Bioquímica
Metabolic modeling and comparative biochemistry in glyoxylate cycle
Modelagem metabólica e bioquímica comparativo no ciclo do glioxilato
Metabolic modeling and comparative biochemistry in glyoxylate cycle
Acta Scientiarum. Biological Sciences, vol. 38, no. 1, pp. 1-6, 2016
Universidade Estadual de Maringá
Received: 04 March 2015
Accepted: 27 October 2015
Abstract: Glyoxylate cycle in fatty acid catabolism enhances net production of oxaloacetate, a substrate for gluconeogenesis, in certain bacteria, invertebrates and oilseed in the growth stage. A theoretical model was developed to calculate ATP amount produced in each step of the catabolic pathway, taking into account the fatty acid’s hydrocarbon chain size. Results showed a decrease in energy efficiency in glyoxylate cycle when compared to animal metabolism. Although the glyoxylate cycle provides evolutionary adaptations, it determines a smaller amount of energy produced per carbon atom when compared to animal catabolism of fatty acids.
Keywords: catabolism, energy efficiency, acetyl-CoA oxidation.
Resumo: Em algumas bactérias, invertebrados e sementes em germinação, o ciclo do glioxilato no catabolismo de ácidos graxos permite a produção líquida de oxaloacetato, substrato para a gliconeogênese. Foi desenvolvido um modelo teórico para calcular a quantidade de ATP produzida em cada etapa desta rota metabólica, considerando o tamanho da cadeia hidrocarbonada do ácido graxo. Os resultados mostraram uma diminuição na eficiência energética do ciclo do glioxilato em relação ao metabolismo animal. Embora o ciclo do glioxilato confira adaptações evolutivas, ele determina uma menor quantidade de energía produzida por átomo de carbono em relação ao catabolismo animal de ácidos graxos.
Palavras-chave: catabolismo, eficiência energética, oxidação de acetil-CoA.
Introduction
The glyoxylate cycle bypasses the decarboxylation steps of Krebs cycle and causes the assimilation of liquid carbon from acetyl-CoA. Isocitrate lyase (EC 4.1.3.1) and malate synthase (EC 2.3.3.9) are the sole enzymes for this metabolic pathway. The glyoxylate cycle occurs in seed germination (Eastmond & Graham, 2001), in some invertebrates, such as C. elegans (Edwards, Copes, Brito, Canfield, & Bradshaw, 2013) and in microorganisms, such as E. coli (Nelson & Cox, 2009) and S. cerevisiae (Rezaei, Aslankoohi, Verstrepen, & Courtin, 2015). The pathway was described in 1957 during studies on microorganisms which grew on acetate and ethanol as carbon source (Kornberg & Krebs, 1957).
Acetyl-CoA in the glyoxylate cycle binds with oxaloacetate, respectively producing citrate and isocitrate. The latter produces glyoxylate and succinate in the reaction catalyzed by isocitrate lyase. Further, glyoxylate condenses with a second acetyl-CoA molecule in a reaction catalyzed by malate synthase, after the malate produced is oxidized to oxaloacetate and thus regenerating the intermediate (steps B-1 to B-5, Figure 1). Two acetyl-CoA molecules are introduced at each repetition of the glyoxylate cycle and the liquid synthesis of one succinate molecule occurs (Beeckmans, 2009; Berg, Stryer, & Tymoczko, 2015; Torres & Marzzoco, 2007).
Further, carbohydrates produced from reserve lipids in oilseeds are distributed to the plant and utilized as carbon source until the chloroplasts begin to differentiate in the folioles and start photosynthesis. Fats and oils are important chemical structures in the carbon storage of many seeds, albeit in a reduced form, comprising important agronomical species such as soybean, peanut, cotton and sunflower (Junqueira, 2012). Lauric (12:0), myristic (14:0), palmitic (16:0) and stearic (18:0) acids are the most important saturated fatty acids in vegetables; whereas unsaturated acids are oleic acid (18:1(Δ9)), linoleic acid (18:2(Δ9, 12)) and linolenic acid (18:3(Δ9, 12, 15)) (Taiz & Zeiger, 2002).

Fatty acids with a pair number of carbons do not result in carbohydrate synthesis in animals (Nelson & Cox, 2009). This fact occurs because there is no net production of oxaloacetate to support gluconeogenesis since, in this case, fatty acids are catabolized to acetyl-CoA. The intermediate is oxidized in Krebs cycle, and for every two carbons that enter as acetyl-CoA, two carbons are lost as CO2 (Eastmond & Graham, 2001; Nelson & Cox, 2009).
The absence of the glyoxylate cycle in mammals may be a target of selective toxicity in the development of antimicrobial agents. The inhibitory activity of 3-nitropropionamides on isocitrate lyase in M. tuberculosis (Sriram et al., 2011), bromophenols (Oh et al., 2010) and alkaloids from sponges on isocitrate lyase in C. albicans (Lee et al., 2008; Oh et al., 2010) have been analyzed.
There are no data in the literature on the energetic aspects involving lipid catabolism via the glyoxylate cycle. In this context, the present research investigated the relation between the amount of energy produced in the glyoxylate cycle, with fatty-acid-chain size, and compared energy efficiency in cells that use this approach, with the animal cells lacking the glyoxylate cycle.
Material and methods
An energy balance of steps with production and consumption of energy was performed to obtain an equation that relates directly the chain size of a fatty acid with a carbon number multiple of 4, with the energy produced by its degradation. In the generated equation, the energy cost involved in the activation of the fatty acid for acyl-CoA was not accounted. It is a step prior to β-oxidation and involves the breaking of two high-energy phosphate bonds.
The proposed equation was validated by comparing ATP amount obtained by its application, with ATP rates obtained by the addition of ATP amount produced by oxidative phosphorylation and substrate level phosphorylation in each step of the metabolic pathways that participate in the fatty acid degradation involving the glyoxylate cycle. The fatty acid degradation involves β-oxidation in glyoxysomes, glyoxylate cycle, Krebs cycle, part of gluconeogenesis and glycolysis, the pyruvate decarboxylation and again Krebs cycle (Figure 1).
The energy efficiency of fatty acids’ degradation involving the glyoxylate cycle was compared with fatty acids’ catabolism in animal cells. Equations previously validated were used in this comparison and the energy amount produced in the β-oxidation as occurs in animals was calculated (Gonçalves, Valduga, & Pereira, 2012), coupled to equations developed in current research. The energy efficiency factor in glyoxylate cycle (E%) was defined by the ratio of ATP produced in fatty acid catabolism taking into account the glyoxylate cycle and animal catabolism. The parameter was plotted against the number of carbon atoms of fatty acid. Furthermore, ATP rate produced by CH2 unity was represented as a function of the number of carbons of the fatty acid chain. GrapPad Prism 6.0 generated the mathematical models that represented relationship among the variables.
Results and discussion
The mitochondrial matrix is the main site where the oxidation of fatty acids occurs in animal cells. However, the catabolism of these biomolecules occurs mainly in the peroxisomes of foliar tissues and in glyoxysomes during the plants’ seed germination (Buchanan, Gruissem, Vickers, & Jones, 2015). The degradation of fatty acids in glyoxysomes includes the metabolic pathways shown in Table 1.
Parallel to energy production, the conversion of fatty acids into carbohydrates has other functions such as the production of structural polysaccharides and nucleotides through the pentose phosphate pathway (Nelson & Cox, 2009). Regarding energy gain, the shorter and more energetically economical way, probably selected by evolution, includes gluconeogenesis until phosphoenolpyruvate (step D-3 in Figure 1), degraded by the glycolytic pathway.
Amount of energy (ATP) produced during the glyoxysomal degradation of fatty acids
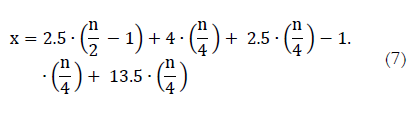
ATP amount (x) resulting from glyoxysomal degradation of fatty acids with carbon number multiple of 4, followed by gluconeogenesis until phosphoenolpyruvate and its catabolism, to produce energy, may be calculated by the sum of ATP rates produced and consumed in β-oxidation (ATP β-OX), glyoxylate cycle (ATP C GLYOX), Krebs cycle (ATP C KREBS), gluconeogenesis (ATP OXAL-PEP) and glycolysis / Krebs cycle again (ATP PEP-CO2), according to Equation (1):

Each break of carbon-carbon bond during β-oxidation in glyoxysomes and peroxisomes produces one NADH which, in oxidative phosphorylation, produces 2.5 ATPs (step A-3 in Figure 1). In peroxisomes, the electron energy removed during the first step of β-oxidation is dissipated as heat (step A-1 in Figure 1).

Therefore, there is no net energy from the FADH2 oxidation (Buchanan et al., 2015). Since α carbon is esterified with coenzyme A, the β-oxidation occurs
times, where n is the carbon number in the fatty acid chain. The ATPs amount produced by β-oxidation in glyoxylate cycleis given by Equation (2):

For every two acetyl-CoA molecules directed to the glyoxylate cycle, there is a net production of one succinate molecule, which corresponds to half the acetyl-CoA amount, so that n/4 succinate molecules are produced. In the Krebs cycle, the succinate is oxidized to oxaloacetate, producing 1 FADH2 and 1 NADH which produces 4 ATP in oxidative phosphorylation (steps C-6 and C-8, Figure 1). This value multiplied by n/4 succinate molecules is expressed by Equation (3), which represents the ATP amount produced first in the Krebs cycle:

The regeneration of oxalacetate in glyoxylate cycle involves malate oxidation, which produces 1 NADH that yields 2.5 ATPs in oxidative phosphorylation (step B-5 in Figure 1). Consequently, the amount of energy (ATP) produced in glyoxylate cycle may be expressed by Equation (4):

Excess oxaloacetate produced in Krebs cycle may be directed to gluconeogenesis. In order to produce energy, the gluconeogenesis occurs in the phosphoenolpyruvate formation, with 1 GTP spent (step D3 in Figure 1), expressed in Equation (5). The gluconeogenesis continuation for the formation of metabolites derived from hexose is an important process in germinating seeds (Buchanan et al., 2015; Eastmond & Graham, 2001; Quettier & Eastmond, 2009):

Phosphoenolpyruvate catabolism involves a substrate-level phosphorylation which produces pyruvate (step E-1, Figure 1), oxidative decarboxylation of pyruvate (step F-1) with 1 NADH production, and acetyl-CoA oxidation to CO2. In acetyl-CoA oxidation, the production of 3 NADH, 1 FADH2 and 1 GTP corresponds to 10 high energy phosphate bonds. This value added to the substrate level phosphorylation and oxidative phosphorylation associated with the NADH generated decarboxylation of pyruvate, totaling 13.5 ATP (Equation 6).

Substituting Equations (2), (3), (4), (5) and (6) in Equation (1), Equation (7) is obtained. When simplified algebraically, Equation (8) establishes a direct ratio between the amount of energy produced (x) and the size of the fatty acid chain (n).

Validation of Equation (8) to calculate the energy (ATP) produced by fatty acids degradation through the glyoxylate cycle
So that Equation (8) may be validated, the ATP amount, obtained from its application, was compared with the ATP amount calculated individually from the sum of acetyl-CoA, NAHD and FADH2 molecules number, and substrate level phosphorylation, generated in the oxidation of fatty acids with specific numbers of carbon atoms in glyoxysomes (Table 2). In both conditions, the ATP amounts obtained are equivalent. Taking these equivalent results into consideration, the equation developed in current study determined the energy amount produced in lipid catabolism, considering the integration of metabolic pathways that involves more than twenty steps.

Furthermore, the energetic balance for generating equations, followed by their validation, may be an important tool for the analysis of different metabolic pathways. In Biochemistry, aspects such as stoichiometric relations in metabolic pathways may be approached using the results in current research.

Comparison between efficiency of fatty acids’ degradation by glyoxylate cycle and animal catabolism
According to previous studies, the amount of energy in animal cells produced in ATP by fatty acids´ degradation with carbons pair number may be algebraically related to the chain size of the fatty acid. This relation is expressed by Equation (9) (Gonçalves et al., 2012), which may be compared to Equation (8) developed in current study. The two equations may be employed to compare energy efficiency between ß-oxidation in animal cells and organisms cells, where the glyoxylate cycle occurs.

By dividing Equation (8) by Equation (9) and multiplying by 100, the percentage efficiency (E%) of fatty acid degradation to produce energy is obtained, in relation to animal catabolism, as expressed by Equation (10).

Plotting E% against fatty acid chain length (Figure 2) verifies that the efficiency decreases with increase in the hydrocarbon chain. Furthermore, the energy obtained from fatty acids oxidation in cells with glyoxylate cycle reaches less than 90% of the energy level that would be generated by the similar route in an animal cell.
ATP rate produced per oxidized carbon atom (ATP/n) is also dependent of the fatty acid’s length chain, at a maximum rate close to six ATP/n (Figure 3-a), whereas this rate is higher in animal cells (Figure 3-b).

Contrastingly to animals, vegetables and some microorganisms are able to convert the acetyl-CoA from fatty acids’ oxidation into sugars. The organisms combine the glyoxylate cycle and gluconeogenesis reactions, which are compartmentalized between glyoxysomes / peroxisomes, mitochondria and cytosol. This feature gives higher metabolic versatility, allowing bacteria to utilize acetate as energy source and plants to store lipids in the seeds as energy source to be used during germination.

Conclusion
The degradation of fatty acids by the glyoxylate cycle for the production of energy involves β-oxidation, with its particular characteristics in glyoxysomes, glyoxylate cycle, Krebs cycle, gluconeogenesis and glycolysis. In spite of these steps and metabolic pathways, a stoichiometric relationship between fatty acids’ chain length and energy amount produced in its degradation may be established in algebraic terms.
The comparison between the stoichiometry energetic involved in these metabolic pathways and the stoichiometry energetic of β-oxidation as occurs in animal cells, shows a reduction in energy efficiency, when compared to animal metabolism. While the bypass of decarboxylation reactions of Krebs cycle confers evolutionary adaptations to the organisms when present, it also determines a lesser energy amount generated per carbon atom when compared to the fatty acids’ degradation in animals.
References
Beeckmans, S. (2009). Glyoxylate Cycle A2 - Schaechter, Moselio Encyclopedia of Microbiology (3rd ed., p. 159-179). Oxford, UK: Academic Press.
Berg, J. M., Stryer, L., & Tymoczko, J. L. (2015). Stryer Biochemie. New York, USA: Springer-Verlag.
Buchanan, B. B., Gruissem, W., Vickers, K., & Jones, R. L. (2015). Biochemistry and molecular biology of plants. Berkeley, USA: John Wiley & Sons.
Eastmond, P. J., & Graham, I. A. (2001). Re-examining the role of the glyoxylate cycle in oilseeds. Trends in plant science, 6(2), 72-78.
Edwards, C. B., Copes, N., Brito, A. G., Canfield, J., & Bradshaw, P. C. (2013). Malate and fumarate extend lifespan in Caenorhabditis elegans. PloSone, 8(3), e58345.
Gonçalves, I., Valduga, A., & Pereira, A. (2012). Energy Stoichiometry of Fatty Acids. Perspectiva Erechim, 36(133), 139-150.
Junqueira, J. C. L. C. (2012). Biologia Celular e Molecular (9a ed.). Rio de Janeiro, RJ: Guanabara Koogan.
Kornberg, H., & Krebs, H. (1957). Synthesis of cell constituents from C2-units by a modified tricarboxylic acid cycle. Nature, 179(4568), 988-991.
Lee, D., Shin, J., Yoon, K.-M., Kim, T.-I., Lee, S.-H., Lee, H.-S., & Oh, K.-B. (2008). Inhibition of Candida albicans isocitrate lyase activity by sesterterpene sulfates from the tropical sponge Dysidea sp. Bioorganic & medicinal chemistry letters, 18(20), 5377-5380.
Nelson, D. L., & Cox, M. M. (2009). Lehninger Principles of Biochemistry. Madson, USA: WH Freeman,
Oh, K.-B., Jeon, H. B., Han, Y.-R., Lee, Y.-J., Park, J., Lee, S.- H., …. Lee, H.-S. (2010). Bromophenols as Candida albicans isocitrate lyase inhibitors. Bioorganic & medicinal chemistry letters, 20(22), 6644-6648.
Quettier, A.-L., & Eastmond, P. J. (2009). Storage oil hydrolysis during early seedling growth. Plant Physiology and Biochemistry, 47(6), 485-490.
Rezaei, M. N., Aslankoohi, E., Verstrepen, K. J., & Courtin, C. M. (2015). Contribution of the tricarboxylic acid (TCA) cycle and the glyoxylate shunt in Saccharomyces cerevisiae to succinic acid production during dough fermentation. International Journal of Food Microbiology, 204, 24-32. doi:10.1016/j.ijfoodmicro.2015.03.004
Sriram, D., Yogeeswari, P., Methuku, S., Vyas, D. R. K., Senthilkumar, P., Alvala, M., & Jeankumar, V. U. (2011). Synthesis of various 3-nitropropionamides as Mycobacterium tuberculosis isocitrate lyase inhibitor. Bioorganic & Medicinal Chemistry Letters, 21(18), 5149-5154.
Taiz, L., & Zeiger, E. (2002). Plant Physiology. Sanderland, MA: Sinauer Associates.
Torres, B., & Marzzoco, A. (2007). Bioquímica básica. Rio de Janeiro, RJ: Guanabara Koohan.
Notes
Author notes