Ecologia e Limnologia
Trophic structure of fish assemblages associated with macrophytes in lakes of an abandoned meander on the middle river Purus, brazilian Amazon
Estrutura trófica das assembleias de peixes associadas às macrófitas aquáticas em lagos de meandro abandonado no médio rio Purus, Amazônia brasileira
Trophic structure of fish assemblages associated with macrophytes in lakes of an abandoned meander on the middle river Purus, brazilian Amazon
Acta Scientiarum. Biological Sciences, vol. 38, no. 1, pp. 37-46, 2016
Universidade Estadual de Maringá
Received: 24 August 2015
Accepted: 17 February 2016
Abstract: The trophic structure of fish assemblages associated with banks of aquatic macrophytes in abandoned meander lakes on the river Purus is investigated. Comparisons between lakes and between different periods of the hydrological cycle are undertaken. Fish samples were collected in six lakes during the rainy (February), ebb (May) and dry (September) season in 2012. Fish stomach contents were analyzed by frequency of occurrence and volume methods, combined in the Feeding Index (IAi). Fish species were included in nine trophic categories, based on IAi rates. The richness and abundance of fish species, by trophic category, was influenced by temporal variations, with no significant spatial variation. Some species changed their diets and were included in different trophic categories according to the period and lake under analysis. Specialist species have also been identified, but failed to change their diets. Differences may be due to the characteristics of macrophytes banks and to the flooding regime which change the availability of food resources.
Keywords: diet, neotropical ichthyofauna, spatial variation, temporal variation.
Resumo: Este trabalho teve como objetivo caracterizar a estrutura trófica das assembleias de peixes associadas às macrófitas aquáticas em lagos de meandro abandonado, localizados no rio Purus, comparando-as entre os lagos e entre os períodos do ciclo hidrológico. Foram realizadas amostragens de peixes em seis lagos nos períodos de chuva (Fevereiro), vazante (Maio) e seca (Setembro), no ano de 2012. O conteúdo estomacal dos peixes foi analisado utilizando os métodos de frequência de ocorrência e de volume, combinados no Índice Alimentar (IAi). As espécies de peixes foram incluídas em nove categorías tróficas, com base nos valores de IAi. A riqueza e a abundância de espécies de peixes, por categoria trófica, sofreu influência temporal, porém não houve variação espacial significativa. Algumas espécies modificaram suas dietas e foram incluídas em diferentes categorias tróficas, de acordo com o período e lago estudado. Espécies especialistas também foram identificadas, essas não modificaram suas dietas. As diferenças encontradas podem ser resultado das características dos bancos de macrófitas e do regime de inundação, que muda a disponibilidade de recursos alimentares para os peixes.
Palavras-chave: dieta, ictiofauna neotropical, variação espacial, variação temporal.
Introduction
There are several factors that influence population dynamics and interactions between species, the most important of which are physical factors and seasonal changes in habitat quality. The dominant seasonal change in the Amazon basin comprises the fluctuation in river levels coupled to the flat topography of most of the basin, annually flood and drain large areas of the floodplain (Junk, 1993). The annual sequence of dynamic hydrological changes seasonally impacts community structure and ecosystem functioning (Agostinho, Gomes, Veríssimo, & Okada, 2004).
In regions with extensive river-floodplain systems, the trophic structure of fish assemblage is influenced qualitatively and quantitatively by the hydrological regimes (Lowe-McConnell, 1999), since food source organisms also experience changes due to water level fluctuations (Algarte, Siqueira, Murakami, & Rodrigues, 2009). The abundance of food resources during flooding is high since great quantities of allochthonous material from the flooded shoreline vegetation are incorporated into the aquatic environment. On the other hand, the availability of food resources decreases in the low water season (Abelha, Agostinho, & Goulart, 2001).
Changes in fish diets may also be induced by spatial variation within the habitat which determines foraging opportunities. Consequently, the availability of resources for a species may be different and depend on the habitat in which it lives (Hajisamae, 2009). While some Amazonian fish species have a restricted diet, most have a broad trophic adaptability. Therefore, it is not surprising that specimens of the same species but from different environments have different eating habits. Specimens in a population may differ in their diets even when they occur in the same environment. This individual variation is called “individual specialization” (Bolnick et al., 2003).
Banks of aquatic macrophytes cause most of the primary production in aquatic food webs in the Amazon, not only because of their own productivity but due to the fact that their submerged structures act as substrates on which layers of debris, algae and bacteria establish themselves. Since they are colonized by many taxa of invertebrates (Rodrigues & Bicudo, 2004), a concentration of food resources is provided, subsequently used by a wide variety of fish species (Pelicice & Agostinho, 2006).
A study of fish diets helps us understand how the ecosystem of which they are part is structured, providing an approximate description of the community and how energy flows through it. Further, information on the structure of assemblages and knowledge on fish diets provide data on habitat preference, food availability in the study environment and on aspects of fish behavior (Luz-Agostinho, Bini, Fugi, Agostinho, & Júlio, 2006).
Current study evaluates the temporal and spatial variations in the trophic structure of fish assemblages associated with aquatic macrophytes in six abandoned meander lakes on the middle river Purus. Specifically, current discussion tries to answer the following questions: (i) Does the water level of the river Purus influences the diet of fish species associated with banks of aquatic macrophytes? (ii) Is there any spatial and temporal variation in the trophic structure of fish assemblages associated with these macrophytes?
Material and methods
Study área
The basin of the Purus river in southwestern Amazonia is a white water system, with a total area of approximately 376,000 km² (Ana, 2016). It has extensive floodplains that cover almost 200,000 km² at their peak (Junk, 1993). Current study was conducted on the margins of six abandoned meander lakes on the middle Purus river, between the municipalities of Boca do Acre (8° 42’ 39.75” S; 67° 23’ 20.40” W) and Pauini (7° 44’ 33.32” S; 67° 1’ 20.35” W). The lakes are Flor do Ouro, Lake Verde, Bom Lugar, Cametá, Santana and Itapira (Figure 1). The climate of the area is hot and humid with two distinct rainy and dry seasons.
Sampling
Samples of fish and macrophytes were collected during the rainy, ebb and dry seasons, respectively in February, May and September 2012. Five macrophytes banks in each lake were sampled. Banks had the same species composition of macrophytes. The macrophytes were sampled with a 0.5 x 0.5 m floating quadrat placed randomly three times in each macrophyte bank. Relative abundance of macrophytes was evaluated by visual estimation of the percentage coverage of each species within the square, transformed into a scale following Braun-Blanquet (1979) (1: <5%, 2: 6-25%, 3: 26-50% 4: 51-75, 5: 76-100%). Macrophyte species did not differ from one another between banks of the same lake, although each lake is characterized by the predominance of certain species (Table 1).
Fish were sampled from five macrophytes banks on each lake, using a 4 m² seine floating net, mesh 0.5 cm, held by two people at the edges. The net was dragged beneath the macrophyte bank, and then hoisted to the surface to remove the trapped fish. This was repeated 12 times at each bank, six times in the morning and six in the evening. Some specimens of fish were fixed in formalin 10% and specimens of all sampled species were deposited as vouchers in the Coleção Ictiologia of the Universidade Federal do Acre (accessions Mufac-IC 936 - Mufac-IC 1020).


Data analysis
Diet was determined by stomach contents analyzed with a stereoscopic microscope. Two methods were used for each species to determine the diet: 1) relative volume (Vi), estimated according to Soares (1979); and 2) occurrence frequency (fo) determined by method by Hynes (1950), with the formula: Fo = Ni N*100-1, where Ni = number of stomachs with ith item; N= number of stomachs with food. Species represented by only one specimen were not taken into account for diet analysis.
Each species’s diet was determined by calculating the Food Index (IAi) (Kawakami & Vazzoler, 1980), which provided the relative importance of each food item to be calculated. The index uses FO and Vi rates and formula: IAi = Fi.Vi Σ(Fi.Vi)-1, where Fi = frequency of occurrence of the ith item, and Vi = relative ith item volume (Ferreira, 1993). The species’s trophic categories were based on Food Index rates (IAi), taking into account the items with values of IAi ≥ 50%, either singly or as a sum of two or more groups of similar items.
Procrustes method (Peres-Neto & Jackson, 2001), used to assess the degree of concordance between species composition of fish and aquatic macrophytes, compares two ordination results to minimize the residual of the sum of squares between scores of the two ordinations. The agreement is assessed by m² statistic, which is a measure of adjustment between the two measures. m2 rates are transformed to Procustes correlation (r) by calculating the square root of the residuals (Oksanen et al., 2011) to simplify the interpretation of results. Ordinations used for different taxonomic groups were generated with principal coordinates analysis (PCoA) calculated from Bray-Curtis distance matrices (for data abundance of fish and macrophytes). The significance of m2 rates was tested by randomizing procedure of 10,000 permutation (Jackson, 1995).
The similarity of the trophic structure of fish assemblage between the six lakes and between the three hydrological periods was checked with ordination, using Non-Metric Multidimensional Scaling (MDNS) (Kruskal, 1964). Two analyzes were performed: one used fish species richness by trophic category; the other used the abundance in the number of specimens of fish per trophic category, via similarity matrices calculated by Bray-Curtis Index. To assess whether there was significant temporal and spatial differences in richness and abundance of fish per trophic category, a Permanova (Permutational Multivariate Analysis of Variance) analysis was performed, using the Bray-Curtis index (Anderson, 2001). When significant results were generated, post-hoc pair-wise contrasts were performed to establish where differences occurred. A Percentage Similarity Analysis (Simper) was then performed to ascertain which trophic categories contributed most to the dissimilarity (Clarke & Warwick, 2001).
Using the rates of relative volumes of food items, the diets of the most abundant species were individually compared in space and time by the Non-Metric Multidimensional Scaling (NMDS) ordination technique, based Bray-Curtis similarity matrix. Analyses were performed with Primer-E program 6.0 (Clarke & Gorley, 2001) with R program, using vegan functions package (R Development Core Team, 2007).
Results
In all, 1,786 specimens of fish from seven orders, 23 families and 68 species were recorded during the study. The ebb period recorded the highest richness rates (44 species), followed by those of the dry (30 species) and rainy (27 species) seasons. Fish abundance was greater during the rainy season (1,394 specimens). There were 220 specimens in the ebb period and 172 specimens in the dry period. A relationship between species composition of fish and macrophytes was detected. The degree of concordance was higher during the dry season (PR = 0.61) and lower in the rainy one (PR = 0.51) (Table 2).

The number of species with diet analyzed (n =39) constituted 57.35% of the fish species captured. These were classified into nine trophic categories, namely: insectivorous - species consuming primarily aquatic and terrestrial insects; invertivorous – species consuming a combination of aquatic insects, terrestrial, unidentified insects and other invertebrates; larvivorous - species consuming primarily insect larvae; herbivorous – species consuming primarily parts of higher plants; algivorous - species predominantly consuming algae; detritivorous - species that consumed predominantly debris, a mixture of remains of plants and animals; zooplanktivous - species consuming mainly planktonic microcrustaceans; piscivorous: species consuming primarily fish and parts of fish; omnivorous - species that consumed animal and plant items (Table 3).

Temporal variation in species richness by trophic category was detected. The graphical representation of the ordination axes indicated separation between the hydrological periods (Stress = 0.14) (Figure 2a). Significant differences were reported between the periods (Permanova; Pseudo-F = 1.92; p = 0.04). The periods that differed were: ebb and rain (t =1.96; p = 0.01), and dry and rain (t = 1.45; p =0.02). There was no significant difference between the six sampled lakes (Permanova; Pseudo-F = 2.89, p = 0.97).
For the abundance of individuals by trophic category, the ordination analysis separated the hydrological periods (Stress = 0.11) (Figure 2b), and the results of Permanova (Pseudo-F = 1.99; p =0.032) indicated that there were significant differences between the rain and ebb seasons (t =1.25; p = 0.028), and the rain and dry seasons (t =1.96; p = 0.046). There was no significant difference between ebb and dry seasons (p = 0.89) and no significant difference between the six studied lakes (Pseudo-F = 0.671; p = 0.835).
Simper analysis shows that the dissimilarities between the rainy and ebb periods and between the rainy and dry periods were due to a greater number of fish species that fed on insect larvae and adult insects during the rainy season, and animal and plant items in the periods ebb and dry seasons. Larvivores (22.01%), insectivores (20.08%) and omnivores (14.07%) were the trophic groups that most contributed to the differences between rainy and ebb periods; whereas insectivores (25, 88%), larvivores (22.56%) and omnivores (13.48%) were those that most contributed between the rainy and dry periods.
Simper analysis indicated that the dissimilarities found between rainy and ebb and between rainy and dry seasons were due to greater abundance of fish that consumed larval and adult insects during the rainy season. The trophic groups that contributed most to dissimilarities between the rainy and ebb seasons were insectivores (33.32%) and larvivores (32.77%), whereas those that most contributed to dissimilarities between rainy and dry seasons were with insectivores (37.52%) and larvivores (31.00%).

The diet of the most abundant species reveals the presence of specialist and generalist species. The species that did not change their diets were the zooplanctivores Prionobrama filigera and Aphyocharax alburnus; the scavengers Prochilodus nigricans and Hypoptopoma gulare; the insectivores Serrasalmus rhombeus and Parauchenipterus galeatus; and the herbivorous Schizodon fasciatus.
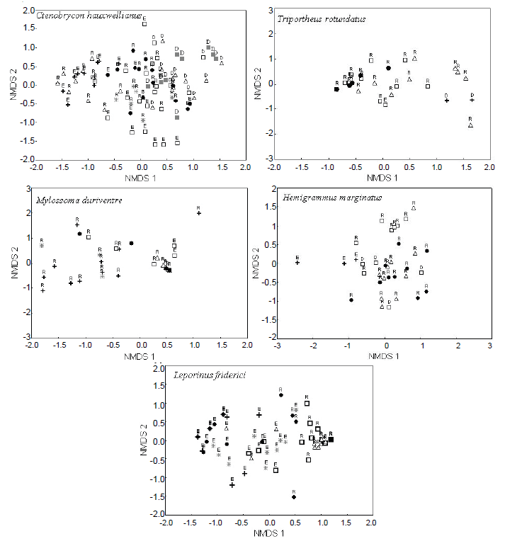
Ctenobrycon hauxwellianus, Triportheus rotundatus, Mylossoma duriventre, Hemigramus marginatus and Leporinus friderici had generalist diets, but were included in different trophic categories depending on the lake and hydrological period. The NMDS analysis indicated the separation between a few lakes and periods for the diet of these species. (Figure 3). In general, species had more restricted eating habits during the rainy season when they were classified as larvivorous, invertivorous, insectivorous or herbivorous. In ebb and dry periods, the same species had very broad habit and were classified as omnivorous.
Discussion
The great abundance of fish recorded in the rainy season and the low abundance recorded during the dry season are probably associated with the dynamics of the macrophyte banks, in its turn, influenced by fluctuations in water level. During the rainy period, all lakes contained extensive banks of aquatic macrophytes, mostly free-floating species. As the water levels lowered, there was a decrease in the size of macrophyte banks, which was accompanied by a reduction in the abundance of fish. It is known that great abundances of freshwater macrophytes lead to greater abundances of associated organisms (Tokeshi & Arakaki, 2012). According Schiesari et al. (2003), following rapid growth during the rainy season; macrophyte banks, especially floating species, are often disassociated with the fragments carried by the current to the main river channels, where they form large floating islands. These may transport downstream aquatic fauna, and are important in the distribution of several species of fish (Bulla, Gomes, Miranda, & Agostinho, 2011).
In the dry season, species of amphibious macrophytes were prevalent in the lakes, while the free-floating macrophytes showed low occurrence. Since amphibious or semiaquatic macrophyte species were able to live in the flooded areas and out of the water, they were favored during the dry season (Pedralli, 1990). Amphibious macrophytes in the dry season on the studied lakes were mainly colonizing the terrestrial environment, which decreased the environments that fish would occupy.
Invertivorous and insectivorous fish species were present throughout the hydrological cycle and in most lakes. Several studies have reported that invertebrates, especially insects, predominate in fish diets (Luz-Agostinho et al., 2006; Ximenes, Mateus, & Penha, 2011). Within banks of aquatic macrophytes, the community of invertebrates is quite abundant, and includes representatives of almost all major taxonomic groups (Ali, Mageed, & Heikal, 2007)

Other groups of invertebrates, such as annelids, nematodes and crustaceans are also part of the diet of invertivorous and insectivorous fish species. In fact, these groups are also important components of the fauna associated with macrophytes and abundant aquatic macrophytes in lentic ecosystems (Silva & Henry, 2013).
It is common for larvae of the family Chironomidae to be predominant in freshwater fish diets. Since these larvae may tolerate a wide range of environmental factors and inhabit different kinds of environments (Higuti & Takeda, 2002), their great frequency in the stomach contents of some of the fish species in this study is explained. However, larvae are consumed mainly during the rainy season. During ebb and dry seasons, fish consumed small amounts of larvae which may be related to the type of environment studied. In fact, aquatic macrophytes have a complex spatial structure and the small ramification spaces between roots provide shelter during floods and high current flow rates (Tokeshi & Arakaki, 2012). Another explanation is that during the rainiest months, macrophytes Banks increased in biomass, becoming environments with abundant resources for aquatic invertebrates. Pierre and Kovalenko (2014) registered a positive relationship between the biomass of macrophytes and the abundance of macroinvertebrates. Furthermore, when the waters recede from the floodplains, most macrophyte roots are exposed and become unfavorable structures for colonization by insect larvae.
The environments studied were characterized by low abundance of fish-eating species, which may be attributed to the fact that high densities of macrophytes decrease the prey-capturing efficiency of predators by reducing their eye contact with the prey, and also by hindering their movement (Priyadarshana, Asaeda, & Manatunge, 2001). Thus, the physical structure of macrophyte banks could reduce predation pressure (Thomaz & Bini, 2003). The ontogenetic aspect may also be extant, or rather, species that are generally considered piscivorous may not eat fish as juveniles or small adults – the very developmental stages during which they will inhabit the macrophyte mats (Sánchez-Botero & Araujo-Lima, 2001).
Generalist eating habits are common in several species of neotropical freshwater fish, especially in environments with marked seasonal variations, such as those associated with floodplains (Winemiller, Agostinho, & Caramaschi, 2008). Many species will switch from one food to another as fluctuations occur in the relative abundance of components in the food resource spectrum (Abelha et al., 2001). During the study, the species L. friderici, M. duriventre, C. hauxwellianus, H. marginatus and T. rotundatus all modified their diet, and were included in more than one trophic category. In the rainy season, these species were specialist feeders, whereas in low water periods they fed on different items of plant and animal origin, adopting generalist eating habits. Such changes are probably related to the fact that while food supplies are abundant during the rainy season, food availability decreases during the low water period (Lolis & Andrian, 1996). According to Odum (2010), the specialist species are more successful when food resources are abundant and renewable. However, when food resources are scarce, specialists become vulnerable and the generalist strategy becomes more advantageous (Abelha et al., 2001).
The macrophyte mats were simplified in periods of low water, both in size and in the composition of plant species, with a reduction of their structural complexity. This is a factor known to influence fish distribution in aquatic macrophytes (Thomaz, Dibble, Evangelista, Higuti, & Bini, 2008). It is expected that the macrophytes with greater structural complexity will offer greater abundance and diversity of food resources, as they have larger areas for the deposition of debris and for colonization by algae, bacteria and various invertebrates (Thomaz et al., 2008). While food resource availability has not been directly measured in the environment, the premise that fish are good trackers of resource availability has been adopted (Mérona, Vigouroux, & Horeau, 2003).
While some species exhibited feeding flexibility, others did not change their diet. The herbivory recorded in current paper for S. fasciatus was also reported by Santos (1981). S. fasciatus appears to be benefiting from the banks of aquatic weeds by feeding directly from these plants. Actually this is an abundant food source in all studied lakes and hydrological periods, as noted by Santos (1981), who found a predominance of the grass P. repens in the species’s diet. The zooplanctivoras species A. alburnos and P. filigera retained their eating habits across the sampling period, probably because their morphological adaptations for filtering give them little option (Pouilly, Lino, Bretenoux, & Rosales, 2003). According to Lewis (1987), lakes lying within the floodplains may provide efficient nutrient recycling and retention, which contribute towards increased local productivity. According to Lowe-McConnell (1999), increased productivity in tropical floodplain lakes are among the main factors that enabled the development of ichthyofauna with high trophic specialization in lakes in South America, Africa and Asia.
Conclusion
The trophic structure of fish assemblages in aquatic macrophyte banks appears to respond to multiple factors that act either directly on the fish, such as the availability of food, or indirectly on the structure of the macrophytes banks. Actually the trophic structure of the fish assemblages underwent spatial and temporal variations. Finally, results emphasize the importance of aquatic macrophytes as a habitat and as a feeding site for a variety of fish species in Amazonia.
References
Abelha, M. C. F., Agostinho, A. A., & Goulart, E. (2001). Plasticidade trófica em peixes de água doce. Acta Scientiarum. Biological Science, 23(2), 425-434.
Agostinho, A. A., Gomes, L. C., Veríssimo, S., & Okada, E. K. (2004). Flood regime, dam regulation and fish in the upper Paraná river: effects on assemblage attributes, reproduction and recruitment. Reviews in Fish Biology and Fisheries, 14(1), 11-19.
Algarte, V. M., Siqueira, N. S., Murakami, E. A., & Rodrigues, L. (2009). Effects of hydrological regime and connectivity on the interannual variation in taxonomic similarity of periphytic algae. Brazilian Journal of Biology, 69(2), 609-616.
Ali, M. M., Mageed, A. A., & Heikal, M. (2007). Importance of aquatic macrophyte for invertebrate diversity in large subtropical reservoir. Limnologica, 37(2), 155-169.
Agência Nacional de Águas (ANA). (2016). Região Hidrográfica Amazônica: A maior do mundo em disponibilidade de água. Recuperado em 2 de fev, 2016 de http://www2.ana.gov.br/Paginas/portais/bacias/amazonica.aspx
Anderson, M. J. (2001). A new method for nonparametric multivariate analysis of variance. Austral Ecology, 26(1), 32-46.
Bolnick, D. I., Svanbäck, R., Fordyce, J. A., Yang, L. H., Davis, J. M., Hulsey, C. D., & Forister, M. L. (2003). The ecology of individuals: incidence and implications of individual specialization. The American Naturalist, 161(1), 1-28.
Braun-Blanquet. (1979). Fitosociología: bases para el estúdio de las comunidades vegetales. Barcelona, ES: Blume.
Bulla, C. K., Gomes, L. C., Miranda, L. E., & Agostinho, A. A. (2011) The ichthyofauna of drifting macrophyte mats in the Ivinhema river, upper Paraná river basin, Brazil. Neotropical Ichthyology, 9(2), 403-409.
Clarke, K. R., & Gorley, R. N. (2001). Software Primer v5. Plymouth, UK: Primer-E.
Clarke K. R., & Warwick, R. M. (2001). Change in marine communities. An approach to statistical analysis and interpretation (2nd ed.). Primer-E: Plymouth Marine Laboratory. Retrieved from www.primere.com/Primary_papers.htm
Ferreira, E. J. G. (1993). Composição, distribuição e aspectos ecológicos da Ictiofauna de um trecho do rio Trombetas, na área de influência da futura UHE Cachoeira Porteira, estado do Pará, Brasil. Acta Amazônica, 23(1/4), 1-89.
Hajisamae, S. (2009). Trophic ecology of bottom fishes assemblage along coastal areas of Thailand. Estuarine. Coastal and Shelf Science, 82(3), 503-514.
Higuti, J., & Takeda, A. M. (2002). Spatial and temporal variation in of Chironomid larval (Diptera) in two lagoons and two tributaries of the upper Paraná river Floodplain, Brazil. Brazilian Journal of Biology, 62(4), 807-818.
Hynes, H. B. N. (1950). The food of freshwater sticklebacks (Gasterosteus aculeatus and Pygosteus pungitius) with a review of methods used in the studies of the food of fishes. Journal of Animal Ecology, 19(1), 36-58.
Jackson, D. A. (1995) PROTEST: a PROcrustean randomization TEST of community environment concordance. Ecoscience, 2(3), 297-303.
Junk, W. J. (1993). Wetlands of tropical South America. In D. Whigham, S. Hejnv, & D. Dykvjove (Eds.), Wetlands of the world (p. 679-739). Dordrecht, NL: Kluwer Academic Publishers.
Kawakami, E., & Vazzoler, G. (1980). Método gráfico e estimativa de índice alimentar aplicado no estudo de alimentação de peixes. Boletim do Instituto Oceanográfico, 29(2), 205-207.
Kruskal, J. B. (1964). Nonmetric multidimensional scaling: a numerical method. Psychometrika, 29(2), 115-129.
Lewis, W. M. Jr. (1987). Tropical Limnology. Annual Review of Ecology and Systematics, 18(1), 159-184.
Lolis, A. A., & Andrian, I. F. (1996). Alimentação de Pimelodus maculatus Lacépède, 1803 (Siluriformes, Pimelodidae), na planície de inundação do Alto Rio Paraná. Boletim do Instituto de Pesca, 23, 187-202.
Lowe-McConnell, R. H. (1999). Estudos ecológicos de comunidades de peixes tropicais. São Paulo, SP: Edusp.
Luz-Agostinho, K. D. G., Bini, L. M., Fugi, R., Agostinho, A. A., & Júlio, H. F. Jr. (2006). Food spectrum and trophic structure of the ichthyofauna of Corumbá reservoir, Paraná river Basin, Brazil. Neotropical Ichthyology, 4(1), 61-68.
Mérona, B., Vigouroux, R., & Horeau, V. (2003). Changes in food resources and their utilization by fish assemblages in a large tropical reservoir in South America (Petit-Saut Dam, French Guiana). Acta Oecologica, 24(3), 147-156.
Odum, E. P. (2010). Ecologia (2a ed.). Rio de Janeiro, RJ: Guanabara Koogan.
Oksanen, J., Blanchet, F. G., Kindt, R., Legendre, P., O’Hara, R. B., Simpson, G. L., … Wagner, H. (2011). Vegan: Community Ecology Package; R package version 1, (17-18). Oulu, FI: University of Oulu. Pedralli, G. (1990). Macrófitas aquáticas: técnicas e métodos de estudos. Estudos de Biologia, 26, 5-24.
Pelicice, F. M., & Agostinho, A. A. (2006). Feeding ecology of fishes associated with Egeria spp. Patches in a tropical reservoir, Brazil. Ecology of Freshwater Fish, 15(1), 10-19.
Peres-Neto, P. R. & Jackson, D. A. (2001). How well do multivariate data sets match? The robustness and flexibility of a Procrustean superimposition approach over the Mantel test. Oecologia, 129: 169-178.
Pierre, J. I., & Kovalenko, K. E. (2014). Effect of hábitat complexity attributes on species richness. Ecosphere, 5(2), 1-10.
Pouilly, M., Lino, F., Bretenoux, J. G., & Rosales, C. (2003). Dietary-morphological relationships in a fish assemblage of the Bolivian Amazonian floodplain. Journal of fish Biology, 62(5), 1137-1158.
Priyadarshana, T., Asaeda, T., & Manatunge, J. (2001). Foraging behaviour of planktivorous fish in artificial vegetation: the effects on swimming and feeding. Hydrobiologia, 442(1-3), 231-239.
R Development Core Team. (2007) R: a language and environment for statistical computing. Vienna, AT: R Foundation for Statistical Computing.
Rodrigues, L., & Bicudo, D. C. (2004). Periphytic algae. In: S. M. Thomaz, A. A. Agostinho, & N. S. Hahn, (Eds.), The upper Paraná river and its floodplain: physical aspects, ecology and conservation (p. 125-143). Leiden, NL: Backhuys Publishers.
Sánchez-Botero, J. I., & Araújo-Lima, C. A. R. M. (2001). As macrófitas aquáticas como berçário para a ictiofauna da várzea do rio Amazonas. Acta Amazônica, 31(3), 437-447.
Santos, G. M. (1981). Estudos da alimentação e hábitos alimentares de Schizodon fasciatus Agassiz, 1829, Rhytiodus microlepis Kner 1859 e Rhytiodus argenteofuscus Kner, 1859, do Lago Janauacá-AM. (Osteichthyes, Characoidei, Anostomidae). Acta Amazônica, 11(2), 267-283.
Schiesari, L., Zuanon, J., Azevedo-Ramos, C., Garcia, M., Gordo, M., Messias, M., & Monteiro, E. (2003) Macrophyte rafts as dispersal vectors for fishes and amphibians in the Lower Solimões river, Central Amazon. Journal of Tropical Ecology, 19(3), 333-336.
Silva, C. V., & Henry, R. (2013). Aquatic macroinvertebrates associated with Eichhornia azurea (Swartz) Kunth and relationships with abiotic factors in marginal lentic ecosystems (São Paulo, Brazil). Brazilian Journal of Biology, 73(1), 149-162.
Soares, M. G. M. (1979) Aspectos ecológicos (alimentação e reprodução) dos peixes do igarapé do Porto, Aripuanã, MT. Acta Amazonica, 9(2), 325-352.
Thomaz, S. M., & Bini, L. M. (2003). Ecologia e manejo de macrófitas aquáticas. Maringá, PR: Eduem.
Thomaz, S. M., Dibble, E. D., Evangelista, L. R., Higuti, J., & Bini, L. M. (2008). Influence of aquatic macrophyte habitat complexity on invertebrate abundance and richness in tropical lagoons. Freshwater Biology, 53(2), 358-367.
Tokeshi, M., & S. Arakaki. (2012). Habitat complexity in aquatic systems: fractals and beyond. Hydrobiologia, 685(1), 27-47.
Winemiller, K. O., Agostinho, A. A., & Caramaschi, E. P. (2008). Fish ecology in tropical streams. In D. Dudgeon (Ed.), Tropical stream ecology (p. 107-146). Amsterdam, NL: Academic Press.
Ximenes, L. Q. L., Mateus, L. A. F., & Penha, J. M. F. (2011). Variação temporal e espacial na composição de guildas alimentares da ictiofauna em lagoas marginais do Rio Cuiabá, Pantanal Norte. Biota Neotropica, 11(1), 205-215.
Notes