Documentos de base
LA DINÁMICA DE COOPERACIÓN Y COMPETICIÓN ENTRE EMPRESAS DE HOSPEDAJE
The Dynamics of Cooperation and Competition between Hotel Sector Firms
LA DINÁMICA DE COOPERACIÓN Y COMPETICIÓN ENTRE EMPRESAS DE HOSPEDAJE
Estudios y Perspectivas en Turismo, vol. 27, núm. 3, pp. 588-608, 2018
Centro de Investigaciones y Estudios Turísticos
Recepción: 17 Septiembre 2017
Aprobación: 28 Octubre 2017
Resumen: El estudio de los relacionamientos interorganizacionales prioriza la cooperación como comportamiento central de las empresas para insertarse mejor en el mercado y enfrentar los desafíos competitivos. El énfasis en la cooperación deja de lado la influencia de la competición, sea sobre los relacionamientos cooperativos o sobre el propio desempeño de las empresas. En este sentido, el objetivo del presente estudio es analizar el impacto de la coopetición, entendida como la simultaneidad de comportamientos cooperativos y competitivos, en el desempeño de las empresas del sector de hospedaje. Se analizó información de 261 empresas de hospedaje de 4 destinos turísticos brasileños mediante el Análisis de Ecuaciones Estructurales. Los resultados encontrados evidencian que la competición influye negativamente en los relacionamientos entre los medios de hospedaje, más allá de impactar negativamente en el desempeño de las empresas. En cuanto a los argumentos de que la coopetición es beneficiosa para las empresas, los resultados indican que la simultaneidad de comportamientos no ha tenido resultados positivos. No fue posible corroborar la proposición teórica de que la coopetición genera resultados superiores.
Palabras clave: Relaciones, competición, cooperación, hoteles.
Abstract: The Dynamics of Cooperation and Competition between Hotel Sector Firms. Interorganizational relationships study has prioritized cooperation as a behavior to be sought by firms as a way to better compete in the market and better face the competitive challenges. There has been an excessive emphasis on cooperation, which neglects the influence of competition, whether on cooperative relationships or on firm performance. In this sense, the present study aims to analyze the impact of coopetition, understood as the simultaneity of cooperative and competitive behaviors, on the performance of firms in the hotel sector. We analyzed information from 261 hotels located at 4 Brazilian tourist destinations, based on the Analysis of Structural Equations. The results show that the competition negatively influences the relationships between the hotels, besides negatively impacting the performance of the firms. Despite the arguments that coopetition is beneficial for companies, the results indicate that the simultaneity of behaviors did not present positive results. It was not possible to corroborate that the theoretical proposition that coopetition results in superior performance.
Keywords: Relationships, competition, cooperation, hotels.
INTRODUCCIÓN
Los relacionamientos entre firmas son normalmente descriptos de forma uniforme: establecen un relacionamiento cooperativo o competitivo (Bengtsson, Eriksson & Wincent, 2010). Wu et al. (2008) resaltan que el énfasis en la confianza y en la cooperación, muchas veces ignora la naturaleza de la empresa que es la búsqueda de lucro. Bengtsson & Kock (2003) proponen que raramente las organizaciones establecen comportamientos exclusivamente competitivos o cooperativos. Es un error la percepción de que la eficiencia colectiva niega la presencia de competición (Humphrey & Schmitz, 1995), ya que remite a un pensamiento bipolar y jerárquico (Lado, Boyd & Hanlon, 1997). Para Bengtsson & Kock (2000), la posibilidad de combinar comportamientos para el alcance de los beneficios tanto de la competición como de la cooperación entre empresas rivales es dejada de lado, ya que el enfoque normalmente recae en los relacionamientos establecidos con los proveedores o consumidores.
Dagnino & Padula (2002) resaltan que hasta principios de siglo eran pocas las investigaciones realizadas sobre la simultaneidad de la cooperación y la competición. Gnyawali, He & Madhavan (2006) avanzan sobre el argumento al afirmar que se realizaron pocas investigaciones sobre el fenómeno de la coopetición y sus implicaciones para la estrategia de las empresas. Gnyawali & Park (2009), así como Chim-Miki & Batista-Canino (2016), corroboran esa perspectiva al argumentar que la posibilidad de combinar comportamientos cooperativos y competitivos ha ganado la atención de la academia recientemente.
Aunque las indagaciones presentadas no sean recientes, se observa que la coexistencia de comportamientos cooperativos y competitivos continúa siendo tratada como una cuestión abierta. Park, Srivastava & Gnyawali (2014) resaltan que fueron pocos los estudios que analizaron sistemáticamente la interacción entre la cooperación y la competición. Dagnino et al. (2015) argumentan que pocos estudios abordaron la naturaleza híbrida de los relacionamientos en las redes de innovación y destacan que los relacionamientos establecidos involucran tanto la cooperación como la competición. Abordando específicamente distritos industriales, Sforzi (2015) resalta que la simultaneidad de comportamientos cooperativos y competitivos entre las empresas en un mismo territorio es un aspecto que aún genera discusiones. Zee & Vanneste (2015), al analizar los relacionamientos interorganizacionales en destinos turísticos establece que, a pesar de los alegatos optimistas en relación a que las empresas deben cooperar y competir para alcanzar un mejor desempeño, son escasas las evidencias empíricas presentadas para confirmar esta perspectiva.
Considerando los argumentos presentados el presente trabajo tiene por objetivo analizar el impacto de la coopetición sobre el desempeño de las empresas de hospedaje. Además de la presente sección, el trabajo se encuentra dividido de la siguiente forma. A continuación se presenta el marco teórico; posteriormente, la metodología de investigación; luego, los resultados; en la quinta sección se discuten los resultados a la luz del marco teórico; y finalmente se establecen las consideraciones finales.
MARCO TEÓRICO
Los relacionamientos entre las empresas involucran elementos tanto de cooperación como de competición (Tidstrom & Hagberg-Andersson, 2012). Lado, Boyd & Hanlon (1997) destacan la necesidad de mantener repertorios más diversos de comportamientos, rutinas y recursos organizacionales para participar en comportamientos cooperativos y competitivos simultáneos. Las empresas pueden hacer uso de la complementariedad de los recursos o de la competitividad en las relaciones de formas diferentes, conforme van interactuando con los pares (Hakansson & Snehota, 2006). Esta perspectiva parece encontrar resonancia en la actividad turística. El turismo es una actividad económica naturalmente aglomerada y compleja (Denicolai, Cioccarelli & Zuchella, 2010; Kylanen & Rusko, 2011; Costa, Costa & Miranda Júnior, 2012; Hoffmann & Campos, 2013; Costa & Albuquerque, 2013) caracterizada por la coexistencia de una multiplicidad de pequeñas y medianas empresas que compiten en el mismo ámbito ofreciendo productos complementarios que conforman la experiencia proporcionada al turista (Maggioni, Maroz & Mauri, 2014).
La actividad turística por su propia naturaleza depende de las relaciones interorganizacionales para su desarrollo (Selin & Beason, 1991; Scott, Cooper & Baggio, 2008; Czerneck & Czaron, 2016). La naturaleza compleja de la actividad turística provoca la necesidad no sólo de cooperación entre las empresas, sino del estabelecimiento de relaciones no competitivas entre empresas rivales (Zemla, 2014). Así como en otras actividades productivas agrupadas territorialmente, las relaciones entre empresas en destinos turísticos están marcadas por la fuerte presencia de cooperación y competición (Bengtsson, Eriksson & Wincent, 2010; Kylanen & Rusko, 2011; Zemla, 2014; Czernek & Czaron, 2016; Chim-Miki & Batista-Canino, 2016).
No obstante se observa cierto énfasis sobre el aspecto cooperativo que, no raramente, acaba por descuidar la naturaleza de la empresa (Wu et al., 2008). Pocas investigaciones consideraron la simultaneidad de los comportamientos (Park, Srivastava & Gnyawali, 2014; Dagnino et al., 2015). La influencia de la competición sobre los relacionamientos es ignorada o se menciona brevemente su influencia negativa (Wu, 2014). Este vacío de la investigación es abordado por una perspectiva reciente. La coopetición asume que los relacionamientos cooperativos y competitivos coexisten e influyen en el desempeño de las empresas (Lado, Boyd & Hanlon, 1997; Gnyawali & Madhavan, 2001; Bengtsson & Kock, 2014). Se entiende por coopetición la ocurrencia simultánea de interacciones competitivas y cooperativas entre actores que comercializan productos similares para un mismo mercado consumidor (Bengtsson & Kock, 2000). Chim-Miki & Batista-Canino (2016) adaptan el término al turismo al definirlo como el comportamiento de cooperar y competir entre dos o más actores en un destino turístico.
Pese a la escasez de estudios sobre la simultaneidad de comportamientos competitivos y cooperativos entre las empresas (Park, Srivastava & Gnyawali, 2014; Dagnino et al., 2015), no se puede considerar a la coopetición como un abordaje teórico innovador. Aunque Bengtsson, Eriksson & Wincent (2010) argumentan que la coopetición es un nuevo paradigma que implica un nuevo conjunto de ideas sobre lo que debe ser observado e investigado, se observa que la perspectiva de la coopetición rescata una característica de los relacionamientos en redes ya presentada por Thorelli (1986) y Jarillo (1988) en sus trabajos sobre redes de empresas, o por Brusco (1993) al investigar distritos industriales, en relación a la posibilidad de la coexistencia de comportamientos cooperativos y competitivos.
En este sentido, el argumento efectivamente innovador propuesto por la coopetición es que la simultaneidad de comportamientos (competitivos y cooperativos) resulta en mejores desempeños, más allá de sólo competir o sólo cooperar (Lado, Boyd & Hanlon, 1997; Gnyawali & Madhavan, 2001; Bengtsson & Kock, 2014). A través de la cooperación las firmas comparten recursos, trabajan de forma conjunta y se comprometen con objetivos comunes, mientras a través de la competición buscan mejorar el desempeño por la presión para la creación de nuevos productos y para el acceso a nuevos mercados (Lado, Boyd & Hanlon, 1997; Gnyawali & Madhavan, 2001; Kock, Bengtsson & Slotte-Kock, 2007; Raza-Ullah, Bengtsson & Kock, 2014). De forma similar, se observa la ocurrencia de argumentos que indican que para que los destinos turísticos sean competitivos, deben cambiar las perspectivas de las empresas de forma que sus estrategias consideren tanto la cooperación como la competición (Toledo, Valdés & Pollero, 2002; Ritchie & Crouch, 2010).
La perspectiva de que los relacionamientos cooperativos impactan positivamente en el desempeño no es reciente, como puede ser observado en lo establecido por Thorelli (1986), Jarillo (1988) y Dyer & Singh (1998), siendo apropiado para la competitividad de pequeñas empresas (Humphrey & Schmitz, 1995; Olave & Amato Neto, 2001; Balestrin & Vargas, 2004). La cooperación entre pequeñas empresas fomenta el acceso a nuevos recursos y tecnologías, influyendo en el desarrollo de innovaciones, el acceso a nuevos mercados, la generación de economías de escala (Olave & Amato Neto, 2001; Raposo, Ferreira & Fernandes, 2014); y, en última instancia, promoviendo el desarrollo. Las pequeñas empresas unen sus esfuerzos a los de otras empresas similares para aumentar su potencial (Verschoore, Balestrin & Teixeira, 2016).
Considerando que la economía del turismo se caracteriza como una cadena productiva altamente fragmentada compuesta por un gran número de pequeñas empresas (Sinclair & Stabler, 2009), esta perspectiva parece especialmente apropiada. Para Maggioni, Marcoz & Mauri (2014), la cooperación entre las empresas del mismo rango en la cadena productiva del turismo es determinante para el desempeño tanto del destino como de las empresas. La cooperación mejora la calidad de la experiencia proporcionada a los visitantes (Selin & Beason, 1991). El comportamiento cooperativo en los destinos turísticos es condición necesaria para la planificación y el desarrollo sustentable (Beritelli, 2010). En este sentido, en consonancia con los argumentos de la coopetición se sugiere la siguiente hipótesis de investigación:
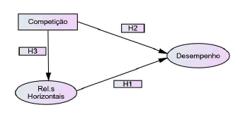
H1 – la cooperación entre empresas de hospedaje influye en su desempeño.
La relación entre competición y desempeño, por su parte, no parece ser pacífica en la literatura. Tanto a partir de una perspectiva de la economía evolutiva como a partir de la perspectiva económica neoclásica se encuentran argumentos que establecen que la competición intensa es un elemento importante para el desarrollo, ya que presiona y estimula a las empresas a innovar y mejorar sus posiciones competitivas (Bengtsson & Kock, 2000). El dinamismo de mercado es uno de los factores inductores de la competitividad, pues estimula las inversiones y la renovación de equipamientos y métodos de producción (Wegner & Dahmer, 2004). La competición estimula la transferencia de mejores prácticas entre las empresas y estimula la innovación (Boari, Odorici & Zamarian, 2003). Estar insertado en un ambiente competitivo demanda que las empresas busquen mejorar sus procedimientos internos y sus productos y se tornen más productivas y competitivas (Esser et al., 1996). La competición en el mercado promueve un proceso selectivo entre las empresas y proporciona el crecimiento de la productividad agregada (Thomas, 2005). Por otro lado, la no percepción de presión competitiva generaría falta de estímulo para que las empresas busquen aumentar su productividad (Kon, 2004). Los ambientes altamente competitivos demandan de las empresas constantes actualizaciones de sus competencias y sus capacidades competitivas (Meirelles, 2011) y tendrían la capacidad de generar beneficios agregados en términos de desarrollo y bienestar social. Nguyen & Pearce (2015) al analizar las acciones conjuntas de organizaciones de gestión de destinos turísticos, indican que la competición es comprendida por las organizaciones como un factor positivo que motiva la calidad de los productos y servicios ofrecidos.
Por un lado el desempeño de una región depende de la capacidad de sus empresas para mejorar e innovar en razón de los desafíos y presiones impuestas por el ambiente, y las empresas se benefician con la existencia de un entorno próximo compuesto por rivales internos poderosos, proveedores agresivos y clientes exigentes (Porter, 2009). Por otro lado, desde una perspectiva empresarial, la competición puede generar efectos negativos. Porter (1986) argumenta que el exceso de rivalidad entre las empresas es una fuerza competitiva que puede reducir su lucro. De forma similar, Michael (2007) argumenta que la competición extrema entre las empresas tendría un efecto destructor sobre el desempeño de las firmas. De esa forma, se puede argumentar que la competición tendría efectos distintos de acuerdo con el aspecto a analizar. Bajo la perspectiva de una región, la presencia de competición sería positiva, ya que estimularía la mejora de las empresas y llevaría al desarrollo económico (Esser et al., 1996). Bajo la perspectiva empresarial la competición tendría un efecto negativo sobre el desempeño de las empresas (Akehurst, 1984; Porter, 1986; Pan, 2005). Incluso considerando esos argumentos, se opta por seguir la perspectiva propuesta por la coopetición, es decir que la simultaneidad de comportamientos competitivos y cooperativos lleva a las empresas a obtener mejores resultados (Lado, Boyd & Hanlon, 1997; Gnyawali & Madhavan, 2001; Bengtsson & Kock, 2014). En este sentido, se establece la segunda hipótesis de investigación:
H2 - la competición entre las empresas influye positivamente en su desempeño.
Aunque la proposición de que la coopetición genera mejores resultados encuentre soporte empírico (Ritala, Hallikas & Sissonen, 2008; Bonel, Pellizzari & Rocco, 2008; Kylanen & Rusko, 2011; Bouncken & Kraus, 2013; Park, Srivastava & Gnyawali, 2014; Wu, 2014; Teller, Alexander & Floh, 2015), su consecución no parece ser trivial. Bengtsson & Kock (2000) caracterizan la relación de cooperación y competición simultánea entre empresas como compleja, ya que involucra lógicas distintas de interacción: hostilidad y rivalidad debido a los intereses conflictivos y colaboración debido a los intereses en común.
El establecimiento de relacionamientos cooperativos y competitivos concomitantes entre empresas competidoras lleva a lo que se denominó paradoja de la coopetición (Gnyawali, He & Madhavan, 2006; Kock, Bengtsson & Slotte-Kock, 2007; Park, Srivastava & Gnyawali, 2014; Gnyawali et al., 2016). Razza-Ullah, Bengtsson & Kock (2014) resaltan que esa paradoja se materializa por la yuxtaposición de la competición y la cooperación, lo que lleva a tensiones derivadas de demandas y expectativas contradictorias por parte de los actores involucrados. La cooperación entre competidores sería la forma más difícil de cooperación (Lydeka & Amadovicius, 2007), ya que las empresas se perciben en una situación en la cual es necesaria la gestión de tensiones y contradicciones de dos fuerzas opuestas (Baiardi & Laniado, 2000; Razza-Ullah, Bengtsson & Kock, 2014; Bengtsson & Kock, 2014; Tidstrom, 2014; Sanou, Le Roy & Gnyawali, 2016; Gnyawali et al., 2016). De forma similar, Bengtsson, Eriksson & Wincent (2010) argumentan que la cooperación y la competición entre empresas demandan el establecimiento de diferentes dinámicas de relaciones: por un lado, la cooperación surge a partir de la comprensión mutua entre las organizaciones y de compartir recursos y nuevos conocimientos; por otro la competición ocurre cuando la simetría entre los competidores es alta (el mismo tipo de producto o servicio ofrecido al mismo mercado consumidor) y los diferentes actores se perciben mutuamente como competidores (Bengtsson, Eriksson & Wincent, 2010). Kylanen & Rusko (2011) destacan que la simultaneidad de comportamientos no es fruto sólo de un proceso decisivo racional, consciente y deliberado, puede ocurrir de forma emergente a partir de la evolución del relacionamiento entre las empresas o de forma no intencional (tácita).
Ritala & Tidstrom (2014), así como Gnyawali et al. (2016), describen las tensiones derivadas de la coopetición en términos de conflicto entre las lógicas opuestas de generación de valor conjunto y apropiación de valor individualizado. Debido a la naturaleza del proceso de cooperación con la competencia, la empresa debe tomar decisiones estratégicas sobre qué recursos compartir y qué recursos mantener para preservar sus ventajas competitivas (Tidstrom, 2014). La resolución de esa tensión y del dilema de la coopetición (Bengtsson & Kock, 2000; Gnyawali & Park, 2009) sería posible mediante la división de los procesos de cooperación y competición en diferentes contextos como distintos puntos de la cadena productiva, diferentes mercados, aspectos funcionales de las actividades que los actores desempeñan y división de las unidades de negocios involucradas (Bengtsson & Kock, 2000; Gnyawali & Madhavan, 2001), lo que remonta la idea de que la coopetición es un fenómeno multinivel (Bengtsson & Kock, 2014).
Otro punto a ser abordado es la influencia de la competición sobre la cooperación. Aunque la competición y la cooperación son dos conceptos distintos y no relacionados (Wu, 2014), diversos trabajos aportan evidencias de que la competición y la cooperación se influyen en alguna medida, siendo que la competición es vista como una dificultad de la cooperación (Selin & Beason, 1991; Bengtsson, Eriksson & Wincent, 2010; Zambrana & Teixeira, 2015; Verschoore, Balestrin & Teixeira, 2016). Como indican Park, Srivastava & Gnyawali (2014) la competición intensa aumenta el riesgo de comportamientos oportunistas, lo que afecta la propensión a cooperar. Para Baiardi & Laniado (2000) Las empresas poseen diferentes niveles de maduración para lidiar con la competición y la cooperación. La participación en redes o relacionamientos cooperativos es una habilidad que debe ser aprendida por las empresas (Poldony & Page, 1998), así como la capacidad de cooperar con los competidores (Gnyawali et al., 2016). Estos argumentos retoman la propuesta de Gulati (2007) acerca de que las empresas desarrollan la capacidad de establecer relaciones de cooperación a partir de experiencias anteriores. Considerando estos argumentos se establece:
H3 – la competición influye los relacionamientos cooperativos entre empresas de hospedaje.
La Figura 1 presenta el modelo teórico derivado de las hipótesis propuestas.

Una crítica a la coopetición es que a pesar de asumir la simultaneidad de comportamientos, los análisis realizados se restringen a la cooperación y la competición surge sólo como un presupuesto de que por estar insertadas en una misma industria o actuar en un mismo sector, las empresas presentan un comportamiento rival o de disputa. Escasos estudios se dedican a medir la intensidad de la competición y analizar su influencia (Bengtsson & Solvell, 2004; Lado-Sestayo, Otero-González & Vivel-Búa, 2014; Teller, Alexander & Floh, 2015; Sanou, Le Roy & Gnyawali, 2016). De esa forma, se observa que las hipótesis de investigación y los análisis son similares a los derivados de los estudios sobre redes horizontales o distritos industriales enfocados sobre la cooperación entre empresas competidoras, como los trabajos de Hoffmann, Molina-Morales & Martínez-Fernandez (2011) y Miranda Júnior, Costa & Hoffmann (2016).
A pesar de la crítica sobre la operatividad de las investigaciones sobre coopetición, se mantiene el mismo argumento desde hace casi veinte años de que la cooperación y la competición son dos comportamientos que se dan simultáneamente y que pueden influir sobre el desempeño de las empresas (Lado, Boyd & Hanlon, 1997; Gnyawali & Madhavan, 2001; Kock, Bengtsson & Slotte-Kock, 2007; Kylanen & Rusko, 2011; Raza-Ullah, Bengtsson & Kock, 2014; Park, Srivastava & Gnyawali, 2014).
METODOLOGÍA
El objeto de la investigación fueron las empresas del sector de hospedaje de 4 destinos turísticos brasileños: Itatiaia (RJ), Bonito (MS), Tiradentes (MG) y Gramado (RS). Estos destinos fueron seleccionados en función del alto desempeño de la economía del turismo y de la importancia del turismo para la economía local. Se recolectaron datos de fuentes primarias y secundarias. Para los datos de fuentes primarias se aplicó un cuestionario estructurado con preguntas divididas en 3 bloques y respuestas en escalas nominales e intervalares. El primer bloque estaba compuesto por preguntas volcadas a categorizar al entrevistado y al emprendimiento (nombre del emprendimiento, cantidad de unidades habitacionales (UH) y valor medio de la tarifa de la habitación estándar en temporada alta). El segundo bloque estaba enfocado en la identificación de la importancia de los relacionamientos con hoteles y posadas, otros medios de hospedaje del destino y medios de hospedaje de otras localidades. La importancia de los relacionamientos fue evaluada a partir de una escala de siete puntos, siendo 1 para la menor intensidad y 7 para la mayor intensidad. Como destacan Costa et al. (2017) las razones para la cooperación entre empresas de destinos turísticos son diversas y la más común es la cooperación entre grupos pequeños de empresas, siendo difícil identificar de antemano un subconjunto único de comportamientos y asociarlo a la cooperación. A los fines del presente estudio se asume que la existencia de cooperación demanda necesariamente la existencia de relaciones entre las organizaciones involucradas. En este sentido, los relacionamientos horizontales fueron adoptados como una proxy de la cooperación entre las empresas de hospedaje y la importancia del relacionamiento se asocia a la intensidad de la cooperación para la empresa.

El tercer bloque estaba compuesto por 5 preguntas que abordaban la percepción del entrevistado respecto del desempeño del establecimiento (más del 90% de la muestra estaba compuesta por propietarios o gerentes). Las afirmaciones debían ser evaluadas por los entrevistados en escalas de concordancia de 1 (discordancia total) a 7 (concordancia total). El instrumento de investigación fue validado a partir de la evaluación de especialistas (jueces) y de la aplicación de una investigación-piloto en la ciudad de Pirenópolis - GO. La recolección de datos fue presencial y resultó en 261 cuestionarios válidos (Tabla 1).
Los datos secundarios fueron recolectados a partir del sitio Trip Advisor para evaluar el desempeño de los medios de hospedaje según la percepción del cliente. La elección fue hecha en función de que el sitio no se centra en la comercialización directa del hospedaje y dispone el histórico de las evaluaciones realizadas con las fechas respectivas, lo que posibilita identificar el período en que se hizo la evaluación y establecer un recorte temporal único. La recolección de los datos secundarios se realizó entre el 29 de febrero y el 3 de marzo de 2016. Inicialmente, el sitio presenta información sobre la cantidad de evaluadores y la satisfacción de los evaluadores con el emprendimiento. A partir de esa información fueron derivados tres indicadores: (i) Evaluadores - Cantidad de Evaluaciones en el período de 1 año; (ii) Evaluadores por UH - Cantidad de Evaluaciones en el período de 1 año/ Cantidad de Unidades Habitacionales; y (iii) Satisfacción - Cantidad de Evaluaciones Máximas/ Cantidad total de Evaluaciones en el período de 1 año.
La competición fue medida a partir del grado de concentración de la oferta. La concentración es uno de los aspectos estructurales más relevantes de la competición y es utilizada como un indicador del grado de competición existente en un determinado mercado (Kon, 2004; Sinclair & Stabler, 2009). La baja incidencia de concentración implica un alto nivel de competición (Sinclair & Stabler, 2009; Lado-Sestayo, Otero-González & Vivel-Búa, 2014). Por otro lado, los mercados concentrados, con un número pequeño de competidores, reducen la competición entre las empresas (Kon, 2004; Pan, 2005).
La competición existe cuando hay disputa entre dos o más empresas que actúan en un mismo sector económico y comercializan productos o servicios similares para atender a un mismo mercado (Bengtsson & Kock, 2003; Gimeno, 2004). Aunque se puede argumentar que las empresas de alojamiento de un destino prestan servicios similares, estos servicios varían en términos de calidad y de público objetivo. La competición será más intensa cuanto más converjan los servicios en términos de calidad y público, siendo el precio un indicador de la diferencia de calidad y del perfil de consumidor pretendido. En este sentido, para cada destino se realizó un análisis de cluster, de forma de agrupar los emprendimientos en grupos homogéneos en términos de precio. Para cada uno de los clusters creados en los destinos se estimó el grado de concentración a partir de la aplicación del Índice de Herfindahl-Hirschman – HHI, considerando la oferta de unidades habitacionales, siguiendo las recomendaciones de Akehurst (1984). Cuanto más próximo a cero está el índice HHI, menor es la concentración de mercado y mayor la competición (Lado-Sestayo, Otero-González & Vivel-Búa, 2014). De esa forma, el grado de competición al que están sometidas las empresas fue medido por el inverso del Índice HHI del cluster en el que se encuentra la empresa.
Los datos fueron procesados a partir del análisis de ecuaciones estructurales (AEE). Para la estimación de los parámetros se empleó el método de la Máxima Verosimilitud (Maximum Likehood). Para atender a los presupuestos de la técnica, las variables con casos extremos y desvíos de normalidad fueron transformadas a través de la extracción de la raíz. La muestra (261 cuestionarios) resultó suficiente de acuerdo con los criterios de Hair Jr. et al. (2010) y Marôco (2014). El ajuste de los modelos de medida y estructural fueron evaluados a partir de los indicadores: RMSEA, GFI, CFI, PCFI, PGFI y X²/d.f, siguiendo los valores de referencia de Hair Jr. et al. (2010) y Marôco (2014). El AEE fue realizado con el software AMOS (Analysis for Moments Structures). A continuación se presentan los resultados de los submodelos de medida (testeados a partir del análisis factorial confirmatorio) y estructural. Posteriormente, en la sección de debate, los resultados se analizan a partir del marco teórico propuesto.
RESULTADOS
El análisis factorial confirmatorio fue empleado como etapa preliminar para la validación del modelo de medida. Fueron excluidas del análisis las variables con bajas cargas factoriales, así como aquellas cuyos errores tenían alta correlación con otros factores o con variables de otros factores. Se observa que las variables sobre desempeño no convergieron para la formación de un único constructo. En este sentido, se optó por el uso de dos factores: Desempeño Clientes – compuesto por los indicadores de desempeño derivados de variables secundarias; y Desempeño Percibido – compuesto por variables primarias a partir de la percepción del desempeño de las empresas. La Figura 2 presenta el resultado del análisis factorial confirmatorio. Los indicadores de ajuste del modelo de medida, así como del modelo estructural, se presentan en la Tabla 2.


Considerando que el modelo de medida presentó valores adecuados, se procedió a la evaluación de la viabilidad de los constructos y a la fiabilidad de sus escalas de medida a partir de los indicadores presetados en la Tabla 3, siguiendo los parámetros propuestos por Hair Jr. et al. (2010) y por Marôco (2014) para el análisis factorial confirmatorio. La fiabilidad de las escalas empleadas en el modelo fue evaluada a partir del indicador Fiabilidad Compuesta. Los valores de fiabilidad compuesta superiores a 0,7 indican que la escala utilizada es apropiada para evaluar el constructo (Hair Jr. et al., 2010; Marôco, 2014). Como puede observarse en la Tabla 3, todos los constructos presentaron valores de fiabilidad compuesta superiores al mínimo esperado, de forma que se entiende que las escalas empleadas son confiables. Considerando la fiabilidad individual se nota la ocurrencia de um problema puntual en el factor “Relacionamientos Horizontales” debido a la variable “Hoteles o Posadas” con un coeficiente estandarizado ligeramente inferior al valor de referencia (0,5), lo que denota un problema de fiabilidad individual de esa variable.

En relación a la validez de los constructos se evaluaron los indicadores para validez convergente y validez discriminante. En la validez convergente los factores Desempeño Percibido y Desempeño Cliente presentaron valores superiores al valor mínimo (0,5). El factor Relacionamientos Horizontales, debido al problema descripto anteriormente, no presentó validez convergente. Las correlaciones entre los factores presentaron valores inferiores a los de la validez convergente, de forma que se entiende que los factores creados presentan validez discriminante. El problema en la variable “Hoteles y Posadas”, así como la ausencia de validez convergente en el factor Relacionamientos Horizontales, son entendidos como limitaciones del presente estudio que, no obstante, no impiden la verificación del modelo estructural. A partir de la validación del modelo de medida se procedió a la primera evaluación del modelo estructural (Figura 3).

La trayectoria entre Competición y Desempeño Percibido fue removida debido a la ausencia de significancia (p = 0,477), siguiendo las orientaciones de Marôco (2014). A partir de la eliminación de la trayectoria no significativa se procedió a una nueva evaluación del Modelo. El modelo resultante presentó buenos indicadores de ajuste (Tabla 2). La Figura 4 presenta el modelo resultante del análisis y la Tabla 4 presenta las trayectorias testeadas.

Los resultados indican que los relacionamientos horizontales influyen positivamente en el desempeño, sea evaluado a partir de la percepción del empresario o de los clientes, lo que corrobora la H1. En cambio la competición no presenta influencia positiva sobre el desempeño percibido por los empresarios, más allá de impactar negativamente en el desempeño percibido por los clientes. Estos resultados no permiten corroborar la H2. Considerando la H3 se observa que la competición tiene un efecto negativo sobre los relacionamientos horizontales. A continuación se discuten los resultados a la luz de la teoría estudiada.

DEBATE
Los relacionamientos horizontales son descriptos como una forma eficiente de buscar soluciones a problemas compartidos para lograr un aprendizaje colectivo y aumentar el poder de mercado (Thorelli, 1986; Verschoore, Balestrin & Teixeira, 2016), especialmente útiles para pequeñas empresas (Humphrey & Schmitz, 1995; Olave & Amato Neto, 2001; Balestrin & Vargas, 2004). Bajo la perspectiva de la actividad turística los relacionamientos son descriptos como determinantes para la calidad de la experiencia proporcionada a los visitantes y para el desempeño tanto de la empresa como del destino (Selin & Beason, 1991; Beritelli, 2011; Maggioni, Marcoz & Mauri, 2014). Los resultados encontrados corroboran esas perspectivas al indicar que los relacionamientos entre empresas de hospedaje influyen positivamente al desempeño (H1), sea bajo la perspectiva del cliente o de la propia empresa.
La competición, por su parte, presentó efectos distintos. Los resultados encontrados indican que la competición no impacta en la percepción de desempeño de los empresarios, sin embargo influye negativamente en el desempeño percibido por los clientes. Estos resultados corroboran parcialmente los argumentos de que la rivalidad excesiva tendría efecto sobre el desempeño empresarial (Akehurst, 1984; Porter, 1986; Pan, 2005; Michael, 2007), aunque restringido al desempeño verificado a partir de los clientes. Bajo la perspectiva empresarial, la competición mensurada a partir de la estructura competitiva de los destinos, no presenta el mismo efecto, eventualmente porque la investigación fue aplicada en destinos de alto desempeño.
Este resultado contradictorio retoma el argumento de que existen diferentes formas de medir la competición (Boari, Odorici & Zamarian, 2003; Gimeno, 2004). Como se dijo en los estudios sobre coopetición, la competición aparece sólo como un presupuesto derivado de la actuación en una misma industria o sector. Los pocos estudios que miden directamente el constructo, lo hacen a partir de la interacción de acciones y reacciones competitivas, como en el trabajo de Sanou, Le Roy & Gnyawali (2016); o adoptan la percepción sobre la competición como en el trabajo de Bengtsson & Solvell (2004). Aparentemente, la forma en que el constructo competición es medido influye en los resultados alcanzados. Considerando futuros estudios sobre coopetición, ésta parece ser una contribución del presente trabajo.
Los resultados encontrados indican que la competición influye negativamente en la cooperación entre empresas del mismo nivel de la cadena productiva (H3). Este resultado corrobora la perspectiva de que la competición es un aspecto que dificulta la cooperación (Selin & Beason, 1991; Lydeka & Amadovicius, 2007; Bengtsson, Eriksson & Wincent, 2010; Zambrana & Teixeira, 2015; Verschoore, Balestrin & Teixeira, 2016).
El sector analizado presenta una alta similitud entre los productos y servicios ofrecidos (aunque haya variación en términos de calidad), altos costos fijos, además de estar compuesto en su mayoría por empresas de pequeño porte (Sinclair & Stabler, 2009). Estas características resaltan la superposición entre los productos ofrecidos en el mercado por las diferentes empresas. Ante la presión competitiva o el aumento de la competición, habría un aumento de la posibilidad de que ocurran comportamientos oportunistas (Gnyawali & Park, 2009; Park, Srivastava & Gnyawali, 2014). Aunque la cooperación sea destacada como positiva para empresas de menor porte (Humphrey & Schmitz, 1995; Olave & Amato Neto, 2001; Balestrin & Vargas, 2004), la alta competencia hace que las empresas busquen preservar sus aspectos competitivos distintivos y eviten la cooperación con empresas de la competencia (Zambrana & Teixeira, 2015).
El argumento innovador propuesto por la coopetición es que la simultaneidad de los comportamientos cooperativos y competitivos generan resultados superiores (Lado, Boyd & Hanlon, 1997; Gnyawali & Madhavan, 2001; Raza-Ullah, Bengtsson & Kock, 2014; Kock, Bengtsson & Slotte-Kock, 2007). Los resultados de las tres hipótesis de investigación, no obstante, no respaldan la perspectiva propuesta. Aunque los relacionamientos horizontales generen un efecto positivo sobre el desempeño (H1), la competición no lo influye o presenta un impacto negativo (H2). Adicionalmente, los resultados encontrados indican que la competición tiene un efecto negativo sobre los relacionamientos horizontales (H3).
De esa forma, a partir de los resultados encontrados no fue posible verificar el argumento de que la simultaneidad de comportamientos suscita mejores resultados. Quizá se debe repensar si de hecho esas dos fuerzas simultáneas (cooperación y competición) incrementan el desempeño. Como se resaltó, el mantenimiento de los relacionamientos cooperativos y competitivos es complejo (Bengtsson & Kock, 2000), cuando no paradojal (Gnyawali, He & Madhavan, 2006; Park, Srivastava & Gnyawali, 2014; Gnyawali et al., 2016). Los resultados evidencian que para un contexto preponderantemente de empresas de pequeño porte, el aumento de la presión competitiva no permitiría la apreciación de resultados positivos a partir de la coopetición, ya que los efectos negativos de la competición afectarían tanto al desempeño como a la propensión a cooperar.
Pese al resultado hay que destacar que en el presente estudio el desempeño fue analizado a nivel empresarial. Se observa que los estudios que presentaron resultados positivos a partir de la coopetición se enfocaron en procesos específicos (integración de procesos productivos, de comercialización o territorial), como en los trabajos de Bonel, Pellizzari & Rocco (2008), Ritala, Hallikas & Sissonen (2008) y Kylanen & Rusko (2011); o adoptaron la innovación como proxy para el desempeño, como en los trabajos de Park, Srivastava & Gnyawali (2014), Bouncken & Kraus (2013) y Wu (2014). Las diferencias entre las métricas empleadas y los resultados alcanzados evidencia que las investigaciones que incluyen el constructo coopetición necesitan de delimitación para identificar en qué condiciones ocurre el efecto superior descripto.
Como destacan Czerneck & Czaron (2016) los primeros estudios sobre coopetición se enfocaban en la acción colectiva de proveedores, productores, competidores y proveedores de productos y servicios complementarios, en el sentido de aumentar el valor total producido a ser repartido entre ellos. El efecto benéfico de la cooperación y la competición conjuntas sobre el desempeño de las empresas sería indirecto a partir del desempeño del territorio (o de los destinos), como demuestran Teller, Alexander & Floh (2015). En los destinos turísticos la competición y la cooperación simultáneas se dan entre empresas de hospedaje que cooperan para atraer a los turistas y proporcionarles una experiencia positiva, pero compiten en la oferta de sus productos específicos (Bengtsson, Eriksson & Wincent, 2010).
En este sentido, la influencia positiva de la cooperación y competición simultáneas sería un fenómeno multinivel (Gnyawali & Park, 2009; Raza-Ullah, Bengtsson & Kock, 2014) en el que los efectos negativos de la competición serían compensados por el beneficio del territorio o de la red. Eso explica la perspectiva de que las empresas de destinos turísticos deben considerar tanto la cooperación como la competición en sus estrategias para mejorar la competitividad de los destinos (Toledo, Valdés & Pollero, 2002; Ritchie & Crouch, 2010). Además, a partir de una perspectiva multinivel se puede comprender la influencia negativa de la competición sobre el desempeño, conforme los resultados y los argumentos propuestos acerca de que estar sometido a la presión competitiva lleva a mejores desempeños (Esser et al., 1996, Bengtsson & Kock, 2000; Boari, Odorici & Zamarian, 2003; Wegner & Dahmer, 2004).
CONCLUSIONES
El objetivo del presente trabajo es analizar el impacto de la coopetición sobre el desempeño de las empresas de hospedaje. Para analizar la coopetición se la definió como la ocurrencia simultánea de interacciones competitivas y cooperativas entre actores que comercializan productos similares para un mismo mercado consumidor (Bengtsson & Kock, 2000). Un vacío abordado por el presente estudio es el análisis sistemático de la interacción entre cooperación y competición (Park, Srivastava & Gnyawali, 2014; Dagnino et al., 2015). Específicamente sobre la economía del turismo, Zee & Vanneste (2015) establecen que se presentaron pocas evidencias empíricas para corroborar la perspectiva de que las empresas de los destinos turísticos deben cooperar y competir para obtener un mejor desempeño.
Los resultados encontrados corroboran la perspectiva de que la cooperación entre los establecimientos de hospedaje influye positivamente en el desempeño (Hipótesis 1), sea bajo la percepción de las empresas o de los clientes. De forma diferente, la competición tuvo un impacto negativo sobre el desempeño (Hipótesis 2) percibido por los clientes, pero no influyó en el desempeño bajo la percepción de las empresas. Eventualmente esa diferencia en los resultados se debe a que los destinos analizados poseen un desempeño superior, lo que influirá en la percepción positiva de los empresarios. Adicionalmente, se verificó que la competición impacta negativamente en los relacionamientos cooperativos (Hipótesis 3).
Como consecuencia de los efectos negativos de la competición (sobre el desempeño y sobre la cooperación), no fue posible verificar la ocurrencia de un resultado superior a partir de la simultaneidad de la cooperación y la competición, como establecieron Lado, Boyd & Hanlon (1997), Gnyawali & Madhavan (2001) y Raza-Ullah, Bengtsson & Kock (2014). Hay que destacar que el presente estudio, a diferencia de los estudios sobre coopetición verificados en la literatura, evaluó la competición bajo la perspectiva de la estructura de la industria, mientras que el desempeño fue medido a partir de medidas indirectas. Como se argumentó las investigaciones sobre coopetición raramente miden directamente la competición. En este sentido, se entiende que los resultados contribuyen a la discusión del constructo al evaluar la competición de una forma que, aunque no sea inédita en la literatura, no había sido empleada para el análisis de la coopetición.
El análisis permitió verificar que la cooperación y competición simultáneas no encuentran los efectos previstos. Esta es una contribución nueva, pues la competición medida bajo una perspectiva estructural, influye negativamente en la cooperación de forma que el equilibrio entre esos dos constructos, descripto por Gnyawali & Madhavan (2001) y Raza-Ullah, Bengtsson & Kock (2014), no parece defendible. Quizá, los resultados superiores reportados por la literatura se derivan de la percepción de los individuos en cuanto a la competencia, y no de la estructura competitiva, o son efectos indirectos derivados del desempeño del territorio o de la red de relaciones. Ambas proposiciones constituyen potenciales líneas de investigación a desarrollar.
Esta investigación posee limitaciones. La primera se refiere al uso de los relacionamientos horizontales como proxy para la cooperación horizontal, sin profundizar en el análisis de la cooperación a partir de comportamientos cooperativos o de características que inciden sobre la cooperación (confianza, objetivos compartidos, intercambio de conocimientos e información, promoción y comercialización conjunta, reciprocidad, reiteración del contacto). Esos aspectos profundizarían la interpretación del constructo y podrían ser empleados en estudios futuros. Un segundo límite trata de la imposibilidad de generalizar los resultados. Aunque la cantidad de casos analizados sea suficiente para las técnicas empleadas, la muestra obtenida no es aleatoria. De esta forma, los resultados alcanzados deben ser comprendidos en función de la muestra alcanzada. Cabe destacar la estructura relacional de las variables observadas. Como se verificó en la factorial confirmatoria, ocurrió un mal ajuste local en uno de los factores. Aunque este problema no ha imposibilitado la prueba de las hipótesis, un análisis factorial exploratorio podría evidenciar una estructura relacional distinta a la empleada en el presente estudio. Finalmente, aunque se utilizaron datos de cuatro destinos los resultados no fueron controlados por localidad. Se podrían realizar análisis complementarios para clarificar eventuales efectos locales.
Agradecimientos
Los autores agradecen a los evaluadores anónimos de la Revista Estudios y Perspectivas en Turismo; al Ministerio de Turismo de Brasil, por el apoyo institucional; y al CNPq (Brasil) Proyecto 302336/2016-8, por el apoyo material.
Referencias
Akehurst, G. P. (1984) “The measurement of concentration in the hospitality industry”. International Journal of Hospitality Management 3(1): 25-33
Baiardi, A. & Laniado, R. N. (2000) “Entre a competição e a cooperação: valores e atitudes empresariais na perspectiva de uma atuação sistêmica”. Organizações & Sociedade 7(19): 67-80
Balestrin, A. & Vargas, L. M. (2004) “Dimensão Estratégica das Redes Horizontais de PMEs: teorizações e evidências”. RAC – Revista de Administração Contemporânea 8(Edição Especial): 203-227
Bengtsson, M.; Eriksson, J. & Wincent, J. (2010) “Co-opetition dynamics – an outline for further inquiry”. Competitiveness Review - An International Business Journal 20(2): 194 – 214
Bengtsson, M. & Kock, S. (2000) “’Coopetition’ in business networks – to Cooperate and compete simultaneously”. Industrial Marketing Management 29(5): 411-426
Bengtsson, M. & Kock, S. (2003) “Relationships of cooperation and competition between competitors”. 19th Annual IMP Conference, Lugano
Bengtsson, M. & Kock, S. (2014) “Coopetition – Quo Vadis? Past Accomplishments and future challenges”. Industrial Marketing Management 43(2): 180-188
Bengtsson, M. & Sölvell, Ö. (2004) “Climate of competition, clusters and innovative performance”. Scandinavian Jounal of Management 20(3): 225-244
Beritelli, P. (2011) “Cooperation among proeminent actors in a tourist destination”. Annals of Tourism Research 38(2): 607-629
Boari, C.; Odorici, V. & Zamarian, M. (2003) “Clusters and rivalry: does location really matter?” Scandinavian Journal of Management 19(4): 467-489
Bonel, E.; Pellizzari, P. & Rocco, E. (2008) “Coopetition and complementarities: Modeling Coopetition Strategy and its risks at an individual level”. Management Research: Journal of the Iberoamerican Academy of Management 6(3): 189-205
Bouncken, R. B. & Kraus, S. (2013) “Innovation in knowledge-intensive industries: The double-edged sword of coopetition”. Journal of Business Research 66(10): 2060–2070
Brusco, S. (1993) “Pequeñas empresas y prestación de servicios reales”. In: Pyke, F. & Sergenberger, W. Los distritos industriales y las pequeñas empresas. Collección Economia y Sociología del Trabajo. MSSS, Madrid, pp. 235-254
Chim-Miki, A. F. & Batista-Canino, R. M. (2016) “La Investigación sobre coopetición - Estado actual del conocimiento y sus implicaciones en los estudios turísticos”. Estudios y Perspectivas en Turismo 25(4): 399-415
Costa, H. A. & Albuquerque, P. H. M. (2013) “Cooperar ou não, eis a questão.” Turismo em Análise 24(1): 41-64
Costa, H. A.; Costa, A. C. & Miranda Júnior, N. S. (2012) “Arranjos produtivos locais no turismo: estudo sobre a competitividade e o desenvolvimento local na Costa dos Corais – AL.” Observatório de Inovação do Turismo VII(1): 1-31
Costa, H. A.; Nascimento, E. P.; Hoffmann, V. E. & da Silva, D. L. B. (2017) “¿Por qué cooperan las micro y pequeñas empresas turísticas?” Estudios y Perspectivas en Turismo 26(4): 781-803
Czernek, K. & Czaron, W. (2016) “Trust-building processes in tourist coopetition: The case of a Polish region”. Tourism Management 52: 380-394
Dagnino, G. B. & Padula, G. (2002) “Coopetition strategy: a new kind of interfirm dynamics for value creation”. Annals of the European Academy of Management, Stockholm, 9-11 maio
Dagnino, G. B., Lavanti, G., Miná, A. & Picone, P. M. (2015) “Interorganizational network and innovation: a bibliometric study and proposed research agenda”. Journal of Business & Industrial Marketing 30(3/4): 354-377
Denicolai, S.; Cioccarelli, G. & Zuchella, A. (2010) “Resource-based local development and networked core-competencies”. Tourism Management 31(2): 260-266
Dyer, J. H. & Singh, H. (1998) “The relational view: Cooperative strategy and sources of interorganizational competitive advantage”. Academy of Management Review 23(4): 660–679
Esser, K.; Hillebrand, W.; Messner, D. & Meyer Stamer, J. (1996) “Competitividad sistémica: Nuevo desafío a las empresas y a la política”. Revista de la Cepal (59): 39-52
Gimeno, J. (2004) “Competition within and between networks: the contingent effect of competitive embeddedness on alliance formation”. Academy of Management Journal 47(6): 820-842
Gnyawali, D. R.; He, J. & Madhavan, R. (2006) “Impact of co-opetition on firm competitive behavior: An empirical examination”. Journal of Management 32(4): 507-530
Gnyawali, D. R. & Madhavan, R. (2001) “Cooperative networks and competitive dynamics: a structural embeddedness perspective”. Academy of Management Review 26(3): 431-445
Gnyawali, D. R. & Park, B. J. (2009) “Co-opetition and technological innovation in small and medium enterprises: A multi-level conceptual model”. Journal of Small Business Management 47(3): 308–330
Gnyawali, D. R.; Madhavan, R.; He, J. & Bengtsson, M. (2016) “The competition-cooperation paradox in inter-firm relationships”. Industrial Marketing Management 53: 7-18
Gulati, R. (2007) “Managing networks resources – alliances, affiliations and other relational assets”. Oxford University Press, Oxford
Hair Jr., J. F.; Black, W. C.; Babin, B. J. & Anderson, R. E. (2010) “Multivariate Data Analysis”. Prentice Hall, Upper Saddle River
Hakansson, H. & Snehota, I. (2006) “No business is an island: the network concept of business strategy”. Scandinavian Journal of Management 5(3): 187-200
Hoffmann, V. E. & Campos, L. M. S. (2013) “Instituições de suporte, serviços e desempenho: um estudo em aglomeração turística de Santa Catarina. Revista de Administração Contemporânea - RAC 17(1): 18-41
Hoffmann, V. E.; Molina-Morales, F. J. & Martinez-Fernándes, M. T. (2011) “Evaluation of competitiveness in ceramic industrial districts in Brazil”. European Business Review 23(1): 87-105
Humphrey, J. & Schmitz, H. (1995) “Principles for promoting clusters & networks of SMEs”. Institute of Development Studies, University of Sussex, Sussex
Jarillo, J. C. (1988) “On strategic networks”. Strategic Management Journal 9(1): 31-41
Kock, S.; Bengtsson, M. & Slotte-Kock, S. (2007) “The content of relationships in cooperation and competition”. Proceedings of the 10th McGill Conference on International Entrepreneurship. Disponível em http://www.old.gsom.spbu.ru/files/upload/niim/seminar/strategic_dilemma.pdf Acceso en febrero de 2017
Kon, A. (2004) “Economia industrial”. Editora Nobel, São Paulo
Kylänen, M. & Rusko, R. (2011) “Unintentional coopetition in the service industries: The case of Pyha¨-Luosto tourism destination in the Finnish Lapland”. European Management Journal 29(3): 193– 205
Lado, A. A.; Boyd, N. G. & Hanlon, S. C. (1997) “Competition, cooperation, and the search for economic rents: a syncretic model”. The Academy of Management Review 22(1): 110-141
Lado-Sestayo, R.; Otero-Gonzávez, L. & Vivel-Búa, M. (2014) “Impacto de la localización y la estructura de mercado en la rentabilidad de los establecimientos hoteleros”. Tourism & Management Studies 10(2): 41-49
Lydeka, Z. & Adomavičius, B. (2007) “Cooperation among the Competitors in International Cargo Transportation Sector: Key Factors to Success”. Engineering Economics 51(1): 80-90
Maggioni, I.; Marcoz, E. M. & Mauri, C. (2014) “Segmenting networking orientation in the hospitality Industry: an empirical research on service bundling”. International Journal of Hospitality Management 42: 192–201
Marôco, J. (2014) “Análise de equações estruturais: Fundamentos teóricos, software e aplicações”. Report Number, Pêro Pinheiro
Meirelles, D. S. (2011) “Teorias da firma”. In: Meirelles, D. S. (Org.) Formação e evolução da grande empresa brasileira: estudos de caso embasados nas teorias da firma. Universidade Presbiteriana Mackenzie, São Paulo, pp. 17-91
Michael, E. J. (2007) “Micro-clustesrs and networks: The growth of tourism”. Editora Elsevier, Amsterdam
Miranda Júnior, N. S.; Costa, H. A. & Hoffmann, V. E. (2016) “Dificuldades para a cooperação entre hotéis aglomerados territorialmente: um estudo da hotelaria em Brasília DF”. Turismo em Análise 27(1): 153-177
Nguyen, L. T. P. & Pearce, D. (2015) “Joint destination marketing in the South-Central Coast Region of Vietnam”. Journal of Destination Marketing & Management 4(2): 88-97
Olave, M. E. L. & Amato Neto, J. A. (2001) “Redes de cooperação produtiva: uma estratégia de competitividade e sobrevivência para pequenas e médias empresas”. Gestão e Produção 8(3): 289-303
Pan, C. M. (2005) “Market structure and profitability in the international tourist hotel industry”. Tourism Management 26(6): 845–850
Park, B. J. R.; Srivastava, M. K. & Gnyawali, D. R. (2014) “Walking the tight rope of coopetition: Impact of competition and cooperation intensities and balance on firm innovation Performance”. Industrial Marketing Management 43(2): 210–221
Podolny, J. M. & Page, K. L. (1998) “Network forms of organization”. Annual Review of Sociology 24: 57-76
Porter, M. (1986) “Estratégia competitiva”. Campus, São Paulo
Porter, M. (2009) “Competição”. Elsevier, Rio de Janeiro
Raposo, M. L.; Ferreira, J. J. M. & Fernandes, C. I. (2014) “Local and cross-border SME cooperation: Effects on innovation and performance”. Revista Europea de Dirección y Economía de la Empresa 23(4): 157-165
Raza-Ullah, T.; Bengtsson, M. & Kock, S. (2014) “The coopetition paradox and tension in coopetition at multiple levels”. Industrial Marketing Management 43(2): 189–198
Ritala, P.; Hallikas, J. & Sissonen, H. (2008) “The effect of strategic alliances between key competitors on firm performance”. Management Research - Journal of the Iberoamerican Academy of Management 6(3): 179-187
Ritala, P. & Tidstrom, A. (2014) “Untangling the value-creation and value-appropriation elements of coopetition strategy: A longitudinal analysis on the firm and relational levels”. Scandinavian Journal of Management 30(4): 498-515
Ritchie, J. R. B. & Crouch, G. I. (2010) “A Model of Destination Competitiveness/ Sustainability. Revista de Administração Pública–RAP 44(5): 1049-1066
Sanou, F. H.; Le Roy, F. & Gnyawali, D. (2016) “How does centrality in coopetition networks matter? an empirical investigation in the mobile telephone industry”. British Journal of Management 27(1): 143–160
Scott, N.; Cooper, C. & Baggio, R. (2008) “Destination networks: four Australian cases”. Annals of Tourism Research 35(1): 169–188
Selin, S. & Beason, K. (1991) “Interorganizational relations in tourism”. Annals of Tourism Research 18(4): 639-652
Sforzi, F. (2015) “Rethinking the industrial district: 35 years later”. Investigaciones Regionales – Journal of Regional Research 32: 11-29
Sinclair, M. T. & Stabler, M. (2009) “Aspectos econômicos do turismo”. Editora Universidade de Brasília, Brasília
Teller, C.; Alexander, A. & Floh, A. (2015) “The impact of competition and cooperation on the performance of a retail agglomeration and its stores”. Industrial Marketing Management 52: 6-17
Thomas, V. (2005) “O Brasil visto por dentro”. Editora José Olympio, Rio de Janeiro
Thorelli, H. B. (1986) “Networks: between markets and hierarchies”. Strategic Management Journal 7(1): 37-51
Tidstrom, A. (2014) “Managing tensions in coopetition”. Industrial Marketing Management 43(2): 261-271
Tidstrom, A. & Hagberg-Andersson, A. (2012) “Critical events in time and space when cooperation turns into competition in business relationships”. Industrial Marketing Management 41(2): 333-343
Toledo, G. L.; Valdés, J. A. & Pollero, A. C. (2002) “Configuración del turismo en el ambiente globalizado: estudio de casos de clusters turísticos”. Turismo em Análise 13(1): 90-104
Verschoore, J. R.; Balestrin, A. & Teixeira, R. (2016) “Network management and associated firms’ outcomes: multilevel analysis in the Southern Brazilian context”. Journal of Management and Governance 20(4): 194-232
Wegner, D. & Dahmer, L. V. (2004) “Avaliação de desempenho em redes de empresas”. Anais do ENEGEP, Florianópolis
Wu, J. (2014) “Cooperation with competitors and product innovation: moderating effects of technological capability and alliances with universities”. Industrial Marketing Management 43(2): 199-209
Wu, L.; Wang, C.; Chen, C. & Pan, L. (2008) “Internal resources, external network, and competitiveness during the Growth Stage”. Entrepreneurship - Theory & Practice 32(3): 529–549
Zambrana, A. A. & Teixeira, R. M. (2015) “Relações cooperativas locais segundo a perspectiva das proximidades. Uma análise em APLs de confecções”. Desenvolvimento em Questão 13(31): 39-69
Zee, E. & Vanneste, D. (2015) “Tourism networks unraveled: a review of the literature on networks in tourism management studies”. Tourism Management Perspectives 15: 46–56
Zemla, M. (2014) “Inter-destination cooperation: Forms, facilitators and inhibitors – The case of Poland”. Journal of Destination Marketing & Management 3(4): 241–252