Articles
Aspectos motivacionales en el personal de emergencias
Motivational aspects in emergency staff
Aspectos motivacionales en el personal de emergencias
Clínica y Salud, vol. 28, núm. 1, pp. 9-16, 2017
Colegio Oficial de Psicólogos de Madrid
Recepción: 01 Junio 2016
Aprobación: 11 Julio 2016
Resumen: En este trabajo se pretende analizar la relación existente entre los aspectos motivacionales dentro de un contexto laboral complejo, como es el área de las emergencias, y los problemas derivados del mismo que pudieran afectar a la seguridad y salud laboral. El objetivo principal es determinar un perfil profesional respecto a la motivación que subyace en la elección y permanencia del personal de emergencias en función de variables sociodemográficas tales como sexo, edad, nivel de estudios alcanzados, rama profesional y antigüedad en la institución. Para ello se ha utilizado un cuestionario motivacional, considerando los aspectos más destacados de algunas teorías y estudios revisados sobre las variables implicadas en el contexto organizacional, tales como el trabajo en equipo, la toma de decisiones, el riesgo, el reconocimiento social y la permanencia en la institución, entre otras. Los resultados de esta investigación apuntan a un perfil según el cual las mujeres y los más jóvenes (sean hombres o mujeres) destacan en la elección de respuestas que contemplan conductas de mayor riesgo y los de mayor antigüedad en la elección de respuestas relacionadas con la toma de decisiones.
Palabras clave: Motivación, Contexto organizacional, Trabajo en equipo, Emergencia, Seguridad y salud laboral.
Abstract: This paper analyzes the relationship between the motivational aspects within a complex work context, such as emergency services, and the problems arising that may affect occupational health and safety. The main objective is to determine a professional profile of the motivation which underlies the choice and stay of emergency staff on the basis of social demographic variables, such as gender, age, educational level, professional branch, and tenure. To achieve this goal, we have used a motivational questionnaire that takes into account the most relevant studies and theories about the variables involved in the organizational context, such as teamwork, decision-making, risk, social recognition, and tenure, among others. Results show a profile that provides us with relevant information over the priorities in the choice of these variables. Women and young people (regardless of their gender) stand out in the choice of answers that include the riskiest behaviors and those with more tenure stand out in the choice of answers related to decision making.
Keywords: Motivation, Organizational context, Teamwork, Emergency, Occupational safety and health.
La nueva organización geopolítica y económica (Sennett, 2011) y el actual contexto global implican nuevos riesgos para los trabajadores, que la Organización Internacional del Trabajo (OIT) ha definido como riesgo psicosocial, propiciando un renovado interés por parte de la comunidad científica y por las propias instituciones respecto a la vigilancia de las conductas de mayor riesgo, tradicionalmente vinculadas a la motivación, como el estrés y la depresión. Estos riesgos afectan de manera muy especial al personal de emergencias, cuyo ámbito de trabajo y el desarrollo de la propia tarea implican un riesgo potencial muy elevado (Pujadas y Pérez-Pareja, 2013).
En términos operativos, una emergencia es una situación crítica que viene determinada por su inmediatez, intensidad y duración, que suele generar alarma social y puede sobrevenir por diferentes causas, de naturaleza social o ambiental, entre otras. En función de su magnitud se puede categorizar como crisis, desastre, catástrofe, calamidad, acto terrorista, crimen organizado o emergencia psicosocial. El factor de incertidumbre que sigue a la situación crítica se considera un riesgo añadido (Sainz Sordo y Nomen Martín, 2012).
Los estudios de Lazarus y Smith (1988) son un referente con respecto a la elección de respuestas ante una situación crítica en función de la valoración personal del problema, de forma que en el nivel superior de valoración aparecen núcleos emocionales enlazados directamente con la motivación, lo que permite explicar la activación de estas respuestas de forma inmediata en condiciones de gran dificultad o complejidad.
Por su parte, Pecchinenda y Smith (1996) sostienen que los cambios positivos derivados del factor motivación aportan resultados que relacionan los cambios fisiológicos con la valoración de la situación.
La intervención en emergencias configura un escenario dinámico y cambiante en el que hay una interacción continua entre persona y ambiente. El escenario o contexto organizacional es el lugar, persona o circunstancia que requiere una determinada intervención, pudiendo darse a nivel individual o colectivo, en el día a día, de forma puntual en un suceso determinado o de forma continuada en grandes catástrofes que afectan al conjunto de la población.
En el sentido más tradicional se encuentran las teorías motivacionales centradas en el contenido, que tratan de identificar las variables que motivan la conducta, todas ellas relacionadas con las necesidades del ser humano. Posteriormente, propiciadas por el crecimiento industrial y el desarrollo organizacional, surgen las teorías motivacionales centradas en el proceso, que otorgan mayor valor a las variables cognitivas que explicarían el esfuerzo, la búsqueda, dirección y persistencia de la conducta relacionada con expectativas y metas y finalmente el cambio de comportamiento, como la teoría de las valencias y expectativas de Vroom (1964, 1967), que más tarde completan Porter, Lawler y Hackman (1975). Todas ellas están relacionadas con la conducta organizacional, hablan por primera vez de incentivos, de liderazgo, de la adhesión, la aceptación y valoración del grupo y de la implicación en la tarea e identificación con los objetivos, siendo estas últimas variables las que determinarán la permanencia en la organización, destacando el valor de las creencias y expectativas que los individuos tienen acerca de los sucesos futuros de su vida. La conducta es el resultado de elegir entre varias alternativas, elecciones que están basadas en creencias y actitudes.
El objetivo de estas elecciones es maximizar las recompensas y minimizar el “dolor” (Pinder, 1985). Los incentivos generales, como el salario, son un aliciente para la incorporación y permanencia en la organización. Entre las aportaciones de Galbraith (1977, 2007) está “la nueva situación en la empresa”, refiriéndose a las nuevas tecnologías y al concepto de organización dinámica. Según esto, las respuestas comportamentales se resumen en la siguiente ecuación:

En la misma línea se encuentra la “teoría del establecimiento de metas”, formulada por Locke (1968), y el papel de drive o guía implícito en la motivación para cualquier actividad o función, como centrar la atención, elaborar estrategias o aumentar la persistencia en la tarea (Locke y Latham, 1985). Para que la elección de metas resulte efectiva, estas deben ser específicas, difíciles y desafiantes, aunque posibles de lograr, incluyéndose además un elemento importante, el feedback, con el fin de potenciar al máximo el rendimiento y los logros, contemplados como un reto (Yulk y Latham, 1978). Así mismo, cabe destacar la “teoría del factor dual” (Herzberg, 1968, 1986), que trata de la motivación intrínseca, con respecto a los factores implicados en la propia tarea, y de la motivación extrínseca, con respecto a los beneficios tangibles de la misma dentro del contexto organizacional (Herzberg, Mausner y Sniderman, 1967).
Este enfoque avanza hacia una nueva dimensión, que es el punto de partida de las nuevas teorías sobre la satisfacción laboral y nuevos conceptos organizacionales, como job enrichment [enriquecimiento del trabajo] y empowerment [empoderamiento], dando mayor autonomía y responsabilidad sobre la tarea como factor de motivación intrínseca. A partir de este marco teórico surgen numerosos estudios que analizan la motivación organizacional. Sánchez Carbajal (2006) propone una planificación estratégica que incluye una serie de factores facilitadores o inhibidores de la motivación, afirmando que la motivación es un elemento fundamental en el rendimiento personal y grupal. Por el contrario, la falta de motivación puede provocar una distorsión en la tarea con efectos físicos y psíquicos tan importantes como la fatiga y el burnout [síndrome de estar quemado], entre otros (Katzenbach y Smith, 1995). Rodriguez Porras (2007) también se centra en las características del trabajo y de la tarea, otorgando un papel principal a la motivación, dirigida a la dinámica de grupos, el trabajo en equipo, las técnicas de comunicación, las relaciones interpersonales y la formación para ejercer el mando, gestión o dirección organizacional. De forma similar Salanova (2008) y Salanova y Schaufeli, 2009) definen el concepto de “organizaciones saludables” a través de la psicología positiva y el compromiso con la tarea como medio para conseguir la motivación ocupacional.
De todo ello se deduce que la motivación, entendida como el motor o drive que activa y dirige el comportamiento y que subyace en el individuo para la función más importante del ser humano, la supervivencia, es de especial interés en contextos de alto riesgo. En este proceso se contempla la suma de diferentes factores, entre los que destacan el componente biológico y emocional y la conducta aprendida.
Al respecto, González Serra (2008) describe la motivación reactiva, propia de la adolescencia y de la juventud, frente a la motivación no reactiva, propia de la etapa adulta, definiéndola a través de dos niveles: la motivación adaptativa, impuesta por la organización, y la motivación autónoma, que surge de las propias convicciones, proyectos y motivación intrínseca. En este sentido, Hernández-Vargas, Llorens-Gumbau y Rodríguez-Sánchez (2014), bajo el lema de “organizaciones saludables y resilientes”, analiza el papel mediador de los afectos positivos y del engagement [compromiso con el trabajo], las creencias de eficacia y la calidad de servicio basadas en el desempeño y la calidad percibida.
En este mismo sentido merece especial atención la importancia otorgada al concepto de “organizaciones inteligentes”, correspondiente a las organizaciones que abordan la eficacia a través del aprendizaje, el concepto constructivo de trabajo en equipo, la visión compartida y la autonomía personal, junto al modelo cognitivo basado en el pensamiento sistémico, es decir, trabajar en una dirección común, donde todos los individuos forman parte de un conjunto o engranaje global (León, Tejada y Yataco, 2014). Esto es aplicable a tareas que requieren una respuesta inmediata ante a una demanda continua o compleja con objeto de obtener el máximo beneficio y rendimiento con el mínimo coste y esfuerzo. En definitiva, el factor motivacional es una constante dentro de la organización, como se puede apreciar en la evolución histórica de la Psicología del Trabajo y las Organizaciones.
Esta breve revisión histórica sobre el estudio de la motivación en el contexto organizacional nos conduce a nuestro objetivo principal, centrado en conocer las posibles razones que pueden tener las personas para dirigir su atención hacia el área de emergencias y su decisión de formar parte de este colectivo de riesgo y permanecer en el mismo.
Para ello finalmente analizaremos las respuestas del personal de emergencias en función de algunas variables sociodemográficas (sexo, edad, nivel de estudios alcanzado, rama profesional y antigüedad en la institución) que pudieran modular la elección y mantenimiento de su carrera profesional con objeto de realizar una aproximación al perfil motivacional de este colectivo.
Método
Participantes
En el estudio participaron un total de 120 personas de diferentes organismos gubernamentales y no gubernamentales. Entre los primeros, el mayor número de participantes pertenece a las fuerzas y cuerpos de seguridad del Estado (Cuerpo Nacional de Policía y responsables de seguridad ciudadana, tales como policía local, bomberos, personal de emergencias 112 y personal del Instituto Balear de la Naturaleza). Entre los segundos se encuentran profesionales y voluntarios de Cruz Roja en atención psicosocial y atención sanitaria. Todos ellos se dedican a la intervención en crisis o emergencias en la Comunidad de Les Illes Balears.
Variables e instrumentos
Variables sociodemográficas. Se recogieron en un cuestionario sociodemográfico, estratificándose de la siguiente forma:

Variables motivacionales. Se analizaron mediante la aplicación de un cuestionario elaborado en base a los trabajos revisados sobre la motivación, especialmente vinculados al contexto de emergencias, salud y seguridad laboral, según las siguientes variables motivacionales.
¿Le atrae la idea de trabajar en equipo?
¿Le gusta tomar decisiones?
¿Prefiere ejecutar órdenes recibidas de un superior?
¿Le atrae la idea de experimentar nuevas sensaciones?
¿Se siente implicado con el trabajo que realiza en la institución?
¿Siente que su trabajo es reconocido socialmente?
¿Estaría dispuesto a asumir situaciones de mayor riesgo?
Las respuestas del personal de emergencias en estas variables fueron valoradas a través de una escala tipo Likert de cinco puntos: 1 = nada, 2 = muy poco, 3 = poco, 4 = mucho, 5 = muchísimo.
Procedimiento
En la presentación a las diferentes instituciones se optó por incluir un único criterio, tal como “pertenecer a la unidad de seguridad/emergencias en sus diferentes ramas, administrativa, sanitaria, intervención y gestión o profesiones liberales” incluyendo profesionales y voluntarios, sin especificar el origen u organización de los intervinientes, informando así mismo del anonimato y confidencialidad del estudio.
El procedimiento para hacer llegar los cuestionarios a cada uno de los participantes fue mediante sus respectivos mandos, distribuyéndose a través de diferentes medios de comunicación interna (intranet), mediante un enlace creado a tal fin o en formato de papel para los que no tuviesen acceso a la red.
El diseño del programa de respuestas online se hizo de tal forma que era necesario finalizar todo el cuestionario para que este pudiese pasar directamente a la base de datos, mientras que los cuestionarios en papel ofrecían la ventaja de poder interrumpirse para reanudarse posteriormente. A partir del momento de la puesta en marcha de estas dos vías de cumplimentación, el programa estuvo abierto durante tres meses, enviándose mensajes de recordatorio para estimular y motivar a un mayor número de participantes.
Resultados
El análisis de los datos se ha llevado a cabo utilizando el programa estadístico SPSS [Statistical Package for Social Sciences] versión 17).
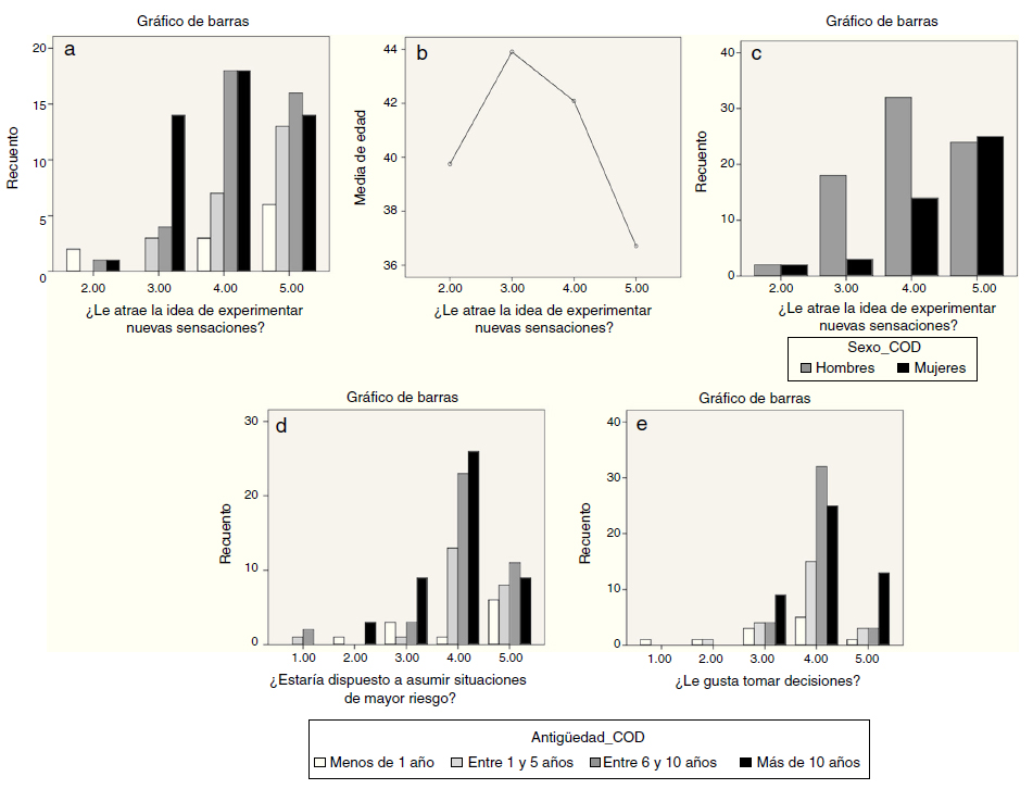
De las siete variables incluidas en el cuestionario motivacional, únicamente tres de ellas -¿le gusta tomar decisiones?, ¿le atrae la idea de experimentar nuevas sensaciones? y ¿estaría dispuesto a asumir situaciones de mayor riesgo?- se mostraron estadísticamente significativas en función de las variables sociodemográficas, sexo, edad y antigüedad, a partir de las cuales iniciaremos el análisis de resultados que aparecen en la tabla 1.

Así mismo, el análisis cuantitativo se complementa con el análisis cualitativo de los gráficos expuestos en las “figuras de los contrastes de las variables motivacionales” (figuras 1a, 1b, 1c, 1d y 1e).

En primer lugar, la variable “¿le gusta tomar decisiones?”, únicamente presenta relación estadística significativa con la variable antigüedad, χ2(12) = 27.14, p = .007, C = .43. El valor elevado del coeficiente de contingencia (C) pudiera indicar que la variable antigüedad ejerce una función moduladora en la toma de decisiones, como se puede observar en el análisis cualitativo de la figura 1d.
De las respuestas obtenidas en esta variable motivacional, con una escala tipo Likert de 5 puntos, los intervinientes de menos de 1 año y entre 1 y 5 años de antigüedad tienden a distribuir sus respuestas entre las categorías poco (3) y mucho (4), mientras que los intervinientes entre 6 y 10 años y más de 10 años de antigüedad, tienden a distribuir sus respuestas entre las categorías mucho (4) y muchísimo (5).
Por otra parte, la variable “¿le atrae la idea de experimentar nuevas sensaciones?” presenta relaciones significativas en función de las variables sexo y edad y, en menor grado, respecto a la variable antigüedad.
Las respuestas informadas sobre esta variable motivacional respecto a la variable sexo, χ2(4) = 9.953, p = 0.019, C = .28, aun siendo estadísticamente significativas muestran un tamaño mediano del efecto (C). Esto se refleja en la figura 1a, donde se observa que las mujeres tienden a concentrarse en la categoría muchísimo (5), seguidas de las respuestas de los hombres, que tienden a concentrarse en la categoría mucho (4).
En la variable edad también se observa una relación significativa, F(4, 115) = 3.846, p = 0.011, η2 = .09. El tamaño del efecto η2 entre mediano y grande podría indicar que, efectivamente, la edad ejerce una función moduladora respecto al interés por experimentar nuevas sensaciones.
Según se aprecia en la figura 1b, podemos afirmar que los intervinientes que eligieron la categoría poco (3) son los que presentan mayor media de edad (M = 43.9, SD = 8.85, N = 21), mientras que los intervinientes que eligieron la categoría muchísimo (5) presentan la menor media de edad (M = 36.7, SD = 9.97, N = 49).
En la variable antigüedad (sinónimo de experiencia acumulada) hay una relación estadísticamente significativa, χ2(12) = 20.372, p = .016, C = .38, y el tamaño del efecto (C), entre mediano y grande, podría indicar que esta ejerce una relativa función moduladora sobre el interés por experimentar nuevas sensaciones. La magnitud entre estas diferencias es relativa, según se observa en el análisis cualitativo de la figura 1c.
Las respuestas dadas por los intervinientes con mayor antigüedad (o mayor experiencia), entre 6 y 10 años y más de 10 años de antigüedad, se distribuyen entre las categorías poco (3), mucho (4) y muchísimo (5), mientras que los intervinientes con menor antigüedad (entre 1 y 5 años de antigüedad) eligen en su mayoría entre mucho (4) y muchísimo (5). Sin embargo, los recién incorporados, con menos de un año de antigüedad, distribuyen sus respuestas entre muy poco (2), mucho (4) y muchísimo (5).
Por último, con respecto a la variable “¿estaría dispuesto a asumir situaciones de mayor riesgo?” sólo aparece relación con la variable antigüedad (experiencia acumulada), χ2(12) = 21.239, p = .047, C = .39, aunque, aun siendo estadísticamente significativa, el valor medio del coeficiente de contingencia (C) está entre mediano y alto. Así pues, la variable antigüedad podría ejercer una relativa función moduladora respecto a situaciones de mayor riesgo, como se puede apreciar en la figura 1e.
El análisis cualitativo de estos resultados muestra que los intervinientes con mayor antigüedad, entre 6 y 10 años y más de 10 años, tienden a responder en mayor medida, mucho (4) y, en menor medida, muchísimo (5), mientras que los intervinientes con menor antigüedad, menos de 1 año y entre 1 y 5 años, tienden a responder muchísimo (5).
El análisis de resultados en las tres variables ya comentadas, así como en el resto de variables, se puede ver en su conjunto en la tabla 1 y también en el cuadro de figuras de los contrastes entre variables.
Discusión
El propósito del presente trabajo era revisar o proponer un perfil profesional de emergencias en base a las respuestas autoinformadas relativas a la motivación, especialmente las que se dirigen a las condiciones del trabajo y la tarea, al riesgo, al trabajo en equipo, la implicación y el reconocimiento social en el contexto organizacional, mostrando al mismo tiempo algunos de los estudios realizados con profesionales de fuerzas y cuerpos de seguridad del Estado, personal de emergencias y ejército.
Teniendo en cuenta las características generales de la muestra, como dato de interés se observa que hay mayoría de hombres, un 63.0%, frente a un 36.7% de mujeres, una media de edad de 40 años y una antigüedad de más de 10 años.
En función de las diferentes categorías de la rama profesional, parece que la mayor parte de la muestra se concentra en tareas de intervención directa o inmediata en situaciones de emergencia (50.83%). Evidentemente, el área de seguridad/emergencias constituye básicamente una labor de intervención directa e inmediata con diferentes niveles de mando, a nivel asistencial en general y asistencia sanitaria en particular, en la cual se integra la asistencia psicológica. Con respecto al nivel de estudios, la mayoría tienen estudios de bachiller (38.3%) y universitario (37.5%).
Por otra parte, tal como se comentó en los resultados, los intervinientes con mayor antigüedad (sinónimo de mayor experiencia acumulada) mostraron mayor tendencia hacia la toma de decisiones. Según vimos en el cuadro de las características generales de la muestra, el número de intervinientes con antigüedad superior a 10 años (39.2%), seguidos de los que tienen una antigüedad entre 6 y 10 años (32%), representa más del 60% de la muestra, por lo que el 40% restante son los de menor antigüedad. Estos datos parecen indicar que, en la totalidad de la muestra, a mayor antigüedad, mayor tendencia a tomar decisiones.
Cabe mencionar que, en la mayoría de ocasiones, la propia operativa de emergencias “obliga” al personal a tomar decisiones rápidas y eficaces con objeto de salvar vidas, lo que a su vez implica un potencial riesgo para sí mismo y para los demás. Así pues, la toma de decisiones es una tarea implícita en el personal de emergencias, si bien las personas con mayor antigüedad estarían más familiarizadas con esta tarea. A lo largo del tiempo, el factor antigüedad podría ejercer una función protectora de la salud laboral. Esto se explicaría por el mayor tiempo y grado de exposición, lo cual podría traducirse en mayor grado de desensibilización hacia cualquier tipo de decisión o actuación, incluso tener que abandonar el escenario de intervención para salvaguardar la propia vida.
En un estudio realizado por Assunçao Ferreira (2013) con una muestra de bomberos se encuentran resultados similares. Tienen mayores puntuaciones medias los intervinientes con mayor antigüedad (mayor experiencia acumulada) en las respuestas para hacer frente a situaciones adversas, bien sean conductas de aproximación o de evitación.
La literatura sobre motivación del personal de emergencias, soldados y militares españoles destaca que la experiencia, el autocontrol y el proceso cognitivo sobre las expectativas se presentan como variables moduladoras en la toma de decisiones, considerada esta una de las tareas primordiales en emergencias (Lazarus, 2000, 2006; López-Araujo, Osca y Peiró, 2007; López-Araujo, Osca y Rodríguez, 2008). La mayoría de estos autores coinciden en que la experiencia aparece como un elemento protector ante situaciones adversas, además de factores personales y de otra índole. Por otra parte, si la edad límite de incorporación en la mayoría de Instituciones oscila entre los 26-28 años, los más jóvenes o recién incorporados, independientemente del sexo, presentarían menor experiencia acumulada, si bien esto no ha sido contrastado.
Por el contrario, un estudio realizado por Alexander y Klein (2001) cuestiona que la experiencia acumulada facilite una mayor capacidad para hacer frente a situaciones adversas. Según manifestaron algunos intervinientes, la experiencia había sido útil al principio, pero a medida que pasaba el tiempo se volvía en su contra. El propio Klein explica que esta contradicción podría estar relacionada con el hecho de que los más expertos, en comparación con los menos experimentados, no quieren reconocer la presencia de síntomas emocionales negativos, lo que podría enmascarar sus carencias y las necesidades de apoyo real.
Siguiendo con algunos de los datos ya comentados en los resultados, las mujeres, los intervinientes más jóvenes y los de menor antigüedad (hombres o mujeres) mostraron un mayor grado de interés en la idea de experimentar nuevas sensaciones. Recordemos que los intervinientes con menor antigüedad (entre 1 y 5 años de antigüedad y recién incorporados) representan el 30% de la totalidad de la muestra, por lo cual resulta complejo justificar que la idea de experimentar nuevas sensaciones tenga mayor representación en el grupo de intervinientes de menor antigüedad.
Sin embargo, si comparamos los diferentes tamaños del efecto respecto al coeficiente de contingencia (C), en las variables sexo (.28) y antigüedad (.38) y el tamaño del efecto (η2) en la variable edad (.09), reflejados en la tabla 1, se observa una mayor relevancia en la variable antigüedad.
Estos resultados podrían confirmar que los recién incorporados, con antigüedad inferior a 1 año y también los de antigüedad entre 1 y 5 años (suponiendo que la menor antigüedad vaya asociada a los más jóvenes, sean hombres o mujeres), tienden a mostrar mayor interés en experimentar nuevas sensaciones. Por una parte, esto podría indicar una elevada motivación hacia el contexto de las emergencias, como parte integral de una tarea dinámica y cambiante, si bien en el lado opuesto sería conveniente considerar otras motivaciones de índole personal que pudieran devenir en conductas disfuncionales, entendidas como situaciones de riesgo innecesario.
Respecto a la variable sexo, sin menoscabo de las anteriores indicaciones, la reciente incorporación de las mujeres al área de emergencias (tradicionalmente desarrollada por hombres), podría justificar su interés hacia este campo laboral.
A su vez, estos datos en su conjunto nos remiten al trabajo realizado por González Serra (2008) sobre la motivación reactiva, propia de la adolescencia y juventud, frente a la motivación no reactiva, propia de etapa adulta. En el primer caso es necesario diferenciar el interés por la novedad de la situación frente a posibles conductas o rasgos personales relacionados con la madurez emocional que pudieran poner en peligro la operativa de la intervención.
En esta línea cabe señalar que los profesionales y voluntarios de emergencias con menor antigüedad (supuestamente los más jóvenes) mostraron mayor grado de aceptación del riesgo. La variable “asumir situaciones de mayor riesgo” podría estar modulada por la “necesidad” o “urgencia” de la situación, ya que el tipo de respuesta elegida estaría basada en una realidad cuya meta u objetivo fundamental sería “salvar vidas”.
En este sentido, las situaciones de riesgo se pueden entender como un reto o desafío para los recién incorporados (Locke y Latham, 1985), pero también podrían indicar rasgos personales patológicos que pudieran provocar situaciones de riesgo innecesario tanto para el interviniente como para la operativa de emergencias.
Al respecto se puede observar cierto paralelismo entre el “interés por experimentar nuevas sensaciones” y “asumir situaciones de mayor riesgo” en los intervinientes con antigüedad inferior a 1 año y también en los de antigüedad entre 1 y 5 años. A pesar de que esta franja apenas representa el 30% de la totalidad de la muestra, estos datos nos aportan información importante sobre el perfil motivacional del personal de emergencias.
Analizando las variables motivacionales -¿le atrae la idea de trabajar en equipo? y ¿prefiere ejecutar órdenes recibidas de un superior?- la ausencia de relación significativa en función de las variables sociodemográficas nos sugiere que las dos variables mencionadas están implícitas en la dinámica de intervención en emergencias. Dicho de otra forma, la operativa en un suceso crítico requiere el esfuerzo coordinado del equipo y la ejecución de la tarea en base a una estructura con diferentes niveles de mando y el rol asignado a cada uno de los intervinientes.
Sin embargo, en el análisis del resto de variables -¿se siente implicado en el trabajo que realiza en la Institución? y ¿siente que su trabajo es reconocido socialmente?- la ausencia de relación significativa en función de las variables sociodemográficas nos sugiere diferentes planteamientos.
Por una parte, el hecho que la variable rama profesional -en sus categorías intervención directa y rama sanitaria- esté vinculada a las emergencias por el hecho de atender a los afectados de primer grado (o afectados directos) podría indicar que este grupo de intervinientes está más familiarizado con la situación crítica, presentando mayor control y/o desensibilización respecto al resto de categorías -administrativa y profesiones liberales- o afectados de tercer grado. Por el contrario, entre otros factores, podría indicar un elevado grado de motivación intrínseca o vocación de servicio, así como determinados rasgos de personalidad, por encima del reconocimiento social, si bien estos planteamientos no han sido contrastados. En cualquier caso, cabe mencionar que entre los profesionales y voluntarios de emergencias se valoran una serie de actitudes y aptitudes, tales como la vocación de servicio, la resistencia a la frustración, la resistencia a la fatiga, la toma de decisiones, las habilidades sociales y las habilidades de comunicación, entre otras.
Relacionado con lo anterior, los trabajos de Sánchez Carbajal (2006) otorgan especial relevancia a la satisfacción laboral como medio para contribuir al desarrollo personal y organizacional. De igual forma, los trabajos realizados por López-Araujo et al. (2007) con una muestra de soldados profesionales españoles sobre la implicación en el trabajo destacan que la motivación ejerce una función mediadora entre el estrés y la satisfacción laboral.
Respecto a la variable nivel de estudios en sus diferentes categorías -ESO, bachillerato, universitario y postgrado- la ausencia de relación de esta con las variables motivacionales nos sugiere que los incentivos salariales podrían estar asociados a niveles de mayor responsabilidad o liderazgo, relacionado con mayor estatus y motivación extrínseca, si bien es una mera especulación abierta a futuras investigaciones.
En el lado opuesto a la motivación intrínseca, Luna-Arocas (2002) destaca el concepto multidimensional de la motivación de logro, diferenciando aspectos socioeconómicos, competitividad y liderazgo, que ofrecen puntuaciones medias superiores en los hombres respecto a las mujeres. En el citado estudio, los participantes de entre 30 y 44 años se decantaron por el estatus en la organización y la excelencia en el trabajo, considerados aspectos extrínsecos del mismo.
Analizados estos datos, cabe mencionar que los mayores inconvenientes del estudio vienen propiciados por la propia naturaleza de la muestra, entre los que cabe destacar la diferente procedencia de los estamentos civiles y militares en tareas de emergencias y la heterogeneidad de la misma, siendo la mayoría de intervinientes hombres. Aun así, la representación de mujeres en la muestra, un 36.7%, en comparación con otros estudios similares, es notable. Por otra parte, a pesar de haber recogido un mayor número de respuestas online que en papel, las exigencias y la inmediatez de la tarea en profesionales de intervención inmediata, junto a la reticencia de responder a determinados ítems, ocasionó un gran número de abandonos.
Al respecto, con objeto de obtener una mayor adhesión a la cumplimentación de los cuestionarios e inventarios y evitar posibles sesgos, tales como deseabilidad social o el falseamiento de datos, no se tuvo en cuenta la institución o cuerpo de pertenencia. Al mismo tiempo, se tomó esta decisión pensando en el posible rechazo o reticencia de la muestra, ya que podría darse un agravio comparativo entre los diferentes Cuerpos y Fuerzas de Seguridad del Estado (por ejemplo, entre policía local y nacional).
Por nuestra parte, queremos insistir en la importancia de la vigilancia y aplicación de todas las medidas relativas a salud y seguridad laboral, especialmente las dirigidas al riesgo psicosocial en el trabajo. Las instituciones tienen el reto de motivar a los intervinientes sobre una serie de aspectos clave contemplados en la cultura y la moral organizacional, poniendo a su disposición todos los elementos y recursos necesarios para desarrollar su tarea de forma segura y eficaz. Entre los medios y recursos nuestra propuesta es el entrenamiento continuado en escenarios de potencial riesgo y simulacros con objeto de minimizar y controlar la ansiedad en situaciones y escenarios reales.
Cabe recordar que la motivación es lo opuesto a la rutina y al agotamiento emocional [burnout]. El hecho de otorgar mayor autonomía [empowerment] y mayor enriquecimiento a la tarea [job enrichment] como factor de motivación intrínseca del trabajo, toda vez que el personal de emergencias disponga de la formación y entrenamiento necesario, incide de forma positiva sobre la autoestima y el rendimiento personal, en el mismo sentido descrito por Katzenbach y Smith (1995).
Por último, el análisis de estos datos ha puesto de manifiesto la necesidad de seguir indagando en las diferentes motivaciones personales encaminadas a formar parte de los servicios de emergencias, entre las cuales figura el estudio de rasgos personales o desajustes emocionales, que pudieran poner en riesgo la seguridad de la persona, del equipo o de la intervención, especialmente en los más jóvenes y recién incorporados (sean hombres o mujeres).
Referencias
Alexander, D. y Klein, S. (2001). Ambulance personnel critical incidents impact of accident and emergency work on mental health and emotional well-being. British Journal of Psychiatry, 178, 76-81.
Assunçao Ferreira, F. C. (2013). La regulación emocional de síntomas psicopatológicos de los bomberos (tesis doctoral). Universidad de Extremadura.
Galbraith, J. K. (1977). Organization Design. Reading, MA: Adisson-Vesley.
Galbraith, J. K. (2007). The new industrial state. Princeton, NJ: Princeton University Press.
González Serra, D. J. (2008). Psicología de la Motivación. La Habana: Ciencias Médicas (ECM).
Hernández-Vargas, C. I., Llorens-Gumbau, S. y Rodríguez-Sánchez, A. M. (2014). Empleados saludables y calidad de servicio en el sector sanitario. Revista Anales de Psicología, 30, 247-258.
Herzberg, F. (1968). One more time: How do you motivate employees? Harvard Bussines Review, 46, 53-62.
Herzberg, F. (1986). One more time: ¿How do you motivate employees? En J. M. Williamson (Ed.), The Leader Manager (pp. 433-448). New York: John Wiley.
Herzberg, F., Mausner, B. y Sniderman, B. (1967). The motivation to work. New York: Wiley.
Katzenbach, J. R. y Smith, D. K. (1995). Sabiduría de los equipos. El desarrollo de la organización de alto rendimiento. Madrid: Díaz de Santos.
Lazarus, R. S. (2000). Toward better research on stress and coping. American Psychologist, 55, 665-667.
Lazarus, R. S. (2006). Stress and emotion: A new synthesis. New York: Springer Publishing Company.
Lazarus, R. S. y Smith, C. A. (1988). Knowledge and appraisal in the cognition-emotion relationship. Cognition and emotion, 2, 281-300.
León, M., Tejada, G. y Yataco, T. (2014). Las Organizaciones Inteligentes. Revista Industrial Data, 6(2), 82-87. Facultad de Ingeniería Industrial UNMSM.
Locke, E. A. (1968). Toward a theory of task motivation and incentives. Organizational Behavior and Human Performance, 3, 157-189.
Locke, E. A. y Latham, G. P. (1985). The application of goal setting to sports. Journal of Sport Psychology, 7, 205-222.
López-Araujo, B., Osca, A. y Peiró, J. M. (2007). El papel modulador de la implicación con el trabajo en la relación entre el estrés y la satisfacción laboral. Psicothema, 19, 81-87.
López-Araujo, B., Osca, A. y Rodríguez, M. F. (2008). Estrés de Rol, implicación con el trabajo y burnout en soldados profesionales españoles. Revista Latinoamericana de Psicología, 40, 293-304.
Luna-Arocas, R. (2002). Análisis del concepto multidimensional de la motivación de logro de Cassidy y Lynn. Cuadernos de estudios empresariales, 12, 113-127.
Pecchinenda, A. y Smith, C. A. (1996). The affective significance of skin conductance activity during a difficult problem-solving task. Cognition and Emotion, 10, 481-503.
Pinder, C. (1985). Beliefs, expected values, and volunteer work behavior en Larry F. M. Motivating Volunteer: How the rewards of unpaid work can meet people’s need. Canada: Vancouver Volunteer Centre.
Porter, L. W., Lawler, E. E. y Hackman, J. R. (1975). Behavior in organizations. New York: McGraw Hill Book Co.
Pujadas, M. D. y Pérez-Pareja, F. J. (2013). Riesgos asociados a la intervención en emergencias. Un enfoque global. Revista Enginy, 19, 53-78.
Rodriguez Porras, J. M. (2007). El factor humano en la empresa. Bilbao: Deusto.
Sainz Sordo, A. y Nomen Martín, L. (2012). Tratando situaciones de emergencia. Madrid: Pirámide.
Salanova, M. (2008). Organizaciones saludables: Una aproximación desde la psicología positiva. En Vázquez y Hervás (Eds.), Psicología positiva aplicada (pp. 403-458). Bilbao: Desclée de Brouwer.
Salanova, M. y Schaufeli, W. B. (2009). El engagement en el trabajo. Cuando el trabajo se convierte en pasión. Madrid: Alianza.
Sánchez Carbajal, V. (2006, 26 de octubre). Auditoría General del Estado. Periódico Oficial del Gobierno del Estado de Guerrero, 86.
Sennett, R. (2011). The corrosion of character: The personal consequences of work in the new capitalism. New York: WW Norton & Company.
Vroom, V. H. (1964). Work and motivation (2a Ed. 1967). New York: Wiley and Sons.
Yulk, G. A. y Latham, G. P. (1978). Interrelationships among employee participation, individual differences, goal difficulty, goal aceptance, instrumentality and performance. Personnel Psychology, 31, 305-323.
Notas de autor
Autores para correspondencia. Universitat de les Illes Balears. Facultad de Psicología. Edificio Guillem Cifre de Colonya. Carretera de Valldemossa, Km 7. Palma de Mallorca, Illes Balears. Correos electrónicos: pujadas75@hotmail.com (M.D. Pujadas-Sánchez)javi.przpareja@uib.es (F.J. Pérez-Pareja)
Declaración de intereses