Documentos especiales
INDICE DE ÉXITO TURÍSTICO EN CIUDADES DESTINO
Tourism Success Index In Cities Destinations
INDICE DE ÉXITO TURÍSTICO EN CIUDADES DESTINO
Estudios y Perspectivas en Turismo, vol. 27, núm. 2, pp. 431-445, 2018
Centro de Investigaciones y Estudios Turísticos
Recepción: 21 Junio 2017
Recibido del documento revisado: 17 Julio 2017
Aprobación: 20 Julio 2017
Resumen: El interés creciente que despierta el turismo como alternativa de desarrollo y la agresiva competencia en todas las escalas del sector, determina que para la gestión de los destinos turísticos resulte imperativo alinear las voluntades y recursos de un amplio espectro de involucrados hacia un objetivo común. Condicionado al nivel de logro de tal objetivo se encuentra el éxito del destino, como un constructo multidimensional que se aborda en esta investigación con el objeto de proponer un índice para ciudades destino a partir de cuatro dimensiones críticas: crecimiento turístico, posicionamiento, sostenibilidad y calidad de vida. La metodología utilizada se fundamenta en el método de expertos y el proceso analítico jerárquico. Los resultados muestran que la ciudad de Zurich es el destino turístico más exitoso del año 2016, seguida de Viena y Londres en el segundo y tercer lugar.
Palabras clave: Destino, ciudad, dimensión, índice de éxito turístico.
Abstract: The growing interest in tourism as an alternative for development, and the aggressive competition in all scales of the sector, determine for managers of tourism destinations an imperative need to align the will and resources of a broad spectrum of stakeholders towards a common goal. The level of achievement of this objective represents the success of the destination, what is a multidimensional construct that it is addressed in this research with the purpose of proposing an index for cities destinations in base of four critical dimensions: tourism growth, positioning, sustainability and quality of life. The methodology used is based on the expert method and the hierarchical analytical process. The results show that the city of Zurich is the most successful tourist destination of 2016, followed by Vienna and London in second and third place.
Keywords: Destination, city, dimension, tourism success index.
INTRODUCCIÓN
En las últimas seis décadas la actividad turística ha mostrado una continua expansión geográfica y una profusa diversificación de los destinos (Jiménez & Aquino, 2012). De acuerdo con la Organización Mundial del Turismo (2016) la cuota de mercado de economías emergentes creció 15 puntos porcentuales entre 1980 y 2015, y se estima que alcance un 12% más en 2030. Así también, proyecta que el crecimiento de las llegadas en destinos emergentes (+4,4% al año) se duplique con relación al de las economías avanzadas (+2,2% al año) entre 2010 y 2030. Todo esto refiere un escenario marcado por el cambio en la orientación de los flujos turísticos internacionales (Corti, 2016), donde para afrontar una agresiva competencia, los agentes turísticos deben apostar por nuevas fórmulas que les permitan afrontar los grandes desafíos de esta época como son la globalización del fenómeno turístico, la irrupción de nuevos mercados competidores, los cambios de hábitos e intereses de los turistas, la inversión de la pirámide demográfica, la creciente importancia de la sostenibilidad y sobre todo, el cambio hacia una sociedad que gira cada día más en torno a las tecnologías de la información (SEGITTUR, 2015).
En un mercado turístico altamente dinámico las organizaciones encargadas de la gestión de los destinos procuran alcanzar el éxito turístico mediante el alineamiento de voluntades y la canalización de recursos de diversa índole. Siendo el éxito turístico un objetivo común para todos los destinos a escala global, resulta crucial esclarecer qué se entiende por éxito turístico, pues a la luz de las evidencias encontradas en la literatura científica, se trata de un constructo elusivo (Bornhost, Ritchie & Sheehan, 2010) que puede ser abordado desde múltiples perspectivas o dimensiones, sin que las mismas cuenten con el consenso del colectivo académico (Volgger & Pechlaner, 2014).
Tan importante como conocer las dimensiones del éxito turístico es contar con un instrumento que permita medirlo y establecer posiciones en términos comparativos, es decir identificar la posición de los destinos en un rango que permita visualizarlos de manera ordinal en relación a quienes se encuentran mejor y peor ubicados. De esta manera se puede orientar la toma de decisiones de quienes se encuentran al frente de la gestión de los destinos, facilitando la identificación de los aspectos donde deben poner mayor atención. Esto resulta especialmente valioso en destinos complejos como son las ciudades, las cuales se han convertido en destinos de gran relevancia en el contexto actual internacional (Bertoncello & Troncoso, 2014; Rifai, 2012) donde el turismo de “ciudad” se erige como uno de los sectores de más rápido crecimiento (Paskaleva, 2005), y en los cuales debe lograrse un ajuste a los deseos de los turistas presentes y futuros, al tiempo que se satisfacen las necesidades de sus residentes (Blažević & Nižić, 2015).
Esta investigación tiene por objeto la elaboración de un índice de éxito turístico para ciudades destino a nivel global, a partir de un set de cuatro dimensiones que además de ser referidas en la literatura, son aplicadas en rankings mundiales llevados adelante por diversas organizaciones tales como Mastercard para crecimiento turístico, Arcadis para ciudades sostenibles, Mercer para calidad de vida en ciudades y TripAdvisor para posicionamiento. Las dimensiones que forman parte de este estudio se soportan en el análisis y el planteamiento hecho por autores como Mazanec, Wöber & Zins (2007) que destacan el crecimiento turístico como un determinante clave para el éxito, Mihalic (2000) que lo asocia además con el uso eficiente y sostenible de los recursos, Valls (2004) y Morgan (2012) que reconocen entre otras variables fundamentales la calidad de vida de la población local, y Pulido (2014) que sugiere el posicionamiento competitivo de un destino como fin último de una adecuada estrategia de gestión de destinos.
El documento describe a nivel teórico los aportes encontrados en la literatura científica respecto a la conceptualización del éxito turístico de un destino y a nivel metodológico expone en detalle el procedimiento seguido para la elaboración del índice, mismo que hace uso del método de expertos para la priorización de dimensiones mediante el Proceso Analítico Jerárquico (PAJ), técnica que ha sido anteriormente aplicada en el ámbito del turismo en diferentes campos como por ejemplo en la planificación del turismo rural (Blancas, Guerrero & Lozano, 2009), y la valoración de atractivos turísticos (Herrera, Crespo, Zambrano & Cadena, 2014).
MARCO TEÓRICO
La gestión de destinos turísticos
Como lo señalan Muñoz & Velasco (2015) el desarrollo de los destinos turísticos supone un proceso en el que la sociedad en su dinámica socio-económica y cultural, permite la articulación de componentes del turismo y su puesta a disposición del mercado, siendo fundamental para ello la participación de todos los agentes o fuerzas turísticas que interactúan dentro de los límites del sistema.
Estos agentes sin embargo son diversos y heterogéneos de manera que lograr su participación en una dirección unívoca suele ser difícil. Reconocer la multitud de agentes con intereses divergentes y convergentes en un destino turístico parte de entender un destino como una realidad sistémica compleja con dialéctica propia (Luque, Zayas & Caro, 2015), que en palabras de Pearce (2016) se define como el conjunto de productos y experiencias interdependientes ofrecidos por múltiples proveedores y organizaciones en lugares con diverso rango de escala territorial. Este autor destaca, por sobre otras acepciones, el valor del destino en tanto producto turístico y es precisamente en esa condición donde se revela la variabilidad de los involucrados, especialmente desde la perspectiva de cadena.
Cabe entonces traer a colación la estructura de la cadena de valor de un destino. Conforme a Fabricius (2001 citado por Pulido & López, 2016), la cadena de valor del destino está constituida por actividades primarias y de apoyo; mientras las primeras ocurren durante la producción del producto turístico, las de apoyo posibilitan el desarrollo de las anteriores. En estas últimas se desagregan subgrupos encargados de: 1) planificación del destino e infraestructuras; 2) actividades dirigidas al desarrollo de recursos humanos; 3) actividades orientadas al desarrollo del producto; 4) tecnología y sistemas; y 5) actividades desempeñadas por industrias relacionadas con la turística. Coligiendo de lo anterior, es evidente la profusión de eslabones y empresas/organizaciones que los integran, lo cual constituye un factor decisivo a tomar en cuenta en la gestión de destinos.
El desarrollo de la actividad turística comprende una composición de acciones conjuntas por parte de la iniciativa privada y del sector público (Pascarella & Fontes, 2010), de ahí que la gestión de un destino, vista como un proceso de coordinación (Morrison, 2013; Miočić, Razović & Razović, 2016), convoque la coalición de un espectro de organizaciones e intereses hacia un objetivo común. En virtud de ello, el éxito de tal gestión estará vinculado al nivel de logro de tal objetivo.
El éxito turístico de un destino
Pearce (2013) afirma que los objetivos de la gestión de destinos cambiarán según el destino en razón de que los actores tendrán sus propios intereses y preocupaciones, más a pesar de ello indica que es necesario encontrar un punto de enfoque de los actores u objetivo fundamental que puede por ejemplo ser la sostenibilidad. En la misma línea, Ritchie & Crouch (2003) consideran que la sostenibilidad y la competitividad son dos parámetros primarios que deben ser satisfechos en el destino para que sea exitoso y acotan que ninguno es suficiente por sí solo. Con ello concuerdan autores como Giner & Frau (2014) y Pedro Bueno (2015).
Mazaro (2007) coincide pero además agrega el “desarrollo” a estas dos variables, y afirma que las tres se han de cumplir en una secuencia lógica y sistémica para alcanzar el éxito estratégico de los destinos. Similar opinión la expone el ROS Development and Planning S.L. (2008) al afirmar que el objetivo finalista en el marco de las organizaciones de gestión de destinos es el desarrollo turístico sostenible y competitivo.
Valls (2004) por su parte considera que la competitividad es un objetivo del destino, al cual se agregan otros 3: calidad de vida de sus ciudadanos, desarrollo económico superior y satisfacción de la población local y los turistas.
Para la World Tourism Organization (2007) la gestión efectiva del destino implica maximizar el valor del turismo para los visitantes mientras se asegura la sustentabilidad y los beneficios locales. Concordando, Morgan (2012) refiere el bienestar de la población y la sostenibilidad como aspectos clave del éxito de un destino. En la misma línea de pensamiento Jenkins, Dredge & Taplin (2011) consideran que los objetivos del destino se relacionan con estimular un apropiado nivel y tipo de demanda turística para los productos y experiencias del destino, de manera que se promuevan beneficios a los residentes.
Por otra parte, un estudio desarrollado por Bornhorst, Ritchie & Sheehan en 2010, con base en una consulta a 84 expertos gestores de 25 destinos canadienses, concluye que el éxito está circunscrito a cinco temas clave: éxito económico, productos y servicios ofertados, marketing efectivo, calidad de las experiencias de los visitantes e interacción de los involucrados. El Cuadro 1 expone los diferentes enfoques de los autores presentados respecto al éxito turístico de un destino.

La exuberancia de opiniones respecto a lo que representa el éxito turístico de un destino, refleja un conjunto de categorías que se solapan entre sí. También es evidente que no existe consenso general sino más bien concordancias parciales en ciertas categorías específicas. No obstante, de ello se aprecia que de acuerdo a la literatura revisada, el éxito turístico está relacionado con los siguientes aspectos clave: competitividad, sostenibilidad, bienestar/calidad de vida de la población local, satisfacción del turista, éxito/desarrollo económico, marketing efectivo y gobernanza.
El éxito turístico de un destino medido a partir de una dimensión o factor puntual
Con la finalidad de orientar la toma de decisiones desde el sector público o privado, varias organizaciones han desarrollado rangos o rankings en lengua inglesa, donde ubican a las ciudades según el puntaje alcanzado en función de indicadores que contribuyen a una variable específica. En el caso del turismo en ciudades, son cuatro los rankings que destacan por su alcance global: 1) El ranking de ciudades destino que lleva adelante la empresa Mastercard, donde se evalúa entre 132 ciudades el crecimiento en términos de llegadas de turistas y gasto turístico; 2) El ranking de posicionamiento de destinos turísticos de TripAdvisor, que establece en orden jerárquico las 25 mejores ciudades destino de acuerdo con la opinión de usuarios de viajes y turismo; 3) El ranking de ciudades sostenibles de la empresa Arcadis, que si bien no es un rango de turismo, permite conocer la salud y el bienestar de las ciudades en el presente y para el futuro (incluyendo el efecto que pudiera tener el turismo en las ciudades), y clasifica un total de 100 ciudades a nivel global de acuerdo con tres dimensiones: gente, planeta y ganancia; y, 4) El ranking Mercer que evalúa las condiciones de vida locales en más de 450 ciudades de acuerdo con 39 factores, agrupados en 10 categorías.
A efectos de la creación del índice de éxito turístico se han acogido estos cuatro rankings que representan dimensiones o factores específicos dentro de ellas. En el caso del ranking Mastercard de ciudades destino, se trata del factor crecimiento turístico medido en llegadas de turistas, dentro de la dimensión éxito económico. En el caso del ranking TripAdvisor éste se enmarca en el factor posicionamiento dentro de la dimensión marketing efectivo. El caso de los ranking Arcadis y Mercer, directamente representan las dimensiones de sostenibilidad y calidad de vida de las ciudades.
METODOLOGÍA
La investigación se condujo a través del juicio de expertos, método que se define como la opinión, sustentada en información, de personas con trayectoria y reconocimiento en un tema específico. Inicialmente fue utilizado en situaciones de alta complejidad e incertidumbre por psicólogos y economistas (Arkes & Hammond, 1986; citados por Mumpower & Steward, 1996) y entre sus aplicaciones está la asignación de pesos diferenciales a dimensiones (Escobar & Cuervo, 2008) lo cual es parte del objeto de este trabajo y de allí su pertinencia. La literatura académica muestra variados ejemplos de su aplicación al estudio del turismo, por citar dos se hace referencia a Figueroa González; Cavazos Arroyo & Mayett Moreno (2015), quienes lo utilizan para el desarrollo de productos turísticos, así como Fuenzalida, Figueroa & Negrete (2013) quienes lo aplican en la evaluación de la aptitud territorial para el turismo de naturaleza.
En este estudio, la selección de los expertos se realizó considerando las particularidades del objeto a evaluar. Por ello se conformó una lista de candidatos tomando como criterios: el poseer estudios de posgrado en áreas afines al turismo, demostrar experiencia de al menos 10 años en la gestión y/o investigación turística en destinos, y manifestar disponibilidad para participar en el estudio. Tal lista se integró inicialmente de 11 expertos, sin embargo este número se redujo a 9 luego del proceso de selección en base al coeficiente experta que se describe más adelante.
Un detalle del nivel de estudios formales y años de experiencia en gestión o investigación turística se presentan en el Cuadro 2, donde destaca que el 78% de los expertos poseen estudios a nivel de Maestría y el 22% a nivel de Doctorado. Respecto al tiempo de experiencia se puede notar que la media es de 20 años.

Por otra parte del total de 9 expertos, 5 representan gestores con experiencia práctica al frente de destinos turísticos y 4 poseen experiencia en investigación y representan a la academia. Se consideró adecuado este número de participantes con base en la recomendación de Zartha et al. (2014) en cuyo estudio refieren la cifra de 9 expertos como aquella en la cual se observó la mayor variación de respuestas frente a un número mayor de participantes. Para sustentar el número igualmente se ha acogido el criterio de autores como Rowe & Wright (2001) quienes argumentan que el número acertado de expertos debe oscilar entre 5 y 20.
Una vez obtenido el consentimiento de cada experto para participar en el estudio se solicitó su autovaloración de experticia, en función de la cual se determinó su coeficiente experta K. Para ello, siguiendo a Cabero & Barroso (2013), se calculó el coeficiente de conocimiento (Kc) - a partir de la puntuación de conocimiento e información de cada experto sobre una escala gráfica ascendente (0-10) multiplicada por 0.1 - y el coeficiente de argumentación (Ka) - a partir de la suma de la puntuación dada como respuesta al grado de influencia de las fuentes de conocimiento e información: estudios teóricos realizados, experiencia obtenida, trabajos en el país, trabajos en el extranjero, consultas bibliográficas y cursos de actualización.
Como se indicó anteriormente, de los 11 expertos listados en un inicio fueron descartados 2 por haber obtenido puntajes menores al umbral utilizado que fue 0,80. Este umbral se tomó en cuenta considerando su amplia utilización en otros trabajos. Al respecto, Cabero & Barroso (2013) explican que este límite ha sido utilizado recurrentemente en estudios similares por otros autores como Oñate (2001), García & Fernández (2008), López (2008), Blasco et al., (2010) y Mengual (2011). Los coeficientes experta, de conocimiento y argumentación calculados se muestran en el Cuadro 3.

Una vez validado el conjunto de expertos se solicitó a cada uno de ellos su opinión para priorizar las dimensiones del éxito turístico planteadas en esta investigación y que responden específicamente a aquellas para las cuales se encontraron rankings o rangos de escala internacional para ciudades. Tales factores/dimensiones fueron: crecimiento turístico, posicionamiento del destino, sostenibilidad urbana y calidad de vida en ciudad. A cada dimensión le corresponde para efectos de este estudio, un ranking como se expone en el Cuadro 4.

Para la priorización de dimensiones se aplicó el Proceso Analítico Jerárquico (PAJ), planteado por Tomas Saaty en 1977, mismo que se define como una técnica de decisión multicriterio que permite llevar un problema multidimensional a una escala unidimensional, buscando para ello trasladar la realidad percibida por el individuo a una escala de razón en la que se reflejan las prioridades relativas de los elementos considerados (Moreno et al., 1998).
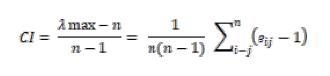
Siguiendo la técnica PAJ se pidió a cada experto señalar la preferencia o prioridad de dimensión mediante comparaciones pareadas y utilizando una escala de nueve puntos. Una vez obtenida la matriz de comparaciones se la normalizó y se calcularon los vectores de prioridad. Finalmente se realizó el análisis de consistencia para lo cual se calculó un ratio o razón de consistencia RC que resulta del cociente entre un índice de consistencia calculado CI y un índice de consistencia aleatorio ICA, esto es:
RC = CI/ICA(n)
El índice de consistencia calculado resulta en un índice de consistencia medio obtenido al simular aleatoriamente los juicios para las matrices recíprocas de orden n, como se aprecia en la siguiente fórmula:

Por otra parte, los valores del Índice de Consistencia Aleatorio para los diferentes valores de n, se encuentran previamente calculados en una tabla a partir de la cual se obtuvo el valor de 0,89 mismo que corresponde al ICA para un valor de n igual a 4.
Como resultado se obtuvo un ratio RC igual a 0,08. Considerando que el PAJ determina un valor de 0,1 o menor como aceptable, el RC obtenido en este caso demuestra que los juicios emitidos por los expertos son aceptables. El Cuadro 5 expone estos resultados.

De manera paralela y con el objetivo de priorizar el análisis en los destinos mejor valorados a nivel global, se tomaron las ciudades destino ubicadas en las primeras cinco posiciones de cada ranking. El Cuadro 6 muestra las posiciones de las ciudades destino en cada ranking/dimensión.

Seguidamente, a cada una de las posiciones desde el primer hasta el quinto lugar se asignó una ponderación ad hoc cuya sumatoria es equivalente a 1. Así, el primer lugar recibió una ponderación de 0,5; el segundo 0,2; el tercero 0,15; el cuarto 0,10 y finalmente el quinto 0,5 como puede verse en el Cuadro 6. De esta manera se logró transformar los valores de la escala ordinal de posición a magnitudes que posibiliten el cálculo del índice de éxito. A continuación se elaboró el índice de éxito turístico como resultante de la sumatoria del producto del valor ponderado de cada dimensión (vector de prioridad) por el valor ponderado de la posición de la ciudad destino en cada dimensión. La fórmula que expresa este cálculo se muestra a continuación:

Donde:
IE = Índice de éxito turístico
Vpd = Valor ponderado de cada dimensión
Vpp = Valor ponderado de la posición de la ciudad destino en cada dimensión
El valor calculado para cada ciudad destino por posición y dimensión se muestra en el Cuadro 7.

RESULTADOS
El valor del índice de éxito turístico determina que Zurich es la ciudad destino más exitosa a nivel mundial, tomando en consideración las dimensiones de crecimiento turístico, posicionamiento, sostenibilidad urbana y calidad de vida. Las ciudades que le siguen en orden descendente hasta llegar al quinto lugar son Viena, Londres, Bangkok y Singapur.
Entre la quinta y décima posición se encuentran Estocolmo, Oakland, París, Munich y Vancouver. Finalmente un tercer grupo de ciudades se ubican entre la décimo primera y décimo quinta posición, y son: Estambul, Marrakech, Nueva York, Siem Reep y Dubai. El Cuadro 8 muestra la posición de cada ciudad destino y su valor respecto al índice de éxito turístico.

Partiendo del hecho de que el éxito turístico de un destino es un constructo multidimensional, este estudio constituye una aproximación a la tarea de crear un mecanismo que permita medirlo. Es por ello importante tener en cuenta que esta investigación recoge sólo cuatro dimensiones de un conjunto más amplio que refiere la literatura especializada y en ese sentido se reconoce la limitación del mecanismo, sin que ello desmerezca su utilidad.
La composición del índice de éxito turístico a partir de la integración de rankings globales en diversas dimensiones, enriquece y a la vez simplifica el proceso de cálculo, pues cada ranking posee una metodología propia que ha sido probada por sus creadores en varias series anuales, y cuentan con la aceptación de un amplio rango de usuarios. Resulta de interés notar cómo el uso de varias dimensiones aporta mayor profundidad en el análisis en la medida en que se puede mejorar la interpretación de las posiciones de un mismo destino en diferentes dimensiones a través del uso de ponderadores.
En ese sentido se observa que ninguna ciudad destino ostenta la primera posición en todas las dimensiones estudiadas, no obstante un número reducido de ellas representado por Londres, París, Viena y Zurich, muestran posiciones fuertes (entre las 5 primeras) en 2 o más dimensiones de estudio.
Otro aspecto interesante tiene que ver con la distribución geográfica de las ciudades destino mejor puntuadas en el índice de éxito turístico (10 primeras posiciones); así, Europa mantiene el 60% de las ciudades turísticamente más exitosas del mundo (representadas por Zurich, Viena, Londres, Estocolmo, París y Estambul), mientras que Asia ostenta el 20% (Bangkok y Singapur) y finalmente Norteamérica (Vancouver) y Oceanía (Oakland) mantienen cada una un 10%. Llama la atención el no observar ciudades de Iberoamérica en el conjunto de ciudades que participaron en este estudio, lo que indica que no se ubican entre las 15 primeras posiciones del índice.
Finalmente cabe destacar que los resultados del índice muestran la prevalencia de destinos turísticos maduros y la escasez de destinos emergentes en las mejores posiciones. Acogiendo este hecho y trayendo a colación la alta tasa de crecimiento de los destinos emergentes que menciona el Informe Panorama Mundial del Turismo OMT (2016), se revelan dos aspectos que ameritan reflexión: por una parte el crecimiento intenso de los destinos emergentes no representa por sí solo una medida de éxito. Por otra parte se denota la sobrevaloración de la dimensión crecimiento turístico en estudios como Panorama Mundial del Turismo OMT, lo que podría estimular el pensamiento erróneo de que aquellos destinos que reciben más llegadas e ingresos de alguna manera constituyen referentes de éxito.
CONCLUSIONES
El éxito turístico de un destino puede definirse a partir de un set de dimensiones sobre las cuáles no existe consenso académico. Sin embargo son varios los autores que refieren el crecimiento turístico, la sostenibilidad, el posicionamiento y la calidad de vida de la población local, como dimensiones importantes a tomar en cuenta. Así también, una manera práctica para evaluar el desempeño de un destino turístico con relación a cada una de éstas cuatro dimensiones está dada por los rankings de ciudades que llevan adelante Mastercard, TripAdvisor, Mercer y Arcadis. A partir de un índice ad hoc donde convergen estas dimensiones y rankings, esta investigación determina que Zurich es la ciudad más exitosa del mundo en términos turísticos.
Por otra parte este estudio subraya que el éxito turístico no es sinónimo de competitividad turística y más bien la relación entre ambos es de tipo contributiva. En ese sentido, cabe apuntar que la competitividad turística, vista como una capacidad, es medida en función de determinantes distintos, se cita como ejemplos el caso del Informe de Competitividad de Viajes y Turismo que lleva adelante el Foro Económico Mundial, mismo que comprende 4 subíndices (recursos naturales y culturales, infraestructura, política y condiciones habilitantes, y ambiente habilitador); el Monitor de Competitividad Turística de los Destinos Urbanos Españoles que se sustenta en 6 pilares (capacidad de atracción de la oferta de productos de ocio, capacidad de atracción de la oferta de productos de negocios, condicionantes competitivos del entorno urbano y de la vida local, accesibilidad y movilidad, gobernanza y gestión estratégica, y desempeño, resultados económicos y sociales); y el modelo de competitividad basado en factores críticos de éxito propuesto por Alonso Ferreras (2010) y que plantea 9 dimensiones (aprendizaje y crecimiento; dirección y gestión del destino, recursos, estructura turística, infraestructuras y servicios de apoyo y complementarios; desarrollo sostenible; agentes implicados; cliente; y, condiciones del entorno).
Referencias
Alonso Ferreras, V. (2010) “Factores críticos de éxito y evaluación de la competitividad de destinos turísticos”. Estudios y Perspectivas en Turismo 19(2): 201-220
Bertoncello, R. & Troncoso, C. (2014) “La ciudad como objeto de deseo turístico: renovación urbana, cultura y turismo en Buenos Aires y Salta”. Gran Tour (9): 4-25
Blancas, F.; Guerrero, F. & Lozano, M. (2009) “La localización espacial en la planificación del turismo rural en Andalucía: un enfoque multicriterio”. Revista de Estudios Regionales (84): 83-113
Blažević, M. & Krstinić, N. (2015) “City organization as urban challenge for tourism destinations”. ToSEE – Tourism in Southern and Eastern Europe 3: 19-33
Bornhors, T.; Ritchie, J. & Sheehan, L. (2010) “Determinants of tourism success for DMOs & destinations: An empirical examination of stakeholders’ perspectives”. Tourism Management 31(5): 572-589
Cabero, J. & Barroso, J. (2013) “La utilización del juicio de experto para la evaluación de TIC: el coeficiente de competencia experta”. Bordón Revista de Pedagogía 65(2): 25-38
Corti, A. (2016) “Global tourism new volatility, old statistics”. SYMPHONYA Emerging Issues in Management (1): 25-30
Escobar, J. & Cuervo, A. (2008) “Validez de contenido y juicio de expertos: una aproximación a su utilización”. Avances en Medición (6): 27-36
Figueroa González, L.; Cavazos Arroyo, J. & Mayett Moreno, Y. (2015) “Desarrollo de productos turísticos rurales sustentables. Propuesta y validación de expertos respecto a tres variables”. El Periplo Sustentable (28): 115-139
Fuenzalida, M.; Figueroa, R. & Negrete, J. (2013) “Evaluación de la aptitud territorial para el turismo de naturaleza y rural Reserva de la Biosfera La Campana - Lago Peñuelas, Chile”. Estudios y Perspectivas en Turismo 22(1): 120-137
Giner, D. & Frau, S. (2014) “La gestión de los destinos turísticos de la Comunitat Valenciana en el entorno de las TICs: Implicaciones del destino 2.0”. Papers de Turisme (55): 43-64
Herrera, G.; Crespo, G.; Zambrano, D. & Cadena, P. (2014) “Turismo y gestión: una propuesta metodológica para la valoración y sistematización de atractivos turísticos en el cantón Rumiñahui”. Revista Retos 8(1): 125-142
Jenkins, J.; Dredge, D. & Taplin J. (2011) “Destination planning and policy: process and practice”. En: Wang, Y. & Pizam, A. (Eds.) Destination marketing and management: Theories and aplications. CAB International, Wallingford, pp. 21 – 38
Jiménez, P. & Aquino, F. (2012) “Propuesta de un modelo de competitividad de destinos turísticos”. Estudios y Perspectivas en Turismo 21(4): 977-995
Luque, A.; Zayas, B. & Caro, J. (2015) “Los Destinos Turísticos Inteligentes en el marco de la Inteligencia Territorial: conflictos y oportunidades”. Investigaciones Turísticas (10): 1-25
Mazanec, J.; Wöber, K. & Zins, A. (2007) “Tourism destination competitiveness: from definition to explanation”. Journal of Travel Research (46): 86-95
Mazaro, R. (2007) “La sustentable levedad del visitar: modelo de evaluación de competitividad y sostenibilidad estratégica de destinos turísticos”. Turismo Visão e Ação 9(3): 325-339
Mihalic, T. (2000) “Environmental management of a tourist destination: a factor of tourism competitiveness”. Tourism Management 21(1): 65-78
Miočić, B.; Razović, M. & Razović, T. (2016) “Management of sustainable tourism destination through stakeholder cooperation”. Management 21(2): 99-120
Morrison, A. (2013) “Marketing and managing tourism destinations”. Routledge, New York
Moreno, J.; Aguaron, J.; Cano, F. & Escobar, M. (1998) “Validez, robustez y estabilidad en decisión multicriterio. Análisis de sensibilidad en el Proceso Analítico Jerárquico”. Revista de la Real Academia de Ciencias Exactas Físicas y Naturales 92(4): 387-397
Morgan, N. (2012) “Time for ‘mindful’ destination management and marketing”. Journal of Destination Marketing and Management (1): 8-9
Muñoz, A. & Velasco, M. (2015) “Colaboración y gobernanza para el desarrollo turístico. Aranjuez como estudio de caso”. Cuadernos de Turismo (35): 331-334
Mumpower, J. & Steward, T. (1996) “Judgement and expert disagreement”. Thinking and Reasoning 2(2/3): 191-211
Organización Mundial del Turismo (2016) “Panorama Mundial del Turismo Internacional”. Disponible en: http://www.e-unwto.org/doi/book/10.18111/9789284418152 Fecha de acceso: 11/07/2017
Pascarella, R. & Fontes, J. (2010) “Competitividad de los destinos turísticos. Modelo de evaluación basado en las capacidades dinámicas y sus implicancias en las políticas públicas”. Estudios y Perspectivas en Turismo 19(1): 1-17
Paskaleva, K. (2005) “New paradigms in city tourism management: Reflections on the Legacy of the First World Tourism Forum”. Technikfolgenabschätzung – Theorie und Praxis (3): 148-154
Pearce, D. (2016) “Modelos de gestión de destinos: síntesis y evaluación”. Estudios y Perspectivas en Turismo 25(1): 1-16
Pearce, D. (2013) “Gestión de destinos turísticos en hinterlands costeros y urbanos”. Revista Geográfica de Valparaíso (48): 57-73
Pedro Bueno, A. (2015) “El reto de la competitividad y sostenibilidad para los destinos turísticos”. Revista Espacio I+D - Innovación más Desarrollo 4(7): 32-65
Pulido, J. & López, Y. (2016) “La cadena de valor del destino como herramienta innovadora para el análisis de la sostenibilidad de las políticas turísticas. El caso de España”. INNOVAR. Revista de Ciencias Administrativas y Sociales 26(59): 155-175
Pulido, M. (2014) “Metodología para la implantación de la gobernanza como herramienta de gestión de destinos turísticos”. Tesis doctoral, disponible en el repositorio institucional de la Universidad de Jaén http://ruja.ujaen.es/bitstream/10953/642/1/9788484398820.pdf Fecha de acceso: 10/07/2017
Rifai, T. (2012) “Prefacio”. En: World Tourism Organization. Global Report on City Tourism. AM Reports: Volume Six. Madrid, pp. 4
Ritchie, J. & Crouch, G. (2003) “The competitive destination: a sustainable tourism perspective”. CABI, Wallingford
Rowe, G. & Wright, G. (2001) “Expert opinions in forecasting: the role of the Delphi technique”. En: Armstrong, J. (Ed.) Principles of forecasting. Kluwer Academic Publishers, New York, pp. 125–144
ROS Development and Planning S. L. (2008) “Modelos de gestión turística local: principios y prácticas”. Federación Española de Municipios y Provincias, Secretaria General de Turismo, Madrid
SEGITTUR (2015) “Informe destinos turísticos inteligentes: construyendo el futuro”. España. Disponible en: http://www.agendadigital.gob.es/planes-actuaciones/Bibliotecaciudadesinteligentes/Material%20complementario/Informe-destinos-turisticos-inteligentes.pdf Fecha de acceso: 09/07/2017
Valls, J. (2004) “Gestión de destinos turísticos sostenibles”. Ediciones Gestión 2000, Barcelona
Volgger, M. & Pechlaner, H. (2014) “Requirements for destination management organizations in destination governance: understanding DMO success”. Tourism Management 41(April): 64-75
World Tourism Organization (2007) “A practical guide to tourism destination management”. Madrid
Zartha, J.; Montes, J.; Toro, I. & Villada, H. (2014) “Método Delphi: propuesta para el cálculo del número de expertos en un estudio Delphi sobre empaques biodegradables al 2032”. Espacios 35(13): 10-19 Disponible en http://www.revistaespacios.com/a14v35n13/14351310.html
Información adicional
Arbitraje: Arbitrado anónimamente