Morfofisiologia Vegetal
Shading effects on leaf life span and functional traits in the widespread species Enterolobium contortisiliquum (Vell.) Morong
Efeitos do sombreamento sobre o tempo de vida foliar e características funcionais na espécie com ampla distribuição Enterolobium contortisiliquum (Vell.) Morong
Shading effects on leaf life span and functional traits in the widespread species Enterolobium contortisiliquum (Vell.) Morong
Acta Scientiarum. Biological Sciences, vol. 39, no. 1, pp. 113-122, 2017
Universidade Estadual de Maringá
Received: 01 September 2016
Accepted: 14 February 2017
Abstract: Enterolobium contortisiliquum occurs in native forests formations from southeast to northeast Brazil, and too in Argentina, Bolivia and Paraguay. The objective of this study was to evaluate shading effects in the early growth of E. contortisiliquum plants. We measured leaf gas exchange, chlorophyll content index, biomass allocation and leaf development in plants in sunny and shaded areas. The experiment was performed in Universidade Federal de Viçosa, campus Florestal, Minas Gerais, Brazil. To determine the effects of different light regimes (full sunlight and shade) on the growth of E. contortisiliquum plants, we divided plants into two groups: plants grown in a greenhouse under full sunlight, and plants grown under 70% shade tissue. E. contortisiliquum plants grown in full sunlight showed an increase in maximum net photosynthesis, root, stem, and leaf dry mass, root length, root/stem ratio, and length of the stem. However, E. contortisiliquum under shade showed larger specific leaf area, leaf area ratio, chlorophyll content, long leaf life span, and slow growth. These ecophysiological adjustments in sunny and shaded areas may explain the wide geographical distribution of E. contortisiliquum in many vegetation types.
Keywords: leaf area, leaf development, maximum net photosynthesis.
Resumo: Enterolobium contortisiliquum ocorre em formações florestais nativas do sudeste ao nordeste do Brasil e também na Argentina, Bolívia e Paraguai. O objetivo deste estudo foi avaliar os efeitos do sombreamento no crescimento inicial de E. contortisiliquum. As trocas gasosas foliares, o índice de conteúdo de clorofila, a alocação de biomassa e o desenvolvimento foliar foram avaliados em plantas sob sol pleno e sombra. O experimento foi realizado na Universidade Federal de Viçosa, campus Florestal, Minas Gerais, Brasil. Para determinar os efeitos de diferentes regimes de luz sobre o crescimento das plantas de E. contortisiliquum, dividimos as plantas em dois grupos: plantas que cresceram em estufa a pleno sol e plantas que cresceram sob sombrite 70%. As plantas de E. contortisiliquum que cresceram em pleno sol apresentaram aumento na fotossíntese líquida máxima, massa seca de raiz, de caule e folhas, comprimento de raiz, razão massa de raiz/caule e comprimento do caule. Entretanto, plantas de E. contortisiliquum sob sombra apresentaram maior área foliar específica, razão de área foliar, conteúdo de clorofila, tempo de vida foliar e crescimento lento. Esses ajustes ecofisiológicos em áreas sob sol e sombra podem explicar a ampla distribuição geográfica de E. contortisiliquum em muitos tipos vegetacionais.
Palavras-chave: área foliar, desenvolvimento foliar, fotossíntese líquida máxima.
Introduction
Plants grown in shaded environments show a reduction in their maximum photosynthetic capacity, saturation irradiance to photosynthesis, and compensation point for light (Straus-Deberiedetti & Bazzaz, 1996). Leaves of shaded plants have a high chlorophyll content, primarily chlorophyll b, which is related to an increase in the complex antenna size (Boardman, 1977). Also, under shade, plants invest more in leaf area than in mass (Gobbi, Garcia, Ventrella, Garcez, & Rocha 2011; Poorter, 1999). On the other hand, plants grown in sunny areas have high leaf photosynthesis, stomatal conductance, and saturation irradiance of photosynthesis (Bazzaz, 1998; Chazdon, Pearcy, Lee, & Fetcher, 1996). Sun leaves show an increase in the fraction of chlorophyll a to chlorophyll b, due to an increase in reaction centers and components of the electron transport chain, rather than in pigments associated with the light antenna complex (Anderson, 1986).
According to Kikuzawa and Lechowicz (2011), leaf longevity is relatively shorter in sun leaves than in shade leaves. In shaded environments, long leaf life span (LLS) indicates an adjustment for the leaf to contribute to a more economical use of carbon given the leaf area. Reich, Uhl, Walters, Prugh and Ellsworth (2004) discussed that LLS in understory species is a response to a slow growth rate. In sunny environments, owing to a fast growth rate and high rates of resource remobilization from older to new leaves, plants may have short LLSs. Thus, adjustments of leaf longevity in plants growing at distinct light availabilities are the result of resource optimization strategies in a particular environment (Kikuzawa & Ackerly, 1999; Kikuzawa & Lechowicz, 2011; Reich et al., 2004).
These morphophysiological adjustments due to distinct light regimes could change between restricted and widespread species. The capacity of a particular genotype to express a distinct phenotype in response to an environmental factor is called phenotypic plasticity (Boschilia, Thomaz, & Piana, 2006). Widespread species might have high phenotypic plasticity in individuals with similar genotypes or significant genetic polymorphism among individuals, whereas restricted species might have less plasticity. Plant communities that include widespread species show high environmental variability (Gaston & Lawton, 1990). Widespread species are classified as good strategists in relation to ecological sustainability and they stand out by their wide occurrence in several ecosystems. As the environment changes, widespread species often replace restricted ones, resulting in a loss of spatial biodiversity (Clavel, Julliard, & Devictor, 2011; McKinney & Lockwood, 1999). Communities formed by restricted species, which exhibit niche partitioning and complementary responses, must be more resistant and resilient than communities composed mostly of widespread species (Clavel et al., 2011). The loss of functional responses through replacement of restricted species may produce biotic homogenization, an important issue in current biodiversity and ecological studies.
Enterolobium contortisiliquum (Vell.) Morong occurs in natural forest formations, mainly in the Atlantic Forest (Lima, Oliveira, & Rodrigues, 2009). This species also occurs in the Cerrado domain and Caatinga vegetation in northeast Brazil. At the southern limit of its occurrence in Brazil, this species is found in seasonal forests, open fields, and shrub restinga. It also occurs in Argentina, Bolivia, Paraguay, and Uruguay (Prado & Gibbs, 1993). Various authors have investigated the influence of distinct levels of irradiance on growth (Lima, Zanella, & Castro, 2010; Melo, Cunha, Rodolfo Júnior, & Stangerlin, 2008; Scalon, Mussury, Scalon Filho, & Francelino, 2006) and photosynthetic pigments (Lima et al., 2010) of E. contortisiliquum. However, distinct results were found in ecophysiological responses of E. contortisiliquum under contrasting irradiance regimes. According to Scalon et al. (2006), E. contortisiliquum plants under full sun showed higher values of root and total dry mass and height than shaded plants. On the other hand, Lima et al. (2010) and Melo et al. (2008) found that shaded E. contortisiliquum plants showed higher height, root length, and total dry mass than those grown in sun. These contrasting responses could be a result of the ability of E. contortisiliquum to adjust to varying environmental conditions. Enterolobium contortisiliquum is recommended for reforestation in degraded areas (Araújo & Paiva Sobrinho, 2011) owing to its wide occurrence in diverse vegetation types. The use of E. contortisiliquum in mixed reforestation of degraded areas or areas of permanent preservation is due to its fast early development. Enterolobium contortisiliquum, as a widespread species, shows a high probability of establishment and because of its flexibility is often able to live in habitats that differ from where it was cultivated.
Here, we investigated the influence of different light regimes (full sunlight and shade) on the early growth of E. contortisiliquum. Our hypothesis was that given the wide distribution of E. contortisiliquum in several vegetation types, this species has a high adjustment capacity in both morphological and functional traits that benefit plants growing in sunny and shaded environments. We expected high values of maximum net photosynthesis, dry matter production, and low LLS in E. contortisiliquum plants grown in sunny conditions. However, E. contortisiliquum plants grown in the shaded environment would show leaf adjustments in chlorophyll content, specific leaf area, and LLS. These changes would indicate ecological strategies of resource optimization that contribute to an economical use of carbon in early plant growth. The results will increase understanding of how widespread species may respond to environmental factors that contribute to the issues of biotic homogenization and loss of functional diversity.
Material and methods
Study area and climate
The experiment was performed in a greenhouse located at the Laboratory of Plant Tissue Culture from Universidade Federal de Viçosa, Campus Florestal, Minas Gerais, Brazil (19° 52’ 29’’ S and 44° 25’ 12” W). The climate of Florestal was classified as subtropical, with a rainy summer and dry winter. The average values from 30 years of climatic data records were 1427 mm of precipitation, 13°C minimum temperature, and 28°C maximum temperature. The geographic area of Florestal is about 191 km2, located in a transitional area between Atlantic Forest and the Cerrado domain.
Plants material and soil characteristics
Enterolobium contortisiliquum fruits were collected in Florestal from September to October 2011. The fruits were collected after they dropped from trees that were located on the edge of a forest fragment near the campus. The fruits were processed at the Laboratory of Plant Tissue Culture and the seeds were sterilized with 2% sodium hypochlorite for five minutes. Seeds were mechanically scarified to break the physical dormancy of the hard seed coat, which is well known from this species (Lima, Borghetti, & Sousa, 1997). Seeds were placed on filter paper in a B.O.D. chamber under a controlled photoperiod (12 hours) and temperature (30°C, Malavasi & Malavasi, 2004) after scarification. After germination and emergence of two pairs of leaves, seedlings were transplanted into pots with 8 L of soil and placed in the greenhouse where the experiment was performed. The greenhouse permitted full solar irradiance and had ventilation to regulate air temperature.
The soil used to cultivate E. contortisiliquum plants was considered eutrophic (base saturation index > 50%, Empresa Brasileira de Pesquisa Agropecuária [EMBRAPA], 2013). The soil chemical traits were as follows: pH in H2O = 6.40; H + Al = 3.9 cmol.charge dm-3; Al3+ = 0.00 cmol.charge dm-3; Ca2+ = 11.79 cmol.charge dm-3; Mg2+ = 5.14 cmol.charge dm-3; P = 399.9 mg dm-3; K = 199 mg dm-3; sum of bases = 17.44 cmol.charge dm-3; cation exchange capacity = 21.34 cmol.charge dm-3; aluminum saturation index = 0.00%, and index of base saturation = 81.7%. The soil analyses were performed at the Laboratory of Soil Analysis of the Universidade Federal de Viçosa.
Experimental design
To determine the effects of different light regimes (full sunlight and shade) on the early growth of E. contortisiliquum plants, we divided plants into two groups. The first group of 30 plants was placed in the greenhouse under full sunlight (about 1800 μmol m-2 s-1 of photosynthetic radiation at noon). The second group of 30 plants was placed under 70% shade cloth (shaded group, about 540 μmol m-2 s-1 of photosynthetic radiation at noon). The shade cloth permitted only 30% of transmitted light to reach the plants. The 70% light attenuation was chosen based on previous research that showed that this shading level results in a growth response in young E. contortisiliquum plants (Melo et al., 2008). All pots with plants were watered daily to soil field capacity. The experimental design used completely randomized blocks with 60 plants in total. At each data collection point, five plants per treatment (full sunlight and shade) were measured.
Leaf gas exchange and chlorophyll
Leaf gas exchange and chlorophyll content index (CCI) measurements were made in five individuals per treatment (n = 5), in four leaves per individual. The leaf gas exchange measurements were made 90, 180, and 245 days after transplanting (DAT). However, the CCI determinations were made only in plants at 180 and 245 DAT.
All leaves used in leaf gas exchange and CCI measurements were completely expanded, without signs of senescence, pathogens, or herbivory. The measurements were made between 08:00 and 10:00 a.m. The CCI measurements included chlorophyll a, b, total chlorophyll, and ratio of chlorophyll a/b. The parameters determined in leaf gas exchange were maximum net photosynthesis (Amax, μmol m-2 s-1), stomatal conductance (gs, mol m-2 s-1), and leaf transpiration rate (E, mmol m-2 s-1). The Amax was determined under a photosynthetic photon flux density of 1500 μmol m-2 s-1 provided by a light source (PLU-002, ADC) attached to a narrow Parkinson leaf chamber (PLCN-4, ADC). A Peltier system (ADC) kept the PLCN-4 at 25-27°C. The leaf inside the PLCN-4 was kept at 40-50% relative humidity and an ambient CO2 concentration of 353 ± 1 μmol mol-1. An IRGA (LCA-4, Analytical Development Company, Hoddesdon, UK) working in open mode and a clorofiLOG (CFL1030, FALKER, Porto Alegre, Rio Grande do Sul, BR) were utilized to determine leaf gas exchange and CCI, respectively. The clorofiLOG was calibrated before measurements according to the manufacturer’s instructions. Water use efficiency (WUE, Amax/E, μmol mmol-1) was calculated from the values of Amax and E.
Leaf water potential
The leaf water potential determinations (Ψleaf) were made between 08:00 and 10:00 a.m., in two leaves from each of the same five individuals (n = 5) used in the leaf gas exchange measurements. Leaves were removed from branches and Ψleaf was immediately determined with a portable digital pressure chamber, SKPM model 1400/80 (Skye Instruments Ltd.).
Leaf area and leaf, stem, and root masses
A different group of five individuals (n = 5) in each light treatment (sun and shade) was used to determine stem and root length, leaf, stem, and root dry masses, and leaf area. These data were collected at 90, 180, and 245 DAT.
Stems and roots were separated and their length measured with a millimeter ruler after plants were removed from the soil. An image of each leaf was digitized with a scanner and the area was determined in the laboratory using the Image-Pro software, 5.0 (Maryland, USA). Leaves, stems, and roots were dried in an oven with air circulation (TECNAL TE-394/3, Piracicaba, São Paulo, Brazil) at 60°C to a constant weight (Pérez-Harguindeguy et al., 2013), and their masses were measured with an analytical balance (SHIMADZU-Series BL-320H, Tokyo, Japan). All leaves on stems were considered independently of size and age.
Shoot-foliage relationships
From morphological traits determined (mass and area of leaves and length and mass of stems and roots), the following biometric indices were calculated: specific leaf area (leaf area per leaf mass, cm2 g-1, SLA), root/stem ratio (g g-1, RSR), and leaf area ratio (total leaf area by total dry mass, cm2 g-1, LAR).
Vegetative morphometry and leaf cycle
Leaf number and stem length and diameter were measured from five individuals between February and September 2012 for each light treatment. Stem length was measured using a millimeter ruler and a pachymeter was used to determine diameter at the stem base. Total leaf number was recorded from five individuals weekly when diameter and length of the stem (same individuals) were determined. In each individual (n = 5 per light treatment), two leaves were marked, and their development was tracked to determine LLS. The LLS was defined as the time between a leaf’s emergence from the bud to its senescence and dehiscence from the shoot. The same leaves previously marked for LLS measurement were used to calculate leaf expansion interval (LEI, days to full expansion) and leaf expansion rate (LER, mature leaf area divided by LEI, cm2 days-1).
Statistical analyses
For both light treatments, the average values and standard error were calculated for all morphophysiological and morphometrical traits measured in Enterolobium contortisiliquum plants. Variance analyses and posteriori Tukey’s tests were applied to identify differences between light treatments (sun and shade) and periods of measurement. The program R was used to perform all statistical analyses. A principal component analysis (PCA) was performed with all physiological and morphological traits to determine what contributes most to differences between two light treatments. The PCA was conducted using the program MVSP (2001), version 3.12.
Results
Enterolobium contortisiliquum plants grown in sun had significantly higher (p < 0.05) values of Amax than plants grown in shade (Figure 1A) at all measurement points. There were no significant differences (p > 0.05) in E, gs, WUE, and Ψleaf between sun and shade plants (Figure 1). Sun and shade plants had significantly higher values (p > 0.05) of Amax and E at 245 DAT than at 90 DAT (Figure 1A, C).
Plants of E. contortisiliquum grown in shade had significantly higher values (p < 0.05) of chlorophyll a and total chlorophyll than plants grown in sun (Figure 1F, H). There were no differences between sun and shade plants in regard to chlorophyll b and the chlorophyll a/b ratio (Figure 1G, I).
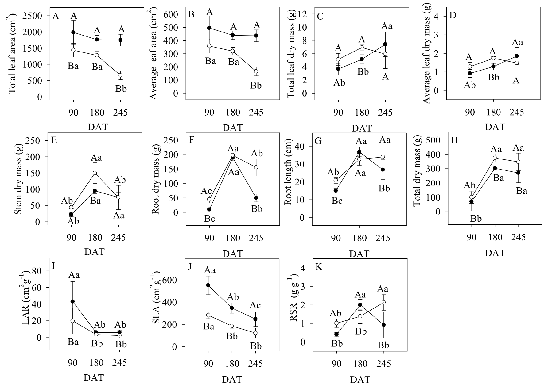
Total and average leaf area were significantly higher (p < 0.05) in individuals grown in shade than those grown in sun throughout the experiment (Figure 2A, B). Sun plants showed a reduction in total and average leaf area at 245 DAT, and at 180 DAT, they had significantly higher (p < 0.05) values of total and average leaf dry mass and stem dry mass (Figure 2C, E) than those grown in shade. There was a significant increase in average and total leaf dry mass (p < 0.05) from 90 to 245 DAT in shade plants (Figure 2C, D). The length and mass of roots were significantly higher (p < 0.05) in sun individuals than in shade individuals at 90 and 245 DAT (Figure 2F, G). Sun plants showed a significantly higher total dry mass during the whole experiment than did shade plants (Figure 2H, p < 0.05). There was a substantial increase of total dry mass from 90 to 245 DAT in both sun and shade plants (Figure 2H).
Values of LAR and SLA were significantly higher (p < 0.05) in shade individuals than in sun individuals throughout the experiment (Figure 2). There was a drop in LAR and SLA values from 90 to 245 DAT in individuals in both light conditions. Sun plants presented an increase in RSR during the experimental period. The RSR in sun plants was higher than that in shade plants at 90 and 245 DAT (Figure 2K).

The leaf number and stem diameter showed distinct differences between sun and shade plants (Figure 3A, C). Stem diameter was significantly higher (p < 0.05) in sun than in shade plants at 180 DAS; however, there was an inversion at the end of the experiment, when shade plants had significantly higher (p < 0.05) values of stem diameter and leaf number. Only stem length in sun plants was significantly greater (p < 0.05) than in shade plants during the whole experiment (Figure 3). In addition, there was a linear increase in these morphometrical traits in sun and shade plants by month (Figure 3).
Plants grown in sun and shade conditions did not show differences in LEI and LER. However, shade plants had a significantly longer (p < 0.05) LLS when compared with sun plants (Table 1).
| Light condition | LEI (days) | LER (cm2 days-1) | LLS (days) |
| Sun | 58.2 ± 10.6 | 8.59 ± 1.81 | 168.4 ± 15.42 B |
| Shade | 63.3 ± 7.95 | 7.89 ± 2.51 | 202.33 ± 21.35 A |
Principal component (PC) 1 in the PCA accounted for 97% of the total variation in the data set, while PC 2 explained an additional 1.4% (Figure 4). Shade and sun plants were strongly separated along PC 1, which was most influenced by total and average leaf area. These variables and SLA were positively correlated with PC 1, and only SLA was positively correlated with PC 2. The clustered distribution of the plants along PC 1 indicates low variation in the pool of considered traits.


Discussion
In general, plants that grow in shaded environments reduce their photosynthetic capacity and light compensation point as physiological adjustments to low light availability (Rossatto, Takahashi, Silva, & Franco, 2010), as shown by plants of E. contortisiliquum grown in shade. This allows plants in shaded areas to maintain a positive carbon gain.
Even though they had low Amax, E. contortisiliquum shade plants maintained vegetative growth and linearly increased their overall dry mass during the experiment (Figure 2). Their low net photosynthesis could be the result of a decreased electron transport rate in chloroplasts and a lower content of soluble protein (mainly Ribulose 1,5 biphosphate, Kung & Marsho, 1976) per unit leaf area, which are documented from growth under low light intensities (Boardman, 1977). Another physiological adjustment in shade leaves is the high mesophyll resistance to CO2 movement between the mesophyll cell wall and the site of Rubisco carboxylation (Boardman, 1977), which results in low photosynthesis. On the other hand, plants grown in full sun have photosynthetic machinery with a high capacity to absorb and convert high irradiance (Bazzaz, 1998; Chazdon et al., 1996). These plants have a fast growth rate under high irradiance, as E. contortisiliquum plants presented in this study (greater stem length, Figure 3). Enterolobium contortisiliquum sun plants, despite high irradiance, maintained leaf gas exchange without alterations to gs and E.
Enterolobium contortisiliquum shade plants had a high chlorophyll a content and total chlorophyll index, indicating a high capacity for light utilization (Nicotra, Chazdon, & Schlichting, 1997) due to a substantial investment in construction of photosystem II. Chlorophyll a is the principal pigment used in the photochemical phase of photosynthesis (Boardman, 1977), while chlorophyll b indicates more investment in the antenna complex, which increases light capture (Streit, Canterle, Canto, & Hecktheuer, 2005). In general, plants grown in shaded conditions show a low ratio of chlorophyll a/b due to slow degradation of chlorophyll b (Engel & Poggiani, 1991). According to Lima et al. (2010), E. contortisiliquum plants grown in shade had high values of total chlorophyll, indicating a high investment in light capture. The high total chlorophyll index in plants grown in the shade results from continuous synthesis of chlorophyll molecules; however, in sun leaves, the chlorophyll degradation process occurs faster, thus decreasing the leaf chlorophyll content (Engel & Poggiani, 1991; Kramer & Kozlowski, 1979). The high investment in chlorophyll by shade plants results in a greater potential to maintain photosynthesis even in a low light condition.
In association with physiological adjustments to shade conditions, E. contortisiliquum plants produced large leaves with high values of SLA and LAR, as shown by the PCA (Figure 4). Plants grown in shaded environments have a higher leaf area than when they are grown in sunny areas (Walters, Kruger, & Reich, 1993). These traits indicate that shade plants invest more in the production of large leaves with thin mesophyll, which produces a leaf structure that is more efficient in light capture (Boardman, 1977; Souza et al., 2009). High LAR values in shade plants indicate a substantial investment in vegetative organs responsible for the capture of limiting light resources (Aleric & Kirkman, 2005; Gordon, 1969). Also, the low leaf number in shade plants indicates a high investment in leaf size, rather than in leaf number. The decrease in leaf number together an increase in area contributes to maintenance of stomatal apparatus density and does not increase the potential E (Gordon, 1969; Sultan, 2003).

Plants that grow in shaded environments may increase stem length to increase leaf light capture. This strategy is well known in understory species (Moraes Neto, Gonçalves, Takaki, Cenci, & Gonçalves, 2000) and in E. contortisiliquum plants grown in shade (Lima et al., 2010; Melo et al., 2008). However, in the present study, shade-grown E. contortisiliquum plants had shorter stems than individuals grown in full sun (Figure 3). Ronquim, Prado and Souza (2009) reported that shade-grown Copaifera langsdorffii Desf. plants had short stems due to a slow growth rate. A reduced stem growth rate and the ability to resist herbivores are crucial for establishment and growth in shade (Kitajima, 1994). In addition, E. contortisiliquum shade plants had lower values of RSR, dry mass, and root length than sun plants. This low investment in the root system in the shade may impair growth when plants grow in shaded conditions in natural habitats.
The LLS is a functional trait that reflects the carbon balance of the whole plant (Chazdon et al., 1996; Kikuzawa, 1991;Reich et al., 1998). A leaf with a more complex structure lives longer to balance the costs of its construction and maintenance (Kikuzawa, 1996; Reich et al., 1998; Reich, Walters, & Ellsworth, 1992). On the other hand, leaves with a simpler structure (thin leaves) will repay their maintenance and construction costs in a short time. In general, leaf longevity in shaded environments is longer than in sunny ones (Kikuzawa & Lechowicz, 2011). In an environment where light is scarce, the efficient use of available carbon is an important ecophysiological adjustment. In the shade, the high investment in leaf area and chlorophyll pigments in E. contortisiliquum result in more expensive leaves, thus a long LLS is required for leaves to perform enough photosynthesis to account for the investment in their construction.
Conclusion
Enterolobium contortisiliquum plants presented functional adjustments in physiological and morphological features in response to different light levels. This species may establish and survive in distinct light conditions and maintain a positive carbon balance. The ecophysiological adjustments may explain the wide geographical distribution of E. contortisiliquum. As a widespread species, E. contortisiliquum occupies a wide niche and may benefit over restricted species as habitats change, resulting in biotic homogenization and loss of functional ecosystem services.
References
Aleric, K. M., & Kirkman, L. K. (2005). Growth and photosynthetic responses of the federally endangered shrub, Lindera melissifolia (Lauraceae), to varied light environments. American Journal of Botany, 92(4), 682-689.
Anderson, J. M. (1986). Photoregulation of the composition, function, and structure of thylakoid membranes. Annual Review of Plant Physiology, 37(1), 93-136.
Araújo, A. P., & de Paiva Sobrinho, S. (2011). Germinação e produção de mudas de tamboril (Enterolobium contortisiliquum (Vell.) Morong) em diferentes substratos. Revista Árvore, 35(3), 581-588.
Bazzaz, F. A. (1998). Tropical forests in a future climate: changes in biological diversity and impact on the global carbon cycle. Climatic Change, 39(2), 317-336.
Boardman, N. K. (1977). Comparative photosynthesis of sun and shade plants. Annual Review of Plant Physiology, 28(1), 355-377.
Boschilia, S. M., Thomaz, S. M., & Piana, P. A. (2006). Plasticidade morfológica de Salvinia herzogii (de La Sota) em resposta à densidade populacional. Acta Scientiarum. Biological Sciences, 28(1), 35-39.
Chazdon, R. L., Pearcy, R. W., Lee, D. W., & Fetcher, N. (1996). Photosynthetic responses of tropical forest plants to contrasting light environments. In S. S. Mulkey, R. L. Chazdon, & A. P. Smith (Eds.), Tropical forest plant ecophysiology (p. 5-55). Florence, KY: Chapman & Hall.
Clavel, J., Julliard, R., & Devictor, V. (2011). Worldwide decline of specialist species: toward a global functional homogenization? Frontiers in Ecology and the Environment, 9(4), 222-228.
Empresa Brasileira de Pesquisa Agropecuária [EMBRAPA]. (2013). Sistema brasileiro de classificação de solos (3a ed.). Rio de Janeiro, RJ: Embrapa solos.
Engel, V. L., & Poggiani, F. (1991). Estudo da concentração de clorofila nas folhas e seu espectro de absorção de luz em função do sombreamento em mudas de quatro espécies florestais nativas. Revista Brasileira de Fisiologia Vegetal, 3(1), 39-45.
Gaston, K. J., & Lawton, J. H. (1990). Effects of scale and habitat on the relationship between regional distribution and local abundance. Oikos, 58(3), 329-335.
Gobbi, K. F., Garcia, R., Ventrella, M. C., Garcez Neto, A. F., & Rocha, G. C. (2011). Área foliar específica e anatomia foliar quantitativa do capim braquiária e do amendoim-forrageiro submetidos a sombreamento. Revista Brasileira de Zootecnia, 40(7), 1436-1444.
Gordon, J. C. (1969). Effect of shade of photosynthesis and dry weight distribution in yellow birch (Betula alleghaniensis Britton) seedlings. Ecology, 50(5), 924-927.
Kikuzawa, K. (1991). A cost-benefit analysis of leaf habit and leaf longevity of trees and their geographical pattern. The American Naturalist, 138(5), 1250-1263.
Kikuzawa, K. (1996). Geographical distribution of leaf life span and species diversity of trees simulated by a leaf-longevity model. Vegetatio, 122(1), 61-67.
Kikuzawa, K., & Ackerly, D. (1999). Significance of leaf longevity in plants. Plant Species Biology, 14(1), 39-45.
Kikuzawa, K., & Lechowicz, M. J. (2011). Ecology of leaf longevity. Tokyo, JP: Springer.
Kitajima, K. (1994). Relative importance of photosynthetic traits and allocation patterns as correlates of seedling shade tolerance of 13 tropical trees. Oecologia, 98(3-4), 419-428.
Kramer T., & Kozlowski T. (1979). Physiology of woody plants. (3rd ed.). New York, NY: Academic Press.
Kung, S. D., & Marsho, T. V. (1976). Regulation of RuDP carboxylase/oxygenase activity and its relationship to plant photorespiration. Nature, 259, 325-356.
Lima, C. M. R., Borghetti, F., & Sousa, M. V. (1997). Temperature and germination of the Leguminosae Enterolobium contortisiliquum. Revista Brasileira de Fisiologia Vegetal, 9(2), 97-102.
Lima, R. S., Oliveira, P. L., & Rodrigues, L. R. (2009). Anatomia do lenho de Enterolobium contortisiliquum (Vell.) Morong (Leguminosae-Mimosoideae) ocorrente em dois ambientes. Revista Brasileira de Botânica, 32(2), 361-374.
Lima, A. L. D. S., Zanella, F., & Castro, L. D. M. D. (2010). Growth of Hymenaea courbaril L. var. stilbocarpa (Hayne) Lee & Lang. and Enterolobium contortisiliquum (Vell.) Morong (Leguminosae) under different shading levels. Acta Amazonica, 40(1), 43-48.
Malavasi, U. C., & Malavasi, M. D. M. (2004). Dormancy breaking and germination of Enterolobium contortisiliquum (Vell.) Morong seed. Brazilian Archives of Biology and Technology, 47(6), 851-854.
McKinney, M. L., & Lockwood, J. L. (1999). Biotic homogenization: a few winners replacing many losers in the next mass extinction. Trends in Ecology & Evolution, 14(11), 450-453.
Melo, R. R., Cunha, M. C. L., Rodolfo Júnior, F., & Stangerlin, D. M. (2008). Crescimento inicial de mudas de Enterolobium contortisiliquum (Vell.) Morong. sob diferentes níveis de luminosidade. Revista Brasileira de Ciências Agrárias, 3(2), 138-144.
Moraes Neto, S. P., Gonçalves, J. D. M., Takaki, M., Cenci, S., & Gonçalves, J. C. (2000). Crescimento de mudas de algumas espécies arbóreas que ocorrem na Mata Atlântica, em função do nível de luminosidade. Revista Árvore, 24(1), 35-45.
MVSP, 3.12. (2001). Kovach computing services. Isle of Anglesey, UK. retrieved from http://www. kovcomp.com.
Nicotra, A., Chazdon, R., & Schlichting, C. (1997). Patterns of genotypic variation and phenotypic plasticity of light response in two tropical Piper (Piperaceae) species. American Journal of Botany, 84(11), 1542-1542.
Pérez-Harguindeguy, N., Díaz, S., Garnier, E., Lavorel, S., Poorter, H., Jaureguiberry, P., ... & Urcelay, C. (2013). New handbook for standardised measurement of plant functional traits worldwide. Australian Journal of Botany, 61(3), 167-234.
Poorter, L. (1999). Growth responses of 15 rain‐forest tree species to a light gradient: the relative importance of morphological and physiological traits. Functional Ecology, 13(3), 396-410.
Prado, D. E., & Gibbs, P. E. (1993). Patterns of species distributions in the dry seasonal forests of South America. Annals of the Missouri Botanical Garden, 80(4), 902-927.
Reich, P. B., Walters, M. B., & Ellsworth, D. S. (1992). Leaf life‐span in relation to leaf, plant, and stand characteristics among diverse ecosystems. Ecological Monographs, 62(3), 365-392.
Reich, P. B., Walters, M. B., Ellsworth, D. S., Vose, J. M., Volin, J. C., Gresham, C., & Bowman, W. D. (1998). Relationships of leaf dark respiration to leaf nitrogen, specific leaf area and leaf life-span: a test across biomes and functional groups. Oecologia, 114(4), 471-482.
Reich, P. B., Uhl, C., Walters, M. B., Prugh, L., & Ellsworth, D. S. (2004). Leaf demography and phenology in Amazonian rain forest: a census of 40 000 leaves of 23 tree species. Ecological Monographs, 74(1), 3-23.
Ronquim, C. C., Prado, C. H., & Souza, J. P. (2009). Growth, photosynthesis and leaf water potential in young plants of Copaifera langsdorffii Desf. (Caesalpiniaceae) under contrasting irradiances. Brazilian Journal of Plant Physiology, 21(3), 197-208.
Rossatto, D. R., Takahashi, F. S. C., Silva, L. D. C. R., & Franco, A. C. (2010). Características funcionais de folhas de sol e sombra de espécies arbóreas em uma mata de galeria no Distrito Federal, Brasil. Acta Botanica Brasilica, 24(3), 640-647.
Scalon, S. D. P. Q., Mussury, R. M., Scalon Filho, H., & Francelino, C. S. F. (2006). Desenvolvimento de mudas de aroeira (Schinus terebinthifolius) e sombreiro (Clitoria fairchildiana) sob condições de sombreamento. Ciência e Agrotecnologia, 30(1), 166-169.
Souza, G. M., Balmant, B. D., Vítolo, H. F., Gomes, K. B. P., Florentino, T. M., Catuchi, T. A., & Vieira, W. D. L. (2009). Estratégias de utilização de luz e estabilidade do desenvolvimento de plântulas de Cordia superba Cham. (Boraginaceae) crescidas em diferentes ambientes luminosos. Acta Botanica Brasilica, 23(2), 474-485.
Straus-Deberiedetti S., & Bazzaz F. A. (1996). Photosynthetic characteristics of tropical trees along successional gradients. In S. S. Mulkey, R. L. Chazdon, & A. P. Smith (Eds.), Tropical forest plant ecophysiology (p. 162-186). Florence, KY: Chapman & Hall.
Streit, N. M., Canterle, L. P., Canto, M. W. D., & Hecktheuer L. H. H. (2005). As clorofilas. Ciência Rural, 35(3), 748-755.
Sultan, S. E. (2003). Phenotypic plasticity in plants: a case study in ecological development. Evolution & Development, 5(1), 25-33.
Walters, M. B., Kruger, E. L., & Reich, P. B. (1993). Growth, biomass distribution and CO2 exchange of northern hardwood seedlings in high and low light:
Author notes
joaopaulobio@hotmail.com