Biotecnologia
Optimized acid hydrolysis of the polysaccharides from the seaweed Solieria filiformis (Kützing) P.W. Gabrielson for bioethanol production
Hidrólise ácida otimizada dos polissacarídeos da macroalga Solieria filiformis (Kützing) P.W. Gabrielson para produção de bioetanol
Optimized acid hydrolysis of the polysaccharides from the seaweed Solieria filiformis (Kützing) P.W. Gabrielson for bioethanol production
Acta Scientiarum. Biological Sciences, vol. 39, no. 4, pp. 423-430, 2017
Universidade Estadual de Maringá

Received: 15 May 2017
Accepted: 12 August 2017
Abstract: The seaweeds are bio-resource rich in sulfated and neutral polysaccharides. The tropical seaweed species used in this study (Solieria filiformis), after dried, shows 65.8% (w/w) carbohydrate, 9.6% (w/w) protein, 1.7% (w/w) lipid, 7.0% (w/w) moisture and 15.9% (w/w) ash. The dried seaweed was easily hydrolyzed under mild conditions (0.5 M sulfuric acid, 20 min.), generating fermentable monosaccharides with a maximum hydrolysis efficiency of 63.21%. Galactose and glucose present in the hydrolyzed were simultaneously fermented by Saccharomyces cerevisiae when the yeast was acclimated to galactose and cultivated in broth containing only galactose. The kinetic parameters of the fermentation of the seaweed hydrolyzed were Y(P⁄S) = 0.48 ± 0.02 g.g−1, PP = 0.27 ± 0.04 g.L−1.h−1, h = 94.1%, representing a 41% increase in bioethanol productivity. Therefore, S. filiformis was a promising renewable resource of polysaccharides easily hydrolyzed, generating a broth rich in fermentable monosaccharides for ethanol production.
Keywords: iota-carrageenan, cellulose, galactose, kinetic parameters, fermentation, acclimation, sulfuric acid.
Resumo: As algas marinhas são recursos naturais ricos em polissacarídeos sulfatados e neutros. A espécie de macroalga tropical utilizada neste estudo (Solieria filiformis) apresentou teores de carboidratos de 65,8% (m/m), proteínas de 9,6% (m/m), lipídios de 1,7% (m/m), umidade de 7,0% (m/m) e 15,9 % (m/m) de cinzas. A macroalga seca foi facilmente hidrolisada em condições brandas, na presença de ácido sulfúrico 0,5 M, por 20 min, produzindo monossacarídeos fermentáveis com uma eficiência de hidrólise máxima de 63,21%. A galactose e a glicose presentes no hidrolisado foram fermentadas simultaneamente por Saccharomyces cerevisiae, após aclimatação da levedura cultivada em meio contendo apenas galactose como fonte de carbono. Os parâmetros cinéticos da fermentação do hidrolisado algáceo pela levedura aclimatada a galactose foram Y(P/S) = 0,48 ± 0,02 g.g-1, PP = 0,27 ± 0,04 g.L-1.h-1, h = 94,1%. Portanto, a macroalga S. filiformis se mostrou um recurso renovável promissor como fonte de polissacarídeos facilmente hidrolisados, gerando um meio nutritivo rico em glucose e galactose para a produção de etanol.
Palavras-chave: iota-carragenana, celulose, galactose, parâmetros cinéticos, fermentação, aclimatação, acido sulfúrico.
Introduction
The search for renewable sources for energy production is encouraged for various reasons, including improvement in air quality, achievement of energetic independence, security and sustainability (Park, Kim, Park, Kim, & Yoon, 2014; Wei, Quarterman, & Jin, 2013). Bioethanol has received great attention as a renewable alternative fuel and, in contrast to fossil fuels, bioethanol is produced via the fermentation of sugars.
Alcoholic fermentation based on sucrose contained in plants is well known, with yeast strains and process technology well established. However, processes using sugar contained in marine organisms, such as seaweeds, are recent and restricted to a few species (Hargreaves, Barcelos, Costa, & Pereira, 2013; Jiang, Ingle, & Golberg, 2016; Meinita, Hong, & Jeong , 2012a; Meinita et al., 2012b; Meinita et al., 2013; Park et al., 2014).
Seaweeds are photosynthetic organisms, able to absorb CO2 and required nutrients from the surrounding water through their thalli. Carbohydrates such as cellulose and floridean starch are present in cells; however, other complex polysaccharides accumulate in brown seaweed (alginate, laminarin and fucoidan), red seaweed (galactans) and green seaweed (ulvan). Chemically, more than 50% of seaweed composition is lignin-free carbohydrate, a feature that leads to mild hydrolysis conditions (Jiang et al., 2016). This fact, associated with the low cost of production, makes biomass a feasible source for biofuel generation (Jang, Cho, Jeong, & Kim, 2012).
The Brazilian coast has a great diversity of red seaweed species (Saito & de Oliveira, 1990), among them Solieria filiformis (Gigartinales, Solieriaceae), abundant in the northeast. The cultivation of seaweeds exhibits several advantages such as high area productivity, no competition with conventional agriculture for land and no need for rain, irrigation, fertilizers or pesticides. Other advantages include: control of harmful algal blooms, maintaining healthy mariculture systems, atmospheric CO2 sequestration and high photosynthetic efficiency (Kumar, Gupta, Kumar, Sahoo, & Kuhad, 2013; Park et al., 2012; Yanagisawa, Nakamura, Ariga, & Nakasaki, 2011).
The galactans of the red seaweeds are homogeneous polymers with alternates units of 3⟶β-D-galactose and 4⟶α-D-galactose or 3,6-anhydro-α-D-galactose, usually sulfated in specific positions (Hargreaves et al., 2013; Murano, Toffanin, Cecere, Rizzo, & Knutsen, 1997; Yanagisawa et al., 2011). After hydrolyzed, the red seaweeds generate two main monosaccharides, the glucose, derived from cellulose and starch and the galactose, from galactans, which are subsequently fermented (Yanagisawa et al., 2011). However, the simultaneous consumption of these monosaccharides by yeast requires acclimated strains because the presence of glucose induces repression of the enzymes of the Leloir pathway, related to galactose metabolism (Park et al., 2014) . In this metabolic pathway, galactose is taken up by galactose permease (Gal2p) and converted into glucose-6-phosphate by the actions of galactokinase (Gal1p), galactose-1-phosphate uridylyltransferase (Gal7p), UDP-galactose-4-epimerase (Gal10p) and phosphoglucomutase. Therefore, galactose is consumed more slowly than glucose by Saccharomyces cerevisiae (Ostergaard, Olsson, Johnston, & Nielsen, 2000), showing a diauxic growth pattern, which results in reduced ethanol productivity.
Therefore, to avoid the diauxic process, yeast strains may be improved by: acclimation to a high concentration of sugar for a short time and manipulation of the genes involved in the galactose metabolism to enhance ethanol production (Kim et al., 2014) or application of evolutionary engineering to construct mutants with enhanced ability for bioethanol production from galactose (Kim et al., 2014; Lee et al., 2015; Ostergaard et al., 2000).
In this context, the current study aims to optimize the acid hydrolysis of the biomass from seaweed Solieria filiformis and the bioethanol productivity by simultaneous fermentation of the monosaccharides by S. cerevisiae galactose-acclimated.
Material and methods
Seaweed biomass
Specimens of the seaweed were harvested from farming structures located in Flecheiras beach, Trairi, Ceará, Northwest Brazil (03° 13' 06" S 39° 16' 47" W). The algal biomass was washed with water, dried at room temperature (26°C), cutted and milled by an electric mill. The milled powder was then sieved through an 80-mesh sieve (< 0.18 mm) and stored at room temperature.
Biochemical composition
The protein content was measured by the semi-micro Kjeldahl method, with a factor of 6.25 for the conversion of nitrogen to protein (Fawcett, 1954). Assessment of the moisture and ash content was performed according to the Association of Official Analytical Chemists (Association of Official Analytical Chemists [AOAC], 2000). Crude lipids were extracted from the powdered dried seaweed using Soxhlet apparatus and ethanol as solvent. Lipid extraction was conducted at 80°C for 4 hours. After determination of the moisture, ash, protein and lipid contents, the total carbohydrate content was determined by the difference of the total seaweed dried biomass.
Acid hydrolysis of the seaweed
Based on the hydrolysis conditions utilized for Kappaphycus alvarezii seaweed (Hargreaves et al., 2013; Khambhaty et al., 2012; Meinita et al., 2012a), a species of the same family as S. filiformis, the levels of the variables time and acid concentration were defined. The acid hydrolysis of the dried seaweed (7.0% moisture) was conducted in an autoclave at 121°C and 50.0 g L-1 solid loading. The seaweed powder was mixed with sulfuric acid (0.2, 0.5 and 1.0 M) in a 250 mL Erlenmeyer flask and incubated at 121°C for 10, 20 or 30 min. Then, the hydrolysates were filtered and the pH of the liquid phase was adjusted to 5.0 with calcium hydroxide, producing calcium sulfate, which was further separated by filtration. Samples of the liquid phase were used for analysis of glucose, galactose, cellobiose, 5-hydroxymethylfurfural (5-HMF) and furfural by high performance liquid chromatograph (HPLC). Assays were performed in triplicate, and results represent the mean ± standard deviations of two independent experiments. The hydrolysis efficiency (HE, %) was based on the composition of S. filiformis and calculated according to Equation 1.

where S1 and S2 are the glucose and galactose concentrations determined by HPLC and SSf is the carbohydrate content of the dry seaweed. Total monosaccharide (glucose + galactose), cellobiose and 5-HMF concentrations and HE obtained after acid hydrolysis were treated statistically by one-way analysis of variance (ANOVA) and pairwise comparisons were made just for total monosaccharides and HE using Tukey’s test utilizing OriginPro 9.0 software (OriginLab Corporation, USA). The hydrolysate with maximum monosaccharide concentration was selected as the fermentation medium, denoted as Sf-medium.
Acclimatization of the yeast to galactose
Commercial Saccharomyces cerevisiae (Fleishmann) was used for acclimatization to galactose. The yeast was cultured on a Sabouraud (HiMedia) agar plate, a single colony was selected and the seed culture was incubated in 9 mL enrichment broth composed of 10.0 g L−1 glucose, 5.0 g L−1 peptone, 3.0 g L−1 yeast extract and 3.0 g L−1 malt extract cultured at 30°C and 150 rpm for 48 hours. Then, 2.5 mL of the culture (OD600 = 1.9) was transferred to YPGGC (3.0 g L−1 yeast extract, 5.0 g L−1 peptone, 20.0 g L−1 galactose, 20.0 g L−1 glucose and 10.0 g L−1 cellobiose) and cultured under the same conditions. After 48 hours of incubation, 2.5 mL of the yeast culture was transferred to fresh medium and five successive batch cultures were carried out with YPGGC medium, supplemented with Sf-medium in ratios of 25/75, 50/50, 60/40, 70/30, 80/20 and 90/10 (v/v) for each batch. The incubation procedure was done at 30°C and 150 rpm for 24 hour to obtain acclimated S. cerevisiae. The acclimated yeasts were denominated ScGal and were maintained on plates containing Sf-supplemented YPGGC agar medium, and utilized in subsequent experiments.
Ethanol productivity
Inoculum preparation
For fermentation assays, single colonies of the ScGal strain were inoculated in 100 mL of two different growth broths: i) BGlu: 40 g L−1 glucose, 10 g L−1 peptone, pH 3.5 and ii) BGal: 40 g L−1 galactose, 10 g L−1 peptone, pH 3.5. In both media, the cultures were incubated for 30h at 30°C and 150 rpm in a shaker (Tecnal TE-420, São Paulo, Brazil). The inoculums were denominated ScGal-BGlu and ScGal-BGal, respectively.
Fermentation medium
The pH of the hydrolysate selected and denoted Sf-medium was adjusted to 5.5 with calcium hydroxide under constant agitation. Then, it was filtered by vacuum filtration in a sintered funnel plate to remove the CaSO4 formed, and the liquid fraction was utilized for fermentation assays.
Fermentation assays
S. cerevisiae acclimated to galactose was used for ethanol production. In this step, the influence of inoculum medium (BGlu and BGal medium) on the process was evaluated. Ethanol fermentation was carried out in a working volume of 50 mL in a 125 mL Erlenmeyer flask, and 10% v/v of yeast (ScGal-BGlu or ScGal-BGal, with OD600 adjusted to 1.9 ± 0.1) was inoculated to the hydrolysate from seaweed (Sf-medium). The bioprocesses were conducted at 30°C and 150 rpm for 30 hours. The experiments were done in duplicate. Samples of 1 mL were taken every 2 hours and filtered through a 0.22 µm nylon membrane for analysis of glucose, galactose and ethanol concentrations.
In all experiments, the yield (YP/S), productivity (PP) and efficiency (η) of ethanol were calculated as described by Equations 2, 3 and 4, respectively.



where Pmax is the maximum ethanol concentration achieved during fermentation (g L−1), S0 is the initial concentration of total monosaccharides (g L−1) and tfP is the fermentation time at which the maximum concentration of ethanol (h) is obtained
High performance liquid chromatograph (HPLC)
The glucose, galactose, cellobiose, 5-HMF, furfural and ethanol concentrations in the hydrolyzed and fermentation assays samples were analyzed by a high performance liquid chromatograph (HPLC) (Shimadzu, Tokyo, Japan), equipped with an RID-10A refractive index detector (Shimadzu, Tokyo, Japan) and an Aminex HPX-87H column. The samples were filtered through a syringe filter with a 0.22 μm nylon membrane and 20 μL was injected for analysis. The mobile phase comprised 5.0 mM H2SO4 at a flow rate of 0.6 mL min.−1 and a column temperature of 80°C. The analyzed molecules were determined using an RID-10A refractive index detector (Shimadzu, Tokyo, Japan) and quantified from the standard curves developed using standard reagents.
Results and discussion
S. filiformis contained 65.8% (w/w) carbohydrate, 9.6% (w/w) protein, 1.7% (w/w) lipid, 7.0% (w/w) moisture and 15.9% (w/w) ash. The biochemical composition of S. filiformis and other red seaweeds are shown in Table 1. The content of carbohydrates in S. filiformis (65.8%) was similar to that related for the seaweed K. alvarezii (63.7%), a specimen of the same family (Solieriaceae) and a commercially important source of kappa-carrageenan (Hargreaves et al., 2013). The agarophyte seaweeds Gracilaria cervicornis (63.1%) and Gelidium amansii (67.3%) also presented high carbohydrate content (Marinho-Soriano, Fonseca, Carneiro, & Moreira, 2006; Park et al., 2012). However, the biochemical composition of the S. filiformis, showed in the corrent work, was different of the related in literature (Carneiro, Rodrigues, Teles, Cavalcante, & Benevides, 2014). Variations mainly in protein and lipid contents are associated at seasonality and algal life stage. The ash, protein, moisture and lipid content of S. filiformis corroborated the biochemical composition presented by other red seaweeds, showing that these organisms are good sources of carbohydrates, proteins and ash. Furthermore, S. filiformis was selected as the biomass for ethanol production in this study because there is potential for a mariculture system and it grows in a tropical sea, according to results obtained by our research group.
Acid hydrolysis of S. filiformis
The acid hydrolysis of the seaweed S. filiformis generated total monosaccharides maximum content of 18.1 g L-1 at the condition 0.5 M 20 min.-1 (Figure 1).

Effect of variable H2SO4 concentration and reaction time on concentrations of cellobiose, total monosaccharides (galactose + glucose) and 5-HMF in the hydrolysates from Solieria filiformis seaweed at 121°C using 5 % w/v solid loading. Values represent the mean ± SD. Different letters indicate significant differences among hydrolysate conditions (ANOVA, Tukey’s test; p < 0.05).

Biochemical composition of red seaweeds
The hydrolysates obtained from extreme hydrolysis conditions, 0.2 M 10 min.-1 and 1.0 M 30 min.-1, showed the lower concentrations of total monosaccharides. The concentrations of cellobiose, disaccharide not fermentable that decreases the yield of the ethanol, ranged from 0.06 ± 0.08 to 2.72 ± 1.23 g L−1 in hydrolyzeds. The soft conditions contributed for the highest concentrations of the cellobiose.
The 5-HMF, a fermentation inhibitor, ranged from 0.33 ± 0.24 to 2.33 ± 1.35 g L−1 in hydrolyzeds. At 10 and 20 min., there was a similar trend for the generation of total monosaccharides; however, at 30 min., acid concentrations up to 0.2 M resulted in a decrease in total sugar concentration. The most severe conditions of hydrolysis, with longer exposure times and higher concentrations of acid, contributed to degradation of the cellobiose, dehydration of hexoses and degradation of 5-HMF. These reactions are undesirable because they produce organic acids, such as levulinic acid and formic acid, which inhibit fermentation (Larsson et al., 1999).
Galactose was the predominant monosaccharide in all conditions studied, with levels varying from 8.34 ± 1.4 g L−1 (0.2 M 10 min.-1) to 14.83 ± 1.02 g L−1 (0.5 M 20 min.-1). Glucose was also detected at all hydrolysis conditions performed, with concentrations varying from 2.36 ± 0.4 g L−1 (0.2 M 10 min.-1) to 3.30 ± 1.1 g L−1 (0.5 M 20 min.-1). The presence majority of the galactose in hydrolysates corroborated with the high contents of the pure iota-carrageenan of the S. filiformis (Murano et al,. 1997). Furfural was not detected, suggesting the absence of the pentose polymers.
Meinita et al. (2012a) evaluated the hydrolysis of K. alvarezii (5%, w/v) using 0.2 M H2SO4 solution at 130°C for 15 min. and they obtained similar effects of acid on galactose and 5-HMF concentrations and total sugar. An increase in acid concentration up to 0.2 M resulted in a sharp increase in galactose and glucose generation, and reduced the levels of 5-HMF and formation of levulinic acid. Similar to results obtained for S. filiformis, a longer time also contributed to the reduction of 5-HMF content in hydrolysates of K. alvarezii (3% w/v) with 0.2 M H2SO4, decreasing from 1.81 g L−1 at 10 min. to 0.25 g L−1 at 90 min.
Jeong et al. (2015) related the glucose and galactose production optimized from Gracilaria verrucosa (66.6 g L−1) in H2SO4 solution. The glucose concentration reached 5.29 g L-1 under conditions of 160°C (reaction temperature), 1.92% (catalyst concentration), 20 min. (reaction time), while the galactose concentration was 18.38 g L−1 under 160°C, 1.03%, 20 min. conditions.
The different HE verified in the hydrolysates from S. filiformis showed the influence of the time and acid concentration in the generation of fermentable monosaccharides (Figure 2).

Effect of H2SO4 concentration and reaction time on hydrolysis efficiency of the biomass from Solieria filiformis seaweed at 121°C using 5% w/v solid loading. Values represent the mean ± SD. Different letters indicate significant differences among hydrolysate conditions (ANOVA, Tukey’s test; p < 0.05).
The hydrolysis extreme conditions showed the lower HE and the condition 0.5 M 20 min.-1 reached the highest HE value (59.7%), although it is similar to conditions 0.5 M 10 min.-1, 1.0 M 10 min.-1, 1.0 M 20 min.-1, 0.2 M 30 min.-1 and 0.5 M 30 min.-1. The absolute absence or near absence of lignin in seaweed (John, Anisha, Nampoothiri, & Pandey, 2011) makes the hydrolysis of algal polysaccharides simple when compared to land plants. Appropriate pretreatment methods are required to overcome the recalcitrance of lignocellulosic materials, such as dilute 0.5–2.5% H2SO4 performed at temperatures from 100 to 200ºC (Sun, Sun, Cao, & Sun, 2016). In this work, the hydrolysis conditions selected for fermentation assays and denominated Sf-medium were 0.5 M 20 min.-1 because together, galactose, glucose and cellobiose corresponded to an HE of 63.21% of the carbohydrate content of S. filiformis and presented the highest fermentable carbohydrate concentration.
Ethanol productivity
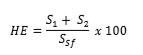
Ethanol production utilizing seaweed hydrolysate (Sf-medium) as fermentation medium is shown in Figure 3. ScGal pre-cultured in BGlu and BGal medium consumed galactose and glucose contained in the Sf-medium for ethanol production, but the consumption profiles were different. ScGal-BGlu showed a consumption velocity of monosaccharides lower, a diauxic behavior, preferring glucose and increasing the rate of consuming galactose after 10h of fermentation. Moreover, ScGal-BGlu utilized total glucose at 24 hours and used only 61.6% of the available galactose after 30h of fermentation, reaching a maximum ethanol concentration of 4.9 ± 0.2 g L−1. Another relevant result was the increase in glucose concentration, in contrast to the decrease in galactose concentration in 2 hours of fermentation. This suggests the conversion of the galactose in glucose by enzymes of the Leloir Pathway. Although ScGal had been acclimatized to use galactose, it had this capacity reversed in the presence of glucose when cultured in BGlu medium. The expression of the enzymes involved in galactose metabolism is strictly down-regulated in the presence of glucose, called “glucose repression” in S. cerevisiae (Timson, 2007).
Similar results were obtained by Keating, Robinson, Bothast, Saddler, & Mansfield (2004) when they observed that the preferential utilization of glucose and slow assimilation of galactose after depletion of glucose by S. cerevisiae Y-1528 results in reduced productivity of ethanol from a mixture of galactose and glucose, compared to that observed with glucose alone. Moreover, unexpectedly, endogenous glucose formation and the appearance of glucose in the culture medium was detected in galactose and mannose fermentations.
Non-acclimated S. cerevisiae, used for fermentation of Gelidium amansii hydrolysate, consumed the glucose in 24 hours; however, galactose was rarely consumed because of the repression of galactose uptake by glucose (Cho, Ra, & Kim, 2014). In contrast, the ScGal inoculated in BGal medium (ScGal-BGal) did not show a preference to utilize glucose, and diauxic fermentation not was observed, with glucose and galactose simultaneously consumed; 93.4% of the carbohydrate content was consumed in 24 hours, reaching 6.5 ± 0.4 g L−1 of ethanol. The ethanol productivity was of 0.27 ± 0.04 g L−1 h−1, 41.1% higher than ScGal-BGlu. The fermentative parameters of ScGal-BGlu and ScGal-BGal are shown in Table 2. YP/S, PP and h obtained using the inoculum ScGal-BGal were higher than those obtained using ScGal-BGlu.
The initial 5-HMF concentration in Sf-medium (1.09 g L−1) decreased and reached 0.69 g L−1 using ScGal-BGlu and 0.35 g L−1 using ScGal-BGal in 40 hours (data not shown).
Other strains, such as a S. cerevisiae mutant, produced equivalent results with PP = 0.32 g L−1 h−1 after fermentation of K. alvarezii acid hydrolysate (Khambhaty et al., 2012). In contrast, Cho et al., (2014) utilizing S. cerevisiae acclimated to high concentration of galactose reached PP = 0.15 g L−1 h−1 and YP/S = 0.44 lower than ScGal-BGal using acid hydrolysate from G. amansii. Park et al. (2014), using a mutant strain of S. cerevisiae (ATCC2341) to consume galactose, showed the yeast was able to take this monosaccharide at concentrations of 50 to 120 g L−1, producing a maximum ethanol concentration of 54.0 g L−1 and lower h (88%) than ScGal-BGal. Keating et al. (2004) demonstrated that S. cerevisiae Y-1528 was able to utilize galactose even in the presence of glucose, which was not observed in wild strains.

Fermentation of the acid hydrolysate from Solieria filiformis (Sf-medium) by galactose-acclimated S. cerevisiae. (a) Sf-medium inoculated with ScGal-BGlu and (b) Sf-medium inoculated with ScGal-BGal. (●) Galactose; (○) glucose; (Δ) ethanol. Values represent the mean ± SD.

Fermentative parameters of ethanol production using acid hydrolysate from Solieria filiformis seaweed (Sf-medium) inoculated with ScGal-BGlu and ScGal-BGal. Values represent the mean ± SD.
Our efforts to use S. filiformis as an alternative source of biomass for ethanol production demonstrated that the complex polysaccharides of this species are homogenous, easily hydrolyzed, and an increase in efficiency of the fermentation process of the soluble monosaccharides (glucose and galactose) can be obtained when the yeast strain is metabolically adapted to galactose by simple and low cost method. The glucose directly enters glycolysis, which is the central metabolic pathway in ethanol fermentation, and simultaneously takes advantage of glucose and galactose which are available for fermentation. The search for better understanding of the principles of the cellular physiology involved in the fermentative activity of yeasts is the major challenge in the quest for ethanol derived from seaweed.
Conclusion
The tropical seaweed S. filiformis is a biomass rich in homogenous polysaccharides, easily converted into fermentable monosaccharides (glucose and galactose), with high efficiency and low generation of the fermentation inibitors by acid hydrolysis. Furthermore, the S. cerevisiae yeast galactose-acclimated was efficient in to enhance the ethanol productivity avoiding the diauxic behavior on consumption of the galactose and glucose present in acid hydrolysate from S. filiformis seaweed.
Acknowledgements
The authors gratefully acknowledge the Brazilian research funding agencies for financial support: Conselho Nacional de Desenvolvimento Científico e Tecnológico (CNPq), Fundação Cearense de Apoio ao Desenvolvimento Científico e Tecnológico (FUNCAP) and Associação de Produtores de Algas de Flecheiras e Guajiru (APAFG). We would like to thank Vânia Maria Maciel Melo, Ph.D. for technical assistance.
References
Association of Official Analytical Chemists [AOAC]. (2000). Official Method of the Association of Official Analytical Chemists. Washington, DC: AOAC
Carneiro, J. G., Rodrigues, J. A. G., Teles, F. B., Cavalcante, A. B. D., & Benevides, N. M. B. (2014). Analysis of some chemical nutrients in four Brazilian tropical seaweeds. Acta Scientiarum. Biological Sciences, 36(2), 137-145.
Cho, H., Ra, C. H., & Kim, S. K. (2014). Ethanol production from the seaweed Gelidium amansii, using specific sugar acclimated yeasts. Journal of Microbiology and Biotechnology, 24(2), 264-269.
Denis, C., Morançais, M., Li, M., Deniaud, E., Gaudin, P., Wielgosz-Collin, G., … Fleurence, J. (2010). Study of the chemical composition of edible red macroalgae Grateloupia turuturu from Brittany (France). Food Chemistry, 119(3), 913-917.
Fawcett, J. K. (1954). The semi-micro Kjeldahl method for the determination of nitrogen. The Journal of Medical Laboratory Technology, 12(1), 1-22.
Hargreaves, P. I., Barcelos, C. A., Costa, A. C. A., & Pereira, N. (2013). Production of ethanol 3G from Kappaphycus alvarezii: Evaluation of different process strategies. Bioresource Technology, 134, 257-263.
Jang, J.-S., Cho, Y., Jeong, G.-T., & Kim, S.-K. (2012). Optimization of saccharification and ethanol production by simultaneous saccharification and fermentation (SSF) from seaweed, Saccharina japonica. Bioprocess and Biosystems Engineering, 35(1-2), 11-18.
Jeong, G.-T., Ra, C. H., Hong, Y.-K., Kim, J. K., Kong, I.-S., Kim, S.-K., & Park, D.-H. (2015). Conversion of red-algae Gracilaria verrucosa to sugars, levulinic acid and 5-hydroxymethylfurfural. Bioprocess and Biosystems Engineering, 38(2), 207-217.
Jiang, R., Ingle, K. N., & Golberg, A. (2016). Macroalgae (seaweed) for liquid transportation biofuel production : what is next ? Algal Research, 14(1), 48-57.
John, R. P., Anisha, G. S., Nampoothiri, K. M., & Pandey, A. (2011). Micro and macroalgal biomass: a renewable source for bioethanol. Bioresource Technology, 102(1), 186-93.
Keating, J. D., Robinson, J., Bothast, R. J., Saddler, J. N., & Mansfield, S. D. (2004). Characterization of a unique ethanologenic yeast capable of fermenting galactose. Enzyme and Microbial Technology, 35(2-3), 242-253.
Khambhaty, Y., Mody, K., Gandhi, M. R., Thampy, S., Maiti, P., Brahmbhatt, H., … Ghosh, P. K. (2012). Kappaphycus alvarezii as a source of bioethanol. Bioresource Technology, 103(1), 180-185.
Kim, J. H., Ryu, J., Huh, I. Y., Hong, S. K., Kang, H. A., & Chang, Y. K. (2014). Ethanol production from galactose by a newly isolated Saccharomyces cerevisiae KL17. Bioprocess and Biosystems Engineering, 37(9), 1871-1878.
Kumar, S., Gupta, R., Kumar, G., Sahoo, D., & Kuhad, R. C. (2013). Bioethanol production from Gracilaria verrucosa, a red alga, in a biorefinery approach. Bioresource Technology, 135(1), 150-156.
Larsson, S., Palmqvist, E., Hahn-Hägerdal, B., Tengborg, C., Stenberg, K., Zacchi, G., & Nilvebrant, N.-O. (1999). The generation of fermentation inhibitors during dilute acid hydrolysis of softwood. Enzyme and Microbial Technology, 24(3-4), 151-159.
Lee, H.-J., Kim, S.-J., Yoon, J.-J., Kim, K. H., Seo, J.-H., & Park, Y.-C. (2015). Evolutionary engineering of Saccharomyces cerevisiae for efficient conversion of red algal biosugars to bioethanol. Bioresource Technology, 191(1), 445-451.
Marinho-Soriano, E., Fonseca, P. C., Carneiro, M. A. A., & Moreira, W. S. C. (2006). Seasonal variation in the chemical composition of two tropical seaweeds. Bioresource Technology, 97(18), 2402-2406.
Matanjun, P., Mohamed, S., Mustapha, N. M., & Muhammad, K. (2009). Nutrient content of tropical edible seaweeds, Eucheuma cottonii, Caulerpa lentillifera and Sargassum polycystum. Journal of Applied Phycology, 21(1), 75-80.
Meinita, M. D. N., Hong, Y.-K., & Jeong, G.-T. (2012a). Comparison of sulfuric and hydrochloric acids as catalysts in hydrolysis of Kappaphycus alvarezii (cottonii). Bioprocess and Biosystems Engineering, 35(1-2), 123-128.
Meinita, M. D. N., Kang, J. Y., Jeong, G. T., Koo, H. M., Park, S. M., & Hong, Y. K. (2012b). Bioethanol production from the acid hydrolysate of the carrageenophyte Kappaphycus alvarezii (cottonii). Journal of Applied Phycology, 24(1), 857-862.
Meinita, M. D. N., Marhaeni, B., Winanto, T., Jeong, G. T., Khan, M. N. A., & Hong, Y. K. (2013). Comparison of agarophytes (Gelidium, Gracilaria, and Gracilariopsis) as potential resources for bioethanol production. Journal of Applied Phycology, 25(6), 1957-1961.
Murano, E., Toffanin, R., Cecere, E., Rizzo, R., & Knutsen, S. H. (1997). Investigation of the carrageenans extracted from Solieria filiformis and Agardhiella subulata from Mar Piccolo, Taranto. Marine Chemistry, 58(3-4), 319-325.
Ostergaard, S., Olsson, L., Johnston, M., & Nielsen, J. (2000). Increasing galactose consumption by Saccharomyces cerevisiae through metabolic engineering of the GAL gene regulatory network. Nature Biotechnology, 18(12), 1283-1286.
Park, J. H., Hong, J. Y., Jang, H. C., Oh, S. G., Kim, S. H., Yoon, J. J., & Kim, Y. J. (2012). Use of Gelidium amansii as a promising resource for bioethanol: A practical approach for continuous dilute-acid hydrolysis and fermentation. Bioresource Technology, 108(1), 83-88.
Park, J. H., Kim, S. H., Park, H. D., Kim, J. S., & Yoon, J. J. (2014). Simultaneous utilization of galactose and glucose by Saccharomyces cerevisiae mutant strain for ethanol production. Renewable Energy, 65(1), 213-218.
Rodrigues, D., Freitas, A. C., Pereira, L., Rocha-Santos, T. A. P., Vasconcelos, M. W., Roriz, M., … Duarte, A. C. (2015). Chemical composition of red, brown and green macroalgae from Buarcos bay in Central West Coast of Portugal. Food Chemistry, 183(1), 197-207.
Saito, R. M., & de Oliveira, E. C. (1990). Chemical screening of Brazilian marine algae producing carrageenans. Hydrobiologia, 204-205(1), 585-588.
Sjamsiah, R. N., Daik, R., Yarmo, M. A., & Ajdari, Z. (2014). Nutritional study of Kapparazii powder TM as a food ingredient. Journal of Applied Phycology, 26(2), 1049-1055.
Sun, S., Sun, S., Cao, X., & Sun, R. (2016). The role of pretreatment in improving the enzymatic hydrolysis of lignocellulosic materials. Bioresource Technology, 199(1), 49-58.
Timson, D. J. (2007). Galactose metabolism in Saccharomyces cerevisiae. Dynamic Biochemistry, Process Biotechnology and Molecular Biology, 1(1), 63-73.
Wei, N., Quarterman, J., & Jin, Y. S. (2013). Marine macroalgae: An untapped resource for producing fuels and chemicals. Trends in Biotechnology, 31(2), 70-77.
Wong, K. H., & Cheung, P. C. K. (2000). Nutritional evaluation of some subtropical red and green seaweeds. Food Chemistry, 71(4), 475-482.
Yanagisawa, M., Nakamura, K., Ariga, O., & Nakasaki, K. (2011). Production of high concentrations of bioethanol from seaweeds that contain easily hydrolyzable polysaccharides. Process Biochemistry, 46(11), 2111-2116.
Author notes
marjory.holanda@ufc.br