ARTÍCULOS DE INVESTIGACIÓN
Characterization of metabolites in urine samples from individuals with a lethal co-administration of cocaine and ethanol
Characterization of metabolites in urine samples from individuals with a lethal co-administration of cocaine and ethanol
Revista CENIC. Ciencias Químicas, vol. 47, pp. 83-92, 2016
Centro Nacional de Investigaciones Científicas
Received: 08 April 2016
Accepted: 05 October 2016
Abstract: In this paper, cocaine and eleven of its metabolites have been detected and identified in urine samples. The technique was based in a simple liquid-liquid extraction with detection by gas chromatography coupled to mass spectrometry (GC-MS). The method was validated in terms of repeatability, specificity, recovered, linearity, limit of detection, contamination between samples and robustness, all validation parameters met the acceptance criteria established in the study. The percentages of recovered for cocaine and benzoylecgonine were 120 and 110% respectively. The method’s repeatability (CV %) remained below 15% in all assays. The technique was shown to be linear over the range studied (r. = 0.999) and sensitive, with detection limits below 60 ng/mL for both analytes. In the analysis of two real samples 11 metabolites of cocaine were detected, benzoylecgonine and cocaetilene were the majorities. Furthermore, were detected and characterized metabolites which only are observed in the urine in overdose cases such as hydroxylated and metoxyhydroxylated metabolites of cocaine, benzoylecgonine and cocaethilene. The technique allowed detecting the cinnamoilbenzoilecgonina which is a metabolite of cinnamoilcocaína. The cinnamoilcocaína is one of the alkaloids in coca plants so the presence of this metabolite showed us natural cocaine consumption and not synthetic.
Keywords: cocaine, cocaine´s minor metabolites, GC-MS, trimethylsily derivative.
Resumen: En el presente artículo se muestra una técnica capaz de detectar e identificar a la cocaína y a once de sus metabolitos, en muestras de orina. La técnica se basa en una simple extracción líquido-líquido con detección por cromatografía gaseosa acoplada a espectrometría de masas (CG-EM). El método fue validado en términos de repetibilidad, especificidad, recobrado, linealidad, límite de detección, contaminación entre muestras y robustez, todos los parámetros de validación cumplieron con los criterios de aceptación establecidos en el estudio. Los porcientos de recobrados para la cocaína y la benzoilecgonina fueron de 120 y 110 % respectivamente. La repetibilidad del método (CV %) se mantuvo por debajo del 15 % en todos los ensayos. La técnica mostró ser lineal en el intervalo estudiado (r. = 0.999) y sensible, con límites de detección por debajo de 60 ng/mL para ambos analitos. Se detectaron en el análisis de dos muestras reales once metabolitos de la cocaína, de ellos la benzoilecgonina y el cocaetilene fueron los mayoritarios. Además, se detectaron y caracterizaron metabolitos que solo se observan en la orina en casos de sobredosis como son los metabolitos hidroxilados y metoxihidroxilados de la cocaína, benzoilecgonina y cocaethilene. La técnica permitió detectar la cinnamoilbenzoilecgonina que es un metabolito de la cinnamoilcocaína. La cinnamoilcocaína es otro de los alcaloides presentes en las plantas de coca por lo que la presencia de su metabolito nos indicó un consumo de cocaína natural y no sintética.
Palabras clave: Cocaína, metabolitos menores de la cocaína, CG-EM, derivados trimetilsilil.
INTRODUCCIÓN
Cocaine is an alkaloid found in the plant Erythroxylum coca.1,2,3,4 It is a potent drug that has both medical use and strong abuse potential. Cocaine is a local anesthetic and vasoconstrictor and it has medical application in otorhinolaryngeal surgery. The effects of cocaine on the central nervous system are well known. It blocks the reuptake of norepinephrine, dopamine and serotonin; these substances are implicated in memory function. The high synaptic concentrations of mono amines and especially of dopamine result in physiological and psychotropic effect such as an increase of sense of alertness, well-being and euphoria.1
In man, cocaine is metabolized to ecgonine methyl ester by plasma and liver isoenzymes and benzoylecgonine that is formed by either a hepatic carboxyesterase or spontaneously by hydrolysis of cocaine.1,3,5 Although these metabolites haven’t pharmacological activities are very important due to their long half-life in biological matrices. They remain longer detectable than the parent compound (cocaine).1,3,4,5,6Other metabolites are norcocaine formed by liver isoenzymes of the cytochrome P450 system and can be hydrolyzed to benzoylecgonine, anhydroecgonine methyl ester, a pyrolytic product of cocaine, formed as a result of thermal degradation when cocaine free base is smoked. It can be found together with anhydroecgonine in the urine of crack smokers and cocaethylene.1,7
Cocaethylene is found after co-administration of cocaine and ethanol. This metabolite is pharmacologically active and it is formed by transesterification of cocaine with ethanol. This reaction is catalyzed by the hepatic carboxylesterase which is also responsible for the benzoylecgonine formation.1,8 Although the stimulant effect produced by cocaethylene and cocaine are similar, cocaethylene is less potent than cocaine. .
Aryl hydroxyl and aryl methoxy metabolites of cocaine have also been identified as minor metabolites in urine of cocaine users. Interestingly ethyl ester homologues of these compounds have also been detected in urine of individuals using cocaine and ethanol concurrently.1,5
Cocaine and its metabolites have been determined in many biological matrices. Urine and blood are the most popular biological fluids for drug research. Several studies have investigated the stability of cocaine and its metabolites in blood and others biological fluids.1,3 It was proved that in refrigerated blood sample and in alkaline buffers the cocaine concentration decreases as a function of time when no precautions are taken. Degradation can be prevented by lowering both pH and temperature. In hair the major species present is unmetabolized cocaine. The concomitant determination of some of its metabolites, such as benzoylecgonine and cocaethylene, can provide us with a tool to differentiate between systemic exposure and external contamination.2,4 Hair is an interesting matrix for analysis of drugs because provide information regarding the past use of drugs, taking growth into consideration. Cocaine has been determinate in others matrices such as saliva, sweat and fingerprints.1,9,10
The isolation of cocaine and its metabolites is usually performed by liquid-liquid extraction (LLE) at pH which analyte is non-ionized or using solid phase extraction.11 Various analytical methods for the simultaneous detection of cocaine and its metabolites have been described.2,3,4,5,9,11 The co-extraction of these compounds is very difficult due to differences in their physicochemical properties. LLE yield low recoveries for polar metabolites, such as benzoylecgonine.5,12
Quantitative methodology for the determination of cocaine and its main metabolites in biological matrices includes gas chromatography with specific detection of nitrogen and phosphorus (NPD) and mass spectrometry (MS), high performance liquid chromatography (HPLC) with diode-array detection (DAD), high-throughput Liquid chromatography coupled to Mass spectrometry in tandem (LC/MS/MS), fluorescence detection. Additionally, a variety of immunoassay screening procedures are used to provide semi quantitative analysis.3,4,9,13,14,15
The present work describes an analytical method based on a simple and rapid LLE and a single derivatization procedure to yield trimethylsilyl derivatives using MSTFA as reagent, to characterize metabolites produced by a co-administration of cocaine and ethanol and their metabolites using gas chromatography coupled to mass spectrometry.
MATERIALS AND METHODS.
Urine Samples.
Two urine samples provided by legal medicine were analyzed. Individuals had consumed ethanol and cocaine in lethal doses. Twenty milliliters of urine’s samples were taken directly from the bladder with unhindered view after opening of the abdominal cavity. Samples were contained in glass tubes labeled adequately and stored at -20 °C prior processing.
Instrumentation.
The analysis was carried out using a Hewlett-Packard 6890 gas chromatograph (Palo Alto, CA, USA) coupled with a 5973 quadrupole mass spectrometer detection system (GC-MS).
GC-MS Conditions.
Analytes separation was achieved on a fused silica capillary column (HP-Ultra 2, Phenylmethylsiloxane (5 %), 12 m x 0.2 mm i.d., 0.33 μm film thickness; (Agilent Technologies, CA, USA). The oven temperature was programmed to start at 150 °C increased to 200 °C at 10 °C/min to 230 °C at 20 °C/min, to 290 °C at 12 °C/min and to 315 °C/min at 30 °C/min. The split injection mode (10:1) was used. Helium at flow rate of 0.9 mL/min was used as the carrier gas. The injection port, ion source and interface temperature were: 280, 230 and 280 °C respectively. The mass spectrometer was operated in electron impact (EI) mode at 70 eV. The mass spectra of analytes were recorded in SCAN mode. For GC-MS analysis, a volume of 3 µL was injected.
Chemicals.
N-methyl-N-trimethylsilyl-trifluoroacetamide (MSTFA), Methyltestosterone, Sodium Carbonate and Sodium Hydrogen carbonate were purchased from SIGMA (Steinheim, Germany), chloroform, tert-butylmethylether and 2-propanol were obtained from MERCK (Darmstadt, Germany). Cocaine and benzoylecgonine reference materials 98 % pure were purchased from Cerilliant.
Sample Preparation.
A volume of 100 μL of the internal standard (methanolic solution Methyltestosterone, of 10 µg/mL) was added to 2.5 mL of urine. Then, 600 μL of sodium carbonate / hydrogencarbonate buffer (pH 10.0) were added and the samples were vortex-mixed for 5 seconds. Analytes were extracted from urine by adding 6 mL of a mixture of chloroform/2-propanol/tert-butylmethylether (7:2:1, v/v/v) and mixed in a shaker by 10 min at 40 rpm. Samples were centrifuge during 5 min at 3500 rpm. Both phases were separated, the aqueous phase was discarded and organic phase was evaporated to dryness under nitrogen stream at 40 °C. A volume of 50 μL of MSTFA was added to the dried residue. Mix was vortex-mixed and incubated at 100 °C for 30 min.
Validation.
The method was validated according to Cuban standard NC ISO / IEC 17025: 2006 and the international standard for laboratories (ISL) written and updated by World Antidoping Agency (WADA)16.
Carryover. In order to analyze if the measurement instrument require additional conditions carryover was assessed. One negative sample was analyzed immediately after a positive sample at high concentration of cocaine and benzoylecgonine (3 µg/mL).
Specificity. Ten blank urine samples of different individuals were analyzed to ensure the method is free of interferences from endogenous substances or reagents excluding the risk of false-positive results.
Repeatability: In order to ensure the reliability intra-assay precision was asses. Four replicates (n = 4) at two concentrations (LC: low control at 250 ng/mL and HC: high control at 2000 ng/mL) within a single analytical batch were analyzed. The acceptance criteria were RSD < 15 % for HC and RSD < 25 % for LC.
Recovery. The recovery was evaluated for HC. Two sets of samples, (n = 4 each) were extracted. One set (A) urine samples were spiked with cocaine and benzoylecgonine before extraction, and another set (B) was spiked with cocaine and benzoylecgonine after extraction and before derivatization step. In both sets the internal standard was added before extraction. Recovery was determined dividing the average peak area ratio from set A by the average peak-area ratio from set B and multiplying by 100. The acceptance criterion was a recovery above 80 %.
Linearity and lineal range. To evaluated linearity a five level calibration curve was extracted. Calibrator samples were freshly prepared in duplicate just prior to extraction by spiking a series of 2.5 mL blank urine samples with cocaine and benzoylecgonine to give concentrations of 250, 500, 1000, 1500 and 2000 ng/mL. The lineal range was determined with support of statistical program OriginPro7,5. The acceptance criterion was r. > 0.990.
Limit of Detection: Detection limit was determined by estimating the signal to noise ratio for the concentration at the minimum level of the calibration curve (n = 4). The acceptance criterion was signal to noise ratio higher than 3 to 1 (n = 4).
Robustness. It was evaluated with the goal to analyze if the method produces similar results when minor variation is introduced. In this case the recovery was assessed changing the composition of extraction mixture to chloroform / 2-propanol / tert-butylmethylether (8:1:1, v/v/v) instead of 7:2:1 (v/v/v).
RESULTS AND DISCUSSION.
Validation Results.
Chemical structures of cocaine and its metabolites are very similar. Taking into account these similarities, it can be assumed that the behavior of the metabolites facing the evaluated assay is similar as well. In this case, cocaine and benzoylecgonine was fully validated and it was assumed that the results for each validation parameters are alike for the metabolites described in here.
GC-MS analyses of ten blank urine samples showed no signals at the retention times of cocaine and the metabolites evaluated, thus it can be considered that method is free of interferences from endogenous substances or reagents excluding the risk of false-positive results.
Carryover assay showed no signal at the retention time of any analyte in the negative samples injected immediately after one concentrated sample was injected. Thus the method (instrument) is free of between-sample contaminations.
Intra-assay precision evaluated for LC and HC showed RSD below 15 % which is in agree with the acceptance criteria. Recovery for cocaine and benzoylecgonine yielded 120 % and 100 % for HC. The very high recoveries for both analytes could be due to liquid-liquid extraction from urine of weak base analytes (such as cocaine) is more feasible while isolation of amphoteric compounds (such as benzoylecgonine) is more complex and requires a careful choice of the appropriated solvent. The extraction mixture used to evaluate robustness showed lower recoveries, 80 % for benzoylecgonine and 78 % for cocaine. The calibration curves for both analytes were linear from 250 to 2000 ng/mL with an r2 higher than 0.990 for both. LODs were 50 and 30 ng/mL for benzoylecgonine and cocaine respectively (Table 1.).

Post-mortem Samples Analysis.
Two post-mortem urine samples belonging to two deceased subjects were analyzed. The metabolites of cocaine, cocaethylene, benzoylecgonine and others minor metabolites were found (Fig.1). These metabolites were characterized by formation of trimethylsilyl derivatives and analyzed following GC-MS with electron ionization (EI) and obtained its mass spectrums (Fig. 2 to 15)

TMS derivatives combine thermal stability and high volatility. They are very easy to prepare and show excellent gas chromatographic characteristics. Moreover, TMS groups increase the total ion current and, therefore sensitivity of detection. In general EI mass spectra of TMS-ethers or esters exhibit a characteristic ion M+- 15 formed by loss of a methyl group generally bonded to silicon, which is very useful determining the molecular mass. It is very important to note that EI mass spectra of TMS derivatives may be employed not only for molecular weight determinations, but also for structural deduction.17 The mass spectra of TMS derivatives of cocaine and its metabolites (Fig. 2 to 15) showed diagnostic ion with sufficient intensity that allow proposing a fragmentation pattern. The formation of others derivatives like hexafluoroisopropyl-pentafluoropropionyl has been described as a successful derivatization method with sufficient spectral information.18
Cocaine. Mass spectrum recorded for chromatographic peak 1 (Fig. 1) showed at m/z 303, which is consistent with the molecular ion (M+) of the TMS derivative of cocaine. The spectrum shows an initial loss of a methoxy radical (.O-CH3) from the M+ to give the fragment at m/z 272. Ions at m/z 198 and 105 (benzoyl ion) are formed by α-cleavage between the carbonyl carbon linked to benzoyl ring and the oxygen. Fragment m/z 182 is proposed to form by the loss of benzoate radical from M+. Ion at m/z 82 in mass spectrum of cocaine and its metabolites is the most abundant and it is attributed to the cleavage of the tropane ring to form a protonated methyl pyrrole structure (Fig. 2 A). Analogous fragmentations are observed in the mass spectra of the TMS metabolites of cocaine.



.
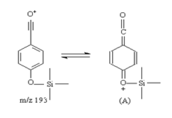
p- and m- hydroxycocaine isomers. Peaks 4 and 8 (Fig. 1) gave very similar mass spectrum, which is consistent with the spectra of m- and p- isomers. It have been describe the small differences in the relative intensities over the spectra for this kind of isomeres.19 High intensity for ions at m/z 82 and 182 indicate the presence of cocaine bicyclic structure and methyl ester. Ion at m/z 376 (M+- 15) characterizes the TMS derivatives and suggest that M+ is 391. The shift of the M+ at m/z 391 and M+ - (.OCH3) at m/z 360, which are 88 amu higher, is consistent with cocaine´s hydroxylated metabolites. The m/z 105 (benzoyl ion) is absent in these spectra. It is replaced by m/z 193 (hydroxybenzoyl ion) this confirm, that these metabolites are m- and p-aryl hydroxylated (Fig. 2 B and C). Retention time (RT), diagnostic ions and its relative abundance for cocaine and its metabolites are showed (Table 2). Although the majority of the ions in the p- and m- hydroxycocaine’s mass spectra show small differences in the relative abundance, the ions at m/z 360 and 193 show pronounced differences. Based in the higher intensity of m/z 193 ion, it is suggested that this mass spectrum belongs to p- isomer (peak 4, Fig. 1) due to formation of a resonance form similar to structure A (Fig. 3) which is not poss


Hydroxymetoxycocaine. Mass spectrum recorded for chromatographic peak 11 (Fig. 1) are present ions at m/z 82 and 182 that are presents in cocaine one. The ion at m/z 406 (M+-15) suggest that M+ is 421. The shift of the M+ at m/z 421, 30 amu more than m- and p- hydroxycocaine, suggested the addition of a methoxyl group (OCH3) to the structure. Ion at m/z 223 is according with methoxyhydroxybenzoyl ion. This is consistent with the hydroxymetoxycocaine metabolite (Fig. 3 D). It was not possible to assign the relative position of the ring´s substituents solely with the information obtained in the mass spectrum, are required some spectroscopies analysis as RMN.
Cocaethylene. Mass spectrum corresponding to chromatographic peak 2 (Fig. 1) shows a signal at m/z 317; 14 amu more than cocaine´s molecular ion, this is consistent with the M+ of the cocaethylene – TMS. Ions at m/z 82 and 105 are indicative of the cocaine bicyclic structure, besides benzoyl ion is present. The absence of the ions at m/z 182 and 198, present in the cocaine´s spectrum, indicates that there is no methyl ester in this structure. The shift of these ions to m/z 196 and 212 respectively is consistent with the presence of ethyl ester group in this chemical structure. The fragment at m/z 272 can be explained as an initial loss of an ethyl radical group (OCH2CH3) from the molecular ion (Fig. 2 E).
p- and m- hydroxycocaethylene isomers. Peaks 5 y 10 (Fig. 1) gave very similar mass spectrum which is consistent with the spectrum for m- and p- isomers. These mass spectra show the same abundant ions at m/z 82 and 196 that are present in cocaethylene spectrum, indicating that it is a bicyclic structure and ethyl ester group is present. Ion at m/z 390 (M+-15), suggests that M+ is 405. The shift of m/z 405 (M+) and m/z 360 (M+ - (.OCH2CH3), 88 amu higher than cocaethylene – TMS, is consistent with cocaethylene´s hydroxylated metabolites. Ion at m/z 193 (hydroxybenzoyl ion) confirm that these metabolites are m- and p-arylhydroxylated (Fig. 2 F and G). Intensity of the ions showed small differences in its relative abundance with exception of ion at m/z 193 which showed a pronounced difference (Table 2). Based on the formation of a resonance form similar to structure A (Fig. 3) it could be suggested that peak 5 (Fig. 1) belongs to m-hydroxycocaethylene–TMS, while peak 10 (Fig. 1) belongs to p-hydroxycocaethylene–TMS. The behavior of its RT was according to cocaine´s hydroxylated metabolites.
Hydroxymetoxycocaethylene. Mass spectrum corresponding to chromatographic peak 12 (Fig. 1) shows a signal at m/z 435 that represents M+, 30 amu more than hydroxycocaethylenes this is consistent with the addition of a methoxyl group (.OCH3) to the structure. Ion at m/z 223 is in correspondence with methoxyhydroxybenzoyl ion which is also present in hydroxymetoxycocaine´s spectrum (Fig. 2 H).
Chromatographic peak 2, 5, 10 and 13 (Fig. 1) were identified as cocaethylene, p-, m- hydroxycocaethylene and hydroxymetoxycocaethylene, respectively. These cocaine´s metabolites are found in urine only when is consumed simultaneously with ethanol. Mass spectra of these metabolites are characterized by the presence of the ion at m/z 196.
Benzoylecgonine. Chromatographic peak 3 (Fig. 1) was the major cocaine´s metabolite found in the analyzed samples. (Fig. 2 I) shows fragmentation pathway proposed, ions at m/z 82 and 105, are indicating that cocaine bicyclic structure and benzoyl ion are present. In this case ion at m/z 240 is observed instead of m/z 182. This is consistent with absence of the methyl ester structure and with the presence of carboxylic acid structure. Ion at m/z 361 can be identified as M+, because signal at m/z 346 belongs to M+-15 characteristic of TMS derivatives.
p- or m- and orto (o-) hydroxybenzoylecgonine isomers. Peaks 6 and 9 (Fig. 1) show the same abundant ions at m/z 82 and 240 that are present in the benzoylecgonine mass spectrum. Additionally, in both spectra are present ions at m/z 449 and 434 that were identified as M+ and M+-15. An ion, M+ at m/z 449 (88 amu higher than benzoylecgonine – TMS) is consistent with benzoylecgonine´s hydroxylated metabolites (Fig. 2 J and K). It was suggested that are isomers but no m- and p- isomers because the spectra are not similar to one another.
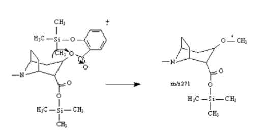
Although are present the ions at m/z 449, 434, 240 and 82 in both mass spectra, other ions throughout the spectra are different, e.g. ions at m/z 165 and 193 are present in Fig. 2 J whereas in Fig. 2 K appear ions as m/z 271 and 361. This finding could be explain taking account that the isomer which its spectrum showed the ion at m/z 193 could be identified as m- or p-isomer because of the corresponding to a form similar to structure A (Fig. 2). Whereas that Fig. 2 K concern to the o-isomer based in the ion at m/z 271 formed by a methyl radical transfer (Fig. 4) only possible when the O – TMS group is in ortho position.
Cinnamoilbenzoylecgonine. The last compound was identified as cinnamoilbenzoylecgonine –TMS. The mass spectrum from chromatographic peak 7 (Fig. 1) shows ions at m/z 82 and 240, as does benzoylecgonine shows. Differences arise because the presence of the ethylene group in cinnamic acid results in an increase of 26 amu. Thus the M+ shifts at m/z 387 from 361, the benzoyl ion at m/z 105 becomes the cinnamoil ion at m/z 131 and the phenyl ion becomes the styryl ion at m/z 103 (Fig. 2 L). Two of the minor alkaloids frequently encountered in illicit cocaine sample are cis- and trans-cinnamoilcocaine these substances confirm the natural origin of cocaine.20

CONCLUSION
A simple methodology based on a liquid-liquid extraction with high recoveries percent for cocaine and benzoylecgonine was successfully validated. Cocaine and 11 of its metabolites have been identified in the urine specimens from two deceased that have been consumed cocaine and ethanol in lethal dosages. The structures of the metabolites were assigned analyzing the TMS derivatives’ mass spectrum, this spectrum showed sufficient characteristic ions. The characterization of these spectum will improve the libraries reference spectra of the antidoping laboratory. The method enabled to detect a metabolite of cinnamoilcocaina alkaloid which is useful to determine the origin of cocaine.
BIBLIOGRAPHIC REFERENCES
1. Clauwaert K., Lamber W., and De Leenheer A. High performance liquid Chromatographic Determination of Cocaine and Its Main metabolites in Biological Samples: A review, J liq Chromatogr., 18(11), 2097-2114, 1995.
2. Karine M., Cauwarert J., van Bocxlaer, Willy E., and De Leenheer A. Segmental analysis for cocaine and metabolites by HPLC in hair of suspected drug overdose cases. Forensic Sci. Int., 110, 156-166, 2000.
3. Karine M., Jan F., Van Bocxlaer, Willy E. L and De Leenheer A. Liquid Chromatographic Determination of Cocaine, Benzoylecgonine, and Cocaethylene in Whole Blood and Serum Samples with Diode-Array Detection. J Chomatogr Sci., 35 321-328, 1997.
4. Karine M., Jan F., Van Bocxlaer, Willy E. L., Elfriede G., Van den Eeckhout, Lemiere F., Esmans E. L. and De Leenheer A. Narrow-Bore HPLC in Combination with Fluorescence and Electrospray Mass Spectrometric Detection for analysis of cocaine and metabolites in Human Hair. Anal. Chem., 70, 2336-2344, 1998.
5. De la Torre R., Ortuño J., Gonzalez M. L., Farré M., Camí J. and Segura J. Determination of Cocaine and Its Metabolites in Human Urine by Gas Chromatography/Mass Spectrometry after Simultaneous use of cocaine and ethanol, J. Pharm. Biomed Anal., 13(3), 305-312, 1995.
6. Parker R.B. and Casey Laizure S. The effect of Ethanol on Oral Cocaine Pharmacokinetics Reveals an Unrecognized class ethanol-mediated Drug Interactions, Drug Metabolism and Disposition, 38(2), 317-322, 2009.
7. Scheidweiler K. B., Plessinger M.A., Shojaie J., Wood R. W. and Kwong T. C. "Pharmacokinetics and Pharmacodynamics of Methylecgonidine, a Crack Cocaine Pyrolyzate". J. Pharm. Exp. Ther., 307(3), 1179, 2003.
8. Miller S. R., Salo A. L., Boggan W. O., and Patrick K. S. Determination of plasma cocaine and ethylcocaine (cocaethylene) in mice using chromatography-mass spectrometry and deuterated internal standards, J Chromatogr A, 656, 335-345, 1994.
9. Moody D. E. and Cheever M. L. Evaluation of Immunoassays for Semi quantitative Detection of Cocaine and Metabolites or Heroin and Metabolites in extracts of Sweat Patches, J. anal. Toxicol., 25 190-197, 2001.
10. Bailey M.J., Bradshaw R., Francese S., Salter T L. Rapid detection of cocaine, benzoylecgonine and methylecgonine in fingerprints using surface mass spectrometry. Analyst, , 140, 6254-6259, 2015.
11. Montes de Oca R., Correa T. and Martinez D., Development and Validation an Analytical Method for the Simultaneous Determination of Benzoylecgonine and Ecgonine Methyl Ester in Human Urine by Gas Chromatography/ Mass Spectrometry, Lat. Am. J. Pharm., 29(5), 795 – 799, 2010.
12. Ortuño J., De la Torre R., Segura J. and Camí J. Simultaneous detection in urine of cocaine and its main metabolites. J. Pharm. Biomed Anal., 8, 911-914, 1990.
13. Jeanville P. M., Woods J. H., BraidIII T. J. and Estapé E.S. Direct determination of ecgonine methyl ester and cocaine in rat plasma, utilizing on line sample extraction coupled with rapid Chromatography/ quadrupole orthogonal acceleration time-of- flight detection. J. Pharm. Biomed Anal., 23, 897-907, 2000.
14. Jeanville P. M., Estapé E.S., Torres-Negron I. and Martí A. Rapid Confirmation of ecgonine methyl ester, Benzoylecgonine, and Cocaine in Urine Using On-Line extraction Coupled with Fast HPLC and Tandem Mass Spectrometry. J. Anal. Toxicology, 5, 69-75, 2001.
15. Saveta D., Vlase L., Leucuta S., Loghin F. Determination of cocaine and benzoylecgonine in human plasma by LC-MS/MS. FARMACIA, 57(3), 301-308, 2009.
16. NC ISO/IEC 17025. Requisitos Generales Para La Competencia De Los Laboratorios De Ensayo Y De Calibración [ISO/IEC 17025:2005] Corrigendum Técnico 1: 2006.
17. Rontani J. F. and Aubert C. Trimethylsilil transfer during electron ionization mass spectral fragmentation of ω- hydroxycarboxylic and ω- dicarboxylic acid trimethylsilil derivatives: effect of chain length. Rapid Comm. Mass Spectrom.,18, 1-7, 2004.
18. Yue J. and Foltz R. L. Cocaine metabolism in man: Identification of four previously unreported cocaine metabolites in human urine. J. Anal Toxicol, 14, 201-205, 1990.
19. Ceraulo L., et al. Studies in organic mass spectrometry, Part 20: a hidden ortho effect in the electron ionization mass spectra of some 2’- alkyl substituted 2- and 3- thiophenecarboxanilides. Eur. Mass Spectrom., 2, 49-55, 1996.
20. Floriani G., Cleverson J., Pontarolo R., Gonçalves G. Development and validation of an HPLC-DAD method for simultaneous determination of cocaine, benzoic acid, benzoylecgonine and the main adulterants found in products based on cocaine. J. Forensic Sci., 235, 32–39, 2014.
Author notes