Research Article
Recepción: 20 Agosto 2018
Aprobación: 02 Octubre 2018
DOI: https://doi.org/10.5093/clysa2018a20
RESUMEN: La evaluación de la sugestionabilidad y la hipnotizabilidad se ha establecido como una valiosa línea de investigación. No obstante, la mayor parte de los estudios se han realizado con muestras de población general, siendo los trabajos con muestras clínicas escasos. El objetivo del presente estudio ha sido evaluar la sugestionabilidad en una muestra de pacientes (n = 147), mediante la aplicación de un inventario de sugestionabilidad y establecer una comparación con una muestra control (n = 57). Los participantes de la muestra clínica presentaron significativamente una mayor sugestionabilidad, en comparación con los participantes de la muestra control, en la puntuación total y en las escalas de absorción, implicación emocional e influenciabilidad. Al comparar grupos específicos de trastornos mentales con respecto a la muestra control, se observaron diferencias estadísticamente significativas en sugestionabilidad para los pacientes con trastorno de ansiedad social, trastorno de pánico, trastorno obsesivo-compulsivo y trastorno de estrés postraumático. Estos resultados tienen importantes implicaciones para la práctica clínica.
Palabras clave: Sugestionabilidad, Hipnotizabilidad, Trastorno de estrés postraumático, Trastorno obsesivo-compulsivo, Trastorno de pánico, Ansiedad social.
ABSTRACT: The assessment of suggestibility and hipnotizability has become a valuable research line in the last decades. However, most studies have focused on general population, and there are limited and insufficient papers dealing with clinical simples. The aim of the present study was to evaluate general suggestibility in a sample of patients (n = 147) compared to a control (non-clinical) group (n = 57), by means of the adminitration of an inventory of suggestibility. Clinical sample participants showed higher levels of suggestibility (overall score) and higher levels of absorption, emotional suggestibility, and influence of others (subscales) than controls. By clinical groups, social anxiety, panic isorder, OCD, and PTSD groups scored higher in suggestibility than controls. These results have relevant implications for clinical practice.
Keywords: Suggestibility, Hypnotizability, Post-traumatic stress disorder, Obsessive-compulsive disorder, Panic disorder, Social anxiety.
Introducción
La sugestionabilidad, es decir, la capacidad que todos tenemos en mayor o menor medida para dejarnos llevar por la imaginación y fantasear acerca de las cosas que nos ocurren o podrían ocurrirnos, mostrar un buena capacidad para focalizar la atención y abstraernos con nuestros propios pensamientos o sensaciones, implicarnos emocionalmente en nuestras experiencias cotidianas y dejar que el entorno (personas, situaciones, acontecimientos, etc.) influya en nuestras actitudes, pensamientos y estado de ánimo (González Ordi y Miguel Tobal, 1999), es una variable cada vez más considerada en la literatura científica. Tradicionalmente, la sugestionabilidad se ha relacionado con el estudio de la hipnosis, en cuyo contexto se habla de hipnotizabilidad como “la capacidad del individuo para experimentar alteraciones sugeridas en la fisiología (cambios somáticos), sensaciones, emociones, pensamientos o conducta durante la hipnosis” (Elkins, Barabasz, Council y Spiegel, 2015, p. 6). La hipnotizabilidad se considera una variable relativamente estable de la personalidad (Kumar, Pekala y Cummings, 1996; Morgan, Johnson y Hilgard, 1974; Piccione, Hilgard y Zimbardo, 1989), con una distribución normalizada, en la que aproximadamente entre el 10% y el 15% de la población presenta una baja sugestionabilidad hipnótica, entre el 60% y el 80% se sitúa en un rango medio de sugestionabilidad y entre el 10% y el 15% se consideran individuos altamente hipnotizables o “virtuosos hipnóticos” (Terhune, Cleeremans, Raz y Lynn, 2017). Se ha relacionado la hipnotizabilidad con los alelos del gen COMT y el sistema dopaminérgico que modulan el sistema atencional ejecutivo y la memoria operativa (Raz, 2005; Raz, Fan y Posner 2006; Storozheva, Kirenskaya, Gordeev, Kovaleva y Novototsky-Vlasov, 2018).
La evaluación de la sugestionabilidad e hipnotizabilidad es un tema que ha cobrado una gran relevancia, especialmente en los últimos años, siendo objeto de gran interés tanto para los investigadores como para los profesionales dedicados al ámbito clínico. Por un lado, desde la investigación básica, el estudio de la sugestionabilidad se ha situado como una valiosa vía para mejorar nuestro conocimiento sobre la relación entre mente y cerebro y para la comprensión de determinados procesos cognitivos básicos, entre los que cabe destacar la percepción, la atención, la memoria, la consciencia, la metacognición o la regulación emocional, así como otros aspectos vinculados a la neurociencia, como los correlatos neurales estructurales y funcionales de la hipnotizabilidad, la interconectividad cerebral y estructuras implicadas en el procesamiento diferencial de las sugestiones hipnóticas (ver Landry, Lifshitz y Raz, 2017; Terhune, et al., 2017, entre otros). Por otro lado, desde el punto de vista de la investigación aplicada, el estudio de la sugestionabilidad es también un asunto de gran interés debido a la relación de esta variable con los resultados de la eficacia de los tratamientos basados en la sugestión: los pacientes más sugestionables responden mejor a las sugestiones terapéuticas que los pacientes menos sugestionables, de forma que a mayor hipnotizabilidad es esperable un mejor rendimiento hipnótico (Barabasz y Perez, 2007; Farb, 2012; Lynn, Shindler y Meyer, 2003; Montgomery, DuHamel y Redd, 2000; Montgomery, Schnur y David, 2011). De esta manera, la posibilidad de identificar a las personas o grupos con mayor sugestionabilidad, es decir, aquellas personas que son más receptivas a la sugestión y, por extensión, a las técnicas basadas en la sugestión, supone un interesante conocimiento de cara a la toma de decisiones clínicas sobre la aplicación de los tratamientos.
Diversos estudios clínicos han evidenciado la existencia de una correlación positiva entre hipnotizabilidad y diversos trastornos emocionales, particularmente fobias (miedos específicos), bulimia y atracón y los trastornos vinculados con el trauma: estrés agudo, estrés postraumático y las reacciones disociativas.
Frankel (1974) planteó hace tiempo que los pacientes fóbicos eran más sugestionables que la población normal. Estudios posteriores han puesto de manifiesto que los pacientes fóbicos puntúan consistentemente más alto en hipnotizabilidad que los controles (ver Crawford y Barabasz, 1993; González Ordi y Miguel Tobal, 2001). Según Dell (2017), estos estudios informan que entre un 46% y un 79% de los pacientes fóbicos mostrarían una alta capacidad de respuesta a la hipnosis, relación que es tanto más clara cuando hablamos de la presencia de varios miedos específicos o multifobias.
En población no clínica también se han encontrado relaciones positivas entre sugestionabilidad y ansiedad estado y rasgo (González Ordi, 1994; González Ordi y Miguel Tobal, 1999; Gudjonsson, 1988; Wolfradt y Meyer, 1998). De hecho, los individuos más sugestionables tienden a imaginar con mayor realismo e implicarse emocionalmente con mayor intensidad cuando se les pide que recuerden experiencias ansiógenas pasadas que los individuos menos sugestionables (González Ordi y Miguel-Tobal, 2001). En este sentido, las personas más sugestionables presentan mayores niveles de atención emocional y menores niveles de comprensión y reparación (regulación) emocional que los menos sugestionables (Salguero, Ruíz, Fernández-Berrocal y González Ordi, 2008). Por otro lado, Polczyk Frey y Szpitalak (2013) encontraron que cuanto mayor era el nivel de sugestionabilidad, mayores reducciones se encontraban en hiperactivación y mayor capacidad de desactivación obtenían los participantes tras entrenamiento en relajación.
Pettinati, Horne y Staats (1985) informaron que los pacientes bulímicos eran significativamente más hipnotizables que los pacientes anoréxicos y, a su vez, los anoréxicos purgativos eran más hipnotizables que los restrictivos. Buena parte de estos pacientes informaban de reacciones disociativas durante los períodos de atracón. Otros estudios han confirmado esta relación positiva entre sugestionabilidad, trastornos de alimentación, especialmente la bulimia, y disociación (Barabasz, 1991; Covino, Jimerson, Wolfe, Franko y Frankel, 1994; Vanderlinden, Spinhoven, Vandereycken y Van Dyck, 1993). Resulta especialmente interesante el hecho de que aquellos pacientes con actitudes problemáticas hacia la comida resultaban más hipnotizables que los participantes con actitudes saludables, porque los primeros parecen ser más influenciables a la presión social y ambiental que los segundos (Bachner-Melman, Lev-Ari, Levin y Lichtenberg, 2016).
Respecto a los trastornos relacionados con el trauma, estudios clínicos han encontrado relaciones positivas entre hipnotizabilidad con estrés agudo (Bryant, Guthrie y Moulds, 2001), estrés postraumático y sintomatología disociativa (Bryant, Guthrie, Moulds, Dixon y Felmingham, 2003; DuHamel, Difede, Foley y Greenleaf, 2002; Frischholz, Lipman, Braun y Sachs, 1992; Putnam, Helmers, Horowitz y Trickett, 1995; Roelofs et al., 2002; Spiegel, Hunt y Dondershine, 1988; Stutman y Bliss, 1985).
En población no clínica se ha evidenciado también esta relación positiva entre sugestionabilidad y disociabilidad, tanto en relación con la disociación psicológica como somática (Barkus Stirling y Cavill, 2010; Serrano Sevillano, González Ordi y Corbí Gran, 2016; Serrano Sevillano, González Ordi, Corbí Gran y Vallejo Pareja, 2017).
Lo anterior ha llevado a algunos autores a plantear la teoría de la diátesis-estrés de la sugestionabilidad, que sugiere que la vulnerabilidad o predisposición genética relacionada con la capacidad de sugestión de los individuos (diátesis) interactúa con el ambiente y los sucesos vitales –traumáticos– (estrés) para desencadenar sintomatología disociativa, presente en mayor o menor grado en esta variedad de trastornos psicológicos (Butler, 2006; Butler, Duran, Jasiukaitis, Koopman y Spiegel, 1996; Dell, 2017; Yard, DuHamel y Galynker, 2008).
En su conjunto, los estudios clínicos y no clínicos indican que la sugestionabilidad podría estar actuando como variable moduladora del inicio y mantenimiento de muchos trastornos emocionales, aunque las revisiones recientes en el campo reclaman más investigaciones con muestras clínicas (Dell, 2017; Lynn et al., 2003; Yard et al., 2008).
Por otro lado, el grueso de la investigación procede de estudios del ámbito anglosajón, existiendo muy pocos estudios realizados en nuestro entorno. El reciente estudio de Pellicer Asensio, Fusté Escolano y Ruiz Rodríguez (2018) es una notable y valiosa excepción, al baremar la Escala de Sugestionabilidad de Barber a muestras clínicas españolas, aunque desafortunadamente no presenta datos comparativos con muestras no clínicas, ni datos comparativos según patologías. En consecuencia, el análisis de la sugestionabilidad en muestras clínicas procedentes de nuestro contexto cultural adquiere un valor añadido al desarrollo de esta floreciente línea de investigación.
Por tanto, el objetivo principal del presente estudio es evaluar la sugestionabilidad de una muestra de pacientes de un centro de salud mental y establecer una comparación con una muestra control, considerando en este análisis tanto la muestra clínica en su totalidad como grupos de pacientes con trastornos mentales específicos. A este respecto, se espera que, en conjunto, las personas de la muestra clínica presenten unos niveles de sugestionabilidad significativamente más elevados en comparación con los participantes de la muestra no clínica. Asimismo, de acuerdo con el modelo de diátesis-estrés de la sugestionabilidad (Dell, 2017), se espera que determinados subgrupos de trastornos mentales en los que esté presente la sintomatología disociativa muestren unos niveles de sugestionabilidad significativamente más elevados respecto a la muestra control.
Método
Participantes
La muestra total del estudio está conformada por 204 individuos, en edades comprendidas entre 14 y los 74 años, de los cuales 147 personas procedían de una muestra clínica y 57 de una muestra no clínica que se utilizó como grupo de comparación. Los datos sobre el nivel sugestionabilidad de la muestra clínica fueron obtenidos a partir de los registros de los pacientes atendidos en un centro privado de atención en salud mental situado en Madrid, a los que se aplicó el Inventario de Sugestionabilidad-IS (González-Ordi y Miguel Tobal, 1999). Los datos extraídos se encontraban disociados de los datos de identificación de los pacientes, asegurando el anonimato y la confidencialidad de los mismos.
La muestra clínica (n = 147) quedó compuesta por 47 hombres (media de edad = 36.9 años, DT = 12.1, rango 17-62 años) y 100 mujeres (media de edad = 33.8 años, DT = 10.2, rango 18-59 años), con un rango de edad de 17 a 62 años. No hubo diferencias significativas entre hombres y mujeres en edad (t(145)=1.616, p = .108). Todos los pacientes tenían nacionalidad española y fueron diagnosticados de acuerdo con los criterios del Manual Diagnóstico y Estadístico de los Trastornos Mentales DSM-5 (American Psychiatric Association, 2013). La muestra clínica quedó conformada por un 27.2% de pacientes con trastorno de pánico y/o trastorno de agorafobia, un 19% con trastorno de adaptación, un 18.4% con trastorno de ansiedad social, un 18.4 % con trastorno de estrés postraumático y un 17% con trastorno obsesivo-compulsivo.
Los participantes de la muestra no clínica fueron captados a través de las redes sociales, solicitando su participación voluntaria en el estudio. Se estableció como criterio de exclusión estar recibiendo (o haber recibido) algún tratamiento psicológico o psiquiátrico y/o haber sido diagnosticado de algún trastorno de salud mental. La muestra control (n = 57) quedó compuesta por 19 hombres (media de edad = 41.9 años, DT = 14, rango 19- 74 años) y 38 mujeres (media de edad = 37.2 años, DT = 15.8, rango 14-73 años), con un rango de edad de 14 a 74 años, no observándose diferencias significativas entre hombres y mujeres en edad, t(55)=1.098, p = .277.
Al comparar la muestra clínica y la muestra no clínica, no se obtuvieron diferencias significativas en sexo (χ2 = 0.035, p = .852) ni en edad, t(202) = 1.815, p = .073).
Instrumentos
Inventario de Sugestionabilidad (IS; González-Ordi y Miguel-Tobal, 1999; González Ordi, 2013). Este instrumento, que mide la sugestionabilidad mediante autoinforme, se compone de 22 ítems, a los que la persona debe responder con el grado de frecuencia con que experimenta cada uno de ellos en una escala tipo Likert de cinco puntos, siendo 0 = casi nunca, 1 = pocas veces, 2 = unas veces sí, otras veces no, 3 = muchas veces y 4 = casi siempre. El IS proporciona una puntuación total en sugestionabilidad, entendida como tendencia o propensión a ser sugestionado en diferentes ámbitos de la vida cotidiana, con un rango de 0 a 88 puntos, de tal manera que a mayor puntuación, mayor sugestionabilidad. Asimismo, el IS se compone de cuatro subescalas: fantaseo (tendencia a evadirse o dejarse llevar a través de la imaginación, la voz o la música o “soñar despierto”), absorción (capacidad para focalizar la atención, centrarse en imágenes y sensaciones propias o experimentar con viveza sensaciones a través de la imaginación), implicación emocional (capacidad para implicarse emocional y activamente en el contenido del mensaje estimular) e influenciabilidad (grado en que un individuo permite que otros influyan en sus pensamientos, sentimientos y estados de ánimo). El IS presenta una adecuada fiabilidad test-retest (correspondiente a .70 en un intervalo de 3 meses), una consistencia interna aceptable (con un alfa de Cronbach = .79) y una buena validez convergente con otras medidas directas de hipnotizabilidad (para una revisión véase González Ordi y Miguel Tobal, 1999). El Inventario de Sugestionabilidad ha sido traducido y adaptado a otros idiomas (Barkus et al., 2010; Polczyk et al., 2013).
Procedimiento
Todos los participantes completaron el Inventario de Sugestionabilidad. En el caso de los participantes de la muestra clínica, el IS fue completado por el paciente durante el transcurso de las sesiones de evaluación previas al inicio del tratamiento. En relación con la muestra de la población general, se realizó una versión para la cumplimentación online del Inventario de Sugestionabilidad, distribuyéndose el enlace al cuestionario a través de muestreo por bola de nieve, por medio del cual a partir de una muestra inicial de dos personas se llevó a cabo su difusión a través de correo electrónico, redes y contactos sociales, solicitando a su vez su difusión a más contactos.
Análisis de Datos
En primer lugar, para el análisis de las características sociodemográficas de la muestra y la descripción de los resultados del IS se calcularon diferentes estadísticos descriptivos, como medias, desviaciones típicas, frecuencias y porcentajes.
En segundo lugar, se realizó una comparación en las variables demográficas mediante t de Student para la edad y mediante la prueba de χ2 para el sexo entre la muestra clínica y la muestra control. Asimismo, para analizar las diferencias en las puntuaciones del IS entre la muestra clínica y el grupo control se realizaron pruebas t de Student, asumiendo que las varianzas de los dos grupos en las variables dependientes eran iguales cuando la prueba de Levene para igualdad de varianzas no era estadísticamente significativa. En caso contrario, se realizaba la prueba t con la fórmula que no asume la igualdad de varianzas.
En tercer lugar, se compararon la puntuación total y las puntuaciones en las escalas del Inventario de Sugestionabilidad entre la muestra control y diferentes categorías diagnósticas: trastorno de ansiedad social (n = 27), trastorno de pánico (n = 40), trastorno obsesivo-compulsivo (n = 25), el trastorno de estrés postraumático (n = 27) y el trastorno de adaptación (n = 28). Se utilizó un ANOVA de un factor entre-grupos para comparar el efecto del tipo de patología (participantes sin patología, con trastorno de ansiedad social, con trastorno de pánico, con trastorno obsesivo-compulsivo, con trastorno de estrés postraumático y con trastorno de adaptativo) en la puntuación total y en las diferentes escalas del IS. Se asumió el estadístico de Welch en el caso de la existencia de diferencia de varianzas entre los grupos según la prueba de Levene y el estadístico F en caso contrario. Se calculó el tamaño del efecto de las diferencias mediante la eta cuadrado parcial. Complementariamente, se realizó un contraste post hoc utilizando la prueba de Dunnet, seleccionando la muestra control como grupo de comparación con cada uno de los grupos diagnósticos, para estudiar si había diferencias significativas entre las distintas patologías y la muestra control. Como tamaño del efecto para estas comparaciones de la muestra control con cada patología se empleó la d de Cohen (Cohen, 1988). Para el cálculo de la d se consideró como desviación típica el promedio de las desviaciones típicas, de acuerdo con las indicaciones y recomendaciones establecidas en la literatura (Cumming, 2012).
Todas las variables consideradas y medidas en este estudio fueron grabadas, codificadas y analizadas con el programa de tratamiento estadístico SPSS 19.0. En los análisis estadísticos que se efectuaron se adoptó por convención un nivel de significación de .05.
Resultados
Análisis de las Diferencias entre la Muestra Clínica y el Grupo Control
La Tabla 1 muestra la puntuación total en el Inventario de Sugestionabilidad y cada una de sus escalas de los participantes de la muestra clínica y la muestra control, así como la comparación estadística mediante pruebas t de Student para medidas independientes y el tamaño del efecto de las diferencias.

Los participantes de la muestra clínica presentan significativamente una mayor sugestionabilidad, en comparación con los participantes de la muestra control, en la puntuación total del IS y en las escalas de absorción, implicación emocional e influenciabilidad. El tamaño del efecto de estas diferencias es grande en el caso de la puntuación total de la escala (p < .001, d = 0.86) y moderado en el caso de la escala de absorción (p < .001, d = 0.71), implicación emocional (p < .008, d = 0.43) e influenciabilidad (p < .001, d = 0.61).
Comparación entre Grupos Diagnósticos Específicos y el Grupo Control
Con relación a las comparaciones en la puntuación total y en las escalas del IS entre la muestra control y los grupos diagnósticos considerados, los resultados del ANOVA entre-grupos mostraron un efecto significativo del tipo de grupo en la puntuación total en sugestionabilidad, F(5, 198) = 8.664, p < .001, η2p = .180, y en las escalas de absorción F(5, 198) = 5.897, p < .001, η2p = .130, implicación emocional, F(5, 198) = 4.459, p < .01, η2p = .101, e influenciabilidad F(5, 198) = 4.813, p < .001, η2p = .108, evaluadas mediante el IS.
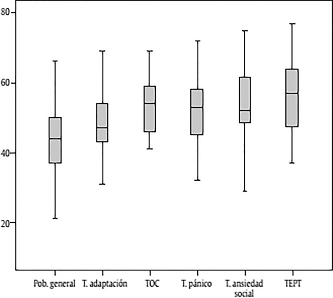
Las comparaciones post hoc utilizando el test de Dunnet mostraron que la puntuación media en el Inventario de Sugestionabilidad de la muestra control (M = 43.4, DT = 9.4) se diferenció significativamente del grupo de trastorno de ansiedad social (M = 53.5, DT = 10.9), con un tamaño del efecto grande (d = 0.99), del trastorno de pánico (M = 52.8, DT = 10.4) con un tamaño del efecto grande (d = 0.95), del trastorno obsesivo-compulsivo (M = 51.8, DT = 11.9), con un tamaño del efecto moderado (d = 0.78) y del trastorno de estrés postraumático (M = 56.7, DT = 11.0), con un tamaño del efecto grande (d = 1.31). Sin embargo, no se obtuvieron diferencias significativas entre la muestra control y el grupo de trastorno de adaptación en esta variable (M = 46.3, DT = 11.2). Las medias, desviaciones típicas en sugestionabilidad de cada uno de los grupos diagnósticos considerados pueden consultarse la Tabla 2 y Figura 1.


Las comparaciones post hoc mediante el test de Dunnet en las diferentes escalas del IS mostraron que respecto a la escala de fantaseo no se observaron diferencias significativas entre la muestra control y los diferentes grupos diagnósticos evaluados (véase Tabla 2 y Figura 2).

En relación con la escala de absorción o atención focalizada, la puntuación media en esta escala del IS de la muestra control (M = 8.4, DT = 2.8) se diferenció significativamente de los grupos de trastorno de pánico (M = 10.7, DT = 2.7) con un tamaño del efecto grande (d = 0.85), de trastorno obsesivo-compulsivo (M = 10.8, DT = 2.2), con un tamaño del efecto grande (d = 0.97) y de trastorno de estrés postraumático (M = 11.1, DT = 2.7), con un tamaño del efecto grande (d = 0.99). Sin embargo, no se obtuvieron diferencias significativas entre la muestra control y el grupo de trastornos de trastorno de ansiedad social en esta variable (M = 9.3, DT = 3.3) ni en el grupo de trastorno de adaptación (M = 9.7, DT = 2.9) (véase Tabla 2).
Respecto a la escala de implicación emocional, la puntuación media en esta escala del IS de la muestra control (M = 9.6, DT = 3.6) se diferenció significativamente del grupo de trastorno de pánico (M = 11.8, DT = 4.6), con un tamaño del efecto moderado (d = 0.53) y del grupo de trastorno de estrés postraumático (M = 13.3, DT = 3.7), con un tamaño del efecto grande (d = 1.02). No se obtuvieron diferencias significativas en esta variable entre el grupo control y ninguno de los otros grupos clínicos considerados: trastorno de ansiedad social (M = 11.1, DT =3.7), trastorno de adaptación (M = 9.5, DT = 3.2) y trastorno obsesivo-compulsivo (M = 10.4, DT = 4.7) (véase Tabla 2).
En relación con la escala de influenciabilidad, la puntuación media en esta escala del IS de la muestra control (M = 10.2, DT = 3.0) se diferenció significativamente del grupo de trastorno de ansiedad social (M = 13.2, DT = 3.5), con un tamaño del efecto grande (d = 0.93), del trastorno de pánico (M = 11.8, DT = 3.4), con un tamaño del efecto moderado (d = 0.51) y del trastorno de estrés postraumático (M = 13.0, DT = 2.8), con un tamaño del efecto grande (d = 0.97). No obstante, no se obtuvieron diferencias significativas entre el grupo control y el trastorno de adaptación (M = 11.0, DT = 3.2) y el trastorno obsesivo-compulsivo (M = 11.7, DT = 3.6) en esta variable (véase Tabla 2).
Discusión
En el presente trabajo se ha realizado una comparación del nivel de sugestionabilidad, evaluada mediante autoinforme, entre una muestra de pacientes clínicos y una muestra control de participantes de la población general, así como un análisis de la sugestionabilidad en determinados grupos diagnósticos que hasta la fecha han recibido nula o escasa atención por parte de los investigadores en este campo, como el trastorno obsesivo-compulsivo o el trastorno de pánico. La finalidad de este estudio exploratorio ha sido la de contribuir a la investigación para avanzar en el conocimiento de la sugestionabilidad, así como dar respuesta a la necesidad de estudios en este ámbito que cuenten con muestras clínicas, tal y como han señalado diferentes autores (Dell, 2017; Lynn et al., 2003; Yard et al., 2008).
En relación con las comparaciones entre la muestra clínica en su totalidad y la muestra control en el Inventario de Sugestionabilidad se observan diferencias significativas en la puntuación total de este instrumento y en las escalas de absorción, implicación emocional e influenciabilidad, en la dirección esperada. Así, los pacientes incluidos en el estudio presentan, en conjunto, unas puntuaciones significativamente más altas que la muestra control, tanto en el nivel de sugestionabilidad total como en las escalas mencionadas. Los resultados obtenidos son consistentes a un reciente estudio con una muestra de pacientes de la población española, a los que se aplicó la Escala de Sugestionabilidad de Barder, mostrando unos niveles de sugestionabilidad significativamente más elevados frente a los baremos previamente establecidos (Pellicer et al., 2018). Igualmente, estos resultados son acordes con el conjunto de estudios que ha demostrado una relación entre sugestionabilidad y psicopatología en otras muestras de pacientes, así como la importancia de la absorción, la implicación emocional y de la influenciabilidad como predictores de malestar y problemas de salud mental (v.g., Peluso y Abrams, 2012).
El análisis realizado con el grupo de pacientes con trastorno de ansiedad social en relación con su capacidad de sugestión muestra que estos pacientes presentan una puntuación total significativamente más elevada que la muestra control y, específicamente, mayores puntuaciones en la escala de influenciabilidad, con un tamaño del efecto grande en ambos casos. Estos resultados son congruentes con los estudios que han demostrado que los pacientes con fobias son altamente sugestionables (Crawford y Barabasz, 1993; Dell, 2017) y con las investigaciones que han puesto en evidencia que los trastornos de ansiedad presentan un sesgo de atención a los estímulos amenazantes del ambiente, lo que juega un papel determinante en la etiología, mantenimiento y tratamiento de este trastorno, tal y como ha sido contemplado en algunos modelos cognitivo-conductuales para la ansiedad social como el de Rapee y Heimberg (1997) (para una revisión de estos estudios, véase Van Bockstaele et al., 2014). Asimismo, los resultados son acordes con los obtenidos en otros estudios con población general que han evidenciado que los participantes altamente sugestionables presentan más ansiedad, se ven más afectados por la deseabilidad social y manifiestan mayor puntuación en ansiedad de evaluación y ansiedad interpersonal (González-Ordi, 1994), así como con otros estudios previos que han encontrado una correlación significativa entre la influenciabilidad, medida a través del IS, y la ansiedad (Polczyk et al., 2013).
Al comparar las diferencias en la escala de absorción entre la muestra de pacientes con ansiedad social y la muestra control, no se han observado diferencias significativas. Estos resultados contradicen la evidencia empírica que señala que la atención auto-focalizada (o autoabsorción) juega un papel determinante en el mantenimiento del trastorno de ansiedad social (para una revisión véase Spurr y Stopa, 2002). No obstante, en la medida en que se ha planteado que el contenido de la absorción en el trastorno de ansiedad social se caracteriza por un uso de la perspectiva del observador –a diferencia de otros trastornos (Clark, 2005)–, es posible que este aspecto tan específico no haya podido ser detectado por la escala de absorción del instrumento de evaluación utilizado en el presente estudio. También es posible que el bajo tamaño muestral no permita detectar estas diferencias a nivel significativo. En cualquier caso, se requieren más investigaciones con muestras más amplias para aclarar esta cuestión.
El grupo de trastorno de pánico presenta diferencias significativas en la puntuación total y en las escalas de absorción, implicación emocional e influenciabilidad. Los resultados del presente estudio avalan la evidencia obtenida en anteriores investigaciones con muestras heterogéneas de pacientes con trastorno de ansiedad y con muestras no clínicas con altos niveles de ansiedad y son congruentes con una serie de investigaciones que han puesto en evidencia una correlación positiva y significativa entre la capacidad de absorción y la sensibilidad a la ansiedad o al miedo a los propios síntomas interoceptivos de ansiedad, de tal manera que la capacidad de absorción ha sido identificada como un factor de riesgo para el desarrollo de ataques de pánico (Lilienfeld, 1997).
En el caso del trastorno obsesivo compulsivo, los datos del análisis post hoc evidencian que este grupo presenta puntuaciones significativamente más elevadas que la muestra control, tanto en la puntuación total del Inventario de Sugestionabilidad como en la escala de absorción. Si bien los estudios realizados exclusivamente con pacientes con trastorno obsesivo-compulsivo son inexistentes en la literatura científica sobre sugestionabilidad, los datos son consistentes con una reciente línea de investigación que plantea que la absorción puede jugar un rol específico en la etiología del trastorno obsesivo-compulsivo, siendo identificada como uno de los predictores más potentes de la sintomatología asociada a este cuadro diagnóstico (Soffer-Dudek, Lassri, Soffer-Dudek y Shahar, 2015).
En relación con el grupo de trastornos de adaptación, no se han hallado diferencias significativas en sugestionabilidad. Se observa una tendencia en este grupo a obtener una puntuación más elevada en el IS y en la escala de absorción, si bien no llega a alcanzar la significación estadística. Posiblemente, esta categoría conlleve en sí misma una heterogeneidad, ansiedad-depresión, que puede estar influyendo en las puntuaciones que, aunque muestran tendencias, no alcanzan el nivel de significación estadística, por lo que sería necesario incrementar el tamaño muestral para explorar tendencias más claras.
Por su parte, el grupo de pacientes con trastorno de estrés postraumático presenta los mayores niveles de sugestionabilidad de todos los grupos diagnósticos evaluados en este estudio, con diferencias estadísticamente significativas en la puntuación total y en las escalas de absorción, implicación emocional e influenciabilidad en relación con la muestra control, siendo el tamaño del efecto grande en todos los casos (con valores de la d de Cohen entre 0.97 y 1.31). Estos resultados son congruentes con los estudios que han demostrado la elevada sugestionabilidad de estos pacientes (v.g., Yard et al., 2008). Asimismo, otros investigadores han encontrado una relación directa entre la capacidad de absorción, las experiencias disociativas y la severidad del trauma (v.g., Peluso y Abrams, 2012), así como diferencias estadísticamente significativas en la capacidad de absorción de este grupo con respecto a voluntarios sanos (Simeon, Giesbrecht, Knutelska, Smith y Smith, 2009), lo que es acorde a los resultados obtenidos.
En relación con la puntuación elevada en las escalas de influenciabilidad e implicación emocional de los pacientes con trastorno de estrés postraumático frente al grupo control, también existen evidencias previas en la literatura científica de la relación entre estas variables y la sintomatología postraumática, siendo su máxima expresión los procesos de traumatización vicaria, estrés traumático secundario o fatiga de compasión (Cieslak et al., 2014). Asimismo, los resultados obtenidos en el presente estudio guardan una estrecha relación con las investigaciones que han mostrado que los individuos altamente hipnotizables, en comparación con los bajos, presentan una mayor facilidad para el contagio emocional, así como una capacidad aumentada para acceder a estados afectivos en contextos no hipnóticos (Cardeña, Terhune, Lööf y Buratti, 2008).
Considerados los resultados en su conjunto, la elevada sugestionabilidad observada en la muestra clínica, específicamente en el grupo de trastorno de estrés postraumático, es congruente con la teoría de la diátesis-estrés de la sugestionabilidad de Dell (2017), que plantea que la hipnotizabilidad está estrechamente relacionada con la sintomatología disociativa presente en una variedad de trastornos psicológicos, desde el trastorno de identidad asociativo hasta las fobias. No obstante, se necesitan futuras investigaciones para confirmar los resultados obtenidos, así como estas posibles correlaciones.
En conclusión, de replicarse los resultados del presente estudio exploratorio, los datos sugieren que los pacientes con trastorno mental (específicamente, los pacientes con trastorno de ansiedad social, trastorno de pánico, trastorno obsesivo-compulsivo y trastorno de estrés postraumático) presentan un nivel elevado de sugestionabilidad, lo que conlleva importantes implicaciones para la práctica clínica, apoyando, el desarrollo, difusión y aplicación de técnicas basadas en la sugestión, como la hipnosis, en psicoterapia.
Las conclusiones establecidas, no obstante, deben considerarse con cautela en la medida en que el estudio realizado presenta limitaciones metodológicas que deben ser tenidas en cuenta de cara a la interpretación y generalización de los resultados, relacionadas principalmente con la representatividad de las muestras, tanto del grupo clínico como del grupo control (basadas en la disponibilidad y disposición a participar en el estudio, la captación de los participantes, etc.), así como con el bajo tamaño muestral de los grupos comparados. En este sentido, se requieren futuros estudios con muestras más amplias y representativas que incluyan además la evaluación de la presencia de psicopatología en la muestra de la población general para controlar el posible efecto de esta variable. Otra limitación del presente estudio es la evaluación de la sugestionabilidad mediante una única escala de autoinforme. Aunque el instrumento utilizado en este estudio tiene unas buenas propiedades psicométricas, ha sido validado en población española y es muy útil para su aplicación en la práctica clínica, es probable que otras medidas conductuales de hipnotizabilidad proporcionen información adicional de interés en este campo.
Referencias
American Psychiatric Association. (2013). DSM-5. Diagnostic and statistical manual of mental disorders (5th ed.). Washington, DC: APA.
Bachner-Melman, R., Lev-Ari, L., Levin, R. y Lichtenberg, P. (2016). Think yourself thin: Concern for appropriateness mediates the link between hypnotizability and disordered eating. International Journal of Clinical and Experimental Hypnosis, 64, 225-238. https://doi.org/10.1080/00207144.2016.1131591
Barabasz, M. (1991). Hypnotizability in bulimia. International Journal of Eating Disorders, 10(1), 117–120. https://doi.org/10.1002/1098-108X(199101)10:1<117::AID-EAT2260100113>3.0.CO;2-T
Barabasz, A. y Perez, N. (2007). Salient findings: Hypnotizability as core construct and the clinical utility of hypnosis. International Journal of Clinical and Experimental Hypnosis, 55, 372-379. https://doi.org/10.1080/00207140701339793
Barkus, E., Stirling, J. y Cavill, J. (2010). Suggestibility, dissociation and positive schizotypy. Clínica y Salud, 21, 3-8. https://doi.org/10.5093/cl2010v21n1a1
Bryant, R. A., Guthrie, R. M. y Moulds, M. (2001). Hypnotizability in acute stress disorder. American Journal of Psychiatry, 158, 600-604. https://doi.org/10.1176/appi.ajp.158.4.600
Bryant, R. A., Guthrie, R. M., Moulds, M. L., Dixon, R. D. V. y Felmingham, K. (2003). Hypnotizability and posttraumatic stress disorder: A prospective study. International Journal of Clinical and Experimental Hypnosis, 56, 382-389. https://doi.org/10.1076/iceh.51.4.382.16407
Butler, L. D. (2006). Normative dissociation. Psychiatric Clinics of North America, 29, 45-62. https://doi.org/10.1016/j.psc.2005.10.004
Butler, L. D., Duran, R. E. F., Jasiukaitis, P., Koopman, C. y Spiegel, D. (1996). Hypnotizability and traumatic experience: A diathesis-stress model of dissociative symptoms. American Journal of Psychiatry, 153(Festchrift Suppl.), 42-63. https://doi.org/10.1176/ajp.153.7.42
Cardeña, E., Terhune, D. B., Lööf, A. y Buratti, S. (2008). Hypnotic experience is related to emotional contagion. International Journal of Clinical and Experimental Hypnosis, 57, 33-46. https://doi.org/10.1080/00207140802463500
Cieslak, R., Shoji, K., Douglas, A., Melville, E., Luszczynska, A. y Benight, C. C. (2014). A meta-analysis of the relationship between job burnout and secondary traumatic stress among workers with indirect exposure to trauma. Psychological Services, 11, 75-86. https://doi.org/10.1037/a0033798
Clark, D. M. (2005). A cognitive perspective on social phobia. En W. R. Crozier & E. A. Lynn (Eds.), The essential handbook of social anxiety for clinicians (pp. 193-218). Chichester, UK: John Wiley & Sons.
Cohen, J. (1988). Statistical power analysis for the behavioral sciences (2nd ed.). Hillsdale, NJ: Erlbaum.
Covino, N. A., Jimerson, D. C., Wolfe, B. E., Franko, D. L. y Frankel, F. H. (1994). Hypnotizability, dissociation, and bulimia nervosa. Journal of Abnormal Psychology, 103, 455-459. https://doi.org/10.1037/0021-843X.103.3.455
Crawford, H. J. y Barabasz, A. (1993). Phobias and intense fears: Facilitating their treatment with hypnosis. En W. Rhue, S. J. Lynn y I. Kirsch (Eds.), Handbook of clinical hypnosis (pp. 311-337). Washington, DC: American Psychological Association.
Cumming, G. (2012). Understanding the new statistics: Effect sizes, confidence intervals, and meta-analysis. New York, NY: Routledge.
Dell, P. F. (2017). Is high hypnotizability a necessary diathesis for pathological dissociation? Journal of Trauma & Dissociation, 18, 58-87. https://doi.org/10.1080/15299732.2016.1191579
DuHamel, K. N., Difede, J., Foley, F. y Greenleaf, M. (2002). Hypnotizability and trauma symptoms after burn injury. International Journal of Clinical and Experimental Hypnosis, 50, 33-50. https://doi.org/10.1080/00207140208410089
Elkins, G. R., Barabasz, A. F., Council, J. R. y Spiegel, D. (2015). Advancing research and practice: The revised APA Division 30 definition of hypnosis. International Journal of Clinical and Experimental Hypnosis, 63, 1-9. https://doi.org/10.1080/00207144.2014.961870
Farb, N. A. (2012). Mind your expectations: exploring the roles of suggestion and intention in mindfulness training. The Journal of Mind-Body Regulation, 2, 27-42.
Frankel, F. H. (1974). Trance capacity and the genesis of phobic behavior. Archives of General Psychiatry, 31, 261-263. https://doi.org/10.1001/archpsyc.1974.01760140103019
Frischholz, E., Lipman, L., Braun, B. y Sachs, R. (1992). Psychopathology, hypnotizability, and dissociation. American Journal of Psychiatry, 149, 1521-1525. https://doi.org/10.1176/ajp.149.11.1521
González-Ordi, H. (1994). Sugestión, sugestionabilidad y ansiedad: investigación e implicaciones clínicas. Ansiedad y Estrés, 0, 135-145.
González-Ordi, H. (2013). Hipnosis en el siglo XXI. Madrid, España: Grupo 5.
González-Ordi, H. y Miguel Tobal, J. J. (1999). Características de la sugestionabilidad y su relación con otras variables psicológicas. Anales de Psicología, 15, 57-75.
González Ordi, H. y Miguel Tobal, J. J. (2001). La sugestionabilidad como variable moduladora en la imaginación de escenas ansiógenas. Ansiedad y Estrés, 7, 89-110.
Gudjonsson, G. H. (1988). Interrogative suggestibility: Its relationship with assertiveness, social-evaluative anxiety, state anxiety and method of coping. British Journal of Clinical Psychology, 27, 159-166. https://doi.org/10.1111/j.2044-8260.1988.tb00764.x
Kumar, V. K., Pekala, R. J., y Cummings, J. (1996). Trait factors, state effects, and hypnotizability. International Journal of Clinical and Experimental Hypnosis, 44, 232-249. https://doi.org/10.1080/00207149608416085
Landry, M., Lifshitz, M. y Amir Raz, A. (2017). Neural correlates of hypnosis: A systematic review and meta-analytic exploration. Neuroscience and Biobehavioral Reviews, 85, 75-98. https://doi.org/10.1016/j.neubiorev.2017.02.020
Lilienfeld, S. O. (1997). The relation of anxiety sensitivity to higher and lower order personality dimensions: Implications for the etiology of panic attacks. Journal of Abnormal Psychology, 106, 539-544. https://doi.org/10.1037/0021-843X.106.4.539
Lynn, S. J., Shindler, K. y Meyer, E. (2003). Hypnotic suggestibility, psychopathology, and treatment outcome. Sleep and Hypnosis, 5, 2-10.
Montgomery, G. H., DuHamel, K. N. y Redd, W. H. (2000). A meta-analysis of hypnotically induced analgesia: How effective is hypnosis? International Journal of Clinical and Experimental Hypnosis, 48, 138-153. https://doi.org/10.1080/00207140008410045
Montgomery, G. H., Schnur, J. B. y David, D. (2011). The impact of hypnotic suggestibility in clinical care settings. International Journal of Clinical and Experimental Hypnosis, 59, 294-309. https://doi.org/10.1080/00207144.2011.570656
Morgan, A. H., Johnson, D. L. y Hilgard, E. R. (1974). The stability of hypnotic susceptibility: a longitudinal study. International Journal of Clinical and Experimental Hypnosis, 22, 249-257. https://doi.org/10.1080/00207147408413004
Pellicer Asensio, X., Fusté Escolano, A. y Ruiz Rodríguez, J. (2018). Psychometric analysis of the Barber Suggestibility Scale in a clinical population. American Journal of Clinical Hypnosis, 60, 386-402. https://doi.org/10.1080/00029157.2017.1421138
Peluso, D. L. y Abrams, M. P. (2012). Absorption, dissociation, and post-traumatic stress: Differential associations among constructs and symptom clusters. Sleep and Hypnosis, 14, 1-11.
Pettinati, H. M., Horne, R. L. y Staats, J. M. (1985). Hypnotizability in patients with anorexia nervosa and bulimia. Archives of General Psychiatry, 42, 1014-1016. https://doi.org/10.1001/archpsyc.1985.01790330094011
Piccione, C., Hilgard, E. R., y Zimbardo, P. G. (1989). On the degree of stability of measured hypnotizability over a 25-year period. Journal of Personality and Social Psychology, 56, 289-295. https://doi.org/10.1037/0022-3514.56.2.289
Polczyk, R., Frey, O. y Szpitalak, M. (2013). The relationships between suggestibility, influenceability, and relaxability. International Journal of Clinical and Experimental Hypnosis, 61, 319-335. https://doi.org/10.1080/00207144.2013.784097
Putnam, F. W., Helmers, K., Horowitz, L. A. y Trickett, P. K. (1995). Hypnotizability and dissociativity in sexually abused girls. Child Abuse & Neglect, 19, 645-655. https://doi.org/10.1016/0145-2134(95)00022-Z
Rapee, R. M. y Heimberg, R. G. (1997). A cognitive-behavioral model of anxiety in social phobia. Behaviour Research and Therapy, 35, 741-756. https://doi.org/10.1016/S0005-7967(97)00022-3
Raz, A. (2005). Attention and hypnosis: Neural substrates and genetic associations of two converging processes. International Journal of Clinical and Experimental Hypnosis, 53, 237-258. https://doi.org/10.1080/00207140590961295
Raz, A., Fan, J. y Posner, M. I. (2006). Neuroimaging and genetic associations of attentional and hypnotic processes. Journal of Physiology - Paris, 99, 483-491. https://doi.org/10.1016/j.jphysparis.2006.03.003
Roelofs, K., Hoogduin, K. A., Keijsers, G. P., Näring, G. W., Moene, F. C. y Sandijck, P. (2002). Hypnotic susceptibility in patients with conversion disorder. Journal of Abnormal Psychology, 111, 390-395. https://doi.org/10.1037/0021-843X.111.2.390
Salguero, J. M., Ruíz, D., Fernández-Berrocal, P. y González Ordi, H. (2008). Inteligencia emocional y sugestionabilidad: efectos sobre el nivel de ansiedad en una muestra de mujeres universitarias. Ansiedad y Estrés, 14, 143-158.
Serrano Sevillano, A., González-Ordi, H. y Corbí Gran, B. (2016). Disociación, personalidad, sugestionabilidad, alexitimia y dificultades en la regulación emocional: un estudio correlacional. Clínica y Salud, 27, 147-155. https://doi.org/10.1016/j.clysa.2016.09.005
Serrano Sevillano, A., González-Ordi, H., Corbí Gran, B. y Vallejo Pareja, M. A. (2017). Psychological characteristics of dissociation in general population. Clínica y Salud, 28, 101-106. https://doi.org/10.1016/j.clysa.2017.09.003
Simeon, D., Giesbrecht, T., Knutelska, M., Smith, R. J. y Smith, L. M. (2009). Alexithymia, absorption, and cognitive failures in depersonalization disorder: a comparison to posttraumatic stress disorder and healthy volunteers. The Journal of Nervous and Mental Disease, 197, 492-498. https://doi.org/10.1097/NMD.0b013e3181aaef6b
Soffer-Dudek, N., Lassri, D., Soffer-Dudek, N. y Shahar, G. (2015). Dissociative absorption: an empirically unique, clinically relevant, dissociative factor. Consciousness and Cognition, 36, 338-351. https://doi.org/10.1016/j.concog.2015.07.013
Spiegel, D., Hunt, T. y Dondershine, H. E. (1988). Dissociation and hypnotizability in posttraumatic stress disorder. American Journal of Psychiatry, 145, 301-305. https://doi.org/10.1176/ajp.145.3.301
Spurr, J. M. y Stopa, L. (2002). Self-focused attention in social phobia and social anxiety. Clinical Psychology Review, 22, 947-975. https://doi.org/10.1016/S0272-7358(02)00107-1
Storozheva, Z. I., Kirenskaya, A. V., Gordeev, M. N., Kovaleva, M. E. y Novototsky-Vlasov, V. Y. (2018). COMT genotype and sensory and sensorimotor gating in high and low hypnotizable subjects. International Journal of Clinical and Experimental Hypnosis, 66, 83-105. https://doi.org/10.1080/00207144.2018.1396120
Stutman, R. K. y Bliss, E. L. (1985). Posttraumatic stress disorder, hypnotizability, and imagery. American Journal of Psychiatry, 142, 741-743. https://doi.org/10.1176/ajp.142.6.741
Terhune, D. B., Cleeremans, A., Raz, A. y Lynn, S. J. (2017). Hypnosis and top-down regulation of consciousness. Neuroscience & Biobehavioral Reviews, 81(2), 59-74. https://doi.org/10.1016/j.neubiorev.2017.02.002
Van Bockstaele, B., Verschuere, B., Tibboel, H., De Houwer, J., Crombez, G. y Koster, E. H. (2014). A review of current evidence for the causal impact of attentional bias on fear and anxiety. Psychological Bulletin, 140, 682-721. https://doi.org/10.1037/a0034834
Vanderlinden, J., Spinhoven, P., Vandereycken, W. y Van Dyck, R. (1993). Dissociative and hypnotic experiences in eating disorder patients: An exploratory study. American Journal of Hypnosis, 38, 97-108. https://doi.org/10.1080/00029157.1995.10403188
Wolfradt, U. y Meyer, T. (1998). Interrogative suggestibility, anxiety and dissociation among anxious patients and normal controls. Personality and Individual Differences, 25, 425-432. https://doi.org/10.1016/S0191-8869(98)00023-3
Yard, S. S., DuHamel, K. N. y Galynker, I. I. (2008). Hypnotizability as a potential risk factor for posttraumatic stress: A review of quantitative studies. International Journal of Clinical and Experimental Hypnosis, 56, 334-356. https://doi.org/10.1080/00207140802042007
Notas
Declaración de intereses
Los autores de este artículo declaran que no tienen ningún conflicto de intereses.