ARTICULO DE INVESTIGACION
Caracterización de cepas de Serratia marcescens resistentes a metales pesados aisladas del yacimiento laterítico de Moa, Cuba
Characterization of heavy metals resistant Serratia marcescens strains isolated of lateritic deposit Moa, Cuba
Caracterización de cepas de Serratia marcescens resistentes a metales pesados aisladas del yacimiento laterítico de Moa, Cuba
Revista CENIC Ciencias Biológicas, vol. 51, núm. 3, pp. 196-206, 2020
Centro Nacional de Investigaciones Científicas
Recepción: 12 Abril 2020
Aprobación: 02 Septiembre 2020
RESUMEN: El siguiente trabajo tuvo como objetivo caracterizar tres cepas de Serratia marcescens aisladas del yacimiento laterítico de Moa, Holguín, Cuba. Se determinó la resistencia de las cepas a seis metales: Ni (II), Co (II), Al (III), Zn (II), Cr (VI), y Cu (II), mediante la concentración mínima inhibitoria en el medio mínimo Tris sólido. Se determinó el perfil de susceptibilidad a antibióticos. Además, se evaluó la influencia del Ni (II) en el crecimiento de las cepas en medio mínimo Tris líquido a través de la curva dosis- respuesta, así como el mecanismo de resistencia a este metal. Las tres cepas manifestaron resistencia a todos los metales evaluados en el medio mínimo Tris sólido y mostraron los mayores valores de concentración mínima inhibitoria para el Ni (II) al crecer hasta 10 mmol. L-1. El Ni (II) tuvo mayor efecto negativo en el crecimiento bacteriano en el medio líquido, donde las cepas crecieron hasta una concentración a 5,0 mmol. L-1. La resistencia a este metal en las tres bacterias aisladas de Moa se induce ante la presencia en el medio del mismo, por lo que presentan un mecanismo de resistencia inducido. Todas las cepas fueron sensibles a ocho de los antibióticos evaluados, por lo que mostraron un predominio de la sensibilidad a antibióticos. Las características de las cepas S. marcescens YN-2, YN-8 y YN-9, aisladas del yacimiento laterítico de Moa las hacen buenas candidatas para ser evaluadas en tecnologías de biorremediación.
Palabras claves: resistencia a metales pesados, mecanismo de resistencia, yacimiento laterítico, antibióticos, región minera.
ABSTRACT: The following work aimed to characterize three strains of Serratia marcescens isolated from the lateritic deposit of Moa, Holguín, Cuba. The resistance of the strains to six metals: Ni (II), Co (II), Al (III), Zn (II), Cr (VI), and Cu (II), was determined by the minimum inhibitory concentration in the solid Tris minimal medium. The antibiotic susceptibility profile was determined. In addition, the influence of Ni (II) on the growth of the strains in liquid Tris minimal medium was evaluated through the dose-response curve, as well as the mechanism of resistance to this metal. The three strains showed resistance to all the metals evaluated in the solid Tris minimal medium and showed the highest values of the minimum inhibitory concentration for Ni (II) when growing up to 10 mmol. L-1. Ni (II) had a greater negative effect on bacterial growth in the liquid medium, where the strains grew to a concentration of 5.0 mmol. L-1. Resistance to this metal in the three isolated Moa bacteria is induced by its presence in the medium, thus presenting an induced resistance mechanism. All the strains were sensitivite to eight of the antibiotics evaluated, thus showing a predominance of antibiotic sensitivity. The characteristics of the S. marcescens YN-2, YN-8 and YN-9 strains, isolated from the Moa lateritic deposit, make them good candidates for evaluation in bioremediation technologies.
Keywords: resistance to heavy metals, resistance mechanism, lateritic deposit, antibiotics, mining region.
INTRODUCCION
El aumento de la población mundial y la rápida industrialización han causado el deterioro en la calidad del medio ambiente. Los metales pesados son uno de los contaminantes más peligrosos y entre sus principales fuentes contaminantes se destacan las emisiones industriales, la minería y la agricultura convencional con el empleo de plaguicidas y fertilizantes químicos (Ali et al., 2019). Los metales pesados al no ser degradados ni biológica ni químicamente persisten en los ecosistemas y pueden incorporarse a las redes tróficas donde provocan un incremento de su toxicidad en los organismos a través del fenómeno de la biomagnificación (Srivastava et al., 2017, Essa et al., 2018).
Los iones metálicos como el níquel, el cobalto y el zinc son esenciales para la célula en concentraciones trazas (Sharma et al., 2018). Sin embargo, cuando su concentración excede los niveles umbrales para los organismos, provocan daños fisiológicos, bioquímicos y genéticos, por lo que la viabilidad celular se ve comprometida (Ali et al., 2019). La colonización, por microorganismos, de ambientes con altas concentraciones de metales pesados es el resultado del desarrollo y evolución de mecanismos que les permiten resistir estas condiciones (Remenár et al., 2018). Entre las estrategias de resistencia se informan: el desarrollo de barreras de permeabilidad, secuestro intra y extracelular, bombas de eflujo, detoxificación enzimática, reducción, biosorción, bioprecipitación, mecanismos de transporte y quelación, lo que garantiza la reducción de la toxicidad celular de los contaminantes metálicos (Silva et al., 2019). Estos mecanismos y adaptaciones son las bases para el uso de los microorganismos en la biorremediación.
La resistencia bacteriana a metales pesados, sus mecanismos y determinantes genéticos, han recibido especial atención, debido a que estos microorganismos participan en la desintoxicación de estos compuestos en diferentes ecosistemas contaminados (Nwagwu et al., 2017). Los determinantes genéticos pueden ser aplicados en diferentes procesos como la biorremediación de ambientes contaminados, la bioextracción de metales estratégicos, preciosos o radiactivos, directamente desde los minerales o por recobrado de metales desde efluentes de procesos industriales, así como biosensores para el monitoreo ambiental (Farooq et al., 2010; Cerminati et al., 2015).
Los suelos ultramáficos o de serpentina, son ecosistemas naturales con elevadas concentraciones de metales pesados como níquel, cobalto y cromo. Además, son deficientes en nutrientes esenciales como N, P, K y Ca (Kidd et al., 2016). Estos suelos constituyen el 7% de la superficie de Cuba (Reeves et al., 1999) y representan una fuente de microorganismos resistentes a metales y productores de metabolitos con actividad biológica, con potencialidades en el diseño de tecnologías para el saneamiento ambiental (Díaz, 2013). Además, constituyen ecosistemas ideales para el estudio de la genética de adaptación al hábitat y evolución de nuevas ecovariedades microbianas (Marzan et al., 2017).
La región minera de Moa (Holguín) contiene los mayores y más antiguos depósitos de serpentina de Cuba (Reeves et al., 1999). Estos se reconocen entre las mayores reservas de níquel y cobalto del mundo (Valcarce y Rojas, 2017) y en esta se encuentra la principal industria minero metalúrgica del país. De esta zona se informan aislamientos de bacterias resistentes a metales pesados y se destaca a la especie Serratia marcescens (Marrero et al., 2007; Díaz, 2013; Govin et al., 2015). Esta investigación tuvo como objetivo caracterizar tres cepas de S. marcescens aisladas del yacimiento laterítico de Moa, Holguín.
MATERIALES Y MÉTODOS
Microorganismos empleados
Se emplearon tres cepas de S. marcescens (S. marcescens YN-2, S. marcescens YN-8 y S. marcescens YN-9) aisladas del yacimiento laterítico Yagrumaje Norte, Moa, Holguín, Cuba. Estas cepas forman parte de la Colección de Cultivos Microbianos del Departamento de Microbiología y Virología de la Facultad de Biología, Universidad de La Habana.
Resistencia a Ni (II), Co (II), Cr (VI), Cu (II), Zn (II) y Al (III) en medio mínimo Tris (MMT) sólido
La resistencia a Ni (II), Co (II), Cr (VI), Cu (II), Al (III) y Zn (II) se determinó a partir de la concentración mínima inhibitoria (CMI) en medio mínimo Tris sólido (6,06 g de Tris, 4,68 g de NaCl, 1,49 g de KCI, 1,07 g de NH4Cl, 0,43 g de Na2SO4, 0,2 g de MgCl2 x 6H2O, 0,03 g de CaC12 x 2H2O, 0,23 g de Na2HPO4 x 12 H2O, 0,005 g de citrato de hierro y amonio, 1 ml de solución de elementos traza SL7, 1000 mL de agua destilada, 20 g de agar, pH 7,0), suplementado con glucosa (0,2 % p/v) (Mergeay et al.,1985). Los cationes metálicos se adicionaron al medio estéril en forma de sales grado analítico de NiCl2 x 6H2O, CoCl2 x 6H2O, K2CrO4, CuSO4 x 5H2O, AlSO4 y ZnSO4 x 7H2O, los que se esterilizaron por filtración, mediante filtros de 0,20 µm. Las placas se inocularon a través de una estría en el medio y se incubaron a 37ºC durante 120 horas. La experiencia se realizó por triplicado. El valor CMI se estableció como la menor concentración del metal en la que se manifestó inhibición del crecimiento.
Influencia de la concentración de Ni (II) en el crecimiento bacteriano
La influencia de la concentración de Ni (II) en el crecimiento se determinó a través de la curva dosis- respuesta. A partir de precultivos de 18 horas, de cada una de las cepas, en el medio mínimo Tris líquido (150 rev.min-1 y 37°C), se ajustó la concentración celular al tubo 0,5 de la escala de McFarland y se inocularon erlenmeyers, con el mismo medio, suplementados con concentraciones crecientes del metal (0, 0,5, 1,0, 1,25, 1,5, 1,75, 3,0, 5,0, 7,5 y 10 mmol. L-1). Los cultivos se incubaron bajo las mismas condiciones anteriores. Se determinó el crecimiento bacteriano a través de la absorbancia a λ= 600 nm. La experiencia se realizó por triplicado.
Determinación del mecanismo de resistencia de Ni (II)
El mecanismo de resistencia a Ni (II) se determinó a través de la metodología aplicada por Marrero et al. (2007). A partir de pre-cultivos de las cepas, en presencia de Ni (II), a las que se le denominó células inducidas y pre-cultivos sin níquel, células no inducidas, se inocularon erlenmeyers con el medio mínimo Tris suplementados con 5 mmol. L-1 de Ni (II). Los cultivos se incubaron durante 30 horas a 150 rev.min-1 y 37°C. Se tomaron muestras a las 0, 2, 4, 8, 18, 20, 22, 24, 25, 26, 30 horas y se determinó el crecimiento a través de la absorbancia a λ=600nm. La experiencia se realizó por triplicado.
Determinación de la resistencia a antibióticos
La resistencia a antibióticos se evaluó en agar Mueller Hinton, mediante el método de difusión en agar (Bauer et al., 1966). Se emplearon discos con una carga definida de antibióticos: amikacina (AK, 30μg), azitromicina (AZM, 15 μg), meropenem (MEM, 10μg), cefotaxima (CTX, 30 μg) imipenem (IPM, 10 μg), eritromicina (E, 15 µg), estreptomicina (S, 10 μg), cloranfenicol (C, 30 μg), gentamicina (CN, 120 μg), ciprofloxacino (CIP, 5 μg), tetraciclina (TE, 30 μg), y kanamicina (K, 30 μg). Para la interpretación de los resultados se siguió la Guías del Comité de Normas del Laboratorio Clínico, CLSI, (2017).
Análisis biométricos
Para comparar los valores de absorbancia entre las cepas, en la curva dosis- respuesta, a los datos se les aplicó de forma preliminar las pruebas de normalidad y de homogeneidad de varianza. Una vez comprobadas las premisas, los resultados se analizaron mediante el método paramétrico ANOVA y posteriormente con la prueba de significación honesta de Tukey.
En el experimento de determinación del mecanismo de resistencia se comparó los valores de absorbancia, entre cultivos inducidos y no inducidos en presencia del metal mediante una prueba t de Student por grupos (p<0,05). Todos los análisis se realizaron mediante el paquete estadístico “Statistica” versión 8.0.
RESULTADOS y DISCUSIÓN
Resistencia a metales pesados
Las tres cepas de S. marcescens en estudio, crecieron en presencia de concentraciones mayores de 0,5 mmol. L-1 de cada uno de los seis metales evaluados (Tabla 1). El mayor valor de concentración mínima inhibitoria se registró en presencia del níquel (hasta 10 mmol. L-1), mientras que los menores valores se observaron en presencia del Co (II) (1,0 mmol. L-1). Los patrones de resistencia para el resto de los metales variaron entre 1,5 mmol. L-1 y 5,0 mmol. L-1. En general las cepas mostraron el siguiente comportamiento en cuanto a la resistencia: Ni (II) > Zn (II) > Al (III) > Cu (II) > Cr (VI) > Co (II).
La multi-resistencia de las cepas a los metales estudiado indica la estrecha la relación genotipo- ambiente, en la expresión del fenotipo, ya que los yacimientos ferro- niquelíferos del noreste oriental de del noroeste oriental de Cuba presenta altas concentraciones de metales como níquel, cobalto, cromo y aluminio altas concentraciones de los metales como el níquel, cobalto, cromo y aluminio (Muñoz et al., 2015). La resistencia a metales pesados en la especie S. marcescens se informó en aislamientos en el yacimiento laterítico de Punta Gorda, Moa, donde las cepas manifestaron resistencia a Ni (II) y Co (II) (Marrero et al., 2007; Díaz, 2013).
A partir de muestras de aguas colectadas de una mina de Manganeso, de la zona Minas Gerais, Brasil, se aislaron dos cepas de S. marcescens las que crecieron hasta 1200 mg. L-1 de Mn (II) en medio sólido (Barboza et al., 2017). De otros ecosistemas contaminados con metales pesados se informó la presencia de esta especie con la característica de crecer en presencia de altas concentraciones de metales pesados. A partir de muestras de aguas del río de la región de Panteka, en Nigeria se aisló una cepa resistente a Ni (II), Zn (II), Pb (II) y Cd (II) (Nwagwu et al., 2017). Asimismo, del río Ganga, Varanasi, India se aisló una cepa resistente a Zn (II), Cd (II), Cu (II), Ni (II), Pb (II) y Cr (VI) (Niveshika et al., 2016). De un suelo contaminado como consecuencia de la actividad de una industria siderúrgica en la India se informó el aislamiento de cinco cepas de S. marcescens las que mostraron resistencia a Cu (II), Fe (II), Pb (II), Zn (II) y Co (II) (Akanksha, 2019).
Influencia del ion Ni (II) en el crecimiento
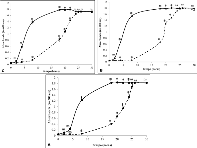
Teniendo en cuenta los altos niveles de resistencia a Ni (II) observados en la CMI, de determinó la influencia de este metal en el crecimiento. Las cepas S. marcescens YN-2, YN-8 y YN-9 mostraron comportamientos similares, en el medio mínimo Tris líquido suplementado con concentraciones crecientes de Ni (II), crecieron hasta una concentración de 5 mmol. L-1. Al aumentar la concentración del metal disminuyeron los valores de absorbancia (Fig. 1). La cepa S. marcescens YN-2, mostró los mayores valores de absorbancia mientras que los menores valores se registraron en la cepa S. marcescens YN-8. Las tres cepas en estudio resistieron hasta 10 mmol. L-1 de Ni (II) en medio Mínimo Tris agarizado, estos valores duplican los registrados en caldo. En el medio líquido es posible determinar las diferencias de concentraciones de iones metálicos que inhiben el crecimiento microbiano, lo que no es posible detectar en medio sólido, puesto que se manifiestan interacciones de los metales con otros componentes presentes en el medio de cultivo, y la interacción del metal por el microorganismo está influenciada por los fenómenos de difusión en el medio (Grass et al., 2005).
La diferencia en cuanto a los valores de resistencia, en el medio líquido y sólido también se informó en la cepa S. marcescens C-1 aislada del yacimiento laterítico Punta Gorda, Moa, Holguín. Esta cepa resistió 20 mmol. L-1 de Ni (II) en medio mínimo Tris sólido, mientras que en el medio líquido creció hasta 8 mmol. L-1 (Marrero et al., 2007). También Díaz. (2013) caracterizó una colección bacteriana compuesta por siete cepas de S. marcescens aisladas del mismo ecosistema que mostraron valores de CMI a Ni (II) entre 15 y 25 mmol. L-1 en el medio mínimo Tris sólido, mientras que en el medio líquido los valores fueron de 3,5 a 7 mmol. L-1 de níquel.
Mecanismo de resistencia a Ni (II)
Teniendo en cuenta los resultados de la influencia del Ni (II) en el crecimiento bacteriano se determinó el mecanismo de resistencia a este metal. La resistencia a metales pesados puede estar determinado por un mecanismo inducido por la presencia del propio ion metálico o puede expresarse de forma constitutiva. En el primer caso la presencia del metal en el medio, induce la expresión de genes involucrados en la resistencia a este metal, mientras que, en el segundo caso, los genes se expresan de forma constitutiva por lo que en ausencia del metal se expresarán también (Marrero et al., 2010). Esto se puede determinar analizando el tiempo de la fase de adaptación entre un cultivo inducido (cuyas células se incubaron previamente con el metal) y uno cultivo no inducido (cuyas células se incubaron en ausencia del metal) cuando se enfrentan a una concentración definida del metal. En las tres cepas en estudio se observó que los cultivos inducidos aumentaron los valores de absorbancia con mayor rapidez que la de los cultivos no inducidas correspondientes (Fig. 2). El crecimiento de los cultivos inducidos de cada una de estas cepas se comparó con el de los cultivos no inducidos en el punto final de la fase de adaptación de estos últimos, y en todos los casos se encontraron diferencias estadísticamente significativas entre ambos. La duración de la fase de adaptación de los cultivos no inducidos, en presencia de iones Ni (II) fue de aproximadamente ocho horas. Estos tiempos superaron cuatro veces la duración de la fase de adaptación de los cultivos inducidos correspondientes, los cuales fueron de dos horas aproximadamente.
La fase de adaptación más prolongada en los cultivos no inducidos se corresponde con el tiempo necesario para la síntesis de los componentes celulares que participan en los mecanismos de resistencia al metal. Las tres cepas mostraron un mecanismo de resistencia inducido por la presencia del Ni (II). Resultados similares se informó en la cepa S. marcescens C-1 en presencia de cobalto, donde las elevadas concentraciones del metal en el medio de cultivo, provocó la inducción de genes y la sobreexpresión de diferentes proteínas involucradas en la protección de la célula contra el estrés oxidativo (Marrero et al., 2007). Los mecanismos codificados por determinantes genéticos inducidos por la presencia del metal, garantizan la sobrevivencia de esta cepa frente a concentraciones elevadas de Ni(II) y Co(II). El estudio de los mecanismos de resistencia a metales ha permitido el empleo de microorganismos como biosensores (Bereza et al., 2016). Los promotores de los genes involucrados en la resistencia a metales pesados se emplean en el diseño de biosensores, para la detección de metales pesados. Se exponen experiencias de construcciones genéticas con genes reporteros como la luciferasa y la proteína verde fluorescente. Además, en la literatura se informa con el empleo de proteínas de la familia MerR presentes en bacterias, estas son proteínas sensoras que se unen fuertemente a los promotores de los genes responsables del mecanismo de regulación, por lo que actúan como un activador en presencia del metal mientras que en ausencia del metal actúa como un represor (Guo et al., 2019). Teniendo en cuenta estas aplicaciones del estudio de los mecanismos de resistencia a metales pesados en bacterias resistentes constituyen una línea de investigación necesaria.
Susceptibilidad a antibióticos
Todas las cepas mostraron susceptibilidad frente a ocho de los antibióticos evaluados (azitromicina, meropenem, imipenem, cefotaxima, cloranfenicol, gentamicina, ciprofloxacino y kanamicina) y resistentes a la amikacina, eritromicina (Tabla 2). S. marcescens YN-8 y S. marcescens YN-9 mostraron resistencia a la amikacina, mientras que esta última cepa, además, resistió tetraciclina. A pesar de este comportamiento se observó un predominio de la sensibilidad a estos agentes. Estos resultados difieren de los informados en otros trabajos de caracterización de cepas de esta misma especie aisladas de ambientes contaminados como son aguas y suelos contaminados por metales pesados con una gran influencia antropogénica (Niveshika et al., 2016).
Los determinantes genéticos de resistencia a metales pesados y a antibióticos pueden estar localizados físicamente en el mismo elemento genético (Azam et al., 2018). Por ello, el estudio de los patrones de susceptibilidad a antibióticos en bacterias resistentes a metales pesados, provenientes de ecosistemas naturales, resulta una de las pruebas que se realiza con mucha frecuencia. En los casos de co-resistencia, la presencia de metales puede constituir una presión selectiva permanente, recalcitrante y ampliamente distribuida con importancia clínica y medioambiental, que contribuye potencialmente en el mantenimiento y dispersión de determinantes genéticos de resistencia a antibióticos (Sidhu et al., 2015).
La especie S. marcescens se reconoce por ser causante de infecciones nosocomiales, puede infectar el tracto respiratorio y el urinario, principalmente en pacientes inmunodeprimidos. A esto se le suma la multi-resistencia a los antibióticos (Prashad et al., 2019). Es por ello que, la prevalencia de la sensibilidad a antibióticos observada en las cepas en estudio, constituyen un elemento relevante en sus posibles aplicaciones en el campo de la biotecnología ambiental.




CONCLUSIONES
Las cepas de S. marcescens (YN-2, YN-8 y YN-9), autóctonas del yacimiento laterítico de Moa son resistentes a los metales Ni (II), Co (II), Cr (VI), Cu (II), Zn (II) y Al (II). Además, presentan un predominio de sensibilidad a antibióticos, estas características las hacen interesantes para ser evaluadas en procesos de biorremediación. Las tres cepas presentan un mecanismo inducido de resistencia a Ni (II) y resisten hasta 5,0 mmol. L-1 de este metal en medio líquido, esta singularidad y características las convierten en buenas candidatas para ser incluidas en estudios genéticos destinados al diseño de biosensores para el monitoreo ambiental.
REFERENCIAS BIBLIOGRÁFICAS
Akanksha. (2019). Isolation, identification and characterization of heavy metal resistant bacteria from industrial affected soil. International Journal of Herbal Medicine, 7(4), 06-09.
Ali, H., Khan, E., & Ilahi, I. (2019). Environmental chemistry and ecotoxicology of hazardous heavy metals: environmental persistence, toxicity, and bioaccumulation. Hindawi Journal of Chemistry.; https://doi.org/10.1155/2019/6730305.
Azam, M, Tasleem, A., Kumar, A., Siddiqui, K., Mondal, A.H., & Haq, R. (2018). Study of pandrug and heavy metal resistance among E. coli from anthropogenically influenced Delhi stretch of river Yamuna. Brazilian Journal of Microbiology, 49, 471-480.
Barboza, N.R, Morais, M.M.C.A., Queiroz, P.S, Amorim, S.S., Guerra-Sá, R., & Leão, V.A. (2017). High Manganese Tolerance and Biooxidation Ability of Serratia marcescens Isolated from Manganese Mine Water in Minas Gerais, Brazil. Front. Microbiol, 8,1946. doi: 10.3389/fmicb.2017.01946.
Bauer, A.W., Kirby, M.M., Sherris, J.C., & Truck, M. (1966). Antibiotic susceptibility testing by a standardized single disk method. Am J Clin Pathol, 45.
Bereza, L., Aracic, S., & Franks, A.E. (2016). Development and application of a synthetically-derived Lead biosensor construct for use in gram-negative Bacteria. Sensors, 16,1-13.
Cerminati, S., Soncini, F.C., & Checa, S.K. (2015). A sensitive whole-cell biosensor for the simultaneous detection of a broad-spectrum of toxic heavy metal ions. Chem. Commun, DOI: 10.1039/C5CC00981B.
Clinical and Laboratory Standards Institute (CLSI). (2017). Performance standards for antimicrobial susceptibility tests, Twelseventh edition. Documento M100, (pp 32-38).
Díaz Valdivia, A. (2013). Caracterización de la resistencia a metales de una colección bacteriana aislada del yacimiento niquelífero de Moa (Cuba) y sus potencialidades en la biorremediación ambiental de sitios contaminados por metales pesados. (Tesis en opción al grado de Doctor en Ciencias). Facultad de Biología, Universidad de La Habana, Cuba.
Essa, A.M.M., Al Abboud, M.A., & Khatib, S.I. (2018). Metal transformation as a strategy for bacterial detoxification of heavy metals. J Basic Microbiol, 58, 17-29.
Farooq, U., Kozinski, J.A., Ain, K.M., & Makshoof, A. (2010). Biosorption of heavy metal ions using wheat based biosorbents. A review of the recent literature. Bioresource Technology, 101, 5043-5053.
Govin, A., Coto, O., & Marrero, J. (2015). Caracterización fenotípica de una colección bacteriana aislada del yacimiento laterítico de Yagrumaje Norte, Moa. Cuba. Revista Cubana de Ciencias Biológicas, 4(1), 69-77.
Grass, G., Fricke, B., & Nies, D.H. (2005). Control of expression of a periplasmic nickel efflux pump by periplasmic nickel concentrations. BioMetals, 18, 437-448.
Guo, M., Du, R., Xie, Z., He, X., Huang, K., Luo, Y. & Xu, W. (2019). Using the promoters of MerR family proteins as “rheostats” to engineer whole- cell heavy metal biosensors with adjustable sensitivity. Journal of Biological Engineering,13, 70. https://doi.org/10.1186/s13036-019-0202-3.
Kidd, P.S., Bani, A., Benizri, E., Gonnelli, C., Hazotte, C., Kisser, J., Konstantinou, M., Kuppens, T., Kyrkas, D., Laubie, B., Malina, R., Morel, J.L., Olcay, H., Pardo, T., Pons, M.N., Prieto-Fernández, Á., Puschenreiter, M., Quintela-Sabarís, C., Ridard, C., Rodríguez-Garrido, B., Rosenkranz, T., Rozpa, dek P., Saad, R., Selvi, F., Simonnot, M.O., Tognacchini, A., Turnau, K., Waz˙ny, R., Witters, N., & Echevarria, G. (2018). Developing Sustainable Agromining Systems in Agricultural Ultramafic Soils for Nickel Recovery. Front. Environ. Sci, 6, 44. doi: 10.3389/fenvs.2018.00044.
Marrero-Coto, J., Díaz-Valdivia, A., & Coto-Pérez, O. (2010). Mecanismos moleculares de resistencia a metales pesados en las bacterias y sus aplicaciones en la biorremediación. Revista CENIC Ciencias Biológicas, 41 (1), 67-78.
Marrero, J., Auling, G., Coto, O., & Nies, D. (2007). High -Level resistance to cobalt and nickel in Cuban Serratia marcescens strains isolated from serpentine deposits. Adv. Mat Res.; 20 (21), 521-525.
Marzan, L.W., Mehjabeen, H., Akter, M.S., Akter, Y., Masudul, A.M., & Chowdhury, A. (2017). Isolation and biochemical characterization of heavy-metal resistant bacteria from tannery effluent in Chittagong city, Bangladesh: Bioremediation viewpoint. Egyptian Journal of Aquatic Research.; 43, 65-74.
Mergeay, M., Nies, L.D., Schlegel, H.G., Gerits, J., Charles, P., & Van Gijsegem, F. (1985). Alcaligenes eutrophus CH34 Is a Facultative Chemolithotroph with Plasmid-Bound Resistance to Heavy Metals. J Bacteriol, 162(1): 328-334.
Muñoz, J.N., Rodríguez, A., & Barea, I. (2015). Variabilidad de los perfiles lateríticos en los yacimientos ferroniquelíferos de Moa. Minería y Geología, 31 (2), 21-33.
Niveshika Singh, S., Verma, E., & Mishra, A.K. (2016). Isolation, characterization and molecular phylogeny of multiple metal tolerant and antibiotics resistant bacterial isolates from river Ganga, Varanasi, India. Cogent Environmental Science, 2, 1273750.
Nwagwu, C.E., Moltong, V., Eucharia, N., & Onwumere, G.B. (2017). Isolation and characterization of heavy metal tolerant bacteria from Panteka stream, Kaduna, Nigeria and their potential for bioremediation. African Journal of Biotechnology, 16(1), 32-40.
Prashad, Y. (2019). A critical review of the Bacteria Serratia marcescens and its impact on human health. Webmed Central Bacteriology, 10(6), WMC005573.
Reeves, R., Baker, A.J.M., Borhidi, A., & Berazain, R. (1999). Nickel hiperaccumulation in the serpentine flora of Cuba. Annals of Botany, 83, 29-38.
Remenár, M., Kamlárová, A., Harichová, J., & Zámocký, M. (2018). The heavy-metal resistance determinant of newly isolated bacterium from a nickel-contaminated soil in Southwest Slovakia. Polish Journal of Microbiology, 67 (2), 191-201.
Sharma, J., Patial, S., Singh, S., Bansal, S., Sharma, A., & Pal, P.B. (2018). Isolation and characterization of heavy metal resistant bacteria from industrial effluent in Jabalpur city, India; case study of immobilized bacterial remediation. International Journal of Recent Scientific Research, 9 (5): 26506-26511.
Sidhu, A.K., Metkar, G.J., Nandurikar, S.P., & Patil, S.N. (2015). An investigation on metal tolerance and antibiotic resistance properties of bacterial strains isolated from two different drinking water sources. Int. J. Curr. Microbiol. App. Sci, 4(2), 305-313.
Silva, F., Figueiredo, M.W., Macedo, S., Moreira, A.C., Albuquerque, C., Kuramae, E.E., de Barros, S.K., Pessoa-Filho, M., & Chaves, C. (2019). Assessing nickel tolerance of bacteria isolated from serpentine soils. Brazilian Journal of Microbiology , https://doi.org/10.1007/s42770-019-00111-4 .
Srivastava, V., Sarkar, A., Singh, S., Singh, P., de Araujo, A.S.F., & Singh, RP. (2017). Agroecological Responses of Heavy Metal Pollution with Special Emphasis on Soil Health and Plant Performances. Front. Environ. Sci ., 5, 64. doi: 10.3389/fenvs.2017.00064.
Valcarce, R.M., & Rojas, I.S. (2017) Análisis euclidiano de agrupación aplicado al estudio del yacimiento Yagrumaje Oeste. Revista Cubana de Ingeniería, 3 (2), 3 - 10.