Artículo original
Márgenes histopatológicos positivos: ¿se relacionan siempre con recidiva tumoral en carcinoma glótico temprano?
Positive Histopathological Margins: Are They Always Associated with Tumor Recurrence in Early Glottic Carcinoma?
Márgenes histopatológicos positivos: ¿se relacionan siempre con recidiva tumoral en carcinoma glótico temprano?
Iatreia, vol. 36, no. 4, pp. 459-470, 2023
Universidad de Antioquia
Received: 18 June 2022
Accepted: 23 August 2022
Resumen
Introducción: el carcinoma escamocelular de laringe es una de las neoplasias más comunes en cabeza y cuello. En sus estadios tempranos se caracteriza por presentar buen pronóstico oncológico, por lo que el manejo se enfoca no solo en la enfermedad oncológica sino también en la preservación de las funciones laríngeas. La microcirugía transoral con láser de CO2 (MTL) presenta tasas de efectividad equivalentes a la cirugía abierta y a la radioterapia, y tiene muchas ventajas si se compara con las otras modalidades de tratamiento.
Objetivo: el objetivo de este estudio fue revisar los resultados oncológicos obtenidos con el tratamiento de una serie de tumores glóticos tempranos tratados mediante MTL en un hospital universitario de tercer nivel.
Métodos: revisión retrospectiva de las historias clínicas de pacientes con diagnóstico de carcinoma escamocelular de laringe en estadio temprano que fueron llevados a MTL en un hospital de tercer nivel, entre enero del 2012 y diciembre del 2019.
Resultados: en total, 48 pacientes cumplieron con los criterios de inclusión: 91,7% hombres y 8,3% mujeres. La edad promedio al diagnóstico fue 64,4 13,3 años (min.: 36/máx.: 88). De estos, el 83,3% tenía antecedente de tabaquismo. La tasa de preservación del órgano o supervivencia laríngea fue del 93,7%. El 83% de los pacientes que no presentaron recidiva tumoral tuvieron márgenes quirúrgicos positivos.
Conclusiones: la MTL es una alternativa terapéutica para tumores laríngeos en estadios tempranos. El análisis de los márgenes quirúrgicos debe ser cuidadoso y se recomienda hacer un seguimiento cercano a todos los pacientes.
Palabras clave: Cirugía+ Laringe+ Laringoscopía+ Microcirugía+ Neoplasias+ Neoplasias Laríngeas.
Abstract
Introduction: Squamous cell carcinoma of the larynx is one of the most common neoplasms in the head and neck region. In its early stages, it is characterized by a favorable oncological prognosis, leading to a management approach that focuses not only on the oncological aspect but also on the preservation of laryngeal functions. Transoral microsurgery with CO2 laser (TML) demonstrates comparable effectiveness rates to open surgery and radiotherapy, and offers several advantages when compared to other treatment modalities.
Objective: The aim of this study was to review the oncological outcomes achieved through the treatment of a series of early glottic tumors using TML in a tertiary university hospital.
Methods: A retrospective review of medical records was conducted for patients diagnosed with early-stage squamous cell carcinoma of the larynx who underwent TML at a tertiary-level hospital between January 2012 and December 2019.
Results: A total of 48 patients met the inclusion criteria: 91.7% males and 8.3% females. The mean age at diagnosis was 64.4 ± 13.3 years (min.: 36 / max.: 88). Among these, 83.3% had a history of smoking. The rate of organ preservation or laryngeal survival was 93.7%. Of the patients who did not experience tumor recurrence, 83% exhibited positive surgical margins.
Conclusions: TML represents a therapeutic alternative for early-stage laryngeal tumors. Careful analysis of surgical margins is crucial, and close follow-up is recommended for all patients.
Keywords: Laryngeal Neoplasms, Laryngoscopy, Larynx Microsurgery, Neoplasms Surgery.
Introducción
El cáncer de laringe es la neoplasia más común en la otorrinolaringología y representa aproximadamente un tercio de todos los cánceres de cabeza y cuello en el mundo 1,2. Su incidencia presenta una variación significativa según la localización geográfica, y se han encontrado tasas más altas en países o territorios con mayor consumo de tabaco 3,4. A nivel mundial se reportan aproximadamente 2,76 casos por 100.000 habitantes al año 1. En Estados Unidos la tasa reportada es de 3,1 casos por 100,000 habitantes al año, y en Europa es de 5,2 casos por 100.000 habitantes al año 5,6. Datos del Sistema de Información de Cáncer en Colombia demuestran una incidencia entre 0,1 y 1,3 casos por 100.000 habitantes al año para el 2017, lo cual, en comparación con los datos a nivel mundial, podría indicar un subdiagnóstico o subregistro de la enfermedad 7.
La variante histológica más frecuente es el carcinoma escamocelular, el cual ocurre en el 98% de los casos 1. La localización más habitual es en la glotis, seguida por la supraglotis (aproximadamente el 30%); las neoplasias que se originan en la subglotis o que debutan como masas transglóticas son relativamente raras 1. La ubicación en la glotis confiere un mejor pronóstico respecto a la supraglotis o a la subglotis, dado que es una zona sin ganglios linfáticos y con escasos canales linfáticos, razón por la cual se asocia a una tasa relativamente baja de metástasis a través de esta vía 8-10. Las metástasis ocurren con más frecuencia cuando hay compromiso de la comisura anterior o diseminación generalizada en la glotis 11. Las opciones de tratamiento difieren entre cada localización y dependen de la extensión del tumor y el estadio tumoral.
El cáncer de laringe en estadio temprano se define como lesiones Tis, T1a, T1b, y T2. Los principios de tratamiento para estas lesiones han evolucionado con el desarrollo tecnológico y el refinamiento de las técnicas quirúrgicas; actualmente se hace énfasis no solo en el control de la enfermedad, sino también en la preservación de las funciones laríngeas: respiración, deglución y fonación 12-13.
Las opciones de tratamiento incluyen microcirugía transoral con láser de CO2 (MTL), laringectomía parcial abierta y radioterapia 12. La MTL ha ganado terreno y se ha establecido como una opción efectiva para el manejo de tumores glóticos tempranos. Lo anterior se debe a que presenta tasas de efectividad equivalentes a la cirugía abierta y a la radioterapia, y tiene muchas ventajas en comparación con estas últimas, como son una menor morbilidad, menor tiempo de hospitalización y mayor preservación del órgano 14-16.
El objetivo de este estudio fue determinar los resultados oncológicos obtenidos con el tratamiento de una serie de tumores glóticos tempranos tratados mediante MTL en un hospital universitario de tercer nivel. Los criterios de evaluación para el análisis fueron el control locorregional de la enfermedad, la supervivencia global y específica de la enfermedad y la tasa de preservación de la laringe.
Métodos
Se realizó un estudio de corte transversal observacional para evaluar de forma retrospectiva las historias clínicas de pacientes con diagnóstico de carcinoma escamocelular de laringe en estadio temprano (Tis-T2), quienes fueron llevados a microcirugía transoral con láser de CO2 (MTL) en un hospital de tercer nivel en Bogotá, Colombia, entre enero del 2012 y diciembre del 2019.
Se utilizaron los códigos quirúrgicos de MTL para realizar una base de datos que se cruzó con los códigos de diagnóstico de carcinoma escamocelular de laringe. Posteriormente, se realizó una revisión de las historias clínicas para determinar los pacientes que cumplieron los criterios de inclusión. Se incluyeron los mayores de edad, sin tratamiento previo y que fueron llevados MTL con intención curativa.
Se excluyeron pacientes con antecedente de otros cánceres de cabeza y cuello, cirugías previas en la laringe o el cuello, y que hubieran recibido radioterapia en la región de cabeza y cuello. También se excluyeron aquellos en quienes no se logró una adecuada exposición de la glotis en el procedimiento quirúrgico o en los que no se pudo realizar una cirugía con intención curativa. Además, tampoco se tuvo en cuenta a aquellos pacientes en quienes no se cumplió un tiempo de seguimiento de al menos seis meses.
Se realizó una revisión de las historias clínicas de los pacientes y se recolectó información demográfica básica (edad al diagnóstico, sexo), síntomas laríngeos al momento del diagnóstico, estadio tumoral (según la clasificación del American Joint Committee on Cancer AJCC, 89 edición), tipo de cordectomía (según la clasificación del European Laryngological Society ISOC), resultado de la patología -que incluye los márgenes quirúrgicos (distancia entre tumor y margen >2 mm para ser un margen negativo)-, y complicaciones posoperatorias. Se evaluó el control locorregional de la enfermedad según lo visualizado en las nasofibrolaringoscopias y estroboscopias laríngeas de control durante el posoperatorio reportadas en las historias clínicas del paciente.
La supervivencia global se evaluó tomando como referencia el tiempo de sobrevida desde la cirugía hasta la muerte por cualquier causa, según lo descrito en las historias clínicas. La supervivencia del órgano (laringe) se evaluó determinando cuántos pacientes requirieron, durante su seguimiento, la realización de una laringectomía para el control de la enfermedad. Se observó el tiempo entre la MTL y la laringectomía. Por último, se evaluó el porcentaje de preservación de las funciones de la laringe, teniendo en cuenta el número de pacientes que requirieron, durante el seguimiento posoperatorio, traqueostomía, terapias de deglución, sonda nasogástrica, gastrostomía o terapias de voz. Se utilizaron porcentajes e intervalos de confianza para frecuencias y promedios con desviación estándar para variables numéricas. Se utilizó el método de Kaplan-Meier para estimar la supervivencia. Este trabajo obtuvo la aprobación del Comité de Ética de la institución.
Resultados
Del total de pacientes, 48 cumplieron con los criterios de inclusión, 44 (91,7%) hombres y 4 (8,3%) mujeres (ver Tabla 1). La edad promedio al diagnóstico fue 64,4 ± 13,3 años (min.: 36/máx.: 88). De estos, 40 (83,3%) tenían antecedente de tabaquismo. Por la naturaleza retrospectiva del estudio no fue posible distinguir entre consumo actual o previo. No se encontraron datos respecto al consumo de alcohol. Al momento del diagnóstico 48 pacientes (100%) referían disfonía, 6 (12,5%) disfagia, 6 (12,5%) disnea, 6 (12,5%) tos y 4 (8,3%) globo faríngeo.

Los estadios tumorales de las personas incluidas en el estudio fueron: 33 (68,8%) T1a, 6 (12,5%) T1b, 5 (10,4%) T2a, y 4 (8,3%) T2b. Ningún paciente debutó con metástasis regionales o distales. El tiempo promedio de seguimiento fue de 28,9 ± 19,6 meses (min.: 6,53/ máx.: 86,7). El tipo de cordectomía realizada fue tipo I en 18 (37,5%) pacientes, tipo II en 10 (20,8%), tipo III en 18 (37,5%), y tipo IV en 2 (4,2%). La mayoría de los procedimientos fueron ambulatorios. De 48 pacientes (8%), cuatro requirieron un día de hospitalización, ninguno requirió más días de hospitalización.
No se presentó ninguna complicación posoperatoria en la cohorte, como lesiones térmicas en vía aérea, sangrado o infección. Durante el posoperatorio inmediato ningún paciente requirió traqueotomía, sonda nasogástrica o gastrostomía. El estudio histopatológico reportó márgenes negativos en 6 pacientes (12,5%) y márgenes positivos en 42 pacientes (87,5%).
Durante el seguimiento posoperatorio de los pacientes con márgenes negativos, solo uno de ellos presentó recidiva tumoral. Fue llevado a reintervención quirúrgica con MTL, con un estudio histopatológico que en esta ocasión reportó márgenes positivos. Se realizó seguimiento sin otras intervenciones terapéuticas y sin nuevos signos de recidiva. Otros dos pacientes, a pesar de presentar márgenes negativos, optaron por radioterapia. Durante el seguimiento ninguno presentó recidiva tumoral. Los tres pacientes restantes continuaron en seguimiento clínico e imagenológico, sin signos de recidiva tumoral.
De los pacientes con márgenes quirúrgicos positivos, cuatro (9,5%) decidieron iniciar radioterapia posoperatoria inmediata y 38 (90,5%) continuaron con seguimiento estricto posquirúrgico. De estos, 15 (39,4%) nunca presentaron recidiva tumoral, a pesar de que los márgenes del espécimen fueron positivos. Los otros 23 (60,5%) pacientes presentaron sospecha de recidiva durante el seguimiento, por lo que 11 (48%) fueron llevados a nueva MTL y 12 fueron enviados a radioterapia. De los 11 que fueron llevados a nueva MTL, 6 (54,5%) presentaron márgenes histopatológicos positivos y 5 (45,5%) presentaron márgenes negativos.
Los pacientes con márgenes negativos continuaron en seguimiento sin signos de recidiva tumoral, mientras que, de los pacientes con márgenes positivos, dos fueron enviados a radioterapia, tres nuevamente a MTL y uno continuó únicamente seguimiento estricto. Ninguno presentó nueva recidiva ni requirió cirugía adicional. De los 12 pacientes enviados a radioterapia, ocho (66,6%) la completaron y continuaron el seguimiento sin nuevos signos de recidiva. Los otros cuatro (33,4%) presentaron progresión de su enfermedad a pesar de la radioterapia y fueron llevados a laringectomía. Tres de ellos requirieron laringectomía parcial y uno total.
Dos pacientes murieron durante el seguimiento. El primero por descompensación de su enfermedad cardiovascular y el segundo por un carcinoma escamocelular de colon. Ningún paciente murió a causa de la neoplasia laríngea. La supervivencia global de la enfermedad fue de 46 pacientes.
Así, de los 48 pacientes que fueron incluidos en el estudio, 46 estaban vivos al finalizar el seguimiento, para una tasa de supervivencia global del 95,2% a dos años. La supervivencia del órgano fue del 93,7%, es decir, 42 de 48 pacientes. Cuatro fueron llevados a laringectomía, tres de ellos parcial y uno de ellos total. La función laríngea se vio afectada en 17 de 48 pacientes (35,4%). De estos, 14 (29,2%) necesitaron terapia de voz y 6 (12,5%) de deglución. Ningún paciente requirió traqueotomía, sonda nasogástrica o gastrostomía en el posoperatorio.
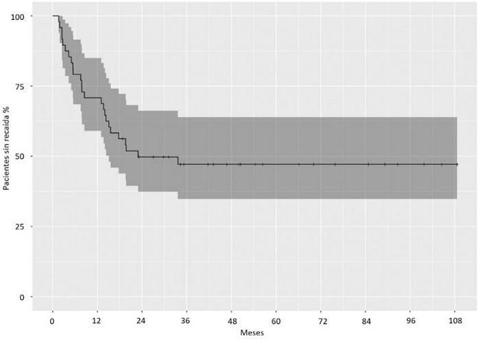
Se estimó una curva de Kaplan-Meier para el riesgo de recaída (ver Figura 1). En esta se observa que el tiempo de mayor riesgo de recaída fue durante los primeros 24 meses de seguimiento, esto es, la mediana del tiempo a la recaída es de 24 meses. Después de este tiempo la curva se estabiliza.

Discusión
El carcinoma escamocelular de glotis es uno de los tumores malignos más frecuentes en cabeza y cuello. Según Nocini et al., la incidencia global es de 2,76 casos por 100,000 habitantes al año. En Colombia se presentarán aproximadamente 1500 casos nuevos de cáncer de laringe en el 2022 1,17, y es más frecuente en hombres que en mujeres, con una relación de 7:1. Además, este tipo de enfermedad presenta un pico de incidencia durante la sexta década de la vida 18-19. En nuestro estudio, el 91,7% de los pacientes fueron de sexo masculino, y el pico de incidencia ocurrió en la séptima década de la vida, lo que concuerda con lo reportado en la literatura. El tabaquismo es el factor de riesgo más significativo, seguido del consumo de alcohol 20. En nuestro estudio el 83,3% de los pacientes presentaba antecedente de tabaquismo o tabaquismo activo.
El éxito de la MTL depende de la adecuada selección de los pacientes y de la evaluación y análisis posoperatorio de los márgenes quirúrgicos. Factores relacionados con el tumor tales como el tamaño, la localización y el grado histológico, así como factores relacionados con el paciente
como la edad, comorbilidades y exposición de la laringe durante el procedimiento quirúrgico deben ser tomados en cuenta durante la selección de pacientes. En el estudio solo se incluyeron pacientes con carcinoma glótico en estadio temprano (Tis-T2), sin compromiso de los ganglios linfáticos regionales ni metástasis a distancia, y en quienes se logró una adecuada exposición de la glotis durante el procedimiento quirúrgico.
Por otro lado, el manejo intraoperatorio y posteriormente el análisis de los márgenes quirúrgicos debe ser meticuloso. El margen quirúrgico se clasifica como positivo, negativo o cercano 15. Sin embargo, existe un debate en la literatura médica respecto a la distancia ideal entre el margen y el tumor, y las recomendaciones para considerar el margen como negativo varían entre 0,5 a 2 mm 21-28.
Además, existen otros factores inherentes a la técnica quirúrgica y al procesamiento histopatológico de la muestra que afectan la lectura de los márgenes. Los más significativos son la contracción térmica de los tejidos por el calor del láser CO2, la carbonización del tejido que dificulta la valoración del margen del espécimen, y la manipulación durante el procesamiento de la muestra 15. Adicionalmente, se ha descrito que el láser de CO2 puede eliminar células tumorales al vaporizar el tejido de la laringe. Para muchos autores esto significa que los márgenes quirúrgicos (márgenes in vitro) del espécimen que se envía a análisis patológico no son exactamente iguales a los que quedan en la laringe del paciente (márgenes in vivo) 29.
Todos estos factores hacen que exista una gran variabilidad en las experiencias y recomendaciones entre diferentes centros quirúrgicos 15. Se debe también tener en consideración que uno de los objetivos principales de la MTL es la preservación de las funciones laríngeas: respiración, deglución y fonación. Por lo anterior, en la técnica quirúrgica también se busca preservar la mayor cantidad de tejido posible y así cuidar las funciones laríngeas 21.
Verro et al. realizaron una revisión sistemática de la literatura enfocada en determinar el manejo de pacientes con carcinoma glótico temprano según el estado de los márgenes de patología. Incluyeron 17 estudios publicados desde el 2005 y observaron que no existe un consenso sobre el manejo de los márgenes cercanos o positivos 15. Hendriksma et al. y Hartl et al. observaron de cerca a los pacientes que tuvieron márgenes positivos o cercanos y, según los hallazgos durante el seguimiento y los hallazgos intraquirúrgicos, definieron si llevar o no al paciente a una segunda intervención quirúrgica y ampliación de márgenes 21,28.
Fiz et al. prefieren, en casos de márgenes positivos, separar a los pacientes según si muestran márgenes superficiales o profundos. Pacientes con márgenes superficiales positivos son candidatos para seguimiento cercano, mientras que, en casos de márgenes profundos positivos, se prefiere una segunda intervención quirúrgica, cirugía abierta o radioterapia 30. Hoffmann et al. consideran realizar un seguimiento cercano en todos los pacientes 27.
En nuestra institución se realiza seguimiento cercano a todos los pacientes con una estroboscopia laríngea mensual durante los primeros tres meses del posoperatorio, y luego se hace trimestralmente. Además, en casos donde exista sospecha de recidiva se decide en conjunto con el paciente si se hace una reintervención con MTL o radioterapia. A nuestro criterio, al realizar este seguimiento estricto se logra disminuir el número de pacientes que son llevados a cirugía o a radioterapia sin realmente presentar indicación, y así evitar secuelas y alteraciones de la función laríngea.
En nuestro estudio se encontraron márgenes positivos posquirúrgicos en el 87,5% de los pacientes. El porcentaje de márgenes quirúrgicos positivos fue alto, aunque compatible con lo descrito previamente en la literatura 31-33. Con el seguimiento posoperatorio se pudo observar que más de un tercio nunca presentó recidiva tumoral. Durante el seguimiento temprano se pueden llegar a observar áreas de cicatrización anómala o tejido de granulación que semejan una recidiva tumoral. En estos casos es muy importante el seguimiento cercano del paciente para la toma de decisiones (ver Figura 2), pues al no ser llevados a reintervención quirúrgica o a radioterapia posoperatoria se logró un mejor desenlace en términos de preservación de las funciones laríngeas.

Se encontró, además, que en los casos en que sí se presentó una recaída tumoral, esta ocurrió predominantemente durante los primeros 24 meses de seguimiento y en más del 90% de los casos se pudo manejar con reintervención quirúrgica con MTL o con radioterapia, sin necesidad de manejo quirúrgico abierto o laringectomía. La tasa de supervivencia del órgano (laringe) fue del 93,7% y la supervivencia global fue del 95,2% a dos años. Durante el tiempo de seguimiento dos pacientes fallecieron, ninguno por causas secundarias a su enfermedad oncológica laríngea.
En nuestros pacientes no se utilizó de forma rutinaria la biopsia por congelación, cuyo uso e indicación varía según la institución. Algunos autores la utilizan para orientar el pronóstico del paciente y para ampliar márgenes intraoperatorios 34. Otros estudios han indicado una pobre correlación entre los resultados de las biopsias por congelación y la enfermedad definitiva, con un valor predictivo positivo para un diagnóstico correcto del 63% 35. La tasa de preservación de las funciones laríngeas fue del 64,6%, y ningún paciente requirió traqueostomía, gastrostomía o uso de sonda nasogástrica en el posoperatorio.
En este estudio no se evaluó la calidad de la voz de los pacientes de forma objetiva. Sin embargo, un estudio previo hecho por nuestro grupo analizó los cambios del Voice Handicap Index (VHI) entre MTL y radioterapia, y encontró resultados equivalentes 36. Spierlmann et al. realizaron una revisión sistemática de la literatura y sus hallazgos apoyan esta observación 37.
En cuanto a la función deglutoria, la mayoría de los estudios se han realizado en cáncer de laringe en estadios avanzados. Un estudio reciente de Ozturk et al. en pacientes con carcinoma glótico temprano estadio T1 describe mejores desenlaces con MTL vs. radioterapia 38. Se cree que estos hallazgos se deben a que la MTL logra una mejor preservación de la sensibilidad laríngea 37. Baird et al. destacan la importancia de la realización de estudios prospectivos, ya que la naturaleza retrospectiva de la mayoría de los estudios genera a una sobreestimación de la capacidad deglutoria en el preoperatorio 39.
Este estudio tiene varias limitaciones. El número de casos analizado limita el análisis estadístico que se puede realizar a partir de los datos. Adicionalmente, el carácter retrospectivo del estudio hace que no se tenga disponibilidad de alguna información, tal como ocurrió con el consumo de tabaco y alcohol. Dicho carácter retrospectivo también genera dificultades al momento de la interpretación de los datos, ya que la pérdida de seguimiento de los pacientes puede dar lugar a un sesgo de selección. No obstante, dado el nivel de complejidad de nuestra institución, la cual es centro de remisión en la ciudad para múltiples entidades promotoras de servicios de salud (EPS), la pérdida de seguimiento ocurre principalmente en pacientes cuya enfermedad oncológica ya se encuentra controlada, y que son enviados a instituciones de menor nivel de complejidad para continuar su seguimiento 36.
Se requieren estudios adicionales, ojalá de tipo multidisciplinario y que incluyan diferentes instituciones, para aumentar el número de pacientes evaluados. Igualmente, sería necesario que fueran de carácter prospectivo, para poder controlar mejor la pérdida de participantes y de datos, y realizar evaluaciones objetivas y subjetivas de las funciones laríngeas y la calidad de vida de los pacientes. Estudios adicionales ayudarán a hacer un mejor acercamiento a la situación del cáncer de laringe en el país.
Conclusiones
La MTL es una alternativa terapéutica para tumores laríngeos en estadios tempranos (Tis-T2). Los márgenes quirúrgicos positivos no siempre implican enfermedad tumoral residual, y se requiere un estudio cuidadoso de las características del paciente, así como de la enfermedad oncológica y la técnica quirúrgica utilizada al analizar los márgenes posoperatorios. Hacer esto ayuda a disminuir el número de pacientes que son llevados a cirugías adicionales o a radioterapia, y mejora la preservación de las funciones laríngeas.
Agradecimientos
Le agradecemos a Peter Alfonso Olejua Villa por su apoyo en el diseño metodológico de nuestro estudio.
Referencias
Nocini R, Molteni G, Mattiuzzi C, Lippi G. Updates on larynx cancer epidemiology. Chin J Cancer Res [Internet]. 2020;32(1):18-25. https://doi.org/10.21147/J.ISSN.1000-9604.2020.01.03
Cancer Research UK. Head and neck cancers incidence statistics [Internet]. Reino Unido: Cancer Research UK [Consultado 20221 Aug 28]. Disponible en: https://www.cancerresearchuk.org/health-professional/ cancer-statistics/statistics-by-cancer-type/head-and-neck-cancers/incidence#ref-4
Cardemil MF, Ortega FG, Cabezas CL. Importancia de la epidemiología en cáncer laríngeo: Incidencia y mortalidad por carcinoma escamoso de laringe. Rev otorrinolaringol cir cabeza cuello [Internet]. 2017;77(1):107-112. https://doi.org/10.4067/S0718-48162017000100016
Ramsey T, Guo E, Svider PF, Lin H, Syeda S, Raza N, et al. Laryngeal cancer: Global socioeconomic trends in disease burden and smoking habits. Laryngoscope [Internet]. 2018;128(9):2039-2053. https://doi. org/10.1002/LARY.27068
American Cancer Society. Larynx Statistics [Internet]. American Cancer Society; 2018 [Consultado 2022 July 27]. Disponible en: https://cancerstatisticscenter.cancer.org/#!/cancer-site/Larynx
Dyba T, Randi G, Bray F, Martos C, Giusti F, Nicholson N, et al. The European cancer burden in 2020: Incidence and mortality estimates for 40 countries and 25 major cancers. Eur J Cancer [Internet]. 2021;157:308-347. https://doi.org/10.1016/J.EJCA.2021.07.039
Instituto Nacional de Cancerología. Sistema de Información de Cáncer en Colombia [Internet]. 2022. [Consultado 2022 July 27]. Disponible en: https://www.infocancer.co/portal/#!/filtro_incidencia/
Waldfahrer F, Hauptmann B, Iro H. [Lymph node metastasis of glottic laryngeal carcinoma]. Laryngorhinootologie [Internet]. 2005;84(2):96-100. https://doi.org/10.1055/S-2004-826075
Patel T, Eggerstedt M, Toor J, Tajudeen BA, Husain I, Stenson k, et al. Occult Lymph Node Metastasis in EarlyStage Glottic Cancer in the National Cancer Database. Laryngoscope [Internet]. 2021;131(4):E1139-E1146. https://doi.org/10.1002/LARY.28995
Werner JA, Dunne AA, Myers JN. Functional anatomy of the lymphatic drainage system of the upper aerodigestive tract and its role in metastasis of squamous cell carcinoma. Head and Neck [Internet]. 2003;25(4):322-332. https://doi.org/10.1002/HED.10257
Sanabria A, Shah JP, Medina JE, Olsen KD, Robbins KT, Silver CE, et al. Incidence of Occult Lymph Node Metastasis in Primary Larynx Squamous Cell Carcinoma, by Subsite, T Classification and Neck Level: A Systematic Review. Cancers [Internet]. 2020;12(4):1059. https://doi.org/10.3390/CANCERS12041059
Mendenhall WM, Werning JW, Hinerman RW, Amdur RJ, Villaret DB. Management of T1-T2 glottic carcinomas. Cancer [Internet]. 2004;100(9):1786-1792. https://doi.org/10.1002/CNCR.20181
Chawla S, Carney AS. Organ preservation surgery for laryngeal cancer. Head Neck Oncol [Internet]. 2009;1(1):1-12. https://doi.org/10.1186/1758-3284-1-12
Chiesa-Estomba CM, Reinoso FA, Velasquez AO, Fernandez JL, Conde JL, Hidalgo CS. Transoral CO2 Laser Microsurgery Outcomes for Early Glottic Carcinomas T1-T2. Int Arch Otorhinolaryngol [Internet]. 2016;20(3):212. https://doi.org/10.1055/S-0036-1572430
Verro B, Greco G, Chianetta E, Saraniti C. Management of Early Glottic Cancer Treated by CO2 Laser According to Surgical-Margin Status: A Systematic Review of the Literature. Int Arch Otorhinolaryngol [Internet]. 2021;25(2):e301-e308. https://doi.org/10.1055/S-0040-1713922
Ferreira N, Netto E, Fonseca L, Fonseca J, Esteves S, Labareda M, et al. Surgery versus radiotherapy: Long term outcomes of T1 glottic cancer. Rep Pract Oncol Radiother [Intenet]. 2020;25(6):860-866. https://doi. org/10.1016/J.RPOR.2020.08.007
DANE. Proyecciones de población [Internet]. [Consultado 2021 Oct 20]. Disponible en: https://www.dane. gov.co/index.php/estadisticas-por-tema/demografia-y-poblacion/proyecciones-de-poblacion
Deng Y, Wang M, Zhou L, Zheng Y, Li N, Tian T, et al. Global burden of larynx cancer, 1990-2017: estimates from the global burden of disease 2017 study. Aging (Albany NY) [Internet]. 2020;12(3):2545. https://doi. org/10.18632/AGING.102762
Wang J, Zhang Q, Wen K, Wang C, Ji X, Zhang L. Temporal trends in incidence and mortality rates of laryngeal cancer at the global, regional and national levels, 1990-2017. BMJ Open [Internet]. 2021;11(10):e050387. https://doi.org/10.1136/BMJOPEN-2021-050387
Talamini R, Bosetti C, La Vecchia C, Dal-Maso L, Levi F, Bidoli E, et al. Combined effect of tobacco and alcohol on laryngeal cancer risk: a case-control study. Cancer Causes Control [Internet]. 2002;13(10):957-964. https://doi.org/10.1023/A:1021944123914
Hendriksma M, Montagne MW, Langeveld TPM, Veselic M, Benthem PPG van, Sjogren EV. Evaluation of surgical margin status in patients with early glottic cancer (Tis-T2) treated with transoral CO2 laser microsurgery, on local control. Eur Arch Otorhinolaryngol. 2018;275(9):2333. https://doi.org/10.1007/S00405-018-5070-9
Ansarin M, Santoro L, Cattaneo A, Massaro MA, Calabrese L, Giugliano G, et al. Laser surgery for early glottic cancer: impact of margin status on local control and organ preservation. Arch Otolaryngol Head Neck Surg [Internet]. 2009;135(4):385-390. https://doi.org/10.1001/ARCHOTO.2009.10
Del Mundo DAA, Morimoto K, Masuda K, Iwaki S, Furukawa T, Teshima M, et al. Oncologic and functional outcomes of transoral CO2 laser cordectomy for early glottic cancer. Auris Nasus Larynx [Internet]. 2020;47(2):276-281. https://doi.org/10.1016/J.ANL.2019.08.005
Lee HS, Chun B, Kim S, Bong-Gwon C, Kim SW, Kim ST, et al. Transoral laser microsurgery for early glottic cancer as one-stage single-modality therapy. Laryngoscope [Internet]. 2013;123(11):2670-2674. https:// doi.org/10.1002/LARY.24080
Charbonnier Q, Thisse AS, Sleghem L, Mouawad F, Chevalier D, Page C, et al. Oncologic outcomes of patients with positive margins after laser cordectomy for T1 and T2 glottic squamous cell carcinoma. Head Neck [Internet]. 2016;38(12):1804-1809. https://doi.org/10.1002/HED.24518
Osuch-Wojcikiewicz E, Rzepakowska A, Sobol M, Bruzgielewicz A, Niemczyk K. Oncological outcomes of CO 2 laser cordectomies for glottic squamous cell carcinoma with respect to anterior commissure involvement and margin status. Lasers Surg Med [Internet]. 2019;51(10):874-881. https://doi.org/10.1002/LSM.23130
Hoffmann C, Hans S, Sadoughi B, Brasnu D. Identifying outcome predictors of transoral laser cordectomy for early glottic cancer. Head Neck [Internet]. 2016;38:E406-E411. https://doi.org/10.1002/HED.24007
Hartl D, de Mones E, Hans S, Janot F, Brasnu D. Treatment of early-stage glottic cancer by transoral laser resection. Ann Otol Rhinol Laryngol [Internet]. 2007;116(11):832-836. https://doi. org/10.1177/000348940711601107
Lucioni M, Bertolin A, D’Ascanio L, Rizzotto G. Margin photocoagulation in laser surgery for early glottic cancer: Impact on disease local control. Otolaryngol Head Neck Surg [Internet]. 2012;146(4):600-605. https://doi.org/10.1177/0194599811433270
Fiz I, Mazzola F, Fiz F, Marchi F, Filauro M, Paderno A, et al. Impact of close and positive margins in transoral laser microsurgery for TIS-T2 glottic cancer. Front Oncol [Internet]. 2017;7:245. https://doi.org/10.3389/fonc.2017.00245
Hendriksma M, Montagne MW, Langeveld TPM, Veselic M, van Benthem PPG, Sjogren EV. Evaluation of surgical margin status in patients with early glottic cancer (Tis-T2) treated with transoral CO2 laser microsurgery, on local control. Eur Arch Otorhinolaryngol. 2018;275(9):2333. https://doi.org/10.1007/S00405018-5070-9
Ansarin M, Santoro L, Cattaneo A, Massaro MA, Calabrese L, Giugliano G, et al. Laser surgery for early glottic cancer: impact of margin status on local control and organ preservation. Arch Otolaryngol Head Neck Surg [Internet]. 2009;135(4):385-390. https://doi.org/10.1001/ARCHOTO.2009.10
Verro B, Greco G, Chianetta E, Saraniti C. Management of Early Glottic Cancer Treated by CO2 Laser According to Surgical-Margin Status: A Systematic Review of the Literature. Int Arch Otorhinolaryngol [Internet]. 2021;25(2):e301-e308. https://doi.org/10.1055/S-0040-1713922
Fang TJ, Courey MS, Liao CT, Yen TC, Li HY. Frozen margin analysis as a prognosis predictor in early glottic cancer by laser cordectomy. Laryngoscope [Internet]. 2013;123(6):1490-1495. https://doi.org/10.1002/LARY.23875
Jin YJ, Jeong WJ, Paik JH, Ahn SH. Role of Frozen Biopsy in Glottic Premalignant Lesions. Pathol Oncol Res [Internet]. 2017;23(3):519-523. https://doi.org/10.1007/S12253-016-0143-9
Jimenez-Fandiño LH, Tellez PA, Mantilla-Tarazona N. Manejo de carcinoma glótico temprano: experiencia en el Hospital Universitario San Ignacio. Acta de Otorrinolaringología y Cirugía de Cabeza y Cuello [Internet]. 2013;(3):196-205. Disponible en: https://revista.acorl.org.co/index.php/acorl/article/view/187/129
Spielmann PM, Majumdar S, Morton RP. Quality of life and functional outcomes in the management of early glottic carcinoma: a systematic review of studies comparing radiotherapy and transoral laser microsurgery. Clin Otolaryngol [Internet]. 2010;35(5):373-382. https://doi.org/10.1111/J.1749-4486.2010.02191.X
Ozturk K, Turhal G, Durusoy D, Sahim E, Akagunduz O, Eyigor S, et al. Long-term swallowing outcomes of radiotherapy and transoral laser microsurgery for T1 glottic cancer treatment. Clin Otolaryngol [Internet]. 2021;46(2):340-346. https://doi.org/10.1111/COA.13674
Baird BJ, Sung CK, Beadle BM, Divi V. Treatment of early-stage laryngeal cancer: A comparison of treatment options. Oral Oncol [Internet]. 2018;87:8-16. https://doi.org/10.1016/J.ORALONCOLOGY.2018.09.012
Author notes
Autor para correspondencia: Dra. María Manuela Chemas-Vélez; mchemas@javeriana.edu.co
Conflict of interest declaration