Biotecnologia
Fungal production of the anti-leukemic enzyme L-asparaginase:from screening to medium development
Produção fúngica da enzima antileucêmica L-asparaginase: da triagem ao desenvolvimento de um meio de cultivo
Fungal production of the anti-leukemic enzyme L-asparaginase:from screening to medium development
Acta Scientiarum. Biological Sciences, vol. 38, no. 4, pp. 387-394, 2016
Universidade Estadual de Maringá
Received: 04 August 2016
Accepted: 02 November 2016
Abstract: The treatment of acute lymphoblastic leukemia is challenging due to side effects, efficacy of the available drugs, and costs. Utilization of L-asparaginase as a therapeutic agent is essential to increase survival of patients. However, costs are elevated and the bacterial forms of the enzyme cause reactions that result in its inhibition by the immune system. Therapeutics alternatives may be searched among eukaryote producers, like fungi. Twelve strains of filamentous fungi were evaluated regarding expression of L-asparaginase activity. The profile of nitrogen assimilation and radial growth were determined for strains which showed higher production ratios. Three media were formulated after selection of the carbon source and carbon/nitrogen ratio that better induced L-asparaginase expression by Penicillium sp. and Fusarium sp. The enzyme activity produced in liquid media reached 8.3 U min.-1 mL-1 (Penicillium sp. T6.2) and 11.4 U min.-1 mL-1 (Fusarium sp.) after 72 hours of cultivation in Bacelar-1 medium. These data show that good producers can be found among fungi, and adjustment of productive processes may offer an alternative to implement eukaryote L-asparaginase production.
Keywords: therapeutic enzymes, filamentous fungi, acute lymphoblastic leukemia, Penicillium sp, Fusarium sp.
Resumo: O tratamento da leucemia linfoblástica aguda é desafiador devido aos efeitos adversos, à eficácia dos fármacos disponíveis e aos custos envolvidos. A utilização de L-asparaginase como agente terapêutico é fundamental para aumentar a sobrevida do paciente. Porém, seu custo é elevado e as formas bacterianas da enzima causam reações que resultam na sua inibição pelo sistema imune. Alternativas terapêuticas podem ser buscadas entre produtores eucariontes, como os fungos. Doze linhagens de fungos filamentosos foram avaliadas quanto à expressão de atividade de L-asparaginase. O perfil de assimilação de nitrogênio e o crescimento radial foram determinados para as linhagens com maior razão de produção. Três meios foram formulados após a seleção da fonte de carbono e da razão carbono/nitrogênio que melhor induziram a expressão de L-asparaginase por Penicillium sp. e Fusarium sp. A atividade enzimática produzida em meio líquido alcançou 8,32 U min.-1 mL-1 (Penicillium sp. T6.2) e 11,45 U min.-1 mL-1 (Fusarium sp.) após 72 horas de cultivo no meio Bacelar-1. Esses dados mostram que bons produtores podem ser encontrados entre os fungos e que ajustes nos processos produtivos podem oferecer uma alternativa para a implementação da produção de L-asparaginase eucarionte.
Palavras-chave: enzimas terapêuticas, fungos filamentosos, leucemia linfocítica aguda, Penicillium sp, Fusarium sp.
Introduction
The enzyme L-asparaginase (EC 3.5.1.1) catalyzes the hydrolysis of L-asparagine in L-aspartate and ammonia (Figure 1) (ExPASy, 2016). When administered as a therapeutic agent, its catalytic activity results in depletion of L-asparagine in the bloodstream and in apoptosis of leukemic cells, which are incapable of producing this amino-acid (Ando et al., 2005). Leukemic cells depend on absorption of L-asparagine from the blood, while
healthy cells produce it internally. Based on this action, the enzyme is used to increase event free-survival in children with acute lymphoblastic leukemia (ALL), and to treat several other malignancies of the lymphoid system (Zuo, Zhang, Jiang, & Wanmeng, 2015). The pharmacological use of L-asparaginase started after Broome (1963) who verified that the enzyme was the anti-leukemic bioactive compound in guinea pig serum. Its anti-leukemic activity was further confirmed, and nowadays it is worldwide used for ALL treatments (Pieters et al., 2011).

A variety of organisms, from bacteria to mammals, were reported to produce L-asparaginase (Peterson & Ciegler 1969; Mahajan, Saran, Saxena, & Srivastava, 2013; Zuo et al, 2015). The L-asparaginase in current trademarks, like Paronal® or Asparaginase Medac® which include the native form of the enzyme produced by Escherichia coli, is from bacterial origin. Other formulations, like Oncaspar®, include the E. coli enzyme conjugated with polyethilene glycol (the pegylated form of the enzyme) or L-asparaginase produced by Erwinia chysanthemi (Erwinase®) (Tong et al., 2013).L-Asparaginase is an expensive drug and the cheapest formulations are the ones that include E. coli L-asparaginase. The native or pegylated forms of the E. coli enzyme can cause allergic reactions or silent inactivation by the immune system, needing replacing by Erwinia L-asparaginase. According to Tong et al. (2013) the overall costs of treatments with all the three forms of bacterial L-asparaginases are similar. These are still very expensive, and costs of production need to be decreased.
Costs and enzyme inactivation are not the unique complications of ALL treatment with L-asparaginase. Resistance of malignant cells, related to ALL subtypes is reported, as well as side effects. Main undesirable effects are severe immunological reactions, including anaphylaxis, hepatic and pancreatic damages, thrombosis and neurological complications. Some of these side effects are due to an associated glutaminase activity inherent to some forms of the enzyme (Andrade, Borges & Silveira, 2014).
L-Asparaginases derived from fungi have been less studied than their bacterial counterparts, and they have not been included in any commercial formulation. Yet, fungi are able to produce and secret the enzyme (Baskar & Sahadevan 2012; Chow & Ting, 2015). This extracellular activity is easier to purify than the intracellular L-asparaginase produced by bacteria and, whereas this can decrease the overall costs of production, it may also decrease immunological reactions, once fungi are eukaryotes and their enzymes are expected to be more similar to mammal proteins than prokaryote proteins. Also, some fungal genes encode forms of L-asparaginase with very low glutaminase activity (Huang, Liu, Sun, Yan, & Jiang, 2014). Indeed, a fungal asparaginase was shown to decrease viability of leukemic cells without toxicity for normal cells in vitro, in the native or pegylated form, and did not present glutaminase activity (Loureiro, Borges, Andrade, Tone, & Said, 2012).
The interest for developing and improving production of L-asparaginase from new sources increased after a recent shortage of supply in the Brazilian market, which threats the treatment of hundreds of patients. In this scenario, The Brazilian Society of Pediatrics Oncology signed a partnership with the Ministry of Health for the import of L-asparaginase, in order to ensure availability for patients. Acquisition of L-asparaginase via import may be an alternative in an emergency context, but it is demanding to search for more economic and better therapeutic options by studying microbial producers and productive processes to pave the way to decrease costs, improve yields, and to revive the interest of companies to produce the enzyme in the internal market. The objective of this work was to search L-asparaginase producers among filamentous fungi and to develop medium conditions for enzyme production by selecting a suitable carbon source and the better carbon/nitrogen ratio for its induction.
Material and methods
Fungal strains and maintenance
The filamentous fungi Penicillium sp. T1.2, Penicillium sp. T3.1, Aspergillus sp. T7.1, Fusarium sp. T22.2, Aspergillus sp. T26.4, Penicillium sp. T6.2, Penicillium sp. T8.3, Penicillium sp. T9.1, strain T14.2, Penicillium sp. T6.1, Aspergillus tubingensis AN1257, and Aspergillus niger N402 (ATCC® 64974TM), from the supply of the Laboratory of Molecular Biology and Biotechnology of Fungi, Departamento de Farmácia, Universidade Federal dos Vales do Jequitinhonha e Mucuri (UFVJM), Diamantina-MG, Brazil, were screened to select L-asparaginase producers. Fungi were maintained by cultivation in potato dextrose agar (HiMedia®) and by submersion of a piece of the mature mycelia in sterile distilled water at 4°C. Cultivation in Czapek-Dox agar (Gulati, Saxena & Gupta, 1997) and incubation at 30°C was performed weekly during experimental analysis.
Screening of L-asparaginase producers
Filamentous fungi were screened for the potential to secrete L-asparaginase activity based on media alkalization upon extracellular hydrolysis of L-asparagine and release of ammonia. Twelve strains were inoculated in Czapek-Dox agar plates formulated as modified from Gulati et al. (1997) and Mahajan et al. (2013): 2 g L-1 glycerol, 5 g L-1 L-asparagine, 6 g L-1 Na2HPO4, 2 g L-1 KH2PO4, 0.5 g L-1 NaCl, 0.0005 g L-1 CaCl2.2H2O, 2% agar, pH 5.5. Bromothymol blue (BTB) was used as acid base indicator at 0.07% to reveal substrate hydrolysis as a green to blue halo against yellow medium. Cultures for screening were started with one of two types of inoculums: conidia and a fragment of mycelium. Conidia were collected in sterile distilled water from mature colonies cultivated in Czapek-Dox agar for 7 d at 30°C. Concentration of conidia was determined by counting in a Neubauer chamber under optical microscopy (400X). An aliquot of 10μL containing 50 conidia was inoculated at the center of Czapek-Dox/BTB agar plates. Cultures were incubated for 168 hours at 30°C. Radial growth was measured as the colony diameter after 12 and at 24 hours intervals. L-asparaginase secretion was estimated by measuring the diameter of the green-blue halo related to ammonia release around the colony. Enzyme activity ratio (EAR) was determined by dividing the diameter of the substrate hydrolysis halo by the colony diameter. Strains which showed rapid induction of asparaginase or best EAR were used in a second screening: a fragment of sporulated active mycelium of 6 mm of diameter was collected from the edge of colonies cultivated in Czapek-Dox (48 hours at 30°C) and transferred to the center of Czapek-Dox/BTB plates containing a hole of the same size. Cultures were incubated at 30°C for 48 hours and analyzed to determine radial growth and EAR as described above. All analyses were performed in triplicate. Strains that produced good EAR and rapid secretion of L-asparaginase activity - as detected after 72 hours in cultures inoculated with conidia or after 24 hours in cultures inoculated with mycelia - were selected for further analyses.
Nitrogen utilization
Penicillium sp. T6.2, Penicillium sp. T8.3 and Fusarium sp. T22.2 - selected for their potential as L-asparaginase producers – were analyzed according to their profile of growth under cultivation on different nitrogen sources, once L-asparaginase is subjected to nitrogen metabolic regulation (Drainas, Kinghorn & Pateman, 1977). The ability to use nitrogen sources is important for further development of productive processes. Fifty conidia of each strain were collected as described above and transferred to the center of Petri dishes containing Czapek-Dox agar supplemented with one of the following nitrogen sources at a final concentration of 5 g L-1: L-asparagine, glutamine, glutamate, urea, yeast extract, sodium nitrate, and ammonium sulfate. Glycerol concentration was increased to 5 g L-1 to yield a carbon/nitrogen ratio (C/N) of 1/1. Other medium constituents were kept as described in the previous session. Cultures were incubated at 30°C. Colony diameter was measured after 12 and at 24 hours intervals until 168 hours. All analyses were performed in triplicate.
Selection of a carbon source and C/N ratio for expression of L-asparaginase activity
Differences in temporal expression and EAR of L-asparaginase activity by strains Penicillium sp. T6.2, Penicillium sp. T8.3 and Fusarium sp. T22.2 were evaluated in Czapek-Dox/BTB agar supplemented with glycerol or glucose as carbon sources, and L-asparagine as nitrogen source. It was used two C/N ratios at three different concentrations of glycerol or glucose, and L-asparagine for formulation of media: C/N 1/1 - carbon source at 5 g L-1 and L-asparagine at 5 g L-1; C/N 1/1 - carbon source at 2 g L-1 and L-asparagine at 2 g L-1; C/N 5/1 - carbon source at 25 g L-1 and L-asparagine at 5 g L-1; C/N 5/1 – carbon source at 2 g L-1 and L-asparagine at 0.4 g L-1. Cultures of each strain were prepared in triplicate by inoculating plates of each medium with 50 conidia. Cultures were incubated at 30°C. The diameter of colonies, the halo of L-asparagine hydrolysis, and EAR were determined after 12 and at 24 hours intervals for 168 hours. After selection of the carbon source and C/N ratio, media for L-asparaginase production by liquid state fermentation were prepared.
Asparaginase production in stationary liquid state bioprocesses
Three media were formulated for production of L-asparaginase by strains Penicillium sp. T6.2, Penicillium sp. T8.3 and Fusarium sp. T22.2. Medium Bacelar-1 was formulated with a C/N 1/1, and contained 5 g L-1 glycerol; 5 g L-1 L-asparagine; 6 g L-1 Na2HPO4, 2 g L-1 KH2PO4, 0.5 g L-1 NaCl, 0.2 g L-1 MgSO4.7H2O. Medium Bacelar-2 was formulated with a C/N 5/1, and contained 2 g L-1 glycerol and 0.4 g L-1 L-asparagine; phosphate and mineral sources were kept as in Bacelar-1. There are reports showing that L-asparaginase production is under nitrogen repression in Aspergillus nidulans (Drainas et al., 1977). Thus, a medium without a nitrogen source was also prepared, in order to evaluate if L-asparagine is necessary for induction of L-asparaginase, or if it is produced as a constitutive enzyme by strains T6.2, T8.3 and T22.2. Medium Bacelar-3 was supplemented with 5 g L-1 glycerol, no L-asparagine, and phosphate and mineral sources as in Bacelar-1 and Bacelar-2. All media were adjusted to pH 5.5. Bioprocesses were conducted in triplicate by stationary liquid state fermentation in 50 mL Erlenmeyer flasks containing 20 mL of each medium. Conidia were transferred to a final concentration of 105 mL-1, and cultures were incubated for 72 hours at 30°C. Aliquots were removed at 24 hours intervals and centrifuged (10 min at 3.000 g) before enzyme activity determination.
Determination of L-asparaginase activity
L-asparaginase was determined in supernatants as adapted from the literature (Sarquis, Oliveira, Santos, & Costa, 2004; Chow & Ting, 2015). A reaction mixture was prepared in 15 mL polypropylene tubes by mixing 0.1 mL of Tris. HCl 0.05 mol L-1 pH 7.2 with 0.2 mL of L-asparagine 0.04 mol L-1 and 0.1 mL of distilled water. Mixtures were pre-incubated at 37ºC for 5 min., and 0.1 mL of supernatant was added. Reactions were incubated for 30 min at 37ºC and stopped by addition of 0.1mL of 1.5 mol L-1 trichloroacetic acid (TCA). Control samples were prepared by adding TCA before supernatant addition. An aliquot of 0.1 mL of each reaction and control sample was mixed with 0.3 mL of Nessler reagent and 0.75 mL of distilled water to determine the amount of ammonia released during the reaction. After 15 min. at 28ºC, absorbance was determined at 450 nm against a blank prepared with 0.85 mL of distilled water and 0.3 mL of Nessler reagent. The amount of ammonia formed in 30 min. of reaction by L-asparaginase present in supernatants was estimated by the difference of absorbance determined in reaction and control samples against a calibration curve of ammonium sulphate. One unit of L-asparaginase activity was defined as the amount of enzyme that releases an amount of ammonia of 1 µg min-1 mL-1 in the reaction conditions.
Results and discussion
Screening of L-asparaginase producers
Fungi have long been known as good enzyme producers. Their absorptive mode of nutrition requires an efficient secretion of enzymes to decompose nutrients in the extracellular medium, so that the presence of an inducer substrate usually activates production of the enzyme required for its utilization. This makes fungi potential sources for production of extracellular enzymes. In this study, 12 strains of filamentous fungi - Penicillium sp. T1.2, Penicillium sp. T3.1, Aspergillus sp. T7.1, Fusarium sp. T22.2, Aspergillus sp. T26.4, Penicillium sp. T6.2, Penicillium sp. T8.3, Penicillium sp. T9.1, strain T14.2, Penicillium sp. T6.1, Aspergillus tubingensis AN1257, Aspergillus niger N402 (ATCC® 64974TM) - were screened to search L-asparaginase producers. Among these 12 fungal strains cultivated in Czapek-Dox/BTB agar, three strains - Penicillium sp. T6.2, Penicillium sp. T8.3 and Fusarium sp. T22.2 - produced EAR > 1.0 after 72 hours in cultures inoculated with conidia (Figure 2A). This can be considered a short time for obtainment of a visible halo of substrate hydrolysis, once each culture was started with only 50 conidia. Another strain, Penicillium sp. T9.1, also produced EAR > 1.0, but just after 168 hours, while Penicillium sp. T6.1 reached an EAR = 0.88 after 168 hours (Figure 2A). Other 7 strains evaluated in this first screening did not show any detectable activity of L-asparaginase.

All strains that produced an EAR > 1.0, meaning that substrate hydrolysis rate was higher than radial growth rate, were evaluated in a second screening, in which cultures were started with mature mycelium: Penicillium sp. T6.2, Penicillium sp. T8.3, Fusarium sp. T22.2, and Penicillium sp. T9.1. This second trial was performed in order to verify if mature mycelium would yield faster expression of L-asparaginase or if EAR would be increased. It is important to note that some productive processes are divided in a pre-fermentation step, in which biomass is produced, and a second step, in which biomass is transferred to a production media. This happens because conditions for production are not always adequate for germination and growth. Thus, screening of biotechnological producers would better take into account both possibilities for future application in bioprocesses. Results of the second screening are shown in Figure 2B and were coherent with data obtained from the first screening (Figure 2A). Strains T6.2, T8.3 and T22.2 confirmed their tendency of expressing L-asparaginase activity at lower times of incubation (24 hours). This is important because time influences costs and the economic viability of biotechnological processes. Fusarium sp. T22.2 produced a lower EAR when compared to the other three fungi evaluated, but this may have resulted from its increased radial growth, once it is a fast growing strain. Yet, alike T6.2 and T8.3, strain T22.2 produced an EAR > 1.0 after 24 hours (Figure 2B). Strain T9.1 confirmed its profile of late secretion of L-asparaginase (Figure 2B). Whereas this may indicate the presence of more strict regulatory mechanisms for gene induction and enzyme synthesis, strain T9.1 was not selected for developing a productive process.
Nitrogen utilization
The nitrogen source is among the most considered factors during development of productive bioprocesses. Nitrogen sources, either organic, like urea and amino-acids, or the inorganic ones, like nitrate, are converted to inorganic ammonia, which is introduced into the metabolism by forming glutamate and glutamine, two nitrogen donors for anabolic reactions. Some sources are of primary utilization by fungi, and are converted to intracellular ammonia by constitutive enzymes, while others need gene induction and enzyme synthesis before utilization (Pereira et al., 2003; Tudzynski, 2014). Secondary sources usually support lower initial growth rates, what can be related to the necessary activation of genes coding the assimilative enzymes in order to further reach high rates of protein and nucleic acid synthesis. Both growth and enzyme synthesis are influenced by nitrogen source and by C/N ratio, which modify metabolic rates. Thus, the ability to assimilate and grow fast on a variety of nitrogen sources is important for biotechnological producers. As shown in Figure 3, Penicillium sp. T6.2, Penicillium sp. T8.3, and Fusarium sp. T22.2 grew well when cultivated in all nitrogen sources. This may indicate a rapid assimilation of organic (glutamate, glutamine, asparagine, urea, yeast extract) and inorganic (nitrate and ammonium) nitrogen, either primary (glutamate, glutamine, yeast extract and ammonium) or secondary (asparagine, urea and nitrate).

However, complexes sources are expensive, and the costs of yeast extract, that better induced growth, are 27 times more elevated than those of ammonium sulfate pro analysis. In this sense, nitrogen sources like ammonium sulfate or sodium nitrate, which still supported good growth rates, would be preferable.
Selection of carbon source and C/N ratio for expression of L-asparaginase activity
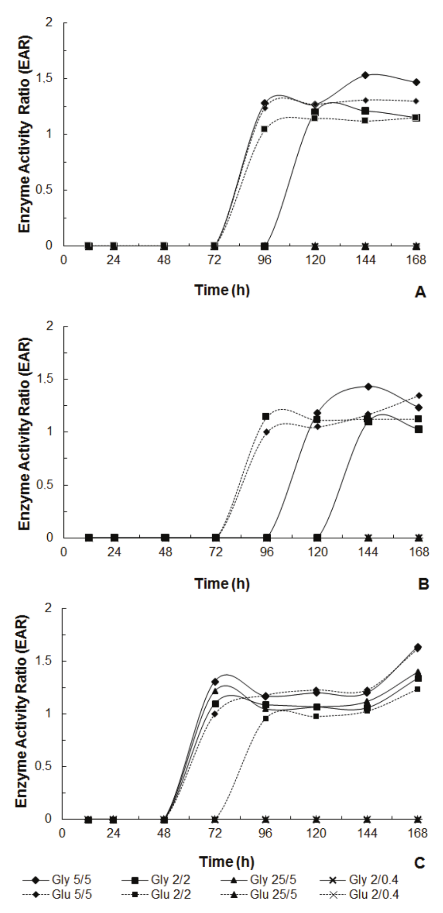
The effects of glycerol and glucose as carbon sources on expression of L-asparaginase activity by strains T6.2, T8.3 and T22.2 are shown in Figure 4.
The highest values of EAR for the three strains studied were reached with glycerol as carbon source, at C/N 1/1, and in medium Gly 1 supplemented with 5 g L-1 of glycerol and 5 g L-1 of L-asparagine (Figure 4). Increasing glycerol concentration to 25 g L-1 and C/N ratio to 5/1 in medium Gly 3, while keeping L-asparagine concentration at 5 g L-1, abolished expression of L-asparaginase activity by Penicillium sp. T6.2 (Figure 4A) and Penicillium sp. T8.3 (Figure 4B). Decreasing glycerol to 2 g L-1 and L-asparagine to 0.4 g L-1 (C/N 5/1) in medium Gly 4 had the same effect for both strains of Penicillium sp. and for Fusarium sp. T22.2: no activity of L-asparaginase could be detected during the whole period of incubation. However, Fusarium sp. T22.2 was able to express L-asparaginase activity after 72 hours when cultivated in high concentration of glycerol (25 g L-1) and L-asparagine at 5 g L-1 (medium Gly 3, C/N 5/1) (Figure 4C). Strain T22.2 produced enzyme activity in shorter times, supported production in a higher range of conditions, and yielded good EAR values (Figure 4C). The two Penicillium sp. strains showed differences in temporal expression of L-asparaginase in function of the carbon and nitrogen sources (Figure 4A and 4B). Strain T6.2 expressed enzyme activity after 96 hours in media Gly 1 and Gluc 1, supplemented with glycerol or glucose (5 g L-1) and L-asparagine (5 g L-1), but also in medium Gluc 2 supplemented with glucose (2 g L-1) and L-asparagine (2 g L-1), although with a lower EAR (Figure 4A). A delay in L-asparaginase detection resulted upon cultivation in medium Gly 2, which was supplemented with glycerol at 2 g L-1 and L-asparagine at 2 g L-1 (Figure 4A). Glucose induced faster production of L-asparaginase by strain T8.3 than glycerol (Figure 4B). Considering the values of EAR, the best combination for induction of L-asparaginase activity was glycerol at a final concentration of 5 g L-1 and L-asparagine at a final concentration of 5 g L-1. Besides, glycerol is less expensive than glucose to be used as a substrate in a productive process.

Asparaginase production in stationary liquid state bioprocesses
Results from productive bioprocesses confirmed ability of strains T6.2 and T22.2 to produce L-asparaginase after 72 hours, as shown in Figure 5, and were in agreement with data obtained in solid media (Figure 4). Strain T8.3 was not adequate for production of L-asparaginase from glycerol in a short time (Figure 5), alike it had shown a delayed expression of enzyme activity in solid media supplemented with glycerol (Figure 4B).

L-asparaginase was reported to be under nitrogen regulation in fungi, seeming to be repressed for some nitrogen sources (Drainas et al., 1977; Sarquis et al., 2004). A. nidulans produced 7.5 times more enzyme activity upon depletion of L-asparagine (Drainas et al., 1977). These reports partially explain production of L-asparaginase by strain T8.3 in a medium without L-asparagine. Further experiments will be conducted to investigate if low concentrations of this amino acid would be beneficial for enzyme production by this fungus. The best condition for L-asparaginase production was medium Bacelar-1 (5 g L-1 glycerol; 5 g L-1 L-asparagine) (Figure 5). The highest L-asparaginase activity was produced in Bacelar-1 by Fusarium sp. T22.2 and reached 11.45 U min.-1 mL-1, whereas Penicillium sp. T6.2 produced 8.32 U min.-1 mL-1. Other authors have reported a production of 58.8 U L-1, or 0.0588 U mL-1, by Aspergillus terreus, in a medium supplemented with 2% proline (Sarquis et al., 2004). Chow and Ting (2015) screened 89 fungal isolates for L-asparaginase production. Among 25 producers, isolate ODL4 produced the highest activity of L-asparaginase: 0.025 µM mL-1 min-1 (Chow & Ting, 2015). This activity corresponds to 0.425 U min.-1 mL-1 if converted to the units we used in the present work, and it is almost 27 times lower than the maximum activity produced by Fusarium sp. T22.2. An isolated identified as Fusarium sp. MKS1 produced an enzyme activity of 0.013 µM mL-1 min.-1 (Chow & Ting, 2015). The lowest concentrations of glycerol and L-asparagine in the liquid medium Bacelar-2 (2 g L-1 glycerol; 0.4 g L-1 of L-asparagine) reduced the enzyme production by strains T22.2 and T6.2, whereas a small activity could yet be determined (Figure 5). The absence of supplementation of the liquid medium Bacelar-3 with L-asparagine did not restrain the enzyme production, but decreased it significantly for strains T6.2 and T22.2, showing that the enzyme is under positive induction by substrate in these fungi.
Conclusion
Three fungal strains were selected for L-asparaginase production by means of a screening procedure, by evaluating glycerol or glucose as carbon sources, and their relative concentration to nitrogen source. The results showed the efficacy of the screening procedures and the importance of studying culture conditions before conduction of productive processes: two fungal strains - Penicillium sp. T6.2 and Fusarium sp. T22.2 - produced activities of L-asparaginase of 8.32 U min.-1 mL-1 and 11.45 U min.-1 mL-1, respectively. Data indicate that these strains can grow on different nitrogen and carbon sources, and that they can be applied in an optimization procedure for L-asparaginase production.
Acknowledgements
This work is part of a research performed by Aline Bacelar Gonçalves under the Program of Postgraduate Studies in Pharmaceutical Sciences of the Universidade Federal dos Vales do Jequitinhonha e Mucuri, in partial fulfillment for the Master degree. A.B.G. received a fellowship from CAPES.
References
Ando, M., Sugimoto, K., Kitoh, T., Sasaki, M., Mukai, K., Ando, J., & Oshimi, K. (2005). Selective apoptosis of natural killer-cell tumours by l-asparaginase. British Journal of Haematology, 130(6), 860-868.
Andrade, A. F., Borges, K. S., & Silveira, V. S. (2014). Update on the use of L-asparaginase in infants and adolescent patients with acute lymphoblastic leukemia. Clinical Medicine Insights: Oncology, 8, 95-100.
Baskar, G., & Sahadevan, R. (2012). Optimization of culture conditions and bench-scale production of L-Asparaginase by submerged fermentation of Aspergillus terreus MTCC 1782. Journal of Microbiology and Biotechnology, 22(7), 923-929.
Broome, J. D. (1963). Evidence that the L-asparaginase of guinea pig serum is responsible for its antilymphoma effects. II. Lymphoma 6C3HED cells cultured in a medium devoid of L-asparagine lose their susceptibility to the effects of guinea pig serum in vivo. Journal of Experimental Medicine, 118(1), 121-148.
Chow, Y. Y., & Ting, A. S. Y. (2015). Endophytic L-asparaginase-producing fungi from plants associated with anticancer properties. Journal of Advanced Research, 6(6), 869-876.
Drainas, C., Kinghorn, J. R., & Pateman, J. A. (1977) Aspartic hydroxamate resistance and asparaginase regulation in the fungus Aspergillus nidulans. Journal of General Microbiology, 98(2), 493-501.
ExPASy. (2016). Enzyme Comission Numbers: EC 3.5.1.1. Retrieved from: http://enzyme.expasy.org/cgi-bin/enzyme/enzyme-search-ec
Gulati, R., Saxena, R. K., & Gupta, R. (1997). A rapid plate assay for screening L-asparaginase producing microorganisms. Letters in Aplied Microbiology, 24(1), 23-26.
Huang, L., Liu, Y., Sun, Y., Yan, Q., & Jiang, Z. (2014). Biochemical characterization of a novel L-asparaginase with low glutaminase activity from Rhizomucor miehei and its application in food safety and leukemia treatment. Applied and Environmental Microbiology, 80(5), 1561-1569.
Loureiro, C. B., Borges, K. S., Andrade, A. F., Tone, L. G., & Said, S. (2012). Purification and biochemical characterization of native and pegylated form of L-asparaginase from Aspergillus terreus and evaluation of its antiproliferative activity. Advances in Microbiology, 2(2), 138-145.
Mahajan, R. V., Saran, S., Saxena, R. K., & Srivastava, A. K. (2013). A rapid, efficient and sensitive plate assay for detection and screening of asparaginase-producing microorganisms. FEMS Microbiology Letters, 341(2), 122-126.
Pereira, J. F., Lima, J. O., Rocha, R. B., Medina, P. X. L., Araújo, E. F., & Queiroz, M. V. (2003). Nitrato redutase em fungos filamentosos. Revista Biotecnologia Ciência & Desenvolvimento, 31, 74-85.
Peterson, R. E., & Ciegler, A. (1969). L-asparaginase production by various bacteria. Applied Microbiology, 17(6), 929-930.
Pieters, R., Hunger, S. P., Boos, J., Rizzari, C., Silverman, L., Baruchel, A., & Pui, C. H. (2011). L-asparaginase treatment in acute lymphoblastic leukemia. Cancer, 117(2), 238-249.
Sarquis, M. I. M., Oliveira, E. M. M., Santos, A. S., & Costa, G. L. (2004). Production of L-asparaginase by filamentous fungi. Memórias do Instituto Oswaldo Cruz, 99(5), 489-492.
Tong, W. H., Sluis, van der I. M., Alleman, C. J. M., Litsenburg, R. R. L., Kaspers, G. J. L., Pieters, R., & Groot, C. A. U. (2013). Cost-analysis of treatment of childhood acute lymphoblastic leukemia with asparaginase preparations: the impact of expensive chemotherapy. Haematologica, 98(5), 753-759.
Tudzynski, B. (2014). Nitrogen regulation of fungal secondary metabolism in fungi. Frontiers in Microbiology, 5, 1-15.
Zuo, S., Zhang, T., Jiang, B., & Wanmeng, M. (2015). Recent research progress on microbial L-asparaginases. Applied Microbiology and Biotechnology, 99(3), 1069-1079.
Author notes
apvanzela@ufvjm.edu.br