Aquicultura e Recursos Pesqueiros
Sensitivity of aquatic organisms to ethanol and its potential use as bioindicators
Sensibilidade de organismos aquaticos ao etanol e seu potencial uso como bioindicadores
Sensitivity of aquatic organisms to ethanol and its potential use as bioindicators
Acta Scientiarum. Biological Sciences, vol. 38, no. 4, pp. 377-385, 2016
Universidade Estadual de Maringá
Received: 20 August 2015
Accepted: 29 September 2016
Abstract: The aim of this research was to evaluate the feasibility for the use of the organisms Lemna minor, Azolla caroliniana, Hyphessobrycon eques, Pomacea canaliculata and Daphnia magna as exposure bioindicators for ethanol (lethal and effective concentration 50% - LC50(I)/EC50(I)). Thus, the following concentrations were used 5.0; 10.0; 20.0; 30.0; 40.0 and 50.0 mg L-1 ethanol on L. minor; 25.0; 50.0; 75.0; 100.0; 150.0 and 200.0 mg L-1 on A. caroliniana; 0.3; 0.5; 1.0; 2.0 and 3.0 mg L-1 on H. eques; 0.05; 0.10; 0.20; 0.40 and 0.80 mg L-1 on P. canaliculata; and 40.0; 60.0; 80.0; 100.0; 120.0 and 140.0 mg L-1 on D. magna. An untreated control was also kept for all organisms, with three repetitions. The increase in the ethanol concentration elevated the electrical conductivity and decreased the water dissolved oxygen and pH. The ethanol LC50 for L. minor and A. caroliniana were 12.78 and 73.11 mg L-1, respectively, and was classified as slightly toxic; 1.22 mg L-1 for H. eques (moderately toxic); 0.39 mg L-1 for P. canaliculata (highly toxic) and 98.85 mg L-1 for D. magna (slightly toxic). Thus, H. eques and P. canaliculata have showed good potential for the use as ethanol exposure bioindicators on water bodies.
Keywords: environmental impact, LC50, ecology.
Resumo: O objetivo deste estudo foi avaliar a viabilidade do uso dos organismos teste Lemna minor, Azolla caroliniana, Hyphessobrycon eques, Pomacea canaliculata e Daphnia magna como bioindicadores de exposição ao etanol (concentração letal e efetiva 50% - CL50(I)/CE50(I)). Assim, foram utilizadas as seguintes concentrações: 5,0; 10,0; 20,0; 30,0; 40,0 e 50,0 mg L-1 de etanol para L. minor; 25,0; 50,0; 75,0; 100,0; 150,0 e 200,0 mg L-1 (A. caroliniana); 0,3; 0,5; 1,0; 2,0 e 3,0 mg L-1 (H. eques); 0,05; 0,10; 0,20; 0,40 e 0,80 mg L-1 (P. canaliculata) e 40,0; 60,0; 80,0; 100,0; 120,0 e 140,0 mg L-1 para D. magna, todos com controle em triplicata. O aumento da concentração do etanol elevou a condutividade elétrica e diminuiu o oxigênio dissolvido e o pH da água. A CL50 do etanol para as macrófitas L. minor e A. caroliniana foi 12,78 e 73,11 mg L-1, respectivamente, sendo classificado como ligeiramente tóxico; para o H. eques, foi de 1,22 mg L-1 (moderadamente tóxico); 0,39 mg L-1 para o P. canaliculata (altamente tóxico) e 98,85 mg L-1 para D. magna (ligeiramente tóxico). Assim, o H. eques e o P. canaliculata apresentaram potencial para uso como organismos bioindicadores de exposição do etanol em corpos hídricos.
Palavras-chave: impacto ambiental, CL50, ecologia.
Introduction
The ethanol (CH3CH2OH) is used as fuel for combustion engines, alcoholic drinks (beer, wine and cachaça) and raw material for industry (perfume, cleaning products, paints, solvents, among others). The cited uses are related to both main ethanol properties: flammability and water solubility (Ferreira, Oliveira, & Duarte, 2004; Bastos, 2007).
At the harvest period of 2012 and 2013 in Brazil, more than 25.5 billion liters of ethanol were produced, with approximated consumption of 18
billion liters and exportation of more than 3.0 billion liters (EPE, 2014). Among the transportation methods, the river system stands out for being cheaper than roads and rails, for decreasing the trucks flow on the roads and the reduction of gas emission (CO2 and CO) (Costa, 2004).
However, there are important concerns about the use of waterways for the ethanol transportation, especially about possible environmental impacts caused by direct ethanol contact on water bodies due to hull breaches on the ships, which may harm the aquatic environmental. Nevertheless, little information is available about the ethanol toxicity and its possible effects on non-target organisms.
In regard to the presence of ethanol in water bodies, some negative ethanol effects were reported, such as craniofacial abnormalities, cardiac and structural malformation to the Danio rerio fish (Reimers, Flockton, & Tanguay, 2004); alterations on motor coordination, sensorial perception, neuronal function (Esel, 2006) and on the activity of the acetylcholinesterase (AChE) (Rico, Rosemberg, Dias, Bogo, & Bonan, 2007), and changes on intoxication clinical signs, such as search for oxygen, agitation and increased opercular beating (Rosemberg et al., 2012).
The use of bioindicators as macrophytes duckweed (Lemna minor) and water fern (Azolla caroliniana); the fish mato grosso (Hyphessobrycon eques); snail (Pomacea canaliculata) and the microcrustacean water flea (Daphnia magna) are important for the understanding of the ethanol in water bodies.
The aquatic macrophyte L. minor, from the Lemnaceae family, is standardized for toxicity tests and is used by several authors (OECD, 2002; Coutries, Merlina, Silvestre, Pinelli, & Elger, 2011; Kielak, Sempruch, Mioduszewska, Klocek, & Leszczynski, 2011); the A. caroliniana is endemic to the tropical America, belongs to the Azollaceae family and can be used in toxicity tests (Guimarães, Aguiar, Oliveira, Silva, & Karam, 2012; Silva, Cruz, Neto, & Pitelli, 2012).
The H. eques fish occurs naturally from the Amazon to the basin of the Tietê-Paraná and Paraná-Paraguai rivers (Cruz et al., 2008; Carrachi et al., 2011; Fujimoto, Almeida, Diniz, Eiras, & Martins, 2013); P. canaliculata is indigenous to the South America tropical regions, inhabits the rivers sediment and can be used as bioindicator (Piyatiratitivorakul, Ruangareerat, & Vajarasathira, 2006; Venturini, Cruz, & Pitelli, 2008) and the D. magna is also standardized for toxicity tests (Oliveira-Filho & Paumgartten, 2000; ABNT, 2009; Bona, Leva, & Liguoro, 2014).
The research about use of bioindicator on environmental impacts assessments for ethanol presence on the water bodies has fundamental importance, because the knowledge about ecotoxicological dynamics may assist at the decision making, if any amount of ethanol reaches the water bodies.
Thus, the aim of this research was to evaluate the use of thes test organisms L. minor, A. caroliniana, H. eques, P. canaliculata and D. magna, as ethanol exposure bioindicators on water bodies, through initial and effective lethal concentration (LC50(I)/EC50(I)), mortality percentage, water quality variables (dissolved oxygen, temperature, pH and electrical conductivity) for H. eques and P. canaliculata, and intoxication clinical signs for H. eques, under laboratory conditions.
Material and methods
The tested chemical was the ethanol, common name for hydrated ethyl alcohol, a product composed by 6.2 - 7.4% water and 92.6 - 93.8% alcohol.
Macrophyte ecotoxicological assays
The acclimatization was performed under bioassay room condition, with air temperature of 25.0 ± 2.0°C and constant light with 1000 lux, for three days. After the acclimatization period, the plants were disinfected with water solution of sodium hypochlorite 2% (L. minor), 3% (A. caroliniana) and distilled water. Initially, the plants sensibility was evaluated through sodium chloride (NaCl) as the reference substance. The LC50(I); 7d was 6.67 g L-1 and 95% confidence intervals ranged from 5.48 to 6.85 g L-1 for L. minor and 2.14 g L-1 (1.97 - 2.31 g L-1) for A. caroliniana.
To evaluate the macrophyte sensibility to ethanol, 4 L. minor colonies with three fronds each and five A. caroliniana individuals were selected and acclimated in a glass recipient (100 mL) containing 50 mL of culture medium (Hoagland's). The ethanol was applied in a static system, without aeration. The glass containers were covered in plastic film on both macrophyte, for more than 24 hours.
Preliminary tests to determine the range of concentration of ethanol caused 0 and 100% mortality for the macrophytes. Then, the definitive assays were performed with the following concentrations: 5.0; 10.0; 20.0; 30.0; 40.0 and 50.0 mL L-1 (5.0; 10.0; 20.0; 30.0; 40.0 and 50.0 mg L-1) L. minor; and 25.0; 50.0; 75.0; 100.0; 150.0 and 200 mL L-1 (25.0; 50.0; 75.0; 100.0; 150.0 and 200 mg L-1) for A. caroliniana. Each concentration was applied in three repetitions, and an untreated control was also kept.
The mortality percentage evaluation was performed at 3, 5 and 7 days of ethanol exposure. The alterations observed on the L. minor fronds were the fronds number, chlorosis (natural chlorophyll pigmentation loss) and necrosis (plant's tissue death process) (OECD, 2002). The A. caroliniana evaluations were performed through the observations of chlorosis and necrosis, using a rank scale (E to A), according to Silva et al. (2012).
Fish and snails ecotoxicological tests
Homogenous groups of the test organisms with 2.32±0.22 grams (fish) and 6.77±0.82 grams (snail) were acclimated for seven days under bioassay room conditions, according to the test standard ABNT (2011).
The fish and snail feed went with commercial feed once a day, and the snail was also feed with macrophyte Hydrilla verticillata. Preliminary tests were also conducted to determine the range of concentration of ethanol for the H. eques and P. canalicualata.
In order to evaluate the organism’s sensibility, tests were performed with potassium chloride (KCl) as reference substance. The LC50(I); 48 hours on fish was 2.20 g L-1 (1.84 - 2.67 g L-1) and on snail was 1.49 g L-1 (1.14 - 1.96 g L-1).
The applied ethanol concentrations for the H. eques were 0.3; 0.5; 1.0; 2.0 and 3.0 mL L-1 (0.3; 0.5; 1.0; 2.0 and 3.0 mg L-1). An untreated control was also kept, at 1.0 g L-1 maximum fish density (ABNT, 2011). All tested concentration and the untreated control were performed with three repetitions.
The fish intoxication clinical signs were visually evaluated immediately after ethanol application and at four, 24 and 48 hours after application. The clinical signs observed for the fish were increased opercular beat, erratic swimming, inquietude, position along the water column, lethargy, muscle spasm (trembling), corrosion at the body surface (skin and fin) and skin and eyes color (Murty, 1998).
Pomacea canaliculata was exposed to the following ethanol concentrations: 0.05; 0.10; 0.20; 0.40 and 0.80 mL L-1 (0.05; 0.10; 0.20; 0.40 and 0.80 mg L-1) and an untreated control, all with three repetitions, according to Florêncio et al. (2014).
The water quality variables for the fish and snail, before the treatment, were as follows: pH between 6.5 - 7.5; dissolved oxygen above 4.0 mg L-1; electrical conductivity between 170.0 - 180.0 µS cm-1; water hardness from 10 to 60 mg CaCO3 L-1; and alkalinity between 200.0 - 210.0 mg CaCO3 (ABNT, 2011). The tests were performed in a static system. The mortality evaluations for the fish and mobility for the snail were performed at 24 and 48 hours of ethanol exposure.
Daphnia magna ecotoxicological tests
The test organisms were grown under biological oxygen demand chamber (BOD) conditions, with constant temperature (20.0 ± 2.0ºC), in a culture medium composed by distilled water, reconstituted with nutrients (ABNT, 2009). The feeding was performed daily with algae culture (Scenedesmus subspicatus), containing 5x106 algae cells per D. magna individual, and a solution composed by fermented fish feed and yeast (Saccharomyces cerevisiae). The tests were performed by selecting neonates aging between six and 24 hours.
In order to evaluate the organism’s sensibility, tests were performed with sodium chloride (NaCl) as reference substance. The EC50(I); 48 was 4.31 g L-1 (3.97 - 4.69 g L-1).
No acclimatization performed for D. magna tests. The organisms were transferred to plastic containers (Falcon type), with 10 mL capacity, which were filled with 9.0 mL of a mixture composed by culture medium along with the ethanol concentrations, and 1.0 mL culture medium containing five neonates, aging between six and 24 hours.
The following ethanol concentrations were used to perform the ecotoxicity tests: 40.0; 60.0; 80.0; 100.0; 120.0 and 140.0 mL L-1 (40.0; 60.0; 80.0; 100.0; 120.0 and 140.0 mg L-1). An untreated control was also kept, all with four repetitions, in a static system. The mobility evaluation (swimming capacity during 15 seconds after gentle agitation) was performed at 48 hours of ethanol exposure.
Statistical analysis
he mortality and mobility data from the bioindicators L. minor, A. caroliniana, H. eques, P. canaliculata and D. magna was submitted to linear regression and the lethal and/or effective concentration 50% (LC50(I)/EC50(I)) was estimated by the software “Trimmed Spearmam Karber” (Hamilton, Russo, & Thurston, 1977). The LC50(I)/EC50(I) was used to identify the ethanol toxicity, as proposed by Zucker (1985).
Results and discussion
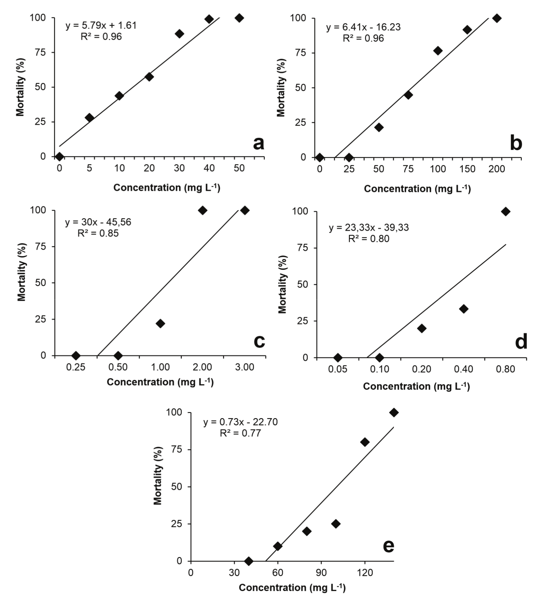
For L. minor no mortality occurred with 5.0 mg L-1 ethanol; 28.23% mortality occurred with 10.0 mg L-1; 43.75% with 20.0 mg L-1; 57.29% with 30.0 mg L-1; 88.54% with 40.0 mg L-1 and 100% with 50.0 mg L-1 (Figure 1).
Lemna minor exposed to ethanol in this study showed higher sensitivity than paraquat (47.6%), norflurazon (85.5%), flazasulfuran (74.1%) and atrazine (81.7%) in dose 100.0 mg L-1 (Frankart, Eullaffort, & Vernet, 2003). Cedergreen, Streibig, and Spliid (2004), also obtained growth reduction of 50% of the L. minor and L. trisulca exposed to 1.3 and 10.44 µg L-1 metsulfuron-methyl herbicide, respectively.

For A. caroliniana no mortality occurred with 25.0 mg L-1 ethanol; 21.67% mortality occurred with 50.0 mg L-1; 45.0% with 75.0 mg L-1; 76.67% with 100.0 mg L-1; 91,67% with 150.0 mg L-1 and 100% mortality occurred with 200.0 mg L-1 (Figure 1b). The mortality data obtained in this research were higher than for the same bioindicator exposed to the glyphosate formulations Scout® and Trop® (100% mortality with 100 mg L-1); and similar to observed with oxyfluorfen (100% with 210 mg L-1); and lesser than observed for the herbicide 2,4-D (100% with 900 mg L-1) (Silva et al., 2012).
The lesser sensibility displayed in this research by the macrophyte in comparison to the fish may be due to wax presence at the leaves abaxial surface. Sheaths or cuticles may also be present at the root system, which diminishes the xenobiotics absorption by the organisms (Begon, Townsend, & Harper, 2006).
No mortality occurred on the exposure tests over H. eques with 0.25 and 0.50 mg L-1. With 1.0 mg L-1, occurred 22.0% mortality; and on 2.0 and 3.0 mg L-1 occurred 100% mortality (Figure 1c).
All ethanol exposed animals displayed intoxication clinical signs. The observed changes were increased opercular beat, inquietude, pitch capacity loss and oxygen search at the water-air interface, within all assessments.
According to Rosemberg et al. (2012), Danio rerio fish exposed to ethanol (1%, v/v) for 20 and 60 minutes also displayed clinical signs changes, such as inquietude and oxygen search, similar as displayed on H. eques in the present research.
According to Rico et al. (2007), B. rerio fish exposed to 1.0% ethanol (v/v) presented 33% increase on the enzyme acetylcolinesterase activity, in comparison to the untreated control (25.5%). Esel (2006) and Pannia, Tran, Rampersad, and Gerlai (2014), had observed that ethanol induced clinical signs like changes in motor coordination, sensory perception and neuronal function, similar as observed for H. eques on this research.
The effects caused by ethanol can also occur directly or indirectly through oxidative stress metabolites (acetaldehyde and acetate) of ethanol that can promote craniofacial abnormalities, heart malformations, and delayed development of fish (B. rerio) (Bilotta, Saszik, Givin, Hardesty, & Sutherland, 2002; Reimers et al., 2004).
There was no mortality in P. canaliculata tests with 0.05 and 0.10 mg L-1 ethanol; 20.0% mortality occurred with 0.20 mg L-1; 33.0% with 0.40 mg L-1; and 100% mortality was achieved with 0.8 mg L-1 (Figure 1d). P. canaliculata was more sensible to ethanol exposure than observed for the snails Archachatina marginata and Limicoloria aurora exposed to Azadirachta indica (40 and 60% mortality on 700 mg Kg-1 exposure, respectively) (Ebenso, 2003).
No mortality occurred on D. magna tests with concentrations until 40 mg L-1 ethanol; 10% mortality occurred with 60 mg L-1; 20% with 80 mg L-1; 25% with 100 mg L-1; 80% with 120 mg L-1; and 100% with 140 mg L-1 (Figure 1e). D. magna was more sensible to ethanol exposure than to florfenicol antibiotic (no mortality on 100 mg L-1 exposure) and less sensible to a toltrazuril parasiticide (100% mortality on 50 mg L-1 exposure) (Florêncio et al., 2014).
The values of initial lethal and effective concentration 50% ranged from 0.39 mg L-1 (P. canaliculata) to 98.85 mg L-1 (D. magna) (Table 1).
The comparison between the data presented on this research and the observations from other authors couldn't be performed, due to the lack of data concerning possible alterations to the species in the presence of ethanol. In order to discuss the results, the data was compared with the observations about several xenobiotics and test organisms.

Thus, L. minor macrophyte was less sensible to ethanol (LC50) than the following herbicides: atrazine (92 µg L-1); metribuzin (36 µg L-1); alachlor (482 µg L-1) and metolachlor (360 µg L-1) (Fairchild, Ruessler, & Carlson, 1998). The A. caroliniana on this research was more sensible to ethanol (LC50) than to oxyflourfen (80.50 mg L-1), clomazone (129.63 mg L-1) and 2,4-D (708.35 mg L-1), and less sensible than the glyphosate-based herbicides Scout® (23.66 mg L-1) and Trop® (38.91 mg L-1) (Silva et al., 2012). H. eques showed higher sensibility to ethanol (LC50 = 1.22 mL L-1, or 0.122% v/v) in comparison to B. rerio (1.98% v/v) (Reimers et al., 2004).
The tested P. canaliculata was more sensible to ethanol (LC50(I)) than to the toltrazuril parasiticide (3.72 mg L-1) (Florêncio et al., 2014). The cited organism also showed a higher sensibility to ethanol than the marine mussel Mytilus galloprovincialis exposed to naphthalene (EC50; 48 hours = 9.92 mg L-1), and was less sensible than the mussel exposed to phenanthrene (0.22 mg L-1) (Bellas, Saco-Álvarez, Nieto, & Beiras, 2008).
Daphnia magna showed higher sensibility to ethanol (EC50(I)) than to the chemicals: sulfaquinoxaline (193.3 mg L-1); sulfamethazine (201.1 mg L-1); sulfamerazine (194.6 mg L-1) and sulfadimethoxine (275 mg L-1), while a lesser sensibility was observed in comparison to ciprofloxacin (87.14 mg L-1) (Bona et al., 2014). The marine crustacean Artemia salina, another test organism for aquatic environment, was more sensible to phenanthrene, anthracene, fluoranthene and pyrene (EC50; 48 hours = 1.32; 1.01; 1.43 and 1.77 mg L-1, respectively) (Wang, Zheng, & Meng, 2008), in comparison to D. magna exposed to ethanol.
Regarding the toxicity test for the fish (H. eques), the dissolved oxygen ranged of 5.4 mg L-1 on the untreated control to 4.8 mg L-1 at the highest tested concentration (3.0 mg L-1 ethanol), immediately after the application. Thus, at 24 hours the dissolved oxygen was between 2.3 and 0.7 mg L-1; and after a 48 hours exposure, it ranged from 2.0 to 0.2 mg L-1 (Figure 2a).
The highest variation on electrical conductivity for the test with H. eques occurred between the untreated control (184.400 µS cm-1) and the highest tested concentration (182.700 µS cm-1 at 3.0 mg L-1 ethanol), immediately after the application (0 hour). After a 24 hours exposure, the electrical conductivity was 187.000 µS cm-1 on the untreated control and 185.600 µS cm-1 at the 3.0 mg L-1 rate; and on the last assessment (48 hours exposure), it ranged from 186.500 µS cm-1 the untreated control to 184.900 µS cm-1 the 3.0 mg L-1 rate (Figure 2b).
The highest pH variation at the H. eques toxicity test also occurred between the untreated control and the highest exposure rate (3.0 mg L-1 ethanol), in all assessments. The variation was from 8.2 to 8.0 (untreated control and highest exposure rate, respectively) at the beginning of the exposure (0 hour); 7.68 to 7.49 (24 hours) and 7.67 to 7.42 after 48 hours exposure (Figure 2c).
The lack of data in the Figure 2 regarding dissolved oxygen, electrical conductivity and pH at the rates of 2.0 and 3.0 mg L-1 ethanol occurred due to the mortality of all tested subjects exposed to those rates.
In regard to the toxicity test for the snail (P. canaliculata), immediately after the exposure beginning, the dissolved oxygen ranged from 4.5 to 4.1 mg L-1 (control and 0.8 mg L-1 ethanol exposure rate, respectively). In the following assessments, the highest variation on dissolved oxygen also occurred between the control and the highest tested exposure rate (0.8 mg L-1 ethanol); at 24 hours exposure, it was between 2.3 and 0.5 mg L-1 and at 48 hours exposure, it ranged from 2.6 to 0.7 mg L-1 (Figure 3a).
The highest variations on electrical conductivity and pH at the toxicity tests for the snail was similar to the previous variations, standing between the untreated control, and the highest tested rate (0.8 mg L-1 ethanol). The electrical conductivity was between 187.700 to 184.700 µS cm-1 at 0 hour.


The increase in electrical conductivity and decrease in dissolved oxygen with ethanol increment provided for this study H. eques and P. canaliculata (Figures 2 and 3) were lower than that observed by Silva et al., (2015) with the effluent vinasse, originating from the ethanol distillation process, which was 0.189 to 0.890 μS cm-1 (electric conductivity) and 5.0 to 0.40 mg L-1 (dissolved oxygen) to the same biomarker (H. eques)
According with Grady, Daigger, and Lim (1999), the ethanol biodegradation consists in an oxidation reaction performed along the microbial respiratory process. The ethanol biodegradation requires high oxygen concentrations (Castello, Moreira, & Braga, 2011), which decreased in the tests on H. eques and P. canaliculata in the present study (Figures 2a and 3a).
The increased electrical conductivity at 24 and 48 hours exposure in this study may be due the molecule bond breaking (CH3CH2OH) in aqueous solution (Delgado, Araújo, & Fernandes-JR, 2007). The lower pH values at 24 and 48 hours exposure occurred due to the ethanol aerobic degradation process, which uses the dissolved oxygen as oxidant agent, such as the respiration process of test organisms, which promoted a higher carbonic gas concentration (CO2) in the experimental units (Swift, 2003).
The ethanol was classified as slightly toxic to L. minor, A. caroliniana and D. magna; moderately toxic to H. eques and highly toxic to P. canaliculata (Zucker, 1985). The Pomacea canaliculata snail and Hyphressobrycon eques fish were the most sensible bioindicators to ethanol exposure. These organisms are at the initial level of development for toxicity studies, with positive effects for being endemic to the tropical America (Huang, Liao, Chang, Kuo, & Wu, 2003).
Based on the present research, these organisms do display good potential as bioindicators of possible negative effects promoted by the ethanol presence in water bodies. If a chemical agent promotes toxic effects over a species, it may be toxic for several organisms along the food chain, being therefore capable of causing negative environmental impacts (Magalhães & Filho, 2008).
The results presented on this research may be used as monitoring tool for environmental survey, in order to detect the impacts caused by accidental release of the xenobiotic on the aquatic environment.
Conclusion
The organisms Lemna minor, Azolla caroliniana, Daphnia magna and Hyphessobrycon eques showed potential to be used as bioindicators of ethanol effetcs in water bodies, specially the Pomacea canaliculata snail, which had presented elevated sensibility to small ethanol concentrations.
References
Associação Brasileira de Normas Técnicas [ABNT]. (2009). NBR 12713: Ecotoxicologia Aquática - Toxicidade aguda – Métodos de ensaios com Daphnia ssp (Crustacea, Cladocera) (3a ed.). São Paulo, SP.
Associação Brasileira de Normas Técnicas [ABNT]. (2011). NBR 15088: Ecotoxicologia aquática - Toxicidade aguda - Método de ensaio com peixes. São Paulo, SP.
Bastos, V. D. (2007). Etanol, alcoolquímica e biorrefinarias. Rio de Janeiro, RJ: BNDES Setorial.
Begon, M., Townsend, C. R., & Harper, J. L. (2006). Ecology: From individual and ecosystems (4th ed.). Oxford, UK: Blackwell Publishing.
Bellas, J., Saco-Álvarez, L., Nieto, Ó., & Beiras, R. (2008). Ecotoxicological evaluation of polycyclic aromatic hydrocarbons using marine invertebrate embryo–larval bioassays. Marine Pollution Bulletin, 57(6-12), 493-502.
Bilotta, J., Saszik, S., Givin, C. M., Hardesty, H. R., & Sutherland, S. E. (2002). Effects of embryonic exposure to ethanol on zebrafish visual function. Neurotoxicol Teratology, 24(6), 759-766.
Bona, M. D., Leva, V. D., & Liguoro, M. D. (2014). The sensivity of Daphnia magna and Daphnia curvirostris to 10 veterinary antibacterials and to some of their binary mixtures. Chemosphere, 115, 67-74.
Carraschi, S. P., Cubo, P., Schiavetti, B. L., Shiogiri, N. S., Cruz, C., & Pitelli, R. A. (2011). Efeitos tóxicos de. surfactantes fitossanitários para o peixe mato grosso (Hyphessobrycon eques). Acta Scientiarum. Biological Science, 33(2), 191-196.
Castello, L. Z., Moreira, C. A., & Braga, A. C. O. (2011). Estudo geofísico de vazamento controlado de álcool combustível em escala laboratorial. Revista Brasileira de Geofísica, 29(2), 231-237.
Cedergreen, N., Streibig, J. C., & Spliid, N. H. (2004). Sensibility of aquatic plants to the herbicide metsulfuron-methyl. Ecotoxicology and Environmental Safety, 57(2), 153-161.
Costa, L. S. S. 2004. As hidrovias interiores no Brasil (3a ed.) Rio de Janeiro, RJ: Editora Fenavega, Ministério do Meio Ambiente.
Coutries, C., Merlina, G., Silvestre, J., Pinelli, E., & Elger, A. (2011). Can we predict community-wide effect of herbicides from toxicity tests on macrophytes species. Aquatic Toxicology, 101(1), 40-56.
Cruz, C., Cubo, P., Gomes, G. R., Venturini, F. P., Guilherme, P. E., & Pitelli, R. A. (2008). Sensibilidade de peixes neotropicais ao dicromato de potássio. Journal of the Brazilian Society of Ecotoxicology, 3(1), 53-55.
Delgado, R. C. O. B., Araújo, A. S., & Fernandes-JR, V. L. (2007). Properties of Brazilian gasoline mixed with hydrated ethanol for flex fuel technology. Fuel Processing Technology, 88(4), 365-368.
Ebenso, I. E. (2003). Molluscicidal effects of neem (Azadirachta indica) extracts on edible tropical land snails. Pest Management Science, 60(2), 178-182.
Empresa de Pesquisa Energética [EPE]. (2014). Análise de conjuntura dos biocombustíveis. Brasilia, DF: Ministério de Minas e Energia.
Esel, E. (2006). Neurobiology of alcohol withdrawal inhibitory and excitatory neurotransmitters. Turk Psikiyatr Dergisi, 17(2), 129-137.
Fairchild, J. F., Ruessler, D. S., & Carlson, A. R. (1998). Comparative sensibility of five species of macrophytes and six species of algae to atrazine, metribuzin, alachlor and metolachlor. Environmental Toxicology and Chemistry, 17(9), 1830-1834.
Ferreira, M. F., Oliveira, E., & Duarte, U. (2004). Comportamento da gasolina com o etanol (E-20) e da gasolina pura após simulação de um vazamento em colunas de laboratório. Revista do Instituto de Geociências-USP, 4(2), 91-102.
Florêncio, T., Carraschi, S. P., Cruz, C., Silva, A. F., Marques, A. M., & Pitelli, R. A. (2014). Bioindicadores neotropicais de ecotoxicidade e risco ambiental de fármacos de interesse para aquicultura. Bolletim do Instituto de Pesca, 40(4), 569-576.
Frankart, C., Eullaffort, P., & Vernet, G. (2003). Comparative effect of four herbicide on non-photochemical. Environmental and Experimental Botany, 49(2), 159-168.
Fujimoto, R. Y., Almeida, E. S., Diniz, D. G., Eiras, J. C., & Martins, M. L. (2013). First occurrence of Quadrigyrus nickoli (Acanthocephala) in the ornamental fish Hyphessobrycon eques. Revista Brasileira de Parasitologia Veterinária, 22(1), 110-113.
Guimarães, F. P., Aguiar, R., Oliveira, J. A., Silva, J. A. A., & Karam, D. (2012). Potential macrophytes for removing arsenic from aqueous solution. Planta Daninha, 30(4), 683-696.
Grady, C. P. L., Daigger, G. T., & Lim, H. (1999). Biological wastewater treatment. (2nd ed., rev and exp.) New York, USA: Marcel Dekker.
Hamilton, M. A., Russo, R. C., & Thurston, R. V. (1977). Trimmed Spearman-Karber method for estimating medial lethal concentrations in toxicity bioassays. Environmental Science Technology, 11(7), 714-719.
Huang, H. C., Liao, S. C., Chang, F. R., Kuo, Y. H., & Wu, Y. C. (2003). Molluscicidal saponins from Sapindus mukorossi, inhibitory agents of golden apple snails, Pomacea canaliculata. Journal of Agricultural and Food Chemistry, 51(17), 4916-4919.
Kielak, E., Sempruch, C., Mioduszewska, H., Klocek, J., & Leszczynski, B. (2011). Phytotoxicity of Roundup Ultra 360 SL in aquatic ecosystems: Biochemical evaluation with duckweed (Lemna minor L.) as a model plant. Pesticide Biochemistry Physiology, 99(3), 237-243.
Magalhães, D. P., & Filho, A. S. F. (2008). A ecotoxicologia como ferramenta no biomonitoramento de ecossistemas aquáticos. Oecologia Brasiliensis, 12(3), 355-381.
Murty, A. S. (1988). Toxicology of pesticide to fish. Boca Raton, USA: CRC Press.
Organization for economic co-aperation and development [OECD]. (2002). Guidelines for the testing of chemicals, Lemna sp. Growth inhibition test. Paris, FR: OECD.
Oliveira-filho, E. C., & Paumgartten, J. R. (2000). Toxicity of Euphorbia milii latex and niclosamide to snails and nontarget aquatic species. Ecotoxicological Environmental Safety, 46(3), 342-350.
Pannia, E., Tran, S., Rampersad, M., & Gerlai, R. (2014). Acute ethanol exposure induces behavioural differences in two zebrafish (Danio rerio) strains: A time course analysis. Behavioural Brain Research, 259, 174-185.
Piyatiratitivorakul, P., Ruangareerat, S., & Vajarasathira, B. (2006) Comparative toxicity of heavy metal compounds of the juvenile golden apple snail, Pomacea sp.. Fresenius Environmental Bulletin, 15, 379-384.
Reimers, M. J., Flockton, A. R., & Tanguay, R. L. (2004). Ethanol and acetaldehyde-mediated developmental toxicity in zebrafish. Neurotoxicological and Teratology, 26(6), 769-781.
Rico, E. P., Rosemberg, D. B., Dias, R. D., Bogo, M. R., & Bonan, C. D. (2007). Ethanol alters acetylcholinesterase activity and gene expression in zebrafish brain. Toxicology Letters, 174(1), 25-30.
Rosemberg, D. B., Braga, M. M., Rico, E. P., Loss, C. M., Córdova, S. D., Mussulini, B. H. M., ... Souza, D. O. (2012). Behavioral effects taurine pretreatment in zebrafish acutely exposed to ethanol, Neuropharmacology, 63(4), 613-623.
Silva, A. F., Cruz, C., Neto, A. N., & Pitelli, R. A. (2012). Ecotoxicidade de herbicidas para a macrófita aquática (Azolla caroliniana). Planta Daninha, 30(3), 541-546.
Silva, A. F., Carraschi, S. P., Gírio, A. C. F., Neto, A. N., Cruz, C., & Pitelli, R. A. (2015). Ecotoxicidade da vinhaça para o peixe mato grosso (Hyphessobrycon eques) e para a macrófita lentilha d’água (Lemna minor). Boletim do Instituto de Pesca, 41(3), 557-565.
Swift, R. (2003). Direct measurement of alcohol and its metabolites. Addiction, 98(s2), 73-80.
Venturini, F. P., Cruz, C., & Pitelli, R. A. (2008). Toxicidade aguda do sulfato de cobre e do extrato aquoso de folhas secas de nim para o caramujo (Pomacea canaliculata). Acta Scientiarum. Biological Sciences, 30(2), 179-184.
Wang, L. P., Zheng, B. H., & Meng, W. (2008). Photo-induced toxicity of polycyclic aromatic hydrocarbons to the brine shrimp Artemia salina nauplii. Acta Science Circumstantiae, 28(4), 748-754.
Zucker, E. (1985). Hazard Evaluation Division - Standard Evaluation Procedure Acute toxicity test for freshwater fish. USEPA Publication, 540(9), 85-006.
Author notes
adilsonf.s@hotmail.com