one-repetition maximum strength test for determining the hamstrings-to-quadriceps ratio. Motriz Rev Educ Fis. 2016;22(3):133-7. DOI 10.1590/S19806574201600030003.
Grgic J, Lazinica B, Schoenfeld BJ, Pedisic Z. Test-Retest Reliability of the One-Repetition Maximum (1RM) Strength Assessment: a Systematic Review. Sport Med Open. 2020;6(1). DOI 10.1186/s40798-020-00260-z.
van Dyk N, Bahr R, Burnett AF, Whiteley R, Bakken A, Mosler A, et al. A comprehensive strength testing protocol offers no clinical value in predicting risk of hamstring injury: a prospective cohort study of 413 professional football players. Br J Sports Med. 2017 Dec;51(23):1695-1702. DOI 10.1136/bjsports-2017-097754.
Lehance C, Binet J, Bury T, Croisier JL. Muscular strength, functional performances and injury risk in professional and junior elite soccer players. Scand J Med Sci Sports. 2009 Apr;19(2):243-51. DOI 10.1111/j.16000838.2008.00780.x.
Grygorowicz M, Michałowska M, Walczak T, Owen A, Grabski JK, Pyda A, et al. Discussion about different cut-off values of conventional hamstring-toquadriceps ratio used in hamstring injury prediction among professional male football players. PLoS One. 2017 Dec 7;12(12):e0188974. DOI 10.1371/journal.pone.0188974.
Ehrmann FE, Duncan CS, Sindhusake D, Franzsen WN, Greene DA. GPS and Injury Prevention in Professional Soccer. J Strength Cond Res. 2016 Feb;30(2):360-7. DOI 10.1519/JSC.0000000000001093.
Hartmann U, Mester J. Training and overtraining markers in selected sport events. Med Sci Sports Exerc. 2000 Jan;32(1):209-15. DOI 10.1097/00005768200001000-00031.
Casamichana D, Castellano J, Deporte C. Demandas físicas en jugadores semiprofesionales de fútbol. Deporte. 2011;6:121-7.
Scott BR, Lockie RG, Knight TJ, Clark AC, Janse de Jonge XA. A comparison of methods to quantify the in-season training load of professional soccer players. Int J Sports Physiol Perform. 2013 Mar;8(2):195202. DOI 10.1123/ijspp.8.2.195.
Clemente FM, Owen A, Serra-Olivares J, Nikolaidis PT, van der Linden CMI, Mendes B. Characterization of the Weekly External Load Profile of Professional Soccer Teams from Portugal and the Netherlands. J Hum Kinet. 2019 Mar 27;66:155-164. DOI 10.2478/hukin-2018-0054.
Miguel M, Oliveira R, Loureiro N, García-Rubio J, Ibáñez SJ. Load Measures in Training/Match Monitoring in Soccer: A Systematic Review. Int J Environ Res Public Health. 2021 Mar 8;18(5):2721. DOI 10.3390/ijerph18052721.
Kubayi A, Larkin P. Match performance profile of goalkeepers during the 2019 COPA America soccer championship. Med dello Sport. 2020;73(3):453-60. DOI 10.23736/S0025-7826.20.03724-2.
Notas
Notas de autor
*Autor para correspondencia: Sandra Milena Díaz-Cano; sandram.diaz@udea.edu.co
Declaración de intereses